A Photosynthetic Rate Prediction Model for Cucumber Based on a Machine Learning Algorithm and Multi-Factor Environmental Analysis
Abstract
1. Introduction
2. Materials and Methods
2.1. Experimental Materials
2.2. Data Collection
2.3. Data Preprocessing
2.4. Model Construction
2.4.1. SVR Model
2.4.2. BP, RBF, and RF Algorithm
2.5. Model Validation
2.6. Model Evaluation
2.7. Software Implementation and Data Visualization
3. Results
3.1. Net Photosynthetic Rate Responds to Multiple Environmental Factors
3.2. Model Optimization Results
3.2.1. SVR Model Optimization Results
3.2.2. BP Neural Network Optimization Results
3.2.3. RBF Neural Network Optimization Results
3.2.4. RF Model Optimization Results
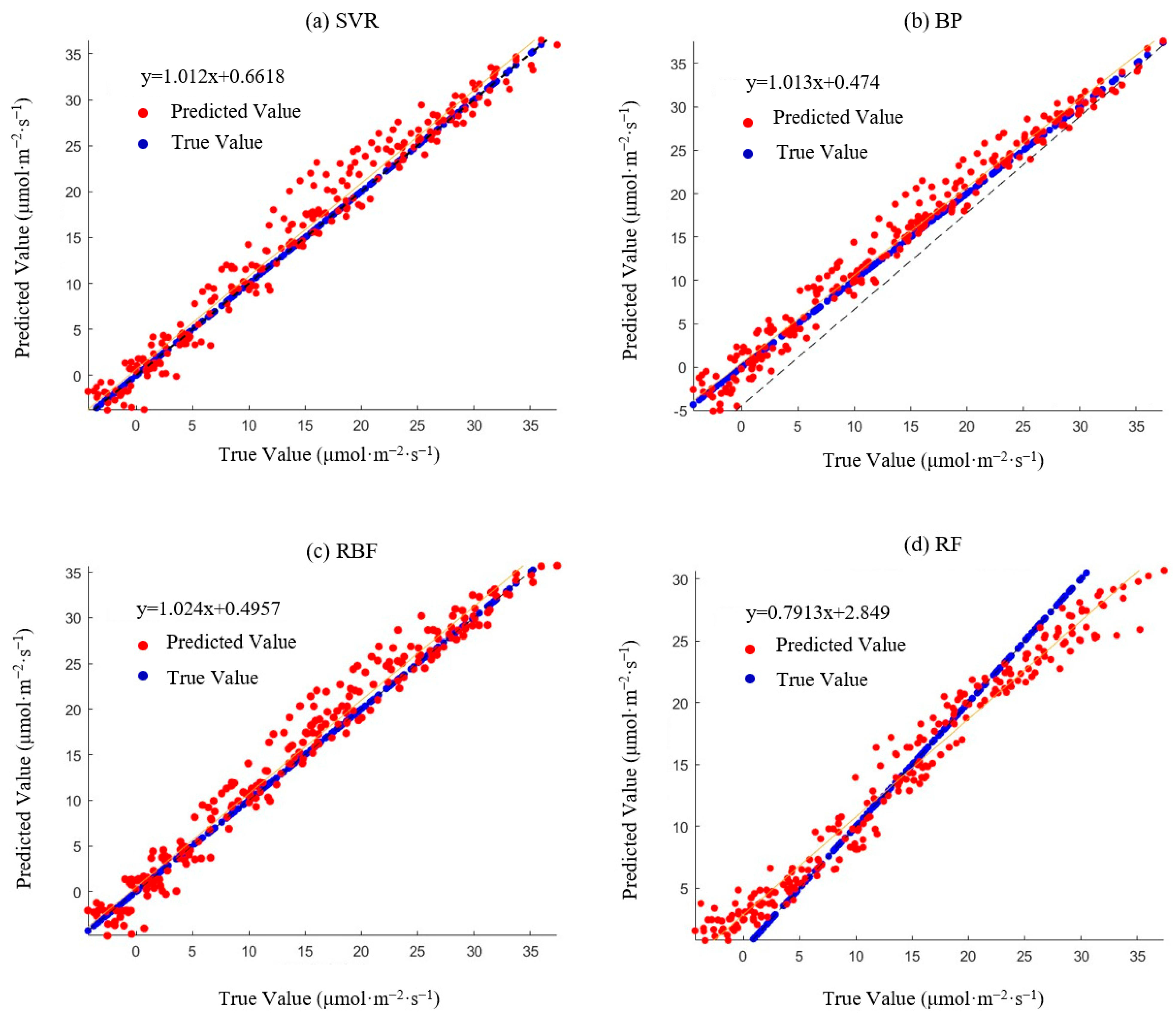
3.3. Comparative Analysis of Four Photosynthetic Rate Prediction Models
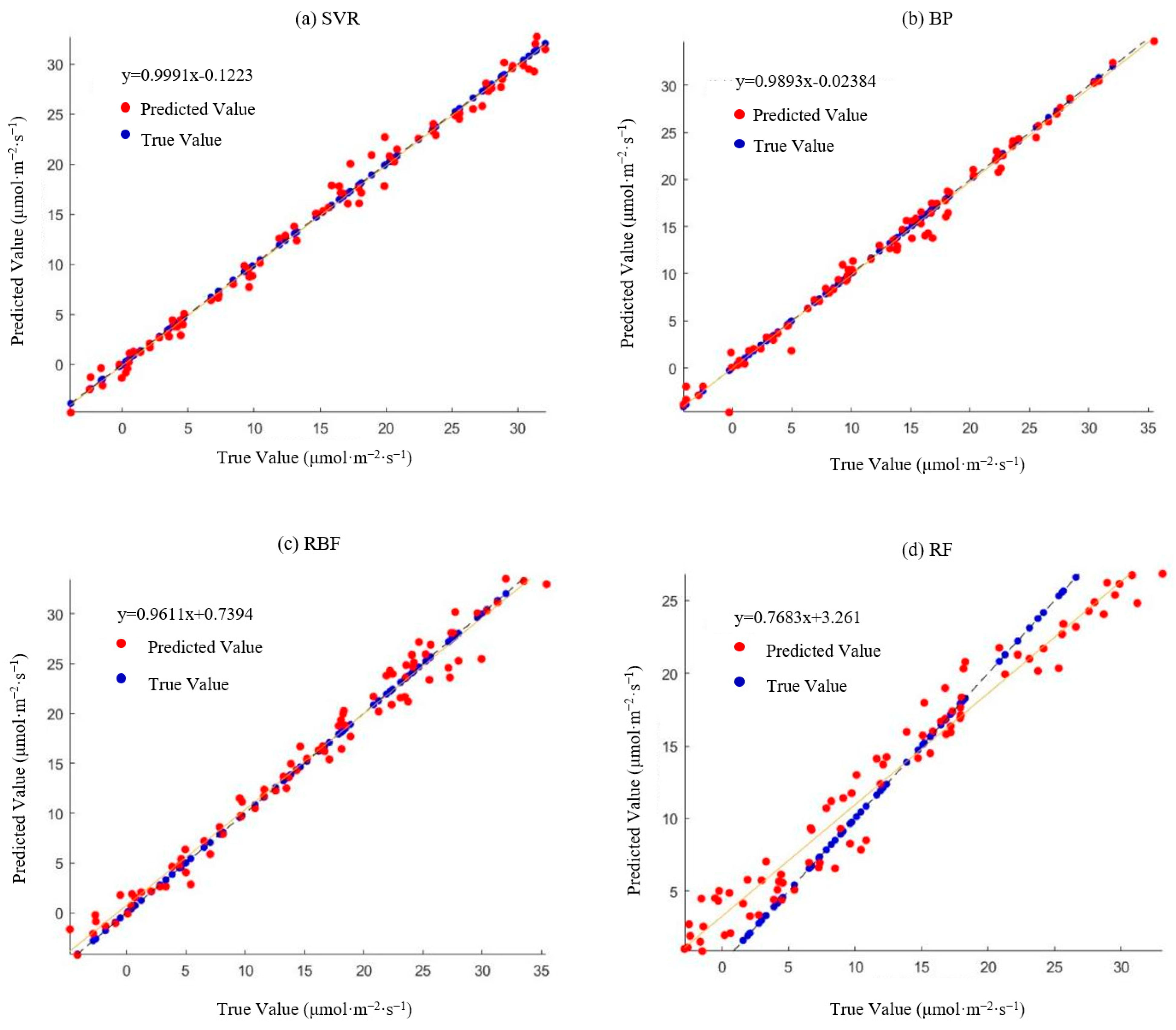
3.4. Model Validation Results
4. Discussion
5. Conclusions
Supplementary Materials
Author Contributions
Funding
Data Availability Statement
Conflicts of Interest
References
- Liu, J.; Meng, Y.; Lv, F.; Chen, J.; Ma, Y.; Wang, Y.; Chen, B.; Zhang, L.; Zhou, Z. Photosynthetic characteristics of the subtending leaf of cotton boll at different fruiting branch nodes and their relationships with lint yield and fiber quality. Front. Plant Sci. 2015, 6, 747. [Google Scholar] [CrossRef]
- Zhang, X.; Leng, Z.; Wang, X.; Tian, S.; Zhang, Y.; Han, X.; Li, Z. Analysis of the current situation and trends of optical sensing technology application for facility vegetable life information detection. Agronomy 2025, 15, 2229. [Google Scholar] [CrossRef]
- Jamil, F.; Ibrahim, M.; Ullah, I.; Kim, S.; Kahng, H.K.; Kim, D.-H. Optimal smart contract for autonomous greenhouse environment based on IoT blockchain network in agriculture. Comput. Electron. Agric. 2022, 192, 106573. [Google Scholar] [CrossRef]
- Arnon, D.I.J.E. The photosynthetic energy conversion process in isolated chloroplasts. Experientia 1966, 22, 273–287. [Google Scholar] [CrossRef] [PubMed]
- Yang, C.; Du, S.; Shi, Y.; Zhang, D.; Yue, J.; Li, X.; Jin, H.; Fang, B.; Wei, F.; Zhang, Z.J.B.P.B. Differential sensitivity of photosynthetic electron transport to dark-induced senescence in wheat flag leaves. BMC Plant Biol. 2025, 25, 650. [Google Scholar] [CrossRef] [PubMed]
