Abstract
A facile and novel synthesis of thirteen 2-amino-3-cyanopyridine derivatives 5(a–m) by a one-pot multicomponent reactions (MCRs) is described for the first time, starting from aromatic aldehydes, malononitrile, methyl ketones, or cyclohexanone and ammonium acetate in the presence of the nanostructured diphosphate Na2CaP2O7 (DIPH) at 80 °C under solvent-free conditions. These compounds were brought into existence in a short period with good to outstanding yields (84–94%). The diphosphate Na2CaP2O7 was synthesized and characterized by different techniques (FT-IR, XRD, SEM, and TEM) and used as an efficient, environmentally friendly, easy-to-handle, harmless, secure, and reusable catalyst. Our study was strengthened by combining five new pyrido[2,3-d]pyrimidine derivatives 6(b, c, g, h, j) by intermolecular cyclization of 2-amino-3-cyanopyridines 5(b, c, g, h, j) with formamide. The synthesized products were characterized by FT-IR, 1H NMR, and 13C NMR and by comparing measured melting points with known values reported in the literature. Gas chromatography/mass spectrometry was used to characterize the newly synthesized products and evaluate their purity. The operating conditions were optimized using a model reaction in which the catalyst amount, temperature, time, and solvent effect were evaluated. Antibacterial activity was tested against approved Gram-positive and Gram-negative strains for previously mentioned compounds.
1. Introduction
Pyridine and its derivatives are known to be the essential chemical compounds in medicinal chemistry [,,]. They are key scaffolds in biologically active and naturally occurring substances. Many pharmacological properties of pyridine and its derivatives have been reported, including antimicrobial [], anticancer [], anti-inflammatory [], antiviral [], antidiabetic [], and antimalarial activities []. In addition, heterocyclic systems involving the β-enaminonitrile moiety represent a class of intermediates considered to be extremely reactive and used as precursors for synthesis of brand-new heterocyclic compounds [,,]. The literature mentions that several different pyridine derivatives, particularly 2-amino-2-cyanopyridines, have been prepared as target structures using sustainable catalyst materials [] coupled with environmentally benign protocols. Moreover, it is interesting to note that multicomponent reactions (MCRs) have drawn the attention of many researchers in the last decade due to their productivity and simplicity. MCRs are used for the development of biologically active compounds from accessible commercial reagents with a single step []. Furthermore, in our case, the combination of this process with a solvent-free medium for the preparation of these heterocyclic derivatives makes the use of MCRs compliant with the principles of green chemistry.
Several studies have reported the usefulness and importance of these processes, in which they were exploited for the synthesis of 2-amino-3-cyanopyridine in the presence of various catalysts, such as ytterbium perfluorooctanoate [Yb(PFO)3] [], Bu4N+Br− [], Cu@imineZCMNPs [], cellulose-SO3H [], MgO [], HBF4 [], Fe3O4@SiO2@(CH2)Im}C(CN)3 [], FePO4 [], and poly(ethylene glycol) (PEG-400) []. However, these procedures present several inconveniences, such as long reaction time, undesirable reaction conditions, the need for loads of reagents, the use of organic solvents and toxic reagents, and the non-recoverability of the catalyst. Thus, a new, efficient, and environmentally friendly protocol for the synthesis of 2-amino-3-cyanopyridines is required. The aim of this work is to investigate and examine Na2CaP2O7 as an alternative catalyst, as it has received increased attention recently, mainly in the environmental field [,,].
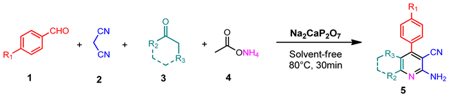
This work is a continuation of our investigation and according to our results obtained in a previous study based on adopting Na2CaP2O7 as a catalyst in organic synthesis [,,], particularly in the synthesis of heterocyclic compounds via multicomponent reactions in an ecofriendly medium [,]. Herein, we report here an efficient and rapid one-pot synthesis of thirteen 2-amino-3-cyanopyridine derivatives by condensation of aromatic aldehydes, malononitrile, methyl ketone, or cyclohexanone and ammonium acetate using a nanostructured diphosphate Na2CaP2O7 as a heterogeneous catalyst under solvent-free reaction conditions at 80 °C (Scheme 1). Five prepared 2-amino-3-cyanopyridine were converted to pyrido[2,3-d]pyrimidines, and we examined the antibacterial activity of all prepared compounds.
Scheme 1.
Synthesis of 2-amino-3-cyanopyridine derivatives catalyzed by Na2CaP2O7.
