Sign in to use this feature.

Years

Between: -

Subjects

remove_circle_outline
remove_circle_outline
remove_circle_outline
remove_circle_outline
remove_circle_outline
remove_circle_outline
remove_circle_outline
remove_circle_outline
remove_circle_outline

Journals

remove_circle_outline
remove_circle_outline
remove_circle_outline
remove_circle_outline
remove_circle_outline
remove_circle_outline

Article Types

Countries / Regions

remove_circle_outline
remove_circle_outline
remove_circle_outline
remove_circle_outline

Search Results (522)

Search Parameters:
Keywords = intelligent temperature-control

Order results
Result details
Results per page
Select all
Export citation of selected articles as:
47 pages, 6936 KB  
Review
Research on Direct Air Capture: A Review
by Yiqing Zhao, Bowen Zheng, Jin Zhang and Hongyang Xu
Energies 2025, 18(24), 6632; https://doi.org/10.3390/en18246632 - 18 Dec 2025
Abstract
Direct Air Capture (DAC) technology plays a crucial role in reducing atmospheric CO2, but large-scale deployment faces challenges such as high energy consumption, operational costs, and slow material development. This study provides a comprehensive review of DAC principles, including chemical and [...] Read more.
Direct Air Capture (DAC) technology plays a crucial role in reducing atmospheric CO2, but large-scale deployment faces challenges such as high energy consumption, operational costs, and slow material development. This study provides a comprehensive review of DAC principles, including chemical and solid adsorption methods, with a focus on emerging technologies like Metal–Organic Frameworks (MOFs) and graphene aerogels. MOFs have achieved adsorption capacities up to 1.5 mmol/g, while modified graphene aerogels reach 1.3 mmol/g. Other advancing approaches include DAC with Methanation (DACM), variable-humidity adsorption, photo-induced swing adsorption, and biosorption. The study also examines global industrialization trends, noting a significant rise in DAC projects since 2020, particularly in the U.S., China, and Europe. The integration of DAC with renewable energy sources, such as photovoltaic/electrochemical regeneration, offers significant cost-reduction potential and can cut reliance on conventional heat by 30%. This study focuses on the integration of Artificial Intelligence (AI) for accelerating material design and system optimization. AI and Machine Learning (ML) are accelerating DAC R&D: high-throughput screening shortens material design cycles by 60%, while AI-driven control systems optimize temperature, humidity, and adsorption dynamics in real time, improving CO2 capture efficiency by 15–20%. The study emphasizes DAC’s future role in achieving carbon neutrality through enhanced material efficiency, integration with renewable energy, and expanded CO2 utilization pathways, providing a roadmap for scaling DAC technology in the coming years. Full article
Show Figures

Figure 1

24 pages, 9272 KB  
Article
Cleaning and Cross-Contamination in Continuous Twin-Screw Extrusion of Battery Slurries
by Kevin Raczka, Furkan Öksüz, Nooshin Galahroudi, Emma Schiessl, Hermann Nirschl and Frank Rhein
Batteries 2025, 11(12), 464; https://doi.org/10.3390/batteries11120464 - 18 Dec 2025
Abstract
In the current industry standard of batch processing electrode slurry, manual cleaning processes pose significant challenges due to their labor intensive nature. The long-term objective is to expand the existing mixing process to create an intelligent, autonomous, and continuous slurry production process. This [...] Read more.
In the current industry standard of batch processing electrode slurry, manual cleaning processes pose significant challenges due to their labor intensive nature. The long-term objective is to expand the existing mixing process to create an intelligent, autonomous, and continuous slurry production process. This will result in a reduction in downtime and setup times, as well as an increase in the degree of automation. Additionally, the implementation of complex parameter selection in the mixing process is intended to make it manageable for variable recipes, ensuring efficient, resource-saving process control. This study aims to address this issue by investigating the continuous production of anode slurry and its subsequent cleaning in a laboratory extruder, with a focus on optimizing the cleaning conditions and analyzing the residual slurry. Several samples were taken during the cleaning of the process area and analyzed by UV-Vis spectroscopy, while also quantifying the residual slurry on the screw elements. The effectiveness of the cleaning was evaluated using Sinner’s Circle parameters, i.e., the effects of time, mechanical, chemical and thermal treatment on the effectiveness of the cleaning process are evaluated and discussed. Several detergents were tested, including deionized water, alcohol, and industrial detergents. Deionized water proved to be the most effective in terms of cleaning rate and residual slurry. In addition, higher screw speeds and flow rates improved cleaning efficiency. The effect of temperature was significant, with better cleaning rate results at higher temperatures. This indicates that mechanical and thermal factors play a critical role in improving cleaning kinetics. For a more in-depth knowledge of the resulting cell chemistry, successive cross-contamination of cathode materials in anode half-cells was examined. As a result, an indicator was identified in the first cycle that displays a voltage increase during delithiation with regard to electrochemical properties. Full article
Show Figures

