The Capacity Configuration of a Cascade Small Hydropower-Pumped Storage–Wind–PV Complementary System
Abstract
1. Introduction
- In terms of technical difficulty and construction conditions, a cascade hybrid pumped storage plant can be built by adding units and transforming an existing hydropower station, which involves relatively small engineering work [7].
- Compared to conventional cascade hydropower stations, the cascade hybrid pumped storage plant transitions from a single “peak shaving” mode to an integrated mode of both “peak shaving” and “valley filling”, where peak shaving refers to increasing electricity generation during peak demand periods to avoid grid overload and ensure supply meets demand, while valley filling involves storing excess energy during off-peak periods (typically at night or when renewable generation like PV is abundant) so that it can be released during peak demand periods [8]. This integrated mode enhances the regulation capacity during low-demand periods, thus efficiently balancing supply and demand.
- Compared to traditional pure pumped storage plants, the cascade hybrid pumped storage plant benefits from water inflow from upstream hydropower stations, so its generation is no longer limited by the circulating water volume between the upper and lower reservoirs. This allows for increased output during peak electricity price periods, resulting in higher generation revenue [9].
- Compared to traditional cascade hydropower, cascade hydropower stations that have been transformed into pumped storage plants gain the added ability of “valley filling”. However, the regulation capacity of small cascade hydropower stations is limited, so a key consideration is how to make full use of the limited regulation capacity for the capacity configuration of pumped storage units and renewable energy.
- Compared to a single hydropower station or a pure pumped storage plant, the cascade hybrid pumped storage plant utilizes the existing upper and lower reservoirs of cascade hydropower stations. Therefore, the system’s mathematical model needs to account for more complex hydraulic interactions.
- Based on the geographical conditions and reservoir types of cascade small hydropower, the paper proposes adapting the transformation of eligible small hydropower stations into pumped storage plants according to local conditions, enabling them to achieve complementarity between watershed hydropower and distributed wind and PV resources through the coordinated operation of cascade reservoirs, thereby constructing a cascade small hydropower-pumped storage–wind–PV complementary system.
- A capacity configuration method is proposed for the cascade hydropower–wind–PV-pumped storage complementary power generation system. The method determines the capacity of pumped storage units based on the maximum regulation capacity of cascade small hydropower after pumped storage transformation. Furthermore, spectral analysis is employed to achieve time-series matching between the pumped storage capacity and the power–energy fluctuation characteristics of distributed wind and PV sources, thereby satisfying the capacity demand for smoothing renewable energy volatility.
- An optimized scheduling model for the cascade small hydropower-pumped storage–wind–PV complementary system is developed, considering the hydraulic–electricity coupling of cascade small hydropower, the output characteristics of wind and PV, and the operating constraints of pumped storage condition transitions. The model undergoes capacity verification under multiple scenarios, with the commercial solver Gurobi (version 9.5.2) employed for solution computation, demonstrating that after capacity configuration using the method proposed in this paper, the system’s stable and economic operation can be achieved.
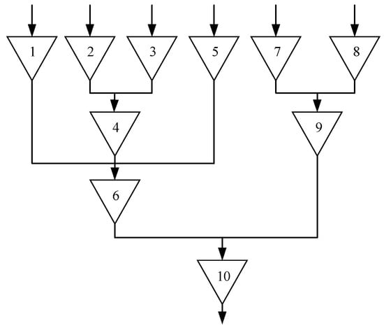
2. System Combination Mechanism
3. Analysis of Pumped Storage Transformation
3.1. Ransformation Conditions
3.2. Transformation Methods
3.3. Pumped Storage Unit Selection
- Install reversible pump turbine. The installed reversible pump turbine is generally used for pumping conditions and can also serve as a backup for the power generation of the original generator set. Because of its power generation function, it is necessary to build corresponding transmission lines, and replacing the original turbine will cause a waste of conventional units.