2. Results and Discussion
2.1. Synthesis and Characterization of Na2CaP2O7 Nanoparticles
Na2CaP2O7 nanoparticles were synthesized according to procedures described in the literature []. Nanostructured pyrophosphate was synthesized using the dry method. Stoichiometric amounts of sodium carbonate (Na2CO3), calcium carbonate (CaCO3), and ammonium dihydrogen phosphate (NH4H2PO4) with a molar ratio of 1:1:2 were blended in an agate mortar. The mixture was transferred to a porcelain crucible and heated progressively from 100 to 600 °C (Figure 1). Then, the obtained powder was characterized by X-ray diffraction, Fourier transform infrared spectroscopy, scanning electron microscopy, and transmission electron microscopy.
Figure 1.
Schematic describing the preparation of Na2CaP2O7 nanoparticles.
2.2. Characterization of Diphosphate Na2CaP2O7
The X-ray diffraction pattern of diphosphate Na2CaP2O7 is shown in Figure 2. All diffraction peaks are consistent with the standard data of the ICSD collection code: 89,468. Crystals of diphosphate Na2CaP2O7 have a triclinic structure, space group P1bar and crystal parameters a = 5.361 Å, b = 7.029 Å and c = 8.743 Å, V = 308.31 Å3, and Z = 2.
Figure 2.
X-ray powder diffraction pattern of Na2CaP2O7.
The FT-IR spectrum of Na2CaP2O7 is displayed in Figure 3. The bands at 720 cm−1 and 888 cm−1 are defined as the symmetrical (sym) and antisymmetric (anti) vibration of P-O-P, respectively. These bands confirm the presence of pyrophosphate P2O7 groups. Two fields share the associated vibrations of the PO4 groups: a symmetrical vibration field (997 cm−1, 1031 cm−1) and the other from 1112 cm−1 to 1278 cm−1. The described bands confirm that Na2CaP2O7 was prepared.
Figure 3.
FT-IR spectrum of Na2CaP2O7.
The morphology of the Na2CaP2O7 surface was elucidated by scanning electron microscopy (SEM, Figure 4). Na2CaP2O7 has a homogeneous microstructure that contains layers of various sizes and forms.
Figure 4.
SEM images of Na2CaP2O7 at different magnifications.
Transmission electron microscopy (TEM) was further used to study the morphology and microstructure of Na2CaP2O7. Figure 5 shows rod-like nanoparticles that agglomerate to form superstructures with different grain crystal aspect ratios. The powder forms show irregular grains with a lateral size of 90–150 nm. The specific surface of the Na2CaP2O7 areas were determined by the Brunauer–Emmett–Teller (BET) method from the adsorption–desorption isotherm of N2 at 77 K and was identified to be 4 m2·g−1.
Figure 5.
TEM micrographs of Na2CaP2O7 nanopowder.
2.3. Optimization of Reaction Conditions
In order to establish the optimal synthesis condition for substituted 2-amino-3-cyanopyridines, a reaction of benzaldehyde 1a (1 mmol), malononitrile 2 (1.1 mmol), acetophenone 3a (1 mmol), and ammonium acetate 4 (1.5 mmol) was chosen as a model and carried out under various conditions; Na2CaP2O7 was used as a catalyst (Scheme 2).
Scheme 2.
Synthesis of 2-amino-3-cyanopyridine (5a).
2.4. Influence of the Amount of the Catalyst
To optimize the catalyst amount, the model reaction was performed with different quantities of the catalyst and according to obtained results (Table 1, entries 2–8). An amount of 0.05 g (20%) of the nanostructured diphosphate Na2CaP2O7 was chosen as the optimal catalyst amount; with this amount, the reaction can be performed in 30 min, providing a 94% yield of 5a (Figure 6). With an increased amount of Na2CaP2O7, there was no improvement in the product yields (Table 1, entries 7 and 8). This may be due to the attainment of the maximum conversion efficiency of the catalyst. No target product was observed without the catalyst. This result suggests that our catalyst plays an important role in this transformation (Table 1, entry 1).
Table 1.
Optimization of reaction conditions for the synthesis of 2-amino-3-cyanopyridine 5a.
Figure 6.
Influence of the amount of the Na2CaP2O7 catalyst and reaction time on the synthesis of 2-amino-3-cyanopyridine 5a.
2.5. Influence of Reaction Time
Temperature and time also play a significant role in reaction kinetics. In order to study the effect of these two parameters, a varied range of temperature (40–100 °C) was used to carry out the model reaction for different time periods (15–120 min) and by using 0.05 g of Na2CaP2O7 (Table 1, entries 9–14). The first period, time ranges from 15 to 30 min, was characterized by significant changes in the yield of the product. During this period, the product yield increased by 12% after 5 min (from 15 to 20 min) and by 29% during the following 10 min (from 20 to 30 min). The highest yield (94%) was achieved at 80 °C after 30 min. The yield of 5a remained unchanged even after extending the reaction time and increasing the temperature (Table 1, entries 11, 13, and 14).