Figure 1

34 pages, 4471 KB  
Review
State of the Art on Prevention and Control Measures of Thermal Cracks in Mass Concrete
by Genhe Zhang, Feng Cao, Taotao Li, Chao Sun, Wei Guo, Yunfei Ma, Fangjie Ren, Yixuan Wang, Wei Si and Biao Ma
Sustainability 2025, 17(24), 11301; https://doi.org/10.3390/su172411301 - 17 Dec 2025
Abstract
Mass concrete is prone to temperature cracks at an early age due to concentrated hydration heat, significant temperature gradients, and complex constraints, which affect structural durability and service safety. This paper reviews the relevant measures for preventing and controlling such temperature cracks, analyzing [...] Read more.
Mass concrete is prone to temperature cracks at an early age due to concentrated hydration heat, significant temperature gradients, and complex constraints, which affect structural durability and service safety. This paper reviews the relevant measures for preventing and controlling such temperature cracks, analyzing that the cracks are caused by the coupling effects of hydration heat, temperature gradients and stress distribution, material properties, environmental factors, and structural dimensions. It elaborates on two types of prevention and control measures: material optimization (low-heat cement, mineral admixtures, chemical admixtures, phase change materials, etc.) and construction process improvement (reasonable placement, cooling systems, external thermal insulation). Among these, phase change materials (PCMs) have become a research focus due to their active temperature regulation function of “peak shaving and valley filling”. This paper also introduces temperature, stress, and crack width monitoring technologies, as well as monitoring-based feedback control and intelligent systems. It summarizes the progress of numerical simulations in temperature field, stress field, and cracking prediction, with particular emphasis on their role in improving the understanding and prevention of early-age thermal cracking. The review further identifies shortcomings in multi-factor coupling mechanisms and integrated material–construction design, and proposes future research directions—such as low-heat-of-hydration binders, PCM optimization, and intelligent monitoring integration—to support more effective crack-control practices in mass concrete. Full article
(This article belongs to the Special Issue Sustainable Pavement Engineering: Design, Materials, and Performance)
Show Figures

Figure 1

19 pages, 4696 KB  
Article
Research on the Prediction of Cement Precalciner Outlet Temperature Based on a TCN-BiLSTM Hybrid Neural Network
by Mengjie Deng and Hongtao Kao
Processes 2025, 13(12), 4068; https://doi.org/10.3390/pr13124068 - 16 Dec 2025
Abstract
As the global cement industry moves toward energy efficiency and intelligent manufacturing, refined control of key processes like precalciner outlet temperature is critical for improving energy use and product quality. The precalciner’s outlet temperature directly affects clinker calcination quality and heat consumption, so [...] Read more.
As the global cement industry moves toward energy efficiency and intelligent manufacturing, refined control of key processes like precalciner outlet temperature is critical for improving energy use and product quality. The precalciner’s outlet temperature directly affects clinker calcination quality and heat consumption, so developing a high-accuracy prediction model is essential to shift from empirical to intelligent control. This study proposes a TCN-BiLSTM hybrid neural network model for the accurate prediction and regulation of the outlet temperature of the decomposition furnace. Based on actual operational data from a cement plant in Guangxi, the Spearman correlation coefficient method is employed to select feature variables significantly correlated with the outlet temperature, including kiln rotation speed, high-temperature fan speed, temperature A at the middle-lower part of the decomposition furnace, temperature B of the discharge from the five-stage cyclone, exhaust fan speed, and tertiary air temperature of the decomposition furnace. This method effectively reduces feature dimensionality while enhancing the prediction accuracy of the model. All selected feature variables are normalized and used as input data for the model. Finally, comparative experiments with RNN, LSTM, BiLSTM, TCN, and TCN-LSTM models are performed. The experimental results indicate that the TCN-BiLSTM model achieves the best performance across major evaluation metrics, with a Mean Relative Error (MRE) as low as 0.91%, representing an average reduction of over 1.1% compared to other benchmark models, thereby demonstrating the highest prediction accuracy and robustness. This approach provides high-quality predictive inputs for constructing intelligent control systems, thereby facilitating the advancement of cement production toward intelligent, green, and high-efficiency development. Full article
(This article belongs to the Section Chemical Processes and Systems)
Show Figures