- Sattari Vayghan, H.; Tavalaei, S.; Grillon, A.; Meyer, L.; Ballabani, G.; Glauser, G.; Longoni, P. Growth temperature influence on lipids and photosynthesis in Lepidium sativum. Front. Plant Sci. 2020, 11, 2020. [Google Scholar] [CrossRef]
- Wu, P.; Ma, Y.; Ahammed, G.J.; Hao, B.; Chen, J.; Wan, W.; Zhao, Y.; Cui, H.; Xu, W.; Cui, J.J.F.i.P.S. Insights into melatonin-induced photosynthetic electron transport under low-temperature stress in cucumber. Front. Plant Sci. 2022, 13, 1029854. [Google Scholar] [CrossRef]
- Campbell, W.J.; Allen, L., Jr.; Bowes, G. Effects of CO2 concentration on rubisco activity, amount, and photosynthesis in soybean leaves. Plant Physiol. 1988, 88, 1310–1316. [Google Scholar] [CrossRef] [PubMed]
- He, L.; Yu, L.; Li, B.; Du, N.; Guo, S. The effect of exogenous calcium on cucumber fruit quality, photosynthesis, chlorophyll fluorescence, and fast chlorophyll fluorescence during the fruiting period under hypoxic stress. BMC Plant Biol. 2018, 18, 180. [Google Scholar] [CrossRef]
- Ma, X.; Liu, Q.; Zhang, Z.; Zhang, Z.; Zhou, Z.; Jiang, Y.; Huang, X.J.P.O. Effects of photosynthetic models on the calculation results of photosynthetic response parameters in young Larix principis-rupprechtii Mayr. plantation. PLoS ONE 2021, 16, e0261683. [Google Scholar] [CrossRef]
- Yi, G.; Quanjiu, W.; Kang, W.; Jihong, Z.; Kai, W.; Yang, L. Spring irrigation with magnetized water affects soil water-salt distribution, emergence, growth, and photosynthetic characteristics of cotton seedlings in Southern Xinjiang, China. BMC Plant Biol. 2023, 23, 174. [Google Scholar] [CrossRef]
- Acock, B.; Charles-Edwards, D.A.; Fitter, D.J.; Hand, D.W.; Wilson, J.W. Modelling canopy net photosynthesis by isolated blocks and rows of chrysanthemum plants. Ann. Appl. Biol. 1978, 90, 255–263. [Google Scholar] [CrossRef]
- Liu, B.; Gao, L.; Li, B.; Marcos-Martinez, R.; Bryan, B.A. Nonparametric machine learning for mapping forest cover and exploring influential factors. Landsc. Ecol. 2020, 35, 1683–1699. [Google Scholar] [CrossRef]
- Sideratos, G.; Hatziargyriou, N.D. A distributed memory RBF-based model for variable generation forecasting. Int. J. Electr. Power Energy Syst. 2020, 120, 106041. [Google Scholar] [CrossRef]
- Du, B.; Lund, P.D.; Wang, J.; Kolhe, M.; Hu, E. Comparative study of modelling the thermal efficiency of a novel straight through evacuated tube collector with MLR, SVR, BP and RBF methods. Sustain. Energy Technol. Assess. 2021, 44, 101029. [Google Scholar] [CrossRef]
