Sign in to use this feature.

Years

Between: -

Subjects

remove_circle_outline
remove_circle_outline
remove_circle_outline
remove_circle_outline
remove_circle_outline
remove_circle_outline
remove_circle_outline
remove_circle_outline
remove_circle_outline

Journals

Article Types

Countries / Regions

remove_circle_outline
remove_circle_outline
remove_circle_outline
remove_circle_outline

Search Results (263)

Search Parameters:
Keywords = hydropower units

Order results
Result details
Results per page
Select all
Export citation of selected articles as:
26 pages, 620 KB  
Article
Transport Infrastructure, Economic Expansion, and CO2 Dynamics: The Critical Role of Green Energy Consumption in the United States
by Karzan Ismael, Ali Mohammed Salih, Kamaran Qader Yaqub, Giovanni Tesoriere and Tiziana Campisi
Sustainability 2026, 18(3), 1191; https://doi.org/10.3390/su18031191 (registering DOI) - 24 Jan 2026
Abstract
This paper examines the nexus between transportation infrastructure, economic growth, and carbon dioxide (CO2) emissions in the United States, with particular emphasis on the moderating role of green energy consumption (GEC). The United States is an economically advanced country with a [...] Read more.
This paper examines the nexus between transportation infrastructure, economic growth, and carbon dioxide (CO2) emissions in the United States, with particular emphasis on the moderating role of green energy consumption (GEC). The United States is an economically advanced country with a well-developed transport infrastructure and sustained economic growth; however, this development has been accompanied by increasing environmental pressures, notably rising CO2 emissions from the transport sector. Drawing on the Environmental Kuznets Curve (EKC) framework, the study investigates whether renewable energy sources—specifically wind, solar, and hydropower—can decouple economic growth from environmental degradation. A Vector Error Correction Model (VECM) was employed to analyze both short-run dynamics and long-run cointegrating relationships among transport infrastructure, economic activity, CO2 emissions, and green energy consumption. The results indicate that relative to fossil-based energy, green energy significantly mitigates the emission-enhancing effects of transport infrastructure expansion and economic growth. These findings underscore the pivotal role of renewable energy in achieving sustainable development. From a policy perspective, the results highlight the importance of integrating green energy into national transport and infrastructure planning. Overall, the study demonstrates that in transport-intensive economies, the expansion of renewable energy does not constrain economic growth but is essential for ensuring its long-term environmental sustainability. Full article
19 pages, 4020 KB  
Article
P-Wave Polarization-Based Attitude Estimation and Seismic Source Localization for Three-Component Microseismic Sensors
by Jianjun Hao, Bingrui Chen, Yaxun Xiao, Xinhao Zhu, Qian Liu and Ruhong Fan
Sustainability 2026, 18(2), 1124; https://doi.org/10.3390/su18021124 - 22 Jan 2026
Viewed by 12
Abstract
Microseismic source localization is essential for the early warning of disasters in deep rock mass engineering. Traditional time difference methods require a dense sensor network, which is often impractical in large-scale scenarios with low-density sensor placement. Three-component microseismic sensors offer a promising alternative [...] Read more.
Microseismic source localization is essential for the early warning of disasters in deep rock mass engineering. Traditional time difference methods require a dense sensor network, which is often impractical in large-scale scenarios with low-density sensor placement. Three-component microseismic sensors offer a promising alternative by utilizing multi-axis sensing, but their application depends on accurate sensor attitude estimation—a challenge due to installation deviations, integration errors, magnetic interference, and ambiguity in P-wave polarization direction. This study proposes an attitude calculation and source localization method based on P-wave polarization analysis. For attitude estimation, a unit vector from the sensor to the event is used as a reference; the P-wave polarization direction is extracted via covariance matrix analysis, and a novel “direction–vector–rotation–matrix cross-optimization” method resolves polarization–vector ambiguity. Multi-event data fusion enhances stability and robustness. For source localization, a “1 three-component + 1 single-component” sensor scheme is introduced, combining distance, azimuth, and distance difference constraints to achieve accurate positioning while substantially reducing hardware and energy costs. Field validation at the Yebatan Hydropower Station shows an average reference vector conversion error of 7.72° and an average localization deviation of 10.72 m compared with a conventional high-precision method, meeting engineering early-warning requirements. The proposed approach provides a cost-effective, efficient technical solution for large-scale microseismic monitoring with low sensor density, supporting sustainable infrastructure development through improved disaster risk management. Full article
(This article belongs to the Section Hazards and Sustainability)
Show Figures