- Install water pump. A water pump can only be installed for pumping conditions, using reverse power transmission through existing transmission lines without incurring the cost of new transmission lines. However, it can only fill the valley in the power grid, and the original generator set must cooperate with the peak regulation. Reference data from China’s Baishan Pumped Storage Project show that installing water pump reduces investment by approximately 10–20% compared to reversible pump turbine units [32].
4. Renewable Energy Capacity Configuration Method
- Maximize the utilization of the regulation capacity of cascade small hydropower and pumped storage units to increase power generation, reduce surplus water, and improve hydropower utilization efficiency.
- According to the fluctuation characteristics of wind power and PV, time-series matching of power and electricity is performed to ensure that the control capacity meets the requirements of smoothing wind and PV output and that the system is continuously and stably generated.
4.1. Cascade Small Hydropower Regulation Capacity Calculation
4.2. Wind and PV Power Fluctuation Rate Calculation
4.3. Wind and PV Capacity Configuration Calculation
5. Optimization and Scheduling Model of the Complementary System
5.1. Target Functions
5.2. Power Generation and Environmental Benefits
5.2.1. System Construction Cost
5.2.2. System Benefit
5.3. Equation Constraints
- Water balance: Considering the flow balance between reservoirs, the flow into the lower reservoirs includes the discharge of the upstream reservoirs and the natural inflow of the interval. The reservoir capacity of the -th hydropower station at the end of the -th period is as follows:where is the capacity of the -th hydropower station at the end of the -th period, 104 ; is the natural incoming water flow, ; is the abandoned water flow, ; is the power generation flow, ; is the pumping water flow, ; is the number of hydropower stations connected to the hydropower station upstream; is the abandoned water flow by upstream stations, ; is the power generation flow by upstream stations, ; is the conversion factor of flow and capacity, .
- Capacity constraints:where is the initial capacity of the -th hydropower station, 104 ; is the final capacity of the -th hydropower station, 104 .
- Water head constraints:where is the water head of the -th hydropower station in the -th period, m; is the pre-dam water level, m; is the tailwater level, m; is the head loss, m.The can be calculated using the following equation:The pre-dam water level-storage capacity coefficient of the reservoir is a constant, , , which is typically fitted using the corresponding data of actual hydropower station water levels and storage capacities.The can be calculated using the following equation:The tailwater level-outflow coefficient of the reservoir is a constant, , , which is typically fitted using the corresponding data of actual hydropower station tailwater levels and outflow.
- Generating power:where is the conversion coefficient of power and water; is the efficiency of hydropower units.
- Pumping power:where is the pumping head of the -th pumping unit in the -th period, m; is the pumping operation efficiency of the -th pumping unit, which typically ranges from 0.75 to 0.85. Since the value of is less than 1, it reflects the existence of energy losses during pumping operations. is the local gravity acceleration.
- Complementary constraints of pumping/power generation: The system cannot be in the pumping and power generation modes at the same time:
- The relationship between wind power and wind speed is expressed as follows:where is the output of the wind power in the -th period, kW; is the rated power output of the wind turbine generator, kW; is the pmeasured wind speed, m/s; is the cut-in wind speed, m/s; is the cut-out wind speed, m/s; is the rated wind speed, m/s.
- The output power of the PV is inversely proportional to temperature and directly proportional to solar irradiance. The expression is given as follows:where is the output of the PV in the -th period, kW; is the solar energy conversion efficiency; is the total surface area of the PV panels, m2, is the solar irradiance, kW/m2; is the ambient temperature, °C.
5.4. Inequality Constraints
- System power constraints:where , are the upper and lower limits of generating power of the hydropower station, kW; , are the upper and lower limits of pumping power, kW; , are the upper and lower limits of PV power, kW; , are the upper and lower limits of wind power units, kW.
- System power deviation constraint:where denotes the power deviation coefficient, whose value is usually set according to real-world operational requirements. This constraint indicates that the system is subject to energy transmission limitations.
- Water flow constraints:where , are the upper and lower limits of the power generation flow, ; , are the upper and lower limits of the pumping water flow, .