2.6. Influence of the Solvent
The effect of the solvent on the reaction rate was also investigated by carrying out the model reaction in the presence of 0.05 g of Na2CaP2O7 for 30 min with various solvents (1 mL), such as water, ethanol, dichloromethane (DCM), ethyl acetate (EtOAc), n-hexane, and acetonitrile (MeCN). Figure 2 summarizes the effects of various solvents on the percentage yield of 2-amino-3-cyanopyridine 5a. We observed that when solvents were used, the yield decreased, indicating that the use of a solvent has a strong inhibitory effect on the reaction yield. This effect can be explained by the dilution of the reaction medium, which leads to a decrease in the interaction between the reactant and the catalyst (Na2CaP2O7).
However, the highest yield of the desired product was achieved when the reaction was carried out under solvent-free conditions (Figure 7).
Figure 7.
Influence of the solvent in the catalytic synthesis of 2-amino-3-cyanopyridine 5a.
After determining the optimal conditions for the synthesis of 2-amino-3-cyanopyridine 5a, the reactions of different aromatic aldehydes containing substituents in the aromatic ring, such as Me, OMe, Cl, and NO2, with malononitrile 2, acetophenone derivatives, or cyclohexanone 3 and ammonium acetate 4 were carried out under identical reaction conditions. The thirteen desired 2-amino-3-cyanopyridine derivatives 5(a–m) were obtained with good to excellent yields (84–94%), as shown in Table 2. The nature of aromatic ring substituents had no noticeable effect on the yields of synthesized 2-amino-3-cyanopyridines 5. All reactions with aromatic aldehydes proceed without the formation of byproducts.
Table 2.
Synthesis of 2-amino-3-cyanopyridine derivatives 5.
In order to explain the formation of 2-amino-3-cyanopyridine 5, we propose a credible mechanism, which is shown in Scheme 3.
Scheme 3.
Proposed mechanism for Na2CaP2O7-catalyzed synthesis of 2-amino-3-cyanopyridine derivatives.
Na2CaP2O7 catalyzes the synthesis of 2-amino-3-cyanopyridine derivatives 5 by activating the carbonyl group of aromatic aldehyde 1, making it more susceptible to nucleophilic attack by malononitrile to form arylidenemalononitrile derivative 3′, which reacted with imino derivative 2′, which was formed by the reaction between ammonium acetate and ketone 2 via Michael addition to form adduct 4′. Intermediate 4′ cyclized to dihydropyridine 4″, followed by tautomerization aromatization to afford 2-amino-3-cyanopyridine derivative 5. The proposed mechanism presented in Scheme 3 was confirmed by another mechanism reported in the literature [,].
2.7. Recyclability of Na2CaP2O7 Catalyst
To investigate the recyclability and regeneration of the catalyst, Na2CaP2O7 was regenerated by two procedures. In the first method, the catalyst was rinsed with acetone and dried for 1h at 100 °C after each experiment. The second method employed for regeneration involved calcination at 500 °C for 1 h after washing with acetone and drying at 100 °C. Figure 3 summarizes the reusability and regeneration research of Na2CaP2O7. This result shows that calcination of the recovered catalyst at 500 °C has a positive effect on the catalytic activity of the diphosphate Na2CaP2O7. The increase in catalytic activity upon calcination can be explained by the rearrangement of the active sites of the catalyst [,]. The recycled Na2CaP2O7 revealed almost the same catalytic performance compared with the first run (Figure 8).
Figure 8.
Recyclability and regeneration study of Na2CaP2O7 in the synthesis of 5a.
The importance of the prepared 2-amino-3-cyanopyridines is apparent through their reactions with formamide to form the corresponding pyrido[2,3-d]pyrimidines, which have received considerable attention in recent years due to their diverse biological and pharmacological activities, such as antibacterial [], antiallergic [], anti-inflammatory [], anti-HIV [], antihypertensive [], and antitumor activity []. Pyrido[2,3-d] pyrimidine 6 was synthesized by reaction of 2-amino-3-cyanopyridines 5 with formamide (Scheme 4). Our study was focused on the synthesis of the pyrido[2,3-d]pyrimidine derivatives 6(b, c, g, h, j) by the condensation of the 2-amino-3-cyanopyridines 5(b, c, g, h, j) with formamide.
Scheme 4.
Synthesis of pyrido[2,3-d]pyrimidine derivative 6.
As mentioned below, the five pyrido[2,3-d]pyrimidine derivatives 6(b, c, g, h, j) were obtained in moderate yields (71–81%), as shown in Table 3.
