Preparation of Chitin–Glucan Complex Aerogel from Mycelium Waste with Tunable Properties
Abstract
1. Introduction
2. Results and Discussion
2.1. Isolation and Dissolution of CGC
2.2. Effect of NaOH Concentration
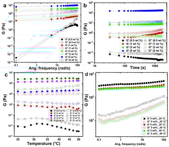
2.3. Rheological Properties of GCG
2.4. Chemical Structure of CGC
2.5. SEM of CGC Aerogels
2.6. Cell Viability Assay of CGC Aerogel
3. Conclusions
4. Materials and Methods
4.1. Isolation of CGC
4.2. Dissolution and Preparation of CGC Aerogels
4.3. Characterization of CGC
Supplementary Materials
Author Contributions
Funding
Institutional Review Board Statement
Informed Consent Statement
Data Availability Statement
Acknowledgments
Conflicts of Interest
References
- Meichik, N.R.; Vorob’ev, D.V. Chitin-glucan complex in cell walls of the Peltigera aphthosa lichen. Appl. Biochem. Microbiol. 2012, 48, 307–311. [Google Scholar] [CrossRef]
- Gautier, S.; Xhauflaire-Uhoda, E.; Gonry, P.; Piérard, G.E. Chitin–glucan, a natural cell scaffold for skin moisturization and rejuvenation. Int. J. Cosmet. Sci. 2008, 30, 459–469. [Google Scholar] [CrossRef]
- Abdel-Mohsen, A.M.; Jancar, J.; Massoud, D.; Fohlerova, Z.; Elhadidy, H.; Spotz, Z.; Hebeish, A. Novel chitin/chitosan-glucan wound dressing: Isolation, characterization, antibacterial activity and wound healing properties. Int. J. Pharm. 2016, 510, 86–99. [Google Scholar] [CrossRef]
- Roca, C.; Chagas, B.; Farinha, I.; Freitas, F.; Mafra, L.; Aguiar, F.; Oliveira, R.; Reis, M.A.M. Production of yeast chitin–glucan complex from biodiesel industry byproduct. Process Biochem. 2012, 47, 1670–1675. [Google Scholar] [CrossRef]
- Wu, T.; Zivanovic, S.; Draughon, F.A.; Conway, W.S.; Sams, C.E. Physicochemical Properties and Bioactivity of Fungal Chitin and Chitosan. J. Agric. Food Chem. 2005, 53, 3888–3894. [Google Scholar] [CrossRef] [PubMed]
- Abdel-Rahman, R.M.; Hrdina, R.; Abdel-Mohsen, A.M.; Fouda, M.M.G.; Soliman, A.Y.; Mohamed, F.K.; Mohsin, K.; Pinto, T.D. Chitin and chitosan from Brazilian Atlantic Coast: Isolation, characterization and antibacterial activity. Int. J. Biol. Macromol. 2015, 80, 107–120. [Google Scholar] [CrossRef] [PubMed]
- Abdel-Mohsen, A.M.; Abdel-Rahman, R.M.; Kubena, I.; Kobera, L.; Spotz, Z.; Zboncak, M.; Prikryl, R.; Brus, J.; Jancar, J. Chitosan-glucan complex hollow fibers reinforced collagen wound dressing embedded with aloe vera. Part I: Preparation and characterization. Carbohydr. Polym. 2020, 230, 115708. [Google Scholar] [CrossRef]
- Abdel-Mohsen, A.M.; Frankova, J.; Abdel-Rahman, R.M.; Salem, A.A.; Sahffie, N.M.; Kubena, I.; Jancar, J. Chitosan-glucan complex hollow fibers reinforced collagen wound dressing embedded with aloe vera. II. Multifunctional properties to promote cutaneous wound healing. Int. J. Pharm. 2020, 582, 119349. [Google Scholar] [CrossRef] [PubMed]
- Abdel-Rahman, R.M.; Vishakha, V.; Kelnar, I.; Jancar, J.; Abdel-Mohsen, A.M. Synergistic performance of collagen-g-chitosan-glucan fiber biohybrid scaffold with tunable properties. Int. J. Biol. Macromol. 2022, 202, 671–680. [Google Scholar] [CrossRef]