Figure 1

15 pages, 1735 KB  
Article
Small Kaplan Turbines Cause Lethal Injuries to Fish Populations During Downstream Passage
by Francisco Javier Sanz-Ronda, Juan Francisco Fuentes-Pérez, Ana García-Vega, Jorge Valbuena-Castro, Juan de María-Arnaiz and Francisco Javier Bravo-Córdoba
Water 2026, 18(2), 275; https://doi.org/10.3390/w18020275 - 21 Jan 2026
Viewed by 57
Abstract
Fish passage through turbines is one of the main environmental impacts of hydropower. Turbine type is a key factor influencing fish survival, and widespread Kaplan turbines are generally considered less dangerous than other turbine types. Nevertheless, while large Kaplan turbines have been extensively [...] Read more.
Fish passage through turbines is one of the main environmental impacts of hydropower. Turbine type is a key factor influencing fish survival, and widespread Kaplan turbines are generally considered less dangerous than other turbine types. Nevertheless, while large Kaplan turbines have been extensively studied, there is limited empirical evidence about the biological impact of small, high-speed Kaplan turbines on fish survival. In this study, we conducted controlled in situ fish experiments at a small and low-head hydropower plant (1 MW; head 8 m) using balloon tags and pressure sensors to quantify real mortality in two horizontal Kaplan turbines operating at full capacity: one small turbine (1.2 m Ø, 500 rpm, and 5 m3/s) and one larger unit (1.55 m Ø, 300 rpm, and 8 m3/s). Fish (95–190 mm) were released into the intake flow and monitored post-passage. Results showed higher mortality in the small turbine, with ~80% in 24 h, many exhibiting severe mechanical injuries such as complete sectioning of the head or spinal cord, with significantly higher mortality in larger fish. In contrast, the larger turbine showed a ~60% mortality rate and fewer traumatic injuries. Our findings highlight the underestimated impact of small, high-rpm Kaplan turbines on fish survival and underscore the need for adaptive turbine operation or structural modifications to minimize ecological damage during critical migration periods. Full article
Show Figures

Figure 1

23 pages, 4345 KB  
Article
Sustainable Optimal LQR-Based Power Control of Hydroelectric Unit Regulation Systems via an Improved Salp Swarm Algorithm
by Yang Liu, Chuanfu Zhang, Haichen Liu, Xifeng Li and Yidong Zou
Sustainability 2026, 18(2), 697; https://doi.org/10.3390/su18020697 - 9 Jan 2026
Viewed by 174
Abstract
To enhance the sustainable power regulation capability of hydroelectric unit regulation systems (HURS) under modern power system requirements, this paper proposes an optimal linear quadratic regulator (LQR)-based power control strategy optimized using an improved Salp Swarm Algorithm (ISSA). First, comprehensive mathematical models of [...] Read more.
To enhance the sustainable power regulation capability of hydroelectric unit regulation systems (HURS) under modern power system requirements, this paper proposes an optimal linear quadratic regulator (LQR)-based power control strategy optimized using an improved Salp Swarm Algorithm (ISSA). First, comprehensive mathematical models of the hydraulic, mechanical, and electrical subsystems of HURS are established, enabling a unified state-space representation suitable for LQR controller design. Then, the weighting matrices of the LQR controller are optimally tuned via ISSA using a hybrid objective function that jointly considers dynamic response performance and control effort, thereby contributing to improved energy efficiency and long-term operational sustainability. A large-scale hydropower unit operating under weakly stable conditions is selected as a case study. Simulation results demonstrate that, compared with conventional LQR tuning approaches, the proposed ISSA-LQR controller achieves faster power response, reduced overshoot, and enhanced robustness against operating condition variations. These improvements effectively reduce unnecessary control actions and mechanical stress, supporting the reliable and sustainable operation of hydroelectric units. Overall, the proposed method provides a practical and effective solution for improving power regulation performance in hydropower plants, thereby enhancing their capability to support renewable energy integration and contribute to the sustainable development of modern power systems. Full article
Show Figures