Figure 1

19 pages, 1724 KB  
Article
Smart IoT-Based Temperature-Sensing Device for Energy-Efficient Glass Window Monitoring
by Vaclav Mach, Jiri Vojtesek, Milan Adamek, Pavel Drabek, Pavel Stoklasek, Stepan Dlabaja, Lukas Kopecek and Ales Mizera
Future Internet 2025, 17(12), 576; https://doi.org/10.3390/fi17120576 - 15 Dec 2025
Viewed by 128
Abstract
This paper presents the development and validation of an IoT-enabled temperature-sensing device for real-time monitoring of the thermal insulation properties of glass windows. The system integrates contact and non-contact temperature sensors into a compact PCB platform equipped with WiFi connectivity, enabling seamless integration [...] Read more.
This paper presents the development and validation of an IoT-enabled temperature-sensing device for real-time monitoring of the thermal insulation properties of glass windows. The system integrates contact and non-contact temperature sensors into a compact PCB platform equipped with WiFi connectivity, enabling seamless integration into smart home and building management frameworks. By continuously assessing window insulation performance, the device addresses the challenge of energy loss in buildings, where glazing efficiency often degrades over time. The collected data can be transmitted to cloud-based services or local IoT infrastructures, allowing for advanced analytics, remote access, and adaptive control of heating, ventilation, and air-conditioning (HVAC) systems. Experimental results demonstrate the accuracy and reliability of the proposed system, confirming its potential to contribute to energy conservation and sustainable living practices. Beyond energy efficiency, the device provides a scalable approach to environmental monitoring within the broader future internet ecosystem, supporting the evolution of intelligent, connected, and human-centered living environments. Full article
(This article belongs to the Special Issue Artificial Intelligence and Control Systems for Industry 4.0 and 5.0)
Show Figures

Figure 1

24 pages, 1617 KB  
Systematic Review
A Systematic Review on the Intersection of the Cold Chain and Digital Transformation
by Nadin Alherimi and Mohamed Ben-Daya
Sustainability 2025, 17(24), 11202; https://doi.org/10.3390/su172411202 - 14 Dec 2025
Viewed by 439
Abstract
Digital transformation (DT) is reshaping cold chain operations through technologies such as the Internet of Things (IoT), artificial intelligence (AI), blockchain, and digital twins. However, evidence remains fragmented, and a systematic synthesis focused on how these technologies affect cold chain performance, sustainability, and [...] Read more.
Digital transformation (DT) is reshaping cold chain operations through technologies such as the Internet of Things (IoT), artificial intelligence (AI), blockchain, and digital twins. However, evidence remains fragmented, and a systematic synthesis focused on how these technologies affect cold chain performance, sustainability, and cost-efficiency is limited. This PRISMA-based systematic literature review analyzes 107 studies published between 2009 and 2025 to examine enabling technologies and application areas, operational and sustainability impacts, and the main adoption challenges. The reviewed evidence suggests that digitalization can improve real-time visibility, temperature control, traceability, and energy management, supporting waste reduction and improved quality assurance. Key challenges include high implementation costs and uncertain returns on investment, interoperability constraints, data governance and cybersecurity concerns, and organizational readiness gaps. The paper concludes with implications for managers and policymakers and a future research agenda emphasizing integrated multi-technology solutions, standardized sustainability assessment, and rigorous validation through pilots, testbeds, and real-world deployments to enable scalable and resilient cold chain digitalization. Full article
Show Figures