- Sari, P.A.; Suhatril, M.; Osman, N.; Mu’azu, M.A.; Dehghani, H.; Sedghi, Y.; Safa, M.; Hasanipanah, M.; Wakil, K.; Khorami, M.; et al. An intelligent based-model role to simulate the factor of safe slope by support vector regression. Eng. Comput. 2019, 35, 1521–1531. [Google Scholar] [CrossRef]
- Dong, C.; Xie, K.; Sun, X.; Lyu, M.; Yue, H. Roadway traffic crash prediction using a state-space model based support vector regression approach. PLoS ONE 2019, 14, e0214866. [Google Scholar] [CrossRef]
- Zhang, Z. Application of deep reinforcement learning in parameter optimization and refinement of turbulence models. Sci. Rep. 2025, 15, 25236. [Google Scholar] [CrossRef]
- Chen, S.; Liu, A.; Tang, F.; Hou, P.; Lu, Y.; Yuan, P. A Review of environmental control strategies and models for modern agricultural greenhouses. Sensors 2025, 25, 1388. [Google Scholar] [CrossRef] [PubMed]
- Aberra, A.S.; Lopez, A.; Grill, W.M.; Peterchev, A.V. Rapid estimation of cortical neuron activation thresholds by transcranial magnetic stimulation using convolutional neural networks. NeuroImage 2023, 275, 120184. [Google Scholar] [CrossRef] [PubMed]
- Wong, H.-T.; Mai, J.; Wang, Z.; Leung, C.-S. Generalized M-sparse algorithms for constructing fault tolerant RBF networks. Neural Netw. 2024, 180, 106633. [Google Scholar] [CrossRef]
- Cutler, D.R.; Edwards, T.C., Jr.; Beard, K.H.; Cutler, A.; Hess, K.T.; Gibson, J.; Lawler, J.J. Random forests for classification in ecology. Ecology 2007, 88, 2783–2792. [Google Scholar] [CrossRef]
- Gao, P.; Tian, Z.; Lu, Y.; Lu, M.; Zhang, H.; Wu, H.; Hu, J. A decision-making model for light environment control of tomato seedlings aiming at the knee point of light-response curves. Comput. Electron. Agric. 2022, 198, 107103. [Google Scholar] [CrossRef]
- Filippi, P.; Jones, E.J.; Wimalathunge, N.S.; Somarathna, P.D.S.N.; Pozza, L.E.; Ugbaje, S.U.; Jephcott, T.G.; Paterson, S.E.; Whelan, B.M.; Bishop, T.F.A. An approach to forecast grain crop yield using multi-layered, multi-farm data sets and machine learning. Precis. Agric. 2019, 20, 1015–1029. [Google Scholar] [CrossRef]
- Li, B.; Qiao, B.; Zhao, Q.; Yang, D.; Zhu, R.; Wang, Z.; Yang, Y. A Predictive model of the photosynthetic rate of chili peppers using support vector regression and environmental multi-factor analysis. Horticulturae 2025, 11, 502. [Google Scholar] [CrossRef]