- Berecochea-Lopez, A.; Decordé, K.; Ventura, E.; Godard, M.; Bornet, A.; Teissèdre, P.-L.; Cristol, J.-P.; Rouanet, J.-M. Fungal Chitin−Glucan from Aspergillus niger Efficiently Reduces Aortic Fatty Streak Accumulation in the High-Fat Fed Hamster, an Animal Model of Nutritionally Induced Atherosclerosis. J. Agric. Food Chem. 2009, 57, 1093–1098. [Google Scholar] [CrossRef]
- Feofilova, E.P. The fungal cell wall: Modern concepts of its composition and biological function. Microbiology 2010, 79, 711–720. [Google Scholar] [CrossRef]
- Araújo, D.; Alves, V.D.; Marques, A.C.; Fortunato, E.; Reis, M.A.M.; Freitas, F. Low Temperature Dissolution of Yeast Chitin-Glucan Complex and Characterization of the Regenerated Polymer. Bioengineering 2020, 7, 28. [Google Scholar] [CrossRef]
- Neyrinck, A.M.; Possemiers, S.; Verstraete, W.; De Backer, F.; Cani, P.D.; Delzenne, N.M. Dietary modulation of clostridial cluster XIVa gut bacteria (Roseburia spp.) by chitin–glucan fiber improves host metabolic alterations induced by high-fat diet in mice. J. Nutr. Biochem. 2012, 23, 51–59. [Google Scholar] [CrossRef]
- Ferreira, I.C.; Araújo, D.; Voisin, P.; Alves, V.D.; Rosatella, A.A.; Afonso, C.A.M.; Freitas, F.; Neves, L.A. Chitin-glucan complex—Based biopolymeric structures using biocompatible ionic liquids. Carbohydr. Polym. 2020, 247, 116679. [Google Scholar] [CrossRef]
- Feofilova, E.P.; Nemtsev, D.V.; Tereshina, V.M.; Memorskaya, A.S. Developmental change of the composition and content of the chitin-glucan complex in the fungus Aspergillus niger. Appl. Biochem. Microbiol. 2006, 42, 545–549. [Google Scholar] [CrossRef]
- Nwe, N.; Stevens, W.F.; Tokura, S.; Tamura, H. Characterization of chitosan and chitosan–glucan complex extracted from the cell wall of fungus Gongronella butleri USDB 0201 by enzymatic method. Enzym. Microb. Technol. 2008, 42, 242–251. [Google Scholar] [CrossRef]
- Ivshin, V.P.; Artamonova, S.D.; Ivshina, T.N.; Sharnina, F.F. Methods for isolation of chitin-glucan complexes from higher fungi native biomass. Polym. Sci. Ser. B 2007, 49, 305–310. [Google Scholar] [CrossRef]
- Aili, D.; Adour, L.; Houali, K.; Amrane, A. Effect of temperature in Chitin and Chitosan production by solid culture of Penicillium Camembertii on YPG medium. Int. J. Biol. Macromol. 2019, 133, 998–1007. [Google Scholar] [CrossRef] [PubMed]
- Gong, Z.; Zhang, S.; Liu, J. Recent Advances in Chitin Biosynthesis Associated with the Morphology and Secondary Metabolite Synthesis of Filamentous Fungi in Submerged Fermentation. J. Fungi 2023, 9, 205. [Google Scholar] [CrossRef] [PubMed]
- Nwe, N.; Stevens, W.F. Chitosan isolation from the chitosan-glucan complex of fungal cell wall using amylolytic enzymes. Biotechnol. Lett. 2002, 24, 1461–1464. [Google Scholar] [CrossRef]
- Beran, K.; Holan, Z.; Baldrián, J. The chitin-glucan complex inSaccharomyces cerevisiae. Folia Microbiol. 1972, 17, 322–330. [Google Scholar] [CrossRef]
- Mislovičová, D.; Masárová, J.; Bendžálová, K.; Šoltés, L.; Machová, E. Sonication of chitin–glucan, preparation of water-soluble fractions and characterization by HPLC. Ultrason. Sonochemistry 2000, 7, 63–68. [Google Scholar] [CrossRef]