Figure 1

21 pages, 5360 KB  
Article
Hydraulic Instability Characteristics of Pumped-Storage Units During the Transition from Hot Standby to Power Generation
by Longxiang Chen, Jianguang Li, Lei Deng, Enguo Xie, Xiaotong Yan, Guowen Hao, Huixiang Chen, Hengyu Xue, Ziwei Zhong and Kan Kan
Water 2026, 18(1), 61; https://doi.org/10.3390/w18010061 - 24 Dec 2025
Viewed by 382
Abstract
Against the backdrop of the carbon peaking and neutrality (“dual-carbon”) goals and evolving new-type power system dispatch, the share of pumped-storage hydropower (PSH) in power systems continues to increase, imposing stricter requirements on units for higher cycling frequency, greater operational flexibility, and rapid, [...] Read more.
Against the backdrop of the carbon peaking and neutrality (“dual-carbon”) goals and evolving new-type power system dispatch, the share of pumped-storage hydropower (PSH) in power systems continues to increase, imposing stricter requirements on units for higher cycling frequency, greater operational flexibility, and rapid, stable startup and shutdown. Focusing on the entire hot-standby-to-generation transition of a PSH plant, a full-flow-path three-dimensional transient numerical model encompassing kilometer-scale headrace/tailrace systems, meter-scale runner and casing passages, and millimeter-scale inter-component clearances is developed. Three-dimensional unsteady computational fluid dynamics are determined, while the surge tank free surface and gaseous phase are captured using a volume-of-fluid (VOF) two-phase formula. Grid independence is demonstrated, and time-resolved validation is performed against the experimental model–test operating data. Internal instability structures are diagnosed via pressure fluctuation spectral analysis and characteristic mode identification, complemented by entropy production analysis to quantify dissipative losses. The results indicate that hydraulic instabilities concentrate in the acceleration phase at small guide vane openings, where misalignment between inflow incidence and blade setting induces separation and vortical structures. Concurrently, an intensified adverse pressure gradient in the draft tube generates an axial recirculation core and a vortex rope, driving upstream propagation of low-frequency pressure pulsations. These findings deepen our mechanistic understanding of hydraulic transients during the hot-standby-to-generation transition of PSH units and provide a theoretical basis for improving transitional stability and optimizing control strategies. Full article
Show Figures

Figure 1

41 pages, 3475 KB  
Review
Digital Twins for Clean Energy Systems: A State-of-the-Art Review of Applications, Integrated Technologies, and Key Challenges
by Myeongin Kim, Fatemeh Ghobadi, Amir Saman Tayerani Charmchi, Mihong Lee and Jungmin Lee
Sustainability 2026, 18(1), 43; https://doi.org/10.3390/su18010043 - 19 Dec 2025
Viewed by 841
Abstract
In the context of Industry 4.0, digital transformation is reshaping global energy systems. Among the key enabling technologies, Digital Twin (DT)—a dynamic, virtual replica of physical systems—has emerged as a critical tool for improving the performance, reliability, and safety of clean energy infrastructure. [...] Read more.
In the context of Industry 4.0, digital transformation is reshaping global energy systems. Among the key enabling technologies, Digital Twin (DT)—a dynamic, virtual replica of physical systems—has emerged as a critical tool for improving the performance, reliability, and safety of clean energy infrastructure. In line with the United Nations Sustainable Development Goals (SDGs)—particularly SDG 7 (Affordable and Clean Energy) and SDG 11 (Sustainable Cities and Communities)—the integration of DTs presents unprecedented opportunities to enhance operational efficiency and support proactive decision making. This state-of-the-art review, focused on studies published in 2020–2025, summarizes applications of DTs across the energy value chain, encompassing a broad spectrum of sectors—including solar, wind, hydropower, hydrogen, geothermal, bioenergy, nuclear, and tidal energy—and their critical role in building-to-grid integration. It synthesizes foundational concepts, assesses the evolution of the DT from a predictive tool to a system-level risk-management platform, and provides a critical analysis of its impact. Furthermore, this review discusses the key challenges hindering widespread adoption, including the critical need for interoperability across systems, ensuring the cybersecurity of socio-technical infrastructure, and addressing the complexities of the human-in-the-loop problem. Key research gaps are identified to guide future innovation. Ultimately, this study underscores the transformative potential of DTs as essential tools for accelerating the digital transformation of the energy sector, offering a robust framework for both methodological development and practical deployment. Full article
Show Figures