Table 3.
Synthesis of pyrido[2,3-d]pyrimidine derivative 6.
2.8. Antimicrobial Activity
Three derivatives, namely cyanopyridine (5a and 5b) and pyrimidine (6b), revealed their effectiveness against Gram-positive and Gram-negative bacteria tested with minimum inhibitory concentrations (MIC) and minimum bactericidal concentration (MBC) values ranging from 64.5 to 250 µg/mL. Table 4 reports the inhibition zone diameter (IZD), MICs, and MBC values. In general, pyrimidine (6b) was the most active in comparison with the other components. It showed a strong effect against S. aureus and B. subtillis, with IZD values of 21–20.5 mm. Cyanopyridine (5a and 5b) were less active against S. aureus and slightly less active against B. subtillis, with an IZD of 18.5 and 17 mm, respectively. Moreover, the MBC to MIC ratios calculated for the derivatives indicate that they are bactericidal rather than bacteriostatic molecules. Hence, the derivatives possessing a methyl group exhibited good antibacterial activity, as the methyl group is considered an electron-donating group, which increases the electron density, makes the compounds effective against micro-organisms, and enhances their antibacterial activity [].
Table 4.
Determination of the inhibition zone diameter of the synthesis of cyanopyridine derivatives (5a, 5b) and pyrimidine (6b).
3. Discussion
In this study, we synthesized thirteen cyanopyridines and five pyrimidines and screened for antibacterial activity in eight strains. We found that cyanopyridine derivatives (5a and 5b) have an antibacterial effect against E. coli and B. subtilis. However, other synthesized molecules of the same family did not exhibit any antimicrobial effects against either bacteria or fungi at the tested concentrations [,].
A single pyrimidine derivative (6b) showed antibacterial activity, probably due to the nature of the heterocycle. Our results are in agreement with other scientific findings [] from studies on the antibacterial and antifungal effect of new pyrimidine derivatives based on benzothiazole by testing on bacterial strains (S. aureus, E. coli, K. pneumonia, and P. aeruginosa) and on the fungal agent C. albicans. These studies revealed that the derivatives exert an antibacterial and antifungal effect, which varies from one molecule to another, and some of the derivatives were found to have antibacterial effects on all the strains tested, as well as an antifungal effect against C. albicans. This effect can be influenced by aromatic substituents, in particular, those with electron-donating properties.
Several targets have been described for antibacterial agents, such as disruption of cell walls, membrane permeabilization, targeting of drug efflux pumps, targeting of R plasmids, and targeting quorum sensing, which plays an important role in regulating biofilms. Several studies showed that antibacterial agents tend to act more strongly on Gram-positive than on Gram-negative bacteria. This is probably due to the differences in cell wall composition and structure, as Gram-negative bacteria possess an outer membrane [].
4. Conclusions
Based on the results obtained in the present study, we can conclude that Na2CaP2O7 is a green and recoverable catalyst for the synthesis a series of 2-amino-3-cyanopyridine derivatives. In this paper, we reported the synthesis of five new pyrido[2,3-d]pyrimidine derivatives by intermolecular cyclization reaction of 2-amino-3-cyanopyridines with formamide. These synthesized products have a significant antibacterial effect. The absence of a solvent, simplicity of preparation, and the use of a green catalyst are some of the significant advantages of this ecofriendly procedure. Therefore, we suggest that Na2CaP2O7 should receive increased attention in the future as an alternative catalyst for the one-pot synthesis of molecules known for their various biological and pharmacological activities.
Supplementary Materials
The following supporting information can be downloaded at: https://www.mdpi.com/article/10.3390/app12115487/s1, The supporting information includes the experimental procedures, the materials used in this research work, and full characterization data for organic products. References [,,,,,,,] are cited in the supplementary materials.
Author Contributions
Conceptualization: R.A., A.E. (Abdelhakim Elmakssoudi) and J.J.; synthesis: R.A. and A.T.; antimicrobial activity: A.E. (Abdelaziz Elamrani) and Y.Z.; methodology: M.D., M.Z., A.E. (Abdelhakim Elmakssoudi), J.J. and M.M.C.; validation: all authors; writing—original draft: R.A. and A.E. (Abdelhakim Elmakssoudi); writing—review and editing: R.A., A.E. (Abdelhakim Elmakssoudi), Z.A.-T. and M.M.C.; supervision: A.E. (Abdelhakim Elmakssoudi) and J.J.; funding acquisition: J.J. All authors have read and agreed to the published version of the manuscript.