Figure 1

17 pages, 3698 KB  
Article
Concept of a Modular Wide-Area Predictive Irrigation System
by Kristiyan Dimitrov, Nayden Chivarov and Stefan Chivarov
AgriEngineering 2025, 7(12), 430; https://doi.org/10.3390/agriengineering7120430 - 12 Dec 2025
Viewed by 115
Abstract
The article presents a method for determining the irrigation requirements of crops based on soil moisture. The proposed approach enables scheduling irrigation at the most appropriate time of day by combining current soil moisture measurements with forecasts of moisture levels for the following [...] Read more.
The article presents a method for determining the irrigation requirements of crops based on soil moisture. The proposed approach enables scheduling irrigation at the most appropriate time of day by combining current soil moisture measurements with forecasts of moisture levels for the following day. A narrow Artificial Intelligence (AI) model is developed and applied to the task of 24 h-ahead soil moisture forecasting. Water loss due to excessive irrigation is minimized through precise soil moisture monitoring, postponement or reduction of irrigation in response to measured precipitation, temperature, and wind speed, as well as meteorological forecasts of future rainfall. The proposed irrigation system is suitable for both drip irrigation and central pivot systems. It is built using cost-effective components and incorporates LoRa connectivity, which facilitates integration in remote areas without the need for internet access. Furthermore, the addition of new irrigation zones does not require physical modifications to the central server. Experimental tests demonstrated that the system effectively controls irrigation timing and achieves the desired soil moisture levels with high accuracy, while accounting for additional external factors that influence soil moisture. Full article
(This article belongs to the Section Agricultural Irrigation Systems)
Show Figures

Figure 1

28 pages, 9862 KB  
Article
Microclimate-Controlled Smart Growth Cabinets for High-Throughput Plant Phenotyping
by Michael Vernon, Ghazanfar Abbas Khan, Lawrence D. Webb, Abbas Z. Kouzani and Scott D. Adams
Sensors 2025, 25(24), 7509; https://doi.org/10.3390/s25247509 - 10 Dec 2025
Viewed by 238
Abstract
Climate change is driving urgent demand for resilient crop varieties capable of withstanding extreme and changing conditions. Identifying resilient varieties requires systematic plant phenotyping research under controlled conditions, where dynamic environmental impacts can be studied. Current growth cabinets (GC) provide this capability but [...] Read more.
Climate change is driving urgent demand for resilient crop varieties capable of withstanding extreme and changing conditions. Identifying resilient varieties requires systematic plant phenotyping research under controlled conditions, where dynamic environmental impacts can be studied. Current growth cabinets (GC) provide this capability but remain limited by high costs, static environments, and scalability. These limitations pose a challenge for climate change-based phenotyping research which requires large-scale trials under a variety of dynamic climate conditions. Presented is a microclimate-controlled smart growth cabinet (MCSGC) platform, addressing these limitations through four innovations. The first is dynamic microclimate simulation through programmable environmental ‘recipes’ reproducing real climactic variability. The second is interconnected scalable multi-cabinet for parallel experiments. The third is modular hardware able to reconfigure for different plant species, remaining cost-effective at <$10,000 AUD. The fourth is automated data collection and synchronisation of environmental and phenotypic measurements for Artificial Intelligence (AI) applications. Experimental validation confirmed precise climate control, broad crop compatibility, and high-throughput data generation. Environmental control stayed within ±2 °C for 97.42% while dynamically simulating Hobart, Australia, weather. The MCSGC provides an environment suitable for diverse crops (temperature 14.6–31.04 °C, and Photosynthetically Active Radiation (PAR) 0–1241 µmol·m−2·s−1). Multi-species cultivation validated the adaptability of the MCSGC across Cannabis sativa (544.1 mm growth over 34 days), Beta vulgaris (123.6 mm growth over 36 days), and Lactuca sativa (19-day cultivation). Without manual intervention the system generated 456 images and 164,160 sensor readings, creating datasets optimised for AI and digital twin applications. The MCSGC addresses critical limitations of existing systems, supporting advancements in plant phenotyping, crop improvement, and climate resilience research. Full article
Show Figures