- Adjustable capacity constraints:where is the adjustable capacity of the -th hydropower station, 104 ; is the minimum allowable storage capacity of the -th hydropower station, 104 ; , are the upper and lower limits of the adjustable capacity, 104 .
6. Case Simulation
6.1. Cascade Small Hydropower-Pumped Storage Transformation and Capacity Calculation Results
6.2. Wind and PV Capacity Configuration Results
6.3. Complementary System Multi-Scenario Optimal Scheduling Results
6.4. Comparative Analysis of Operation
6.5. Economic Benefit Analysis of Power Generation
7. Value of the Work and Findings
8. Conclusions
- Contributions of this study are as follows:
- (1)
- The capacity configuration method proposed in this study maximizes the utilization of existing cascaded small hydropower stations by allocating the capacity of pumped storage units based on the total available regulation capacity of the cascade system. In addition, the installed capacities of wind and PV power are determined using a spectral analysis approach, ensuring that the fluctuation rate of their combined output remains within 10%.
- (2)
- In terms of operational stability, the proposed system achieves deviation power of 0 MWh and water spillage of 0 m3 under all four typical day scenarios. In contrast, the system without pumped-storage retrofitting shows deviation power ranging from 40.58 MWh to 67.51 MWh and water spillage ranging from 626.4 × 104 m3 to 928.4 × 104 m3 under the same conditions. These results demonstrate that the proposed system can operate stably according to the scheduled output and significantly reduce wind, PV, and hydropower curtailment, thereby enhancing the system’s ability to accommodate renewable energy.
- (3)
- In terms of economic performance, the proposed system increases power generation revenue by 5.13% to 6.22%. Over a 10-year period, the total system revenue increases by CNY 116.709 million, demonstrating strong overall economic viability.
- Inspiration for future study is as follows:
- (1)
- In this study, the capacity configuration was carried out under ideal forecasting conditions, without considering prediction errors in wind and PV output. However, in practical applications, forecasting errors are inevitable due to the stochastic nature of renewable energy sources. Therefore, conducting a sensitivity analysis on forecasting errors in future work will be beneficial for evaluating the robustness and adaptability of the system’s capacity configuration scheme.
- (2)
- In this study, the capacity configuration assumes that the system maintains constant efficiency throughout its entire operational life. However, in practical applications, the output power of PV modules gradually degrades over time, and wind turbine efficiency declines due to mechanical wear, blade erosion, and environmental factors. Therefore, incorporating these factors into the capacity configuration method in future work will contribute to improving the long-term validity and robustness of the proposed capacity sizing approach.
- (3)
- In this study, a fixed cut-off frequency was used in the frequency-domain analysis to separate the fluctuating components of renewable energy output. Therefore, future research could consider introducing an adaptive method for determining the optimal cut-off frequency based on system dynamic characteristics. This approach would improve the accuracy of power fluctuation smoothing and further enhance the responsiveness and overall performance of the capacity configuration strategy.