Funding
Financial support from the National Center for Scientific and Technical Research (CNRST) is gratefully acknowledged. This work was also supported by University Hassan II of Casablanca and the Molecular Bacteriology Laboratory, Pasteur Institute, Casablanca.
Institutional Review Board Statement
Not applicable.
Informed Consent Statement
Not applicable.
Data Availability Statement
Not applicable.
Conflicts of Interest
The authors declare no conflict of interest.
References
- Hill, M.D. Recent Strategies for the Synthesis of Pyridine Derivatives. Chem. Eur. J. 2010, 16, 12052–12062. [Google Scholar] [CrossRef] [PubMed]
- Altaf, A.A.; Shahzad, A.; Gul, Z.; Rasool, N.; Badshah, A.; Lal, B.; Khan, E. A Review on the Medicinal Importance of Pyridine Derivatives. J. Drug Des. Med. Chem. 2015, 1, 1–11. [Google Scholar]
- Hamada, Y. Role of Pyridines in Medicinal Chemistry and Design of BACE1 Inhibitors Possessing a Pyridine Scaffold; InTech: Rijeka, Croatia, 2018. [Google Scholar]
- Radwan, M.A.; Alshubramy, M.A.; Abdel-Motaal, M.; Hemdan, B.A.; El-Kady, D.S. Synthesis, Molecular Docking and Antimicrobial Activity of New Fused Pyrimidine and Pyridine Derivatives. Bioorgan. Chem. 2020, 96, 103516. [Google Scholar] [CrossRef] [PubMed]
- El-Naggar, M.; Almahli, H.; Ibrahim, H.S.; Eldehna, W.M.; Abdel-Aziz, H.A. Pyridine-Ureas as Potential Anticancer Agents: Synthesis and in Vitro Biological Evaluation. Molecules 2018, 23, 1459. [Google Scholar] [CrossRef] [PubMed] [Green Version]
- Kamat, V.; Santosh, R.; Poojary, B.; Nayak, S.P.; Kumar, B.K.; Sankaranarayanan, M.; Faheem; Khanapure, S.; Barretto, D.A.; Vootla, S.K. Pyridine-and Thiazole-Based Hydrazides with Promising Anti-Inflammatory and Antimicrobial Activities along with Their in Silico Studies. ACS Omega 2020, 5, 25228–25239. [Google Scholar] [CrossRef]
- Alizadeh, S.R.; Ebrahimzadeh, M.A. Antiviral Activities of Pyridine Fused and Pyridine Containing Heterocycles, A Review (from 2000 to 2020). Mini Rev. Med. Chem. 2021, 21, 2584–2611. [Google Scholar] [CrossRef]
- Sadawarte, G.; Jagatap, S.; Patil, M.; Jagrut, V.; Rajput, J.D. Synthesis of Substituted Pyridine Based Sulphonamides as an Antidiabetic Agent. Eur. J. Chem. 2021, 12, 279–283. [Google Scholar] [CrossRef]
- Khafagy, M.M.; Abd El-Wahab, A.H.F.; Eid, F.A.; El-Agrody, A.M. Synthesis of Halogen Derivatives of Benzo[h]Chromene and Benzo[a]Anthracene with Promising Antimicrobial Activities. Il Farmaco 2002, 57, 715–722. [Google Scholar] [CrossRef]
- Hu, H.; Peng, Y.; Huang, H.; Yang, T.; Chen, F.; Yan, P. Deacylation during the Synthesis of New 4-Amino-1H-Pyrazolo [3,4-B] Pyridines Catalysed by Sncl4. J. Chem. Res. 2018, 42, 412–415. [Google Scholar] [CrossRef]
- Potapov, A.Y.; Vandyshev, D.Y.; Kosheleva, Y.A.; Polikarchuk, V.A.; Potapov, M.A.; Shikhaliev, K.S. Cyclization of 5-Amino-1-Aryl-1H-Pyrazole-4-Carbonitriles with β-Dicarbonyl Compounds. Chem. Heterocycl. Compd. 2017, 53, 207–212. [Google Scholar] [CrossRef]
- Gouda, M.A.; Berghot, M.A.; Abd El Ghani, G.E.; Khalil, A.E.-G.M. Chemistry of 2-Amino-3-Cyanopyridines. Synth. Commun. 2014, 44, 297–330. [Google Scholar] [CrossRef]
- Allais, C.; Grassot, J.-M.; Rodriguez, J.; Constantieux, T. Metal-Free Multicomponent Syntheses of Pyridines. Chem. Rev. 2014, 114, 10829–10868. [Google Scholar] [CrossRef] [PubMed]