Figure 1

28 pages, 39423 KB  
Article
Experimental Development and Field Validation of an Advanced Penstock Repair Process for Extending Service Life in a Hydropower Plant
by David A. del Río, Johann A. Caballero, Jessica T. Muñoz, Leonardo Rojas, Gerardo Galvis-Romero, Nhora Cecilia Parra-Rodriguez, Laidi Morales-Cruz, Alejandro Morales-Ortiz, Andrés F. Duque, Daniel Hincapié, Camilo Seifert-Yepes, Sebastián Acuña-Carmona, Wilber Silva-López, César Nieto-Londoño and Rafael E. Vásquez
Water 2025, 17(24), 3495; https://doi.org/10.3390/w17243495 - 10 Dec 2025
Viewed by 597
Abstract
The rehabilitation of critical water-conveyance infrastructure plays a fundamental role in the water–energy nexus and constitutes a key strategy for extending the operational lifetime of hydropower facilities. These interventions are aligned to the United Nations’ 2030 Agenda, which declare that ensuring access to [...] Read more.
The rehabilitation of critical water-conveyance infrastructure plays a fundamental role in the water–energy nexus and constitutes a key strategy for extending the operational lifetime of hydropower facilities. These interventions are aligned to the United Nations’ 2030 Agenda, which declare that ensuring access to affordable, reliable, sustainable, and modern energy systems is essential for long-term energy security. This paper presents a field-validated, non-thermal repair methodology developed for the Chivor II hydropower penstock, a critical water conduction tunnel used for energy production in Colombia, that has been affected by a circumferential fatigue crack. Due to the geometric confinement of the penstock within the rock mass, conventional thermal or stress-relief treatments were unfeasible. Therefore, the proposed methodology uses controlled material removal with a welding sequence designed to release stored elastic energy and induce compressive stresses through the Poisson effect. Its main contribution is demonstrated through pilot-scale validation and full-scale implementation under real operating conditions, achieving 50% reduction in tensile stresses and left 99% of the examined surface under compression, which represents effective residual-stress stabilization, structural recovery, and hydraulic reliability. The methodology ensures reliable water conveyance for hydropower generation and can be applied to other pressurized conduits and pipelines where accessibility and heat treatment are constrained, strengthening SDGs 7 and 9 on clean energy, water sustainability, and resilient infrastructure. Full article
(This article belongs to the Section Water-Energy Nexus)
Show Figures

Figure 1

29 pages, 6525 KB  
Review
Issues Related to Water Hammer in Francis-Turbine Hydropower Schemes: A Review
by Anton Bergant, Jernej Mazij, Jošt Pekolj and Kamil Urbanowicz
Energies 2025, 18(24), 6404; https://doi.org/10.3390/en18246404 - 8 Dec 2025
Viewed by 427
Abstract
This paper reviews key parameters which may cause unacceptable water hammer loads in Francis-turbine hydropower schemes. Water hammer control strategies are presented for this context including operational scenarios (closing and opening laws), surge control devices, redesign of the pipeline components, or limitation of [...] Read more.
This paper reviews key parameters which may cause unacceptable water hammer loads in Francis-turbine hydropower schemes. Water hammer control strategies are presented for this context including operational scenarios (closing and opening laws), surge control devices, redesign of the pipeline components, or limitation of operating conditions. Theoretical water hammer models and solutions are outlined and discussed. Case studies include simple and complex new and refurbished hydropower systems including headrace and tailrace tunnels, surge tanks of various designs, and different penstock layouts. The case studies in this paper cover the application of both commercial and in-house software packages for hydraulic transient analysis. Two-stage guide vane closing law, increased unit inertia and surge tank(s) are used in the cases considered to keep the water hammer within the prescribed limits. Typical values for the maximum pressure head at the turbine inlet and the maximum unit speed rise during normal transient regimes were in the range of 10 to 35% of the maximum gross head and 35 to 50% above the nominal speed, respectively. The agreement between computational results using both software packages, and field test results is well within the limits of ±5% accepted in hydropower engineering practice. Full article
Show Figures