- Zhang, J.-S.; Liang, X.; Gao, Y.; Zhang, X.; Tian, Y.; Zhang, Z.; Gao, L. Effect of optimal daily fertigation on migration of water and salt in soil, root growth and fruit yield of cucumber (Cucumis sativus L.) in solar-greenhouse. PLoS ONE 2014, 9, 6975. [Google Scholar] [CrossRef]
- Niu, Y.; Lyu, H.; Liu, X.; Zhang, M.; Li, H. Effects of supplemental lighting duration and matrix moisture on net photosynthetic rate of tomato plants under solar greenhouse in winter. Comput. Electron. Agric. 2022, 198, 107102. [Google Scholar] [CrossRef]
- Xin, P.; Zhang, H.; Hu, J.; Wang, Z.; Zhang, Z. An improved photosynthesis prediction model based on artificial neural networks intended for cucumber growth control. Appl. Eng. Agric. 2018, 34, 769–787. [Google Scholar] [CrossRef]
- Wei, Z.; Wan, X.; Lei, W.; Yuan, K.; Lu, M.; Li, B.; Gao, P.; Wu, H.; Hu, J. A cucumber photosynthetic rate prediction model in whole growth period with time parameters. Agriculture 2023, 13, 204. [Google Scholar] [CrossRef]
- Galmés, J.; Capó-Bauçà, S.; Niinemets, Ü.; Iñiguez, C. Potential improvement of photosynthetic CO2 assimilation in crops by exploiting the natural variation in the temperature response of Rubisco catalytic traits. Curr. Opin. Plant Biol. 2019, 49, 60–67. [Google Scholar] [CrossRef]
- Wang, Y.; Chan, K.X.; Long, S.P. Towards a dynamic photosynthesis model to guide yield improvement in C4 crops. Plant J. 2021, 107, 343–359. [Google Scholar] [CrossRef] [PubMed]
- Gao, P.; Lu, M.; Yang, Y.; Li, H.; Tian, S.; Hu, J. A predictive model of photosynthetic rates for eggplants: Integrating physiological and environmental parameters. Comput. Electron. Agric. 2025, 234, 110241. [Google Scholar] [CrossRef]
- Pu, L.; Li, Y.; Gao, P.; Zhang, H.; Hu, J. A photosynthetic rate prediction model using improved RBF neural network. Sci. Rep. 2022, 12, 2932. [Google Scholar] [CrossRef]
- Cheng, Y.; Li, N.; Li, Z.; Zhou, A.; Li, B.; Miao, Y. Analysis of multi-environment-driven variations in net photosynthetic rate and predictive model development for tomatoes during early flowering and fruit development stages in winter solar greenhouses. Horticulturae 2025, 11, 1367. [Google Scholar] [CrossRef]