- Tang, J.; Wang, L.; Yao, Y.; Zhang, L.; Wang, W. One-Pot Synthesis of 2-Amino-3-Cyanopyridine Derivatives Catalyzed by Ytterbium Perfluorooctanoate [Yb(PFO)3]. Tetrahedron Lett. 2011, 52, 509–511. [Google Scholar] [CrossRef]
- Kurumurthy, C.; Naresh Kumar, R.; Yakaiah, T.; Shanthan Rao, P.; Narsaiah, B. Novel Bu4N+Br− Catalyzed One-Pot Multi-Component Synthesis of 2-Amino Nicotinonitriles in Aqueous Medium. Res. Chem. Intermed. 2015, 41, 3193–3199. [Google Scholar] [CrossRef]
- Yahyazadeh, A.; Abbaspour-Gilandeh, E.; Aghaei-Hashjin, M. Four-Component Synthesis of 2-Amino-3-Cyanopyridine Derivatives Catalyzed by Cu@imineZCMNPs as a Novel, Efficient and Simple Nanocatalyst Under Solvent-Free Conditions. Catal. Lett. 2018, 148, 1254–1262. [Google Scholar] [CrossRef]
- Mansoor, S.S.; Aswin, K.; Logaiya, K.; Sudhan, P.N.; Malik, S. Aqueous Media Preparation of 2-Amino-4,6-Diphenylnicotinonitriles Using Cellulose Sulfuric Acid as an Efficient Catalyst. Res. Chem. Intermed. 2014, 40, 871–885. [Google Scholar] [CrossRef]
- Sheibani, H.; Saidi, K.; Abbasnejad, M.; Derakhshani, A.; Mohammadzadeh, I. A Convenient One-Pot Synthesis and Anxietic Activity of 3-Cyano-2(1H)-Iminopyridines and Halogen Derivatives of Benzo[h]Chromenes. Arab. J. Chem. 2016, 9, S901–S906. [Google Scholar] [CrossRef] [Green Version]
- Zolfigol, M.A.; Kiafar, M.; Yarie, M.; Taherpour, A.; Fellowes, T.; Nicole Hancok, A.; Yari, A. A Convenient Method for Preparation of 2-Amino-4,6-Diphenylnicotinonitrile Using HBF4 as an Efficient Catalyst via an Anomeric Based Oxidation: A Joint Experimental and Theoretical Study. J. Mol. Struct. 2017, 1137, 674–680. [Google Scholar] [CrossRef] [Green Version]
- Zolfigol, M.A.; Kiafar, M.; Yarie, M.; Taherpour, A.; Saeidi-Rad, M. Experimental and Theoretical Studies of the Nanostructured {Fe3O4@SiO2@(CH2)3Im}C(CN)3 Catalyst for 2-Amino-3-Cyanopyridine Preparation via an Anomeric Based Oxidation. RSC Adv. 2016, 6, 50100–50111. [Google Scholar] [CrossRef]
- Zadpour, M.; Behbahani, F.K. Iron(III) Phosphate as a Green and Reusable Catalyst for the Synthesis of 4,6-Disubstituted 2-Aminopyridine-3-Carbonitriles. Mon. Chem. Chem. Mon. 2015, 146, 1865–1869. [Google Scholar] [CrossRef]
- Puligilla Balaswamy, S.A.; Satyanarayana, B. Polyethylene glycol-400 used as phase trasfer catalyst for one-pot synthesis of 2-amino-3cyanopyridine derivates under aqueous conditions. J. Chem. 2017, 10, 1334–1339. [Google Scholar]
- Dänoun, K.; Jioui, I.; Bouhrara, M.; Zahouily, M.; Solhy, A.; Jouiad, M.; Len, C.; Fihri, A. Nano-Structured Pyrophosphate Na2CaP2O7 as Catalyst for Selective Synthesis of 1,2-Disubstituted Benzimidazoles in Pure Water. Curr. Org. Chem. 2015, 19, 2132–2140. [Google Scholar] [CrossRef]
- Maleki, B.; Raei, M.; Alinezhad, H.; Tayebee, R.; Sedrpoushan, A. Chemoselective Synthesis of Tetraketones in Water Catalyzed by Nanostructured Diphosphate Na2CaP2O7. Org. Prep. Proced. Int. 2018, 50, 288–300. [Google Scholar] [CrossRef]
- Maleki, B.; Veisi, H. Facile and Efficient Synthesis of Bicyclic Ortho-Aminocarbonitrile Derivatives Using Nanostructured Diphosphate Na2CaP2O7. Org. Prep. Proced. Int. 2020, 52, 232–237. [Google Scholar] [CrossRef]
- Achagar, R.; Elmakssoudi, A.; Dakir, M.; Elamrani, A.; Zouheir, Y.; Zahouily, M.; Jamaleddine, J. A Green and Efficient Protocol for the Synthesis of Phenylhydrazone Derivatives Catalyzed by Nanostructured Diphosphate Na2CaP2O7 and Screening of Their Antibacterial Activity. ChemistrySelect 2021, 6, 1366–1371. [Google Scholar] [CrossRef]