- Cabib, E.; Blanco, N.; Arroyo, J. Presence of a Large β(1-3)Glucan Linked to Chitin at the Saccharomyces cerevisiae Mother-Bud Neck Suggests Involvement in Localized Growth Control. Eukaryot. Cell 2012, 11, 388–400. [Google Scholar] [CrossRef]
- Abdelrahman, R.M.; Abdel-Mohsen, A.M.; Zboncak, M.; Frankova, J.; Lepcio, P.; Kobera, L.; Steinhart, M.; Pavlinak, D.; Spotaz, Z.; Sklenářévá, R.; et al. Hyaluronan biofilms reinforced with partially deacetylated chitin nanowhiskers: Extraction, fabrication, in-vitro and antibacterial properties of advanced nanocomposites. Carbohydr. Polym. 2020, 235, 115951. [Google Scholar] [CrossRef] [PubMed]
- Abdel-Rahman, R.M.; Abdel-Mohsen, A.M.; Frankova, J.; Piana, F.; Kalina, L.; Gajdosova, V.; Kapralkova, L.; Thottappali, M.A.; Jancar, J. Self-Assembled Hydrogel Membranes with Structurally Tunable Mechanical and Biological Properties. Biomacromolecules 2024, 25, 3449–3463. [Google Scholar] [CrossRef]
- Abdel-Rahman, R.M.; Abdel-Mohsen, A.M.; Hrdina, R.; Burgert, L.; Fohlerova, Z.; Pavliňák, D.; Sayed, O.N.; Jancar, J. Wound dressing based on chitosan/hyaluronan/nonwoven fabrics: Preparation, characterization and medical applications. Int. J. Biol. Macromol. 2016, 89, 725–736. [Google Scholar] [CrossRef]
- Abdel-Mohsen, A.M.; Jancar, J.; Kalina, L.; Hassan, A.F. Comparative study of chitosan and silk fibroin staple microfibers on removal of chromium (VI): Fabrication, kinetics and thermodynamic studies. Carbohydr. Polym. 2020, 234, 115861. [Google Scholar] [CrossRef] [PubMed]
- Přichystalová, H.; Almonasy, N.; Abdel-Mohsen, A.M.; Abdel-Rahman, R.M.; Fouda, M.M.G.; Vojtova, L.; Kobera, L.; Spotz, Z.; Burgert, L.; Jancar, J. Synthesis, characterization and antibacterial activity of new fluorescent chitosan derivatives. Int. J. Biol. Macromol. 2014, 65, 234–240. [Google Scholar] [CrossRef] [PubMed]
- Abdel-Mohsen, A.M.; Aly, A.S.; Hrdina, R.; Montaser, A.S.; Hebeish, A. Biomedical Textiles Through Multifunctioalization of Cotton Fabrics Using Innovative Methoxypolyethylene Glycol-N-Chitosan Graft Copolymer. J. Polym. Environ. 2012, 20, 104–116. [Google Scholar] [CrossRef]
- Abdel-Mohsen, A.M.; Aly, A.S.; Hrdina, R.; El-Aref, A.T. A novel method for the preparation of silver/chitosan-O-methoxy polyethylene glycol core shell nanoparticles. J. Polym. Environ. 2012, 20, 459–468. [Google Scholar] [CrossRef]
- Aly, A.S.; Abdel-Mohsen, A.M.; Hebeish, A. Innovative multifinishing using chitosan-O-PEG graft copolymer/citric acid aqueous system for preparation of medical textiles. J. Text. Inst. 2010, 101, 76–90. [Google Scholar] [CrossRef]
- Aly, A.S.; Abdel-Mohsen, A.M.; Hrdina, R.; Abou-Okeil, A. Preparation and Characterization of Polyethylene Glycol/Dimethyl Siloxane Adduct and Its Utilization as Finishing Agent for Cotton Fabric. J. Nat. Fibers 2011, 8, 176–188. [Google Scholar] [CrossRef]
- Tarabukina, E.; Kalinina, N.A.; Adamov, A.V.; Petrova, V.A.; Nud’ga, L.A.; Klenin, S.I. Molecular characteristics and supermolecular organization of chitin-glucan complexes in solutions. Polym. Sci.—Ser. A 2005, 47, 462–468. [Google Scholar]