- Teng, J.; Hou, R.; Dungait, J.A.J.; Zhou, G.; Kuzyakov, Y.; Zhang, J.; Tian, J.; Cui, Z.; Zhang, F.; Delgado-Baquerizo, M. Conservation agriculture improves soil health and sustains crop yields after long-term warming. Nat. Commun. 2024, 15, 8785. [Google Scholar] [CrossRef]
- Bernacchi, C.J.; Long, S.P.; Ort, D.R. Safeguarding crop photosynthesis in a rapidly warming world. Science 2025, 388, 1153–1160. [Google Scholar] [CrossRef] [PubMed]
- Chen, L.-S.; Li, P.; Cheng, L. Effects of high temperature coupled with high light on the balance between photooxidation and photoprotection in the sun-exposed peel of apple. Planta 2008, 228, 745–756. [Google Scholar] [CrossRef] [PubMed]
- Koo, J.K.; Hwang, H.S.; Hwang, J.H.; Park, E.W.; Yu, J.; Yun, J.H.; Hwang, S.Y.; Choi, H.E.; Hwang, S.J. Supplemental lighting and CO2 enrichment on the growth, fruit quality, and yield of cucumber. Hortic. Environ. Biotechnol. 2025, 66, 77–85. [Google Scholar] [CrossRef]
- Santos, C.E.d.S.; Sampaio, R.C.; Coelho, L.d.S.; Bestard, G.A.; Llanos, C.H. Multi-objective adaptive differential evolution for SVM/SVR hyperparameters selection. Pattern Recognit. 2021, 110, 107649. [Google Scholar] [CrossRef]
- da Silva Santos, C.E.; dos Santos Coelho, L.; Llanos, C.H.J.M. Nature inspired optimization tools for SVMs-NIOTS. MethodsX 2021, 8, 101574. [Google Scholar] [CrossRef]
- Zhang, P.; Zhang, Z.; Li, B.; Zhang, H.; Hu, J.; Zhao, J. Photosynthetic rate prediction model of newborn leaves verified by core fluorescence parameters. Sci. Rep. 2020, 10, 3013. [Google Scholar] [CrossRef]
- Jia, W.; Zhao, D.; Ding, L. An optimized RBF neural network algorithm based on partial least squares and genetic algorithm for classification of small sample. Appl. Soft Comput. 2016, 48, 373–384. [Google Scholar] [CrossRef]
- Bourel, M.; Segura, A.M. Multiclass classification methods in ecology. Ecol. Indic. 2018, 85, 1012–1021. [Google Scholar] [CrossRef]
- Shamshirband, S.; Hashemi, S.; Salimi, H.; Samadianfard, S.; Asadi, E.; Shadkani, S.; Kargar, K.; Mosavi, A.; Nabipour, N.; Chau, K.-W. Predicting Standardized Streamflow index for hydrological drought using machine learning models. Eng. Appl. Comput. Fluid Mech. 2020, 14, 339–350. [Google Scholar] [CrossRef]
- Kaneko, T.; Nomura, K.; Yasutake, D.; Iwao, T.; Okayasu, T.; Ozaki, Y.; Mori, M.; Hirota, T.; Kitano, M. A canopy photosynthesis model based on a highly generalizable artificial neural network incorporated with a mechanistic understanding of single-leaf photosynthesis. Agric. For. Meteorol. 2022, 323, 109036. [Google Scholar] [CrossRef]