Graphical abstract

43 pages, 1253 KB  
Review
Smart Vesicle Therapeutics: Engineering Precision at the Nanoscale
by Luciano A. Benedini and Paula V. Messina
Pharmaceutics 2025, 17(12), 1588; https://doi.org/10.3390/pharmaceutics17121588 - 9 Dec 2025
Viewed by 457
Abstract
Smart vesicle therapeutics represent a transformative frontier in nanomedicine, offering precise, biocompatible, and adaptable platforms for drug delivery and theranostic applications. This review explores recent advances in the design and engineering of liposomes, niosomes, polymersomes, and extracellular vesicles (EVs), emphasizing their capacity to [...] Read more.
Smart vesicle therapeutics represent a transformative frontier in nanomedicine, offering precise, biocompatible, and adaptable platforms for drug delivery and theranostic applications. This review explores recent advances in the design and engineering of liposomes, niosomes, polymersomes, and extracellular vesicles (EVs), emphasizing their capacity to integrate therapeutic and diagnostic functions within a single nanoscale system. By tailoring vesicle size, composition, and surface chemistry, researchers have achieved improved pharmacokinetics, reduced immunogenicity, and fine-tuned control of drug release. Stimuli-responsive vesicles activated by pH, temperature, and redox gradients, or external fields enable spatiotemporal regulation of therapeutic action, while hybrid bio-inspired systems merge synthetic stability with natural targeting and biocompatibility. Theranostic vesicles further enhance precision medicine by allowing real-time imaging, monitoring, and adaptive control of treatment efficacy. Despite these advances, challenges in large-scale production, reproducibility, and regulatory standardization still limit clinical translation. Emerging solutions—such as microfluidic manufacturing, artificial intelligence-guided optimization, and multimodal imaging integration—are accelerating the development of personalized, high-performance vesicular therapeutics. Altogether, smart vesicle platforms exemplify the convergence of nanotechnology, biotechnology, and clinical science, driving the next generation of precision therapies that are safer, more effective, and tailored to individual patient needs. Full article
(This article belongs to the Special Issue Vesicle-Based Drug Delivery Systems)
Show Figures

Graphical abstract

18 pages, 5512 KB  
Article
Development and Application of Online Rapid Monitoring Devices for Volatile Organic Compounds in Soil–Water–Air Systems
by Xiujuan Feng, Haotong Guo, Jing Yang, Chengliang Dong, Fuzhong Zhao and Shaozhong Cheng
Chemosensors 2025, 13(12), 427; https://doi.org/10.3390/chemosensors13120427 - 9 Dec 2025
Viewed by 180
Abstract
To overcome the limitations of lengthy laboratory testing cycles and insufficient on-site responsiveness, this study developed an online rapid monitoring device for volatile organic compounds (VOCs) in soil–water–air systems based on photoionization detection (PID) technology. The device integrates modular sensor units, incorporates an [...] Read more.
To overcome the limitations of lengthy laboratory testing cycles and insufficient on-site responsiveness, this study developed an online rapid monitoring device for volatile organic compounds (VOCs) in soil–water–air systems based on photoionization detection (PID) technology. The device integrates modular sensor units, incorporates an electromagnetic valve-controlled multi-medium adaptive switching system, and employs an internal heating module to enhance the volatilization efficiency of VOCs in water and soil samples. An integrated system was developed featuring “front-end intelligent data acquisition–network collaborative transmission–cloud-based warning and analysis”. The effects of different temperatures on the monitoring performance were investigated to verify the reliability of the designed system. A polynomial fitting model between concentration and voltage was established, showing a strong correlation (R2 > 0.97), demonstrating its applicability for VOC detection in environmental samples. Field application results indicate that the equipment has operated stably for nearly three years in a mining area of Shandong Province and an industrial park in Anhui Province, accumulating over 600,000 valid data points. These results demonstrate excellent measurement consistency, long-term operational stability, and reliable data acquisition under complex outdoor conditions. The research provides a distributed, low-power, real-time monitoring solution for VOC pollution control in mining and industrial environments. It also offers significant demonstration value for standardizing on-site emergency monitoring technologies in multi-media environments and promoting the development of green mining practices. Full article
Show Figures