- Sietsma, J.H.; Wessels, J.G. Solubility of (1 leads to 3)-beta-D/(1 leads to 6)-beta-D-glucan in fungal walls: Importance of presumed linkage between glucan and chitin. J. Gen. Microbiol. 1981, 125, 209–212. [Google Scholar] [CrossRef]
- Peng, J.; Fu, R.; Huang, Y.; Lu, J.; Xie, X.; Xue, Z.; Chen, M.; Wu, X.; Yue, H.; Mai, H. Influence and mechanism of NaOH concentration on the dissolution of cellulose and extraction of CNF in alkaline solvents at 15 °C. Carbohydr. Polym. 2025, 353, 123265. [Google Scholar] [CrossRef]
- Hu, X.; Zhao, P.; Zhao, P.; Zhu, Y.; Zhao, Y.; Dai, L. Efficient extraction of chitin-glucan complex from Shiitake mushroom with deep eutectic solvent. J. Environ. Chem. Eng. 2025, 13, 117835. [Google Scholar] [CrossRef]
- Feng, S.; Liang, S.; Yang, J.; Yu, J.; Lin, Y.; Xie, Y.; Sun, P.; Shao, P. Naringenin-loaded Flammulina velutipes chitin-glucan complexes gel system: Structural modulation and dual lipid-lowering mechanisms. Food Chem. 2025, 493, 145791. [Google Scholar] [CrossRef]
- Cano-Gonzalez, C.N.; Bolaina-Lorenzo, E.D.; Rodriguez-Herrera, R.; Aguilar, C.N.; Morlett-Chavez, J.A.; Gomez-Schouben, A.L.; Macias-Garbett, R.; Contreras-Esquivel, J.C. Microwave-based gluconic acid-catalyzed extraction of chitin-glucan extract from industrial Aspergillus niger biomass with functional activities. Kuwait J. Sci. 2025, 52, 100329. [Google Scholar] [CrossRef]
- Maleki, H. Recent advances in aerogels for environmental remediation applications: A review. Chem. Eng. J. 2016, 300, 98–118. [Google Scholar] [CrossRef]
- Liao, J.; Huang, H. Magnetic chitin hydrogels prepared from Hericium erinaceus residues with tunable characteristics: A novel biosorbent for Cu2+ removal. Carbohydr. Polym. 2019, 220, 191–201. [Google Scholar] [CrossRef]
- Fu, Y.; Guo, Z. Natural polysaccharide-based aerogels and their applications in oil–water separations: A review. J. Mater. Chem. A 2022, 10, 8129–8158. [Google Scholar] [CrossRef]
- Zhao, Y.; Liu, J.; Koosha, M.; Li, T.; Vinokurov, V.; Gong, Y. Novel polyvinyl alcohol/chitin-glucan films with improved tensile strength and fast water absorption. Mater. Lett. 2025, 399, 139001. [Google Scholar] [CrossRef]
- Shen, K.; Yang, J.; Xiao, J.; Liu, L.; Normakhamatov, N.; Wang, Z. Chitin-glucan nanofibrils from Inonotus hispidus mycelium as Pickering emulsion stabilizers and lipid digestion regulators. Int. J. Biol. Macromol. 2025, 321, 146338. [Google Scholar] [CrossRef]
- Saya, L.; Gautam, D.; Malik, V.; Singh, W.R.; Hooda, S. Natural Polysaccharide Based Graphene Oxide Nanocomposites for Removal of Dyes from Wastewater: A Review. J. Chem. Eng. Data 2021, 66, 11–37. [Google Scholar] [CrossRef]
- Zhou, Y.; Cai, T.; Liu, S.; Liu, Y.; Chen, H.; Li, Z.; Du, J.; Lei, Z.; Peng, H. N-doped magnetic three-dimensional carbon microspheres@TiO2 with a porous architecture for enhanced degradation of tetracycline and methyl orange via adsorption/photocatalysis synergy. Chem. Eng. J. 2021, 411, 128615. [Google Scholar] [CrossRef]