Figure 1

27 pages, 23502 KB  
Article
Numerical Investigation of Flow Characteristics and Energy Loss Mechanisms of a Pump Turbine Under Sand-Laden Conditions
by Qinglin Feng, Xingcheng Gan and Wenjie Wang
Processes 2025, 13(12), 3905; https://doi.org/10.3390/pr13123905 - 3 Dec 2025
Viewed by 358
Abstract
The fluctuating nature of renewable energy sources such as wind and solar power poses significant challenges to the stability of power grids, while pumped-storage hydropower, with its advantages in peak regulation and frequency control, has become an essential component of modern energy strategies. [...] Read more.
The fluctuating nature of renewable energy sources such as wind and solar power poses significant challenges to the stability of power grids, while pumped-storage hydropower, with its advantages in peak regulation and frequency control, has become an essential component of modern energy strategies. However, sediment in rivers adversely affects the operational efficiency and stability of PSH units, leading to accelerated wear and shortened service life. In this study, the low-pressure stage of a two-stage pump turbine was selected as the research object, and the Euler–Euler numerical method was employed to investigate the solid–liquid two-phase flow characteristics of the pump turbine in pump mode. The results show that, compared with the clear-water condition, the head and efficiency decrease by up to 7.9% and 15%, respectively, after the addition of sand particles. The average pressure within the flow-passage components increases, while the streamlines become more non-uniform, accompanied by the formation of vortices and backflow in the guide and return vanes. The total entropy generation increases with rising particle concentration but decreases with larger particle size. Among the components, the high-entropy regions are mainly located on the suction surface and trailing edges of the impeller blades, the inlet and blade surfaces of the guide vanes, and the inlet and trailing edges of the return vanes. Moreover, the pressure pulsation amplitudes at monitoring points in the vaneless region, guide vane–return vane interaction region, and leading edge of the return vane increase progressively with both particle size and concentration. The dominant and secondary frequencies at all monitoring points correspond to the blade-passing frequency (BPF) and its harmonics, indicating that rotor–stator interaction is the principal cause of pressure pulsations under pump operating conditions. Full article
(This article belongs to the Section Energy Systems)
Show Figures

Figure 1

18 pages, 3306 KB  
Article
Integrating Explicit Dam Release Prediction into Fluvial Forecasting Systems
by José Pinho and Willian Weber de Melo
Sustainability 2025, 17(23), 10671; https://doi.org/10.3390/su172310671 - 28 Nov 2025
Viewed by 361
Abstract
Reliable forecasts of dam releases are essential to anticipate downstream hydrological responses and to improve the operation of fluvial early warning systems. This study integrates an explicit release prediction module into a digital forecasting framework using the Lindoso–Touvedo hydropower cascade in northern Portugal [...] Read more.
Reliable forecasts of dam releases are essential to anticipate downstream hydrological responses and to improve the operation of fluvial early warning systems. This study integrates an explicit release prediction module into a digital forecasting framework using the Lindoso–Touvedo hydropower cascade in northern Portugal as a case study. A data-driven approach couples short-term electricity price forecasts, obtained with a gated recurrent unit (GRU) neural network, with dam release forecasts generated by a Random Forest model and an LSTM model. The models (GRU and LSTM) were trained and validated on hourly data from November 2024 to April 2025 using a rolling 80/20 split. The GRU achieved R2 = 0.93 and RMSE = 3.7 EUR/MWh for price prediction, while the resulting performance metrics confirm the high short-term skill of the LSTM model, with MAE = 4.23 m3 s−1, RMSE = 9.96 m3 s−1, and R2 = 0.98. The surrogate Random Forest model reached R2 = 0.91 and RMSE = 47 m3/s for 1 h discharge forecasts. Comparison tests confirmed the statistical advantage of the AI approach over empirical rules. Integrating the release forecasts into the Delft FEWS environment demonstrated the potential for real-time coupling between energy market information and hydrological forecasting. By improving forecast reliability and linking hydrological and energy domains, the framework supports safer communities, more efficient hydropower operation, and balanced river basin management, advancing the environmental, social, and economic pillars of sustainability and contributing to SDGs 7, 11, and 13. Full article
(This article belongs to the Section Air, Climate Change and Sustainability)
Show Figures