Figure 1

17 pages, 1815 KB  
Article
Assessing Climate and Watershed Controls on Rain-on-Snow Runoff Using XGBoost-SHAP Explainable AI (XAI)
by Yog Aryal
Geosciences 2025, 15(12), 467; https://doi.org/10.3390/geosciences15120467 - 9 Dec 2025
Viewed by 188
Abstract
Rain-on-snow (ROS) events significantly impact hydrological processes in snowy regions, yet their seasonal drivers remain poorly understood, particularly in low-elevation and low-gradient catchments. This study uses an XGBoost-SHAP explainable artificial intelligence (XAI) model to analyze meteorological and watershed controls on ROS runoff in [...] Read more.
Rain-on-snow (ROS) events significantly impact hydrological processes in snowy regions, yet their seasonal drivers remain poorly understood, particularly in low-elevation and low-gradient catchments. This study uses an XGBoost-SHAP explainable artificial intelligence (XAI) model to analyze meteorological and watershed controls on ROS runoff in the Laurentian Great Lakes region. We used daily discharge, precipitation, temperature, and snow depth data from 2000 to 2023, available from HYSETS, to identify ROS runoff. The XGBoost model’s performance for predicting ROS runoff was higher in winter (R2 = 0.65, Nash–Sutcliffe = 0.59) than in spring (R2 = 0.56, Nash–Sutcliffe = 0.49), indicating greater predictability in colder months. The results reveal that rainfall and temperature dominated ROS runoff generation, jointly explaining more than 60% of total model importance, while snow depth accounted for 8–12% depending on season. Winter runoff is predominantly governed by climatic factors—rainfall, air temperature, and their interactions—with soil permeability and slope orientation playing secondary roles. In contrast, spring runoff shows increased sensitivity to land cover characteristics, particularly agricultural and shrub cover, as vegetation-driven processes become more influential. Snow depth effects shift from predominantly negative in winter, where snow acts as storage, to positive contributions in spring at shallow to moderate depths. ROS runoff responded positively to air temperatures exceeding approximately 2.5 °C in both winter and spring. Land cover influences on ROS runoff differ by vegetation type and season. Agricultural areas consistently increase runoff in both seasons, likely due to limited infiltration, whereas shrub-dominated regions exhibit stronger runoff enhancement in spring. The seasonal shift in dominant controls underscores the importance of accounting for land–climate interactions in predicting ROS runoff under future climate scenarios. These insights are essential for improving flood forecasting, managing water resources, and developing adaptive strategies. Full article
(This article belongs to the Section Cryosphere)
Show Figures

Figure 1

16 pages, 2465 KB  
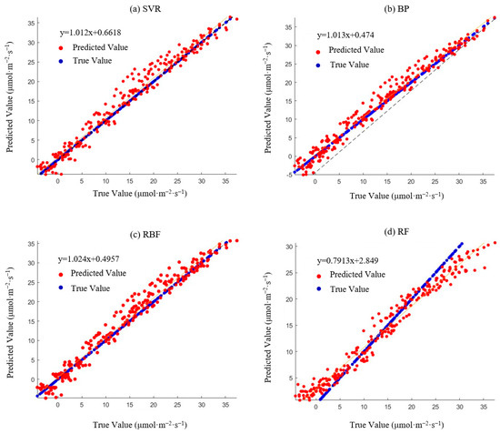
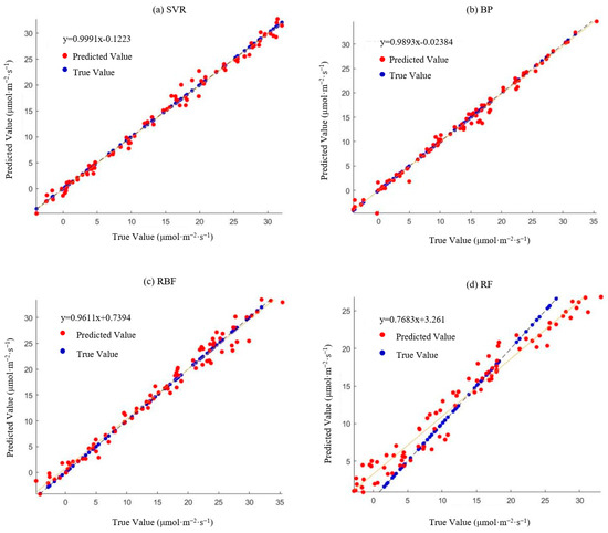
Article
A Photosynthetic Rate Prediction Model for Cucumber Based on a Machine Learning Algorithm and Multi-Factor Environmental Analysis
by Yanxiu Miao, Liyuan Liu, Miaoyu Wang, Zhihao Zeng, Jun Zhang, Yongsan Cheng and Bin Li
Horticulturae 2025, 11(12), 1475; https://doi.org/10.3390/horticulturae11121475 - 6 Dec 2025
Viewed by 222
Abstract
Plant photosynthetic rate prediction models have the potential to enhance production efficiency and advance intelligent control in protected agriculture. However, due to the complexity of and variability in multiple environmental factors, conventional prediction models often fail to accurately predict photosynthetic rates. We hypothesize [...] Read more.
Plant photosynthetic rate prediction models have the potential to enhance production efficiency and advance intelligent control in protected agriculture. However, due to the complexity of and variability in multiple environmental factors, conventional prediction models often fail to accurately predict photosynthetic rates. We hypothesize that the prediction accuracy of a photosynthetic rate model for cucumber could be significantly improved through the application of machine learning algorithms, including support vector regression (SVR), backpropagation (BP), neural network, random forest (RF), and radial basis function (RBF) neural network. To test this hypothesis, we designed experimental treatments with varying combinations of temperature, light intensity, and CO2 concentration and measured the photosynthetic rate (Pn) during the peak fruiting period to construct a comprehensive dataset; we then determined optimal hyperparameters for each algorithm and established and verified four prediction models, thereby identifying the optimal model. The results showed that the maximum Pn value occurred at 28 °C, 1500 µmol m−2 s−1, and 1200 µmol mol−1. Among all models, the SVR model exhibited superior performance on the test set, with an R2 of 0.9941 and an RMSE of 0.7802 µmol m−2 s−1. This was further demonstrated by its performance on the validation set, where it achieved the highest R2 (0.96443) and the lowest errors. In conclusion, the SVR model accurately predicted the cucumber photosynthetic rate, providing a solid theoretical foundation for intelligent environmental control in protected cucumber production. Full article
(This article belongs to the Section Vegetable Production Systems)
Show Figures