- Lawrence, E.H.; Stinziano, J.R.; Hanson, D.T. Using the rapid A-Ci response (RACiR) in the Li-Cor 6400 to measure developmental gradients of photosynthetic capacity in poplar. Plant Cell Environ. 2019, 42, 740–750. [Google Scholar] [CrossRef] [PubMed]
- He, X.-h.; Si, J.-h.; Zhou, D.-m.; Wang, C.-l.; Zhao, C.-y.; Jia, B.; Qin, J.; Zhu, X.-l. Leaf chlorophyll parameters and photosynthetic characteristic variations with stand age in a typical desert species (Haloxylon ammodendron). Front. Plant Sci. 2022, 13, 2022. [Google Scholar] [CrossRef] [PubMed]
- Xin, P.; Li, B.; Zhang, H.; Hu, J. Optimization and control of the light environment for greenhouse crop production. Sci. Rep. 2019, 9, 8650. [Google Scholar] [CrossRef] [PubMed]
- Li, Y.; Gao, X.; Li, T.; Jin, H.; Zhu, H.; Wu, Q.; Lu, B.; Xiong, Q. Estimation of the net photosynthetic rate for waterlogged winter wheat based on digital image technology. Agron. J. 2023, 115, 230–241. [Google Scholar] [CrossRef]
- Grossiord, C.; Buckley, T.N.; Cernusak, L.A.; Novick, K.A.; Poulter, B.; Siegwolf, R.T.W.; Sperry, J.S.; McDowell, N.G. Plant responses to rising vapor pressure deficit. New Phytol. 2020, 226, 1550–1566. [Google Scholar] [CrossRef]





| Hidden Layer Function | Output Layer Function | Training Set | Test Set | ||||
|---|---|---|---|---|---|---|---|
| R2 | AdjR2 | RMSE | R2 | AdjR2 | RMSE | ||
| logsig | purelin | 0.9848 | 0.9846 | 1.3187 | 0.9769 | 0.9756 | 1.5091 |
| tansig | purelin | 0.9940 | 0.9939 | 0.8190 | 0.9918 | 0.9915 | 0.9264 |
| purelin | purelin | 0.7501 | 0.7462 | 5.3108 | 0.7409 | 0.7312 | 5.0259 |
| logsig | tansig | 0.9939 | 0.9938 | 0.7978 | 0.9859 | 0.9854 | 1.3142 |
| tansig | tansig | 0.9905 | 0.9903 | 0.9930 | 0.9859 | 0.9854 | 1.3346 |
| purelin | tansig | 0.7509 | 0.7470 | 5.2527 | 0.7339 | 0.7239 | 5.4033 |
| logsig | logsig | 0.3555 | 0.3454 | 8.3722 | 0.2144 | 0.1849 | 9.3782 |
| tansig | logsig | 0.2146 | 0.2023 | 9.3742 | 0.0874 | 0.0523 | 9.8730 |
| purelin | logsig | 0.1730 | 0.1600 | 9.4486 | 0.1946 | 0.1644 | 9.6815 |
| Dataset | Predictive Model | R2 | MAE (µmol m−2 s−1) | RMSE (µmol m−2 s−1) | MAPE |
|---|---|---|---|---|---|
| Training set | SVR | 0.9949 | 0.5747 | 0.7664 | 0.3097 |
| BP | 0.9887 | 0.8106 | 1.1390 | 0.4002 | |