- Wang, J.; Chen, Z.; Naguib, H.E. Preparation of a novel double crosslinked chitin aerogel via etherification with high strength. Carbohydr. Polym. 2021, 265, 118014. [Google Scholar] [CrossRef] [PubMed]
- Song, X.; Huang, X.; Li, Z.; Li, Z.; Wu, K.; Jiao, Y.; Zhou, C. Construction of blood compatible chitin/graphene oxide composite aerogel beads for the adsorption of bilirubin. Carbohydr. Polym. 2019, 207, 704–712. [Google Scholar] [CrossRef] [PubMed]
- Qin, Q.; Li, M.; Lan, P.; Liao, Y.; Sun, S.; Liu, H. Novel CaCO3/chitin aerogel: Synthesis and adsorption performance toward Congo red in aqueous solutions. Int. J. Biol. Macromol. 2021, 181, 786–792. [Google Scholar] [CrossRef]
- Xu, D.; Junchao, H.; Zhao, D.; Ding, B.; Na, N.; Cai, J. High-Flexibility, High-Toughness Double-Cross-Linked Chitin Hydrogels by Sequential Chemical and Physical Cross-Linkings. Adv. Mater. 2016, 28, 9667. [Google Scholar] [CrossRef]
- Qiao, L.; Zhao, L.; Du, K. Construction of hierarchically porous chitin microspheres via a novel Dual-template strategy for rapid and High-capacity removal of heavy metal ions. Chem. Eng. J. 2020, 393, 124818. [Google Scholar] [CrossRef]
- Hu, X.; Du, Y.; Tang, Y.; Wang, Q.; Feng, T.; Yang, J.; Kennedy, J.F. Solubility and property of chitin in NaOH/urea aqueous solution. Carbohydr. Polym. 2007, 70, 451–458. [Google Scholar] [CrossRef]
- Li, F.; You, X.; Li, Q.; Qin, D.; Wang, M.; Yuan, S.; Chen, X.; Bi, S. Homogeneous deacetylation and degradation of chitin in NaOH/urea dissolution system. Int. J. Biol. Macromol. 2021, 189, 391–397. [Google Scholar] [CrossRef] [PubMed]
- Fang, Y.; Duan, B.; Lu, A.; Liu, M.; Liu, H.; Xu, X.; Zhang, L. Intermolecular Interaction and the Extended Wormlike Chain Conformation of Chitin in NaOH/Urea Aqueous Solution. Biomacromolecules 2015, 16, 1410–1417. [Google Scholar] [CrossRef] [PubMed]
- Zhou, J.; Zhang, L. Solubility of Cellulose in NaOH/Urea Aqueous Solution. Polym. J. 2000, 32, 866–870. [Google Scholar] [CrossRef]
- Araújo, D.; Rodrigues, T.; Roma-Rodrigues, C.; Alves, V.D.; Fernandes, A.R.; Freitas, F. Chitin-Glucan Complex Hydrogels: Physical-Chemical Characterization, Stability, In Vitro Drug Permeation, and Biological Assessment in Primary Cells. Polymers 2023, 15, 791. [Google Scholar] [CrossRef]
- Abdel-Rahman, R.M.; Frankova, J.; Sklenarova, R.; Kapralkova, L.; Kelnar, I.; Abdel-Mohsen, A.M. Hyaluronan/Zinc Oxide Nanocomposite-Based Membrane: Preparation, Characterization, and In Vitro and In Vivo Evaluation. ACS Appl. Polym. Mater. 2022, 4, 7723–7738. [Google Scholar] [CrossRef]
- dos Santos Carvalho, J.D.; Rabelo, R.S.; Hubinger, M.D. Thermo-rheological properties of chitosan hydrogels with hydroxypropyl methylcellulose and methylcellulose. Int. J. Biol. Macromol. 2022, 209, 367–375. [Google Scholar] [CrossRef]
- do Amaral Sobral, P.J.; Gebremariam, G.; Drudi, F.; De Aguiar Saldanha Pinheiro, A.C.; Romani, S.; Rocculi, P.; Dalla Rosa, M. Rheological and Viscoelastic Properties of Chitosan Solutions Prepared with Different Chitosan or Acetic Acid Concentrations. Foods 2022, 11, 2692. [Google Scholar] [CrossRef]