Author Contributions
Funding
Institutional Review Board Statement
Informed Consent Statement
Data Availability Statement
Conflicts of Interest
References
- Chen, Y.H. Technological Innovations and Future Prospectof Hydropower Development in Southwest China—A Case Study of Yalong River Hydropower Development. Hydropower Pumped Storage 2021, 7, 6–10+15. [Google Scholar]
- Wang, C.B.; Wang, J.B. Analysis and Discussion on Difficulties of Power Grid Regulation in Small Hydropower Enriched Area. Electrotech. Technol. 2019, 20, 68–69. [Google Scholar]
- Luo, Y.X.; Wang, Y.L.; Feng, Y. Variable-time Day-ahead Dispatching of High-proportion New Energy Grid-connected Joint System with Pumped Storage. Proc. CSU-EPSA 2024, 36, 115–121+132. [Google Scholar]
- Aihara, R.; Yokoyama, A.; Nomiyama, F.; Kosugi, N. Optimal operation scheduling of pumped storage hydro power plant in power system with a large penetration of photovoltaic generation using genetic algorithm. In Proceedings of the IEEE Trondhcim on Power Technology, Trondheim, Norway, 19–23 June 2011; pp. 1–8. [Google Scholar]
- Guo, Z.Z.; Ye, R.L.; Liu, R.Y.; Liu, J.N. Optimal scheduling strategy for renewable energy system with pumped storage station. Electr. Power Autom. Equip. 2018, 38, 7–14. [Google Scholar]
- Li, X.P.; Li, Y.; Liu, S.R.; Su, Y.H.; Wang, W.G.; Zhao, Q.X.; Xie, H.L. Research on Promotion of Renewable Energy Integration into Regional Power Grid by Variable Speed Pumped Storage Technology. New Energy 2021, 49, 52–58. [Google Scholar]
- Fang, M.; Chen, T.; Meng, K. Economic Analysis of Micro-Pumped Storage Stations Retrofitted from Small Hydropower Plants. Tech. Exch. 2023, 4, 27–29. [Google Scholar]
- Zhou, Y.; Zhu, Y.; Luo, Q.; Wei, Y.; Mei, Y.; Chang, F.-J. Optimizing pumped-storage power station operation for boosting power grid absorbability to renewable energy. Energy Convers. Manag. 2024, 299, 117827. [Google Scholar] [CrossRef]
- Liu, Y.X.; Luo, B.; Chen, Y.C.; Jia, B.; Liu, Z.W.; Zhou, C. Short-term Peak Shaving Model of Cascade Hybrid Pumped Storage Retrofitted from Conventional Hydropower. Power Syst. Technol. 2025, 49, 1217–1226. [Google Scholar]
- Huang, W.; Fu, Z.; Hua, L. Research on Optimal Capacity Configuration for Distributed Generation of Island Micro-Grid with Wind/Solar/Battery/Diesel Engine. In Proceedings of the 2018 2nd IEEE Conference on Energy Internet and Energy System Integration (EI2), Beijing, China, 20–22 October 2018. [Google Scholar]
- Wu, X.; Xu, K.; Wang, Z.; Gong, Y. Optimized capacity configuration of an integrated power system of wind, photovoltaic and energy storage device based on improved particles warm optimizer. In Proceedings of the 2017 IEEE Conference on Energy Internet and Energy System Integration (EI2), Beijing, China, 26–28 November 2017. [Google Scholar]
- Dou, X.B.; Yuan, J.; Wu, Z.J.; Ni, Y.M.; Pan, C.; Xiao, Y. Improved configuration optimization of PV-wind-storage- capacities for grid-connected microgrid. Electr. Power Autom. Equip. 2016, 36, 26–32. [Google Scholar]
- Ma, S.L.; Ma, H.M.; Jiang, X.P.; Duan, G.D.; Li, N. Capacity Configuration of the Hybrid Energy Storage System Basedon Bloch Spherical Quantum Genetic Algorithm. Proc. CSEE 2019, 35, 592–599. [Google Scholar]