Figure 1

24 pages, 7569 KB  
Article
Multi-Scenario Investment Optimization in Pumped Storage Hydropower Using Enhanced Benders Decomposition and Isolation Forest
by Xu Ling, Ying Wang, Xiao Li, Bincheng Li, Fei Tang, Jinxiu Ding, Yixin Yu, Xiayu Jiang and Tingyu Zhou
Sustainability 2025, 17(23), 10657; https://doi.org/10.3390/su172310657 - 27 Nov 2025
Cited by 1 | Viewed by 424
Abstract
Under the global imperative for climate action and sustainable development, accelerating the transition towards high-penetration renewable energy systems remains a universal priority, central to achieving the United Nations Sustainable Development Goals. However, the inherent uncertainty and volatility of renewables such as wind and [...] Read more.
Under the global imperative for climate action and sustainable development, accelerating the transition towards high-penetration renewable energy systems remains a universal priority, central to achieving the United Nations Sustainable Development Goals. However, the inherent uncertainty and volatility of renewables such as wind and solar PV pose fundamental challenges to power system stability and flexibility worldwide. These challenges, if unaddressed, could significantly hinder the reliable and sustainable integration of clean energy on a global scale. While pumped storage hydropower (PSH) represents a mature, large-scale solution for enhancing system regulation capabilities, existing planning methodologies frequently suffer from critical limitations. These included oversimplified scenario representations—particularly the inadequate consideration of escalating extreme weather events under climate change—and computational inefficiencies in solving large-scale stochastic optimization models. These shortcomings ultimately constrained the practical value of such approaches for advancing sustainable energy planning and building climate-resilient power infrastructures globally. To address these issues, this paper proposed a bi-level stochastic planning method integrating scenario optimization and improved Benders decomposition. Specifically, an integrated framework combining affinity propagation clustering and isolation forest algorithms was developed to generate a comprehensive scenario set that covered both typical and anomalous operating days, thereby capturing a wider range of system uncertainties. A two-layer stochastic optimization model was established, aiming to minimize total investment and operational costs while ensuring system reliability and renewable integration. The upper layer determined PSH capacity, while the lower layer simulated multi-scenario system operations. To efficiently solve the model, the Benders decomposition algorithm was enhanced through the introduction of a heuristic feasible cut generation mechanism, which strengthened subproblem feasibility and accelerated convergence. Simulation results demonstrated that the proposed method achieved a 96.7% annual renewable energy integration rate and completely avoided load shedding events with minimal investment cost, verifying its effectiveness, economic efficiency, and enhanced adaptability to diverse operational scenarios. Full article
Show Figures