- Lewandowska, K. Influence of molecular weight on structure and rheological properties of microcrystalline chitosan mixtures. Int. J. Biol. Macromol. 2015, 79, 583–586. [Google Scholar] [CrossRef]
- Issa, M.C.A.; Viana, R.M.M.; de Souza Mendes, P.R.; Naccache, M.F.; Varges, P.R.; Castaño, E.P.M.; Palermo, E. Analysis of Morphologic and Rheological Properties of Hyaluronic Acid Gel Fillers to Body Contouring and Its Clinical Correlation. Gels 2025, 11, 65. [Google Scholar] [CrossRef]
- Ambrosio, L.; Borzacchiello, A.; Netti, P.A.; Nicolais, L. Rheological study on hyaluronic acid and its derivative solutions. J. Macromol. Sci. Part A 1999, 36, 991–1000. [Google Scholar] [CrossRef]
- Buyukuysal, O.G.; Caglar, Z.; Ozgen, A.; Aydin, H.M. Modulating Rheological Properties via Non-Cross-Linked Phase in Biphasic Hyaluronic Acid Fillers. ACS Omega 2025, 10, 40942–40957. [Google Scholar] [CrossRef]
- Benchabane, A.; Bekkour, K. Rheological properties of carboxymethyl cellulose (CMC) solutions. Colloid Polym. Sci. 2008, 286, 1173–1180. [Google Scholar] [CrossRef]
- Ghannam, M.T.; Esmail, M.N. Rheological properties of carboxymethyl cellulose. J. Appl. Polym. Sci. 1997, 64, 289–301. [Google Scholar] [CrossRef]
- Salehi, F.; Inanloodoghouz, M.; Karami, M. Rheological properties of carboxymethyl cellulose (CMC) solution: Impact of high intensity ultrasound. Ultrason. Sonochemistry 2023, 101, 106655. [Google Scholar] [CrossRef]
- Sonnenberg, A.S.M.; Sietsma, J.H.; Wessels, J.G.H. Spatial and temporal differences in the synthesis of(1 → 3)-β and(1 → 6)-β linkages in a wall glucan ofSchizophyllum commune. Exp. Mycol. 1985, 9, 141–148. [Google Scholar] [CrossRef]
- Seichertová, O.; Beran, K.; Holan, Z.; Pokorný, V. The chitin-glucan complex of Saccharomyces cerevisiae. II. Location of the complex in the encircling region of the bud sear. Folia Microbiol. 1973, 18, 207–211. [Google Scholar] [CrossRef] [PubMed]
- Jawad, A.H.; Mubarak, N.S.A.; Abdulhameed, A.S. Hybrid Crosslinked Chitosan-Epichlorohydrin/TiO2 Nanocomposite for Reactive Red 120 Dye Adsorption: Kinetic, Isotherm, Thermodynamic, and Mechanism Study. J. Polym. Environ. 2020, 28, 624–637. [Google Scholar] [CrossRef]
- Singh, A.; Dutta, P.K.; Kumar, H.; Kureel, A.K.; Rai, A.K. Improved antibacterial and antioxidant activities of gallic acid grafted chitin-glucan complex. J. Polym. Res. 2019, 26, 234. [Google Scholar] [CrossRef]
- Hu, Q.; Wang, T.; Zhou, M.; Xue, J.; Luo, Y. In Vitro Antioxidant-Activity Evaluation of Gallic-Acid-Grafted Chitosan Conjugate Synthesized by Free-Radical-Induced Grafting Method. J. Agric. Food Chem. 2016, 64, 5893–5900. [Google Scholar] [CrossRef]
- Farinha, I.; Duarte, P.; Pimentel, A.; Plotnikova, E.; Chagas, B.; Mafra, L.; Grandfils, C.; Freitas, F.; Fortunato, E.; Reis, M.A.M. Chitin–glucan complex production by Komagataella pastoris: Downstream optimization and product characterization. Carbohydr. Polym. 2015, 130, 455–464. [Google Scholar] [CrossRef] [PubMed]