- Liu, Y.Q.; Liang, C.; Yan, J.; Zhang, J. Optimal Configuration and Economic Study of Hybrid Energy Storage System in Wind and Solar Power Plants. Electr. Power 2020, 53, 143–150. [Google Scholar]
- Mishra, S.; Ören, E.; Bordin, C.; Wen, F.; Palu, I. Features extraction of wind ramp events from a virtual wind park. Energy Rep. 2020, 6, 237–249. [Google Scholar] [CrossRef]
- Wen, J.; Liu, J.C.; Wen, Z.N.; Li, J.H.; Li, C.X. Capacity Allocation Method for Wind-Solar-Hydro-Storage Complementary System Considering Time and Spatial Transfer Characteristics of Load. Electr. Power 2021, 54, 66–77. [Google Scholar]
- Shao, Z.F.; Zhang, D.Q. Capacity Configuration Optimization of Multi-energy Complementary Power System Based on Contract Load Curve. Power Syst. Technol. 2021, 45, 1757–1767. [Google Scholar]
- Ding, M.; Wu, J.; Zhang, J.J. Capacity Optimization Method of Hybrid Energy Storage System for Wind Power Smoothing. Acta Energiaesolaris Sin. 2019, 40, 593–599. [Google Scholar]
- Cao, C.; Ma, Y.; Chang, Y.; Guan, R.F. Capacity Allocation Method of Hybrid Energy Storage System Based on Empirical Mode Decomposition and Fuzzy Chance Constrained Programming. Distrib. Energy 2016, 1, 43–48. [Google Scholar]
- Li, J.H.; Gao, T.Y.; Zhao, B.; Yan, G.G.; Jiao, J. Inhibition of wind power fluctuations of battery energy storage system adaptive control strategy design. Energy Storage Sci. Technol. 2015, 4, 278–283. [Google Scholar]
- Makarov, Y.V.; Du, P.; Kintner-Meyer, M.C.W.; Jin, C.; Illian, H.F. Sizing Energy Storage to Accommodate High Penetration of Variable Energy Resources. IEEE Trans. Sustain. Energy 2012, 3, 34–40. [Google Scholar] [CrossRef]
- Jia, Y.B.; Zheng, J.; Chen, H.; Yan, Z.; Wang, J.H. Capacity Allocation Optimization of Energy Storage in Thermal-Storage Frequency Regulation Dispatch System Based on EEMD. Power Syst. Technol. 2018, 42, 2930–2937. [Google Scholar]
- Ren, K.; Jiang, W.; Yang, B.; Sang, B.Y.; Liu, Z.; Li, P.P. Optimal frequency division and capacity determination technology of hybrid energy storage system for suppressing intermittent load. Electr. Power Autom. Equip. 2021, 41, 81–87. [Google Scholar]
- Han, X.Y.; Ding, L.J.; Chen, G.; Liu, J.Y.; Lin, J. Key Technologies and Research Prospects for Cascaded Hydro Photovoltaic-Pumped Storage Hybrid Power Generation System. Trans. China Electrotech. Soc. 2020, 35, 2711–2722. [Google Scholar]
- Shao, C.; Li, Z.; Wu, H.; Yuan, Y.; Yang, Q. Energy management strategy of standalone hydro-photovoltaic-storage microgrid. In Proceedings of the 2021 International Conference on Power System Technology: Carbon Neutrality and New Type of Power System (POWERCON), Haikou, China, 8–9 December 2021; pp. 1136–1141. [Google Scholar]
- Braun-Cruz, C.C.; Tritico, H.M.; Beregula, R.L.; Girard, P.; Zeilhofer, P.; Ribeiro, L.d.S.; Fantin-Cruz, I. Evaluation of Hydrological Alterations at the Sub-Daily Scale Caused by a Small Hydroelectric Facility. Water 2021, 13, 206. [Google Scholar] [CrossRef]
- Zhu, Y.; Chen, S.; Ma, G.; Huang, W.; Han, X.; Ding, L. Regulation capability of small cascade hydropower stations for photovoltaic generation. J. Renew. Sustain. Energy 2020, 12, 053501. [Google Scholar] [CrossRef]