- Elmakssoudi, A.; Abdelouahdi, K.; Zahouily, M.; Clark, J.; Solhy, A. Efficient Conversion of Aldehydes and Ketones into Oximes Using a Nanostructured Pyrophosphate Catalyst in a Solvent-Free Process. Catal. Commun. 2012, 29, 53–57. [Google Scholar] [CrossRef]
- Zahouily, M.; Elmakssoudi, A.; Mezdar, A.; Rayadh, A.; Sebti, S.; Lazrek, H.B. Three Components Coupling Catalysed by Na2CaP2O7: Synthesis of α-Amino Phosphonates Under Solvent-Free Conditions at Room Temperature. Lett. Org. Chem. 2005, 2, 428–432. [Google Scholar] [CrossRef]
- Solhy, A.; Elmakssoudi, A.; Tahir, R.; Karkouri, M.; Larzek, M.; Bousmina, M.; Zahouily, M. Clean Chemical Synthesis of 2-Amino-Chromenes in Water Catalyzed by Nanostructured Diphosphate Na2CaP2O7. Green Chem. 2010, 12, 2261–2267. [Google Scholar] [CrossRef]
- Addoum, B.; Derdak, R.; Sakoui, S.; Elmakssoudi, A.; Soukri, A. The One-Pot Synthesis of Some Bioactive Pyranopyrazoles and Evaluation of Their Protective Behavior against Extracellular H2O2 and SNP in T. Thermophila. Jordan J. Biol. Sci. 2021, 14, 31–39. [Google Scholar]
- Bennazha, J.; Boukhari, A.; Holt, E.M. Synthesis and Crystal Structure of Na2CaP2O7. Solid State Sci. 1999, 1, 373–380. [Google Scholar] [CrossRef]
- Song, S.-H.; Son, J.-H.; Budiman, A.W.; Choi, M.-J.; Chang, T.-S.; Shin, C.-H. The Influence of Calcination Temperature on Catalytic Activities in a Co Based Catalyst for CO2 Dry Reforming. Korean J. Chem. Eng. 2014, 31, 224–229. [Google Scholar] [CrossRef]
- Tsubota, S.; Nakamura, T.; Tanaka, K.; Haruta, M. Effect of Calcination Temperature on the Catalytic Activity of Au Colloids Mechanically Mixed with TiO2 Powder for CO Oxidation. Catal. Lett. 1998, 56, 131–135. [Google Scholar] [CrossRef]
- Nargund, L.V.G.; Reddy, Y.S.R.; Jose, R. Synthesis and Antibacterial Activity of Pyrido [1,2-a] Pyrimidin-4 (1H)-Ones. Indian Drugs 1991, 29, 45–46. [Google Scholar]
- Mamaghani, M.; Tabatabaeian, K.; Araghi, R.; Fallah, A.; Hossein Nia, R. An Efficient, Clean, and Catalyst-Free Synthesis of Fused Pyrimidines Using Sonochemistry. Org. Chem. Int. 2014, 2014, 406869. [Google Scholar] [CrossRef] [Green Version]
- Salama, M.A.M.; El-Shahat, M.; Elhefny, E.A.; El-Sayed, A.A. A Novel Fused Pyridopyrimidine Derivatives: Synthesis and Characterization. Int. J. Pharm. 2015, 5, 53–58. [Google Scholar]
- Verma, A.K.; Singh, A.K.; Islam, M.M. Synthesis, Characterization and Evaluation of Pyridopyrimidine Carboxylate Derivatives as Potential Antimicrobial and Anticancer Agents. Int. J. Pharm. Sci. 2014, 6, 341. [Google Scholar]
- Furuya, S.; Ohtaki, T. Pyridopyrimidine Derivatives, Their Production and Use. European Patent EP0608565A1, 7 March 1997. [Google Scholar]
- Broom, A.D.; Shim, J.L.; Bartholomew, D.G.; Anderson, G.L. Synthetic studies leading to various oxopyrido [2, 3-D] pyrimidines. In Abstract of Papers of the American Chemical Society; American Chemical Society: Washington, DC, USA, 1975; Volume 170, p. 95. [Google Scholar]
- Özkay, Y.; Tunalı, Y.; Karaca, H.; Işıkdağ, İ. Antimicrobial Activity and a SAR Study of Some Novel Benzimidazole Derivatives Bearing Hydrazone Moiety. Eur. J. Med. Chem. 2010, 45, 3293–3298. [Google Scholar] [CrossRef]