- Nwe, N.; Stevens, W. Production of fungal chitosan by solid substrate fermentation followed by enzymatic extraction. Biotechnol. Lett. 2002, 24, 131–134. [Google Scholar] [CrossRef]
- Illum, L. Chitosan and its use as a pharmaceutical excipient. Pharm. Res. 1998, 15, 1326–1331. [Google Scholar] [CrossRef] [PubMed]
- Saitô, H.; Yoshioka, Y.; Yokoi, M.; Yamada, J. Distinct gelation mechanism between linear and branched (1 → 3)-β-D-glucans as revealed by high-resolution solid-state 13C NMR. Biopolymers 1990, 29, 1689–1698. [Google Scholar] [CrossRef]
- Yoshioka, Y.; Tabeta, R.; Saitô, H.; Uehara, N.; Fukuoka, F. Antitumor polysaccharides from P. ostreatus (Fr.) Quél.: Isolation and structure of a beta-glucan. Carbohydr. Res. 1985, 140, 93–100. [Google Scholar] [CrossRef]
- Saito, H.; Yokoi, M.; Yoshioka, Y. Effect of hydration on conformational change or stabilization of (1.fwdarw. 3)-.beta.-D-glucans of various chain lengths in the solid state as studied by high-resolution solid-state carbon-13 NMR spectroscopy. Macromolecules 1989, 22, 3892–3898. [Google Scholar] [CrossRef]
- Saitô, H.; Ohki, T.; Sasaki, T. A 13C nuclear magnetic resonance study of gel-forming (1 goes to 3)-beta-d-glucans. Evidence of the presence of single-helical conformation in a resilient gel of a curdlan-type polysaccharide 13140 from Alcaligenes faecalis var. myxogenes IFO 13140. Biochemistry 1977, 16, 908–914. [Google Scholar] [CrossRef]
- Yuan, Z.; Zhang, J.; Jiang, A.; Lv, W.; Wang, Y.; Geng, H.; Wang, J.; Qin, M. Fabrication of cellulose self-assemblies and high-strength ordered cellulose films. Carbohydr. Polym. 2015, 117, 414–421. [Google Scholar] [CrossRef]











Disclaimer/Publisher’s Note: The statements, opinions and data contained in all publications are solely those of the individual author(s) and contributor(s) and not of MDPI and/or the editor(s). MDPI and/or the editor(s) disclaim responsibility for any injury to people or property resulting from any ideas, methods, instructions or products referred to in the content. |
© 2026 by the authors. Licensee MDPI, Basel, Switzerland. This article is an open access article distributed under the terms and conditions of the Creative Commons Attribution (CC BY) license.
Share and Cite
Abdel-Mohsen, A.M.; Skotnicova, K.; Abdel-Rahman, R.M.; Jancar, J. Preparation of Chitin–Glucan Complex Aerogel from Mycelium Waste with Tunable Properties. Gels 2026, 12, 41. https://doi.org/10.3390/gels12010041
Abdel-Mohsen AM, Skotnicova K, Abdel-Rahman RM, Jancar J. Preparation of Chitin–Glucan Complex Aerogel from Mycelium Waste with Tunable Properties. Gels. 2026; 12(1):41. https://doi.org/10.3390/gels12010041
Chicago/Turabian StyleAbdel-Mohsen, A. M., Katerina Skotnicova, Rasha M. Abdel-Rahman, and Josef Jancar. 2026. "Preparation of Chitin–Glucan Complex Aerogel from Mycelium Waste with Tunable Properties" Gels 12, no. 1: 41. https://doi.org/10.3390/gels12010041
APA StyleAbdel-Mohsen, A. M., Skotnicova, K., Abdel-Rahman, R. M., & Jancar, J. (2026). Preparation of Chitin–Glucan Complex Aerogel from Mycelium Waste with Tunable Properties. Gels, 12(1), 41. https://doi.org/10.3390/gels12010041