Figure 1

20 pages, 7111 KB  
Article
Machine Learning-Assisted Simultaneous Measurement of Salinity and Temperature Using OCHFI Cascaded Sensor Structure
by Anirban Majee, Koustav Dey, Nikhil Vangety and Sourabh Roy
Photonics 2025, 12(12), 1203; https://doi.org/10.3390/photonics12121203 - 5 Dec 2025
Viewed by 324
Abstract
A compact offset-coupled hybrid fiber interferometer (OCHFI) is designed and experimentally demonstrated for simultaneous measurement of salinity and temperature. The sensor integrates multimode fiber (MMF) and offset no-core fiber (NCF) through an intermediate single-mode fiber (SMF), producing distinct interference patterns for multi-parameter sensing. [...] Read more.
A compact offset-coupled hybrid fiber interferometer (OCHFI) is designed and experimentally demonstrated for simultaneous measurement of salinity and temperature. The sensor integrates multimode fiber (MMF) and offset no-core fiber (NCF) through an intermediate single-mode fiber (SMF), producing distinct interference patterns for multi-parameter sensing. The optimal SMF length was determined through COMSOL simulations (version 6.2) and fixed at 50 cm to achieve stable and well-separated interference dips. Fast Fourier Transform analysis confirmed that the modal behavior originates from the single-mode-multimode-single-mode (SMS) and single-mode-no-core-single-mode (SNS) segments. Experimentally, Dip 1 exhibits salinity sensitivity of 0.62206 nm/, while Dip 2 shows temperature sensitivity of 0.09318 nm/°C, both with linearity (R2 > 0.99), excellent repeatability, and stability, with fluctuations within 0.15 nm over 60 min. To remove cross-sensitivity, both the transfer matrix method and an Artificial Neural Network (ANN) model were employed. The ANN approach significantly enhanced prediction accuracy (R2 = 0.9999) with RMSE improvement approximately 539-fold for salinity and 56-fold for temperature, compared with the analytical model. The proposed OCHFI sensor provides a compact, low-cost, and intelligent solution for precise simultaneous salinity and temperature measurement, with strong potential for applications in marine, chemical, and industrial process control. Full article
(This article belongs to the Special Issue Optical Fiber Sensors: Shedding More Light with Machine Learning)
Show Figures