Figure 1

67 pages, 14448 KB  
Article
Driving Sustainable Development from Fossil to Renewable: A Space–Time Analysis of Electricity Generation Across the EU-28
by Adriana Grigorescu, Cristina Lincaru and Camelia Speranta Pirciog
Sustainability 2025, 17(23), 10620; https://doi.org/10.3390/su172310620 - 26 Nov 2025
Cited by 1 | Viewed by 539
Abstract
The transition to renewable energy is crucial in order to attain sustainable development, lower greenhouse gas emissions, and secure long-term energy security. This study examines spatial–temporal trends in electricity generation (both renewable and non-renewable) across EU-28 countries using monthly Eurostat data (2008–2025) at [...] Read more.
The transition to renewable energy is crucial in order to attain sustainable development, lower greenhouse gas emissions, and secure long-term energy security. This study examines spatial–temporal trends in electricity generation (both renewable and non-renewable) across EU-28 countries using monthly Eurostat data (2008–2025) at the NUTS0 level. Two harmonized Space–Time Cubes (STCs) were constructed for renewable and non-renewable electricity covering the fully comparable 2017–2024 interval, while 2008–2016 data were used for descriptive validation, and 2025 data were used for one-step-ahead forecasting. In this paper, the authors present a novel multi-method approach to energy transition dynamics in Europe, integrating forecasting (ESF), hot-spot detection (EHSA), and clustering (TSC) with the help of a new spatial–temporal modeling framework. The methodology is a step forward in the development of methodological literature, since it regards predictive and exploratory GIS analytics as comparative energy transition evaluation. The paper uses Exponential Smoothing Forecast (ESF) and Emerging Hot Spot Analysis (EHSA) in a GIS-based analysis to uncover the dynamics in the region and the possible production pattern. The ESF also reported strong predictive performance in the form of the mean Root Mean Square Errors (RMSE) of renewable and non-renewable electricity generation of 422.5 GWh and 438.8 GWh, respectively. Of the EU-28 countries, seasonality was statistically significant in 78.6 per cent of locations that relied on hydropower, and 35.7 per cent of locations exhibited structural outliers associated with energy-transition asymmetries. EHSA identified short-lived localized spikes in renewable electricity production in a few Western and Northern European countries: Portugal, Spain, France, Denmark, and Sweden, termed as sporadic renewable hot spots. There were no cases of persistent or increase-based hot spots in any country; therefore, renewable growth is temporally and spatially inhomogeneous in the EU-28. In the case of non-renewable sources, a hot spot was evident in France, with an intermittent hot spot in Spain and sporadic increases over time, but otherwise, there was no statistically significant activity of hot or cold spots in the rest of Europe, indicating structural stagnation in the generation of fossil-based electricity. Time Series Clustering (TSC) determined 10 temporal clusters in the generation of renewable and non-renewable electricity. All renewable clusters were statistically significantly increasing (p < 0.001), with the most substantial increase in Cluster 4 (statistic = 9.95), observed in Poland, Finland, Portugal, and the Netherlands, indicating a transregional phase acceleration of renewable electricity production in northern, western, and eastern Europe. Conversely, all non-renewable clusters showed declining trends (p < 0.001), with Cluster 5 (statistic = −8.58) showing a concerted reduction in the use of fossil-based electricity, in line with EU decarbonization policies. The results contribute to an improved understanding of the spatial dynamics of the European energy transition and its potential to support energy security, reduce fossil fuel dependency, and foster balanced regional development. These insights are crucial to harmonize policy measures with the objectives of the European Green Deal and the United Nations Sustainable Development Goals (especially Goals 7, 11, and 13). Full article
Show Figures

Figure 1

25 pages, 3867 KB  
Article
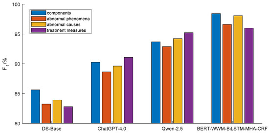
Fault Knowledge Graph Construction Method for Hydraulic Turbine Speed Control System Based on BERTWWM-BiLSTM-MHA-CRF Model
by Sheng Liu, Kefei Zhang, Tianbao Zhang, Zhong Wang and Xun Ai
Appl. Sci. 2025, 15(23), 12377; https://doi.org/10.3390/app152312377 - 21 Nov 2025
Viewed by 373
Abstract
As a crucial component within the power industry, the hydraulic turbine speed control system significantly plays a vital role in the safe and stable operation of hydropower stations. The intelligent operation and maintenance of this system is a vital means to ensure the [...] Read more.
As a crucial component within the power industry, the hydraulic turbine speed control system significantly plays a vital role in the safe and stable operation of hydropower stations. The intelligent operation and maintenance of this system is a vital means to ensure the safety, stability, and economy of the unit. The hydropower plant has accumulated extensive fault text data related to the hydraulic turbine speed control system over the years, which has yet to be effectively mined and utilized. To address these issues, this paper proposes a novel method using BERTWWM-BiLSTM-MHA-CRF for constructing a fault knowledge graph of hydraulic turbine speed control system. Initially, the knowledge graph schema is designed, followed by an analysis of the recording characteristics of the hydraulic turbine speed control system fault text. This is accompanied by the cleaning and labeling of unstructured text. Subsequently, an entity extraction model utilizing the BERTWWM-BiLSTM-MHA-CRF framework is developed to facilitate the intelligent extraction of entities and relationships. Finally, the triples, consisting of entities and relationships, are stored in the Neo4j graph database to finalize the construction and visualization of the fault knowledge graph, along with the proposed application process for auxiliary decision-making. The data processing methodology outlined in this paper, based on the graph schema design, effectively produces high-quality datasets. Furthermore, compared to the traditional model and mainstream large language models, the BERTWWM-BiLSTM-MHA-CRF model demonstrates superior entity extraction performance. Finally, combining fault instance validation, it demonstrates that the knowledge graph provides effective support for fault diagnosis in the hydraulic turbine speed control system. Full article
Show Figures