- Mamedov, I.; Naghiyev, F.; Maharramov, A.; Uwangue, O.; Farewell, A.; Sunnerhagen, P.; Erdelyi, M. Antibacterial Activity of 2-Amino-3-Cyanopyridine Derivatives. Mendeleev. Commun. 2020, 30, 498–499. [Google Scholar] [CrossRef]
- Wilcken, R.; Zimmermann, M.O.; Lange, A.; Joerger, A.C.; Boeckler, F.M. Principles and Applications of Halogen Bonding in Medicinal Chemistry and Chemical Biology. J. Med. Chem. 2013, 56, 1363–1388. [Google Scholar] [CrossRef]
- Maddila, S.; Gorle, S.; Seshadri, N.; Lavanya, P.; Jonnalagadda, S.B. Synthesis, Antibacterial and Antifungal Activity of Novel Benzothiazole Pyrimidine Derivatives. Arab. J. Chem. 2016, 9, 681–687. [Google Scholar] [CrossRef] [Green Version]
- Kaur, K.; Reddy, S.; Barathe, P.; Shriram, V.; Anand, U.; Proćków, J.; Kumar, V. Combating Drug-Resistant Bacteria Using Photothermally Active Nanomaterials: A Perspective Review. Front. Microbiol. 2021, 12, 747019. [Google Scholar] [CrossRef] [PubMed]
- Kuete, V.; Wabo, G.F.; Ngameni, B.; Mbaveng, A.T.; Metuno, R.; Etoa, F.-X.; Ngadjui, B.T.; Beng, V.P.; Meyer, J.M.; Lall, N. Antimicrobial Activity of the Methanolic Extract, Fractions and Compounds from the Stem Bark of Irvingia Gabonensis (Ixonanthaceae). J. Ethnopharmacol. 2007, 114, 54–60. [Google Scholar] [CrossRef] [PubMed]
- Wayne, P.A. Clinical and Laboratory Standards Institute. Performance Standards for Antimicrobial Susceptibility Testing. Inform. Suppl. 2011, 31, 100–121. [Google Scholar]
- Asadbegi, S.; Bodaghifard, M.A.; Mobinikhaledi, A. Poly N,N-Dimethylaniline-Formaldehyde Supported on Silica-Coated Magnetic Nanoparticles: A Novel and Retrievable Catalyst for Green Synthesis of 2-Amino-3-Cyanopyridines. Res. Chem. Intermed. 2020, 46, 1629–1643. [Google Scholar] [CrossRef]
- Khaksar, S.; Yaghoobi, M. A Concise and Versatile Synthesis of 2-Amino-3-Cyanopyridine Derivatives in 2,2,2-Trifluoroethanol. J. Fluorine Chem. 2012, 142, 41–44. [Google Scholar] [CrossRef]
- Sarda, S.R.; Kale, J.D.; Wasmatkar, S.K.; Kadam, V.S.; Ingole, P.G.; Jadhav, W.N.; Pawar, R.P. An Efficient Protocol for the Synthesis of 2-Amino-4, 6-Diphenylpyridine-3-Carbonitrile Using Ionic Liquid Ethylammonium Nitrate. Mol. Divers. 2009, 13, 545–549. [Google Scholar] [CrossRef]
- Hosseinzadeh, Z.; Ramazani, A.; Razzaghi-Asl, N.; Slepokura, K.; Lis, T. Boric Acid as an Efficient and Green Catalyst for the Synthesis of 2-Amino-4, 6-Diarylnicotinonitrile under Microwave Irradiation in Solvent-Free Conditions. Turk. J. Chem. 2019, 43, 464–474. [Google Scholar] [CrossRef]
- Khalifeh, R.; Ghamari, M. A Multicomponent Synthesis of 2-Amino-3-Cyanopyridine Derivatives Catalyzed by Heterogeneous and Recyclable Copper Nanoparticles on Charcoal. J. Braz. Chem. Soc. 2016, 27, 759–768. [Google Scholar] [CrossRef]
- Zengin Kurt, B. Synthesis and Anticholinesterase Activity of Novel Non-Hepatotoxic Naphthyridine-11-Amine Derivatives. Mol. Divers. 2019, 23, 625–638. [Google Scholar] [CrossRef]
Publisher’s Note: MDPI stays neutral with regard to jurisdictional claims in published maps and institutional affiliations. |
© 2022 by the authors. Licensee MDPI, Basel, Switzerland. This article is an open access article distributed under the terms and conditions of the Creative Commons Attribution (CC BY) license (https://creativecommons.org/licenses/by/4.0/).