| RBF | 0.9865 | 1.0001 | 1.2669 | 0.7270 | |
| RF | 0.9444 | 1.9649 | 2.4530 | 1.3968 | |
| Test set | SVR | 0.9941 | 0.5954 | 0.7802 | 0.1690 |
| BP | 0.9847 | 0.9406 | 1.2342 | 0.2155 | |
| RBF | 0.9637 | 1.3358 | 1.7945 | 0.2062 | |
| RF | 0.9225 | 2.465 | 2.9837 | 1.1501 |
| Dataset | Predictive Model | R2 | MAE (µmol m−2 s−1) | RMSE (µmol m−2 s−1) | MAPE |
|---|---|---|---|---|---|
| Validation set | SVR | 0.9644 | 1.5715 | 2.0574 | 1.2634 |
| BP | 0.9606 | 1.6278 | 2.1652 | 0.6638 | |
| RBF | 0.9606 | 1.6588 | 2.1662 | 4.2439 | |
| RF | 0.9133 | 2.5499 | 3.2128 | 16.9413 |
Disclaimer/Publisher’s Note: The statements, opinions and data contained in all publications are solely those of the individual author(s) and contributor(s) and not of MDPI and/or the editor(s). MDPI and/or the editor(s) disclaim responsibility for any injury to people or property resulting from any ideas, methods, instructions or products referred to in the content. |
© 2025 by the authors. Licensee MDPI, Basel, Switzerland. This article is an open access article distributed under the terms and conditions of the Creative Commons Attribution (CC BY) license (https://creativecommons.org/licenses/by/4.0/).
Share and Cite
Miao, Y.; Liu, L.; Wang, M.; Zeng, Z.; Zhang, J.; Cheng, Y.; Li, B. A Photosynthetic Rate Prediction Model for Cucumber Based on a Machine Learning Algorithm and Multi-Factor Environmental Analysis. Horticulturae 2025, 11, 1475. https://doi.org/10.3390/horticulturae11121475
Miao Y, Liu L, Wang M, Zeng Z, Zhang J, Cheng Y, Li B. A Photosynthetic Rate Prediction Model for Cucumber Based on a Machine Learning Algorithm and Multi-Factor Environmental Analysis. Horticulturae. 2025; 11(12):1475. https://doi.org/10.3390/horticulturae11121475
Chicago/Turabian StyleMiao, Yanxiu, Liyuan Liu, Miaoyu Wang, Zhihao Zeng, Jun Zhang, Yongsan Cheng, and Bin Li. 2025. "A Photosynthetic Rate Prediction Model for Cucumber Based on a Machine Learning Algorithm and Multi-Factor Environmental Analysis" Horticulturae 11, no. 12: 1475. https://doi.org/10.3390/horticulturae11121475
APA StyleMiao, Y., Liu, L., Wang, M., Zeng, Z., Zhang, J., Cheng, Y., & Li, B. (2025). A Photosynthetic Rate Prediction Model for Cucumber Based on a Machine Learning Algorithm and Multi-Factor Environmental Analysis. Horticulturae, 11(12), 1475. https://doi.org/10.3390/horticulturae11121475