Figure 1

16 pages, 6895 KB  
Article
A Fuzzy Division Control Strategy for Flywheel Energy Storage to Assist Primary Frequency Regulation of Hydropower Units
by Zhengfa Li, Peina Gao, Ning Xu, Jian Lu, Dong Miao, Qiong Ma, Tian Zhang and Hao Zhang
Energies 2025, 18(22), 6032; https://doi.org/10.3390/en18226032 - 19 Nov 2025
Viewed by 418
Abstract
Enhancing the flexibility of hydropower units is essential for adapting to future power systems dominated by intermittent renewable energy sources such as wind and solar, which introduce significant frequency stability challenges due to their inherent variability. To improve the primary frequency regulation capability [...] Read more.
Enhancing the flexibility of hydropower units is essential for adapting to future power systems dominated by intermittent renewable energy sources such as wind and solar, which introduce significant frequency stability challenges due to their inherent variability. To improve the primary frequency regulation capability of the hydropower unit, this study incorporates a flywheel energy storage system—known for its fast response and high short-term power output. Using fuzzy control theory, a frequency regulation command decomposition method with a variable filtering time constant is proposed. In this fuzzy control design, the frequency change rate and the state of charge of the flywheel energy storage are used as inputs to dynamically adjust the filtering time constant, which serves as the output. Additionally, a logistic function is introduced to constrain the output power of the flywheel energy storage under different states of charge, ensuring operational safety and durability. Based on these techniques, a fuzzy frequency division control strategy is designed for flywheel-assisted hydropower primary frequency regulation. Simulation results show that the integration of flywheel energy storage significantly improves the primary frequency regulation performance of the hydropower unit. Compared to the system without energy storage, the proposed strategy reduces the maximum frequency deviation by 53.49% and the steady-state frequency deviation by 39.06%, while also markedly decreasing fluctuations in hydropower output. This study offers both a theoretical basis and practical guidance for enhancing the operational flexibility of hydropower systems. Full article
(This article belongs to the Section D: Energy Storage and Application)
Show Figures

Figure 1

16 pages, 2704 KB  
Article
Study on Operational Stability of the Hydro-Turbine Governing System for Three-Turbine Shared Tailwater Tunnel
by Dong Liu, Yanbo Xue, Jiejie Lv and Xiaoqiang Tan
Water 2025, 17(22), 3262; https://doi.org/10.3390/w17223262 - 14 Nov 2025
Viewed by 490
Abstract
As a key power source for peak regulation and frequency control, hydropower units frequently adjust their output to maintain grid stability. In shared tailrace tunnel systems, hydraulic coupling between units significantly influences system stability. This study investigates a three-unit system with a common [...] Read more.
As a key power source for peak regulation and frequency control, hydropower units frequently adjust their output to maintain grid stability. In shared tailrace tunnel systems, hydraulic coupling between units significantly influences system stability. This study investigates a three-unit system with a common tailrace tunnel, establishes its mathematical model, and employs linear stability analysis to examine its stability characteristics under small disturbances. The research focuses on the impacts of total power output and power allocation strategies on system stability. Key findings reveal that (1) the stable domain of each unit decreases with greater penstock water inertia, and the instability of any single unit propagates through hydraulic coupling, causing system-wide instability; (2) the control parameters of individual units primarily affect their own stability, with negligible cross-unit impact, and the system’s overall stable domain is determined by the unit with the smallest stability region when uniform parameters are adopted; (3) increasing the total power output reduces system stability, and equally distributing power among units is more conducive to stable operation than concentrating it on a single unit. These results provide a theoretical basis for the optimized dispatch and stability control of multi-unit hydropower systems with shared hydraulic structures. Full article
(This article belongs to the Special Issue Research Status of Operation and Management of Hydropower Station)
Show Figures

Figure 1

Back to TopTop