Figure 1

34 pages, 3915 KB  
Review
Stimuli-Responsive Chitosan Hydrogels for Diabetic Wound Management: Comprehensive Review of Emerging Strategies
by Selvam Sathiyavimal, Ezhaveni Sathiyamoorthi, Devaraj Bharathi and Perumal Karthiga
Biomimetics 2025, 10(12), 807; https://doi.org/10.3390/biomimetics10120807 - 2 Dec 2025
Viewed by 532
Abstract
Diabetic wounds remain a major clinical challenge due to impaired angiogenesis, chronic inflammation, oxidative stress, and persistent infection, all of which delay tissue repair. Conventional dressings provide only passive protection and fail to modulate the wound microenvironment effectively. Chitosan (CS) is a naturally [...] Read more.
Diabetic wounds remain a major clinical challenge due to impaired angiogenesis, chronic inflammation, oxidative stress, and persistent infection, all of which delay tissue repair. Conventional dressings provide only passive protection and fail to modulate the wound microenvironment effectively. Chitosan (CS) is a naturally derived polysaccharide inspired by biological structures in crustaceans and fungi. It has emerged as a multifunctional biomimetic polymer with excellent biocompatibility, antimicrobial activity, and hemostatic properties. Recent advances in biomimetic materials science have enabled the development of stimuli-responsive CS hydrogels. These systems can sense physiological cues such as pH, temperature, glucose level, light, and reactive oxygen species (ROS). These smart systems emulate natural wound healing mechanisms and adapt to environmental changes. They release bioactive agents on demand and promote tissue homeostasis through controlled angiogenesis and collagen remodeling. This review discusses the biomimetic design rationale, crosslinking mechanism, and emerging strategies underlying single and dual-responsive hydrogel systems. It further emphasizes how nature-inspired structural and functional designs accelerate diabetic wound repair and outlines the current challenges and future prospects for translating these bioinspired intelligent hydrogels into clinical wound care applications. Full article
Show Figures

Graphical abstract

19 pages, 3804 KB  
Article
An Optimized CNN-BiLSTM-RF Temporal Framework Based on Relief Feature Selection and Adaptive Weight Integration: Rotary Kiln Head Temperature Prediction
by Jianke Gu, Yao Liu, Xiang Luo and Yiming Bo
Processes 2025, 13(12), 3891; https://doi.org/10.3390/pr13123891 - 2 Dec 2025
Viewed by 207
Abstract
The kiln head temperature of a rotary kiln is a core process parameter in cement clinker production, and its accurate prediction coupled with uncertainty quantification is crucial for process optimization, energy consumption control, and safe operation. To tackle the prediction challenges arising from [...] Read more.
The kiln head temperature of a rotary kiln is a core process parameter in cement clinker production, and its accurate prediction coupled with uncertainty quantification is crucial for process optimization, energy consumption control, and safe operation. To tackle the prediction challenges arising from strong multi-variable coupling and nonlinear time series characteristics, this paper proposes a prediction approach integrating feature selection, heterogeneous model ensemble, and probabilistic interval estimation. Firstly, the Relief algorithm is adopted to select key features and construct a time series feature set with high discriminability. Then, a hierarchical architecture encompassing deep feature extraction, heterogeneous model fusion, and probabilistic interval quantification is devised. CNN is utilized to extract spatial correlation features among multiple variables, while BiLSTM is employed to bidirectionally capture the long-term and short-term temporal dependencies of the temperature sequence, thereby forming a deep temporal–spatial feature representation. Subsequently, RF is introduced to establish a heterogeneous model ensemble mechanism, and dynamic weight allocation is implemented based on the Mean Absolute Error of the validation set to enhance the modeling capability for nonlinear coupling relationships. Finally, Gaussian probabilistic regression is leveraged to generate multi-confidence prediction intervals for quantifying prediction uncertainty. Experiments on the real rotary kiln dataset demonstrate that the R2 of the proposed model is improved by up to 15.5% compared with single CNN, BiLSTM and RF models, and the Mean Absolute Error is reduced by up to 27.7%, which indicates that the model exhibits strong robustness to the dynamic operating conditions of the rotary kiln and provides both accuracy guarantee and risk quantification basis for process decision-making. This method offers a new paradigm integrating feature selection, adaptive heterogeneous model collaboration, and uncertainty quantification for industrial multi-variable nonlinear time series prediction, and its hierarchical modeling concept is valuable for the intelligent perception of complex process industrial parameters. Full article
(This article belongs to the Special Issue Transfer Learning Methods in Equipment Reliability Management)
Show Figures

Figure 1

Back to TopTop