- Zhang, J.T.; Cheng, C.T.; Yu, S.; Shen, J.J.; Wu, X.Y.; Su, H.Y. Preliminary feasibility analysis for remaking the function of cascade hydropower stations to enhance hydropower flexibility: A case study in China. Energy 2022, 260, 123156. [Google Scholar] [CrossRef]
- Chen, H.Y.; Chen, T.F.; Qin, X.Y.; Lu, K.P. The Dynamic Characteristics of Pumped-Storage Power Station Underground Powerhouse Structure Research in GPSPS. Hydropower Pumped Storage 2017, 3, 28–31+44. [Google Scholar]
- Guo, A.; Chang, J.X.; Wang, Y.M.; Wang, X.B.; Sun, X.Q. Research on Capacity Computation of Cascade On-Stream Integral Pumped Storage Hydropower Plants I: Short-Term Peak Shaving and Gain of Cascade Development. J. Hydraul. Eng. 2024, 55, 768–779. [Google Scholar]
- Zhang, Z.P.; Zhao, W.Q.; Liu, J.; Wang, Z.W. Discussion on the Construction of Joint O-peration Pumped Storage Pump/Power Station in Cascade Hydropower Stations. Large Electr. Mach. Hydraul. Turbine 2023, 2, 57–64. [Google Scholar]
- Nasir, J.; Javed, A.; Ali, M.; Ullah, K.; Kazmi, S.A.A. Capacity optimization of pumped storage hydropower and its impact on an integrated conventional hydropower plant operation. Appl. Energy 2022, 323, 119561. [Google Scholar] [CrossRef]
- Xie, L.R.; Zheng, H.; Wei, C.W.; Hu, S.Y. Coordinated Control Strategy of Photovoltaic Hybrid Energy Storage Considering Prediction-Error Compensation and Fluctuation Suppression. Autom. Electr. Power Syst. 2021, 45, 130–138. [Google Scholar]
- Zhang, Q.; Ma, Y.; Li, G.L.; Ma, J.H.; Ding, J.J. Applications of Frequency Domain Decomposition and Deep Learning Algorithms in Short-term Load and Photovoltaic Power Forecasting. Proc. CSEE 2019, 39, 2221–2230. [Google Scholar]
- Li, B.; Li, X.C.; Bai, X.Q.; Li, W.M. A Research on the IL Control Strategy of Distribution Network in Electricity Market. Proc. CSEE 2018, 38, 6573–6582. [Google Scholar]








| Water Regimen | Utilization Hours (h) | Minimum/Maximum Technical Output (MW) |
|---|---|---|
| Wet period | aA | / |
| Low water period | bA | / |
| Number | Vbegin /(104 m3) | Vend /(104 m3) | Vc min /(104 m3) | Vc max /(104 m3) | qmin /(m3/s) | qmax /(m3/s) |
|---|---|---|---|---|---|---|
| 1 | 40 | 40 | 0 | 16 | 0 | 16 |
| 2 | 70 | 70 | 0 | 36 | 0 | 20 |
| 3 | 150 | 150 | 0 | 116 | 0 | 30 |
| 4 | 1450 | 1450 | 0 | 119 | 0 | 50 |
| 5 | 500 | 500 | 0 | 74 | 0 | 87.8 |
| 6 | 1500 | 1500 | 0 | 844 | 0 | 56.2 |
| 7 | 32 | 32 | 0 | 3 | 0 | 67.6 |
| 8 | 425 | 425 | 0 | 20 | 0 | 84.8 |
| 9 | 265 | 265 | 0 | 111 | 0 | 77.6 |
| 10 | 6400 | 6400 | 0 | 114 | 0 | 119.7 |
| Number | Utilization Hours (h) | Minimum Technical Output (MW) | Maximum Capacity (MW) | Maximum Regulation Capacity (MW) | ||
|---|---|---|---|---|---|---|
| Wet Period | Low Water Period | Wet Period | Low Water Period | |||
| 1 | 2464.7 | 1056.3 | 1.12 | 0.16 | 1.6 | 0.416 |
| 2 | 2293.2 | 982.8 | 1.12 | 0.16 | 1.6 | 0.416 |
| 3 | 2634.8 | 1129.2 | 1.12 | 0.16 | 1.6 | 0.416 |
| 4 | 2490.6 | 1067.4 | 2.8 | 0.4 | 4 | 1.040 |
| 5 | 3154.2 | 1351.8 | 5.04 | 0.72 | 7.2 | 1.872 |
| 6 | 3318.7 | 1422.3 | 11.2 | 0.8 | 16 | 3.200 |
| 7 | 3733.8 | 1600.2 | 4.2 | 0.9 | 6 | 1.920 |
| 8 | 4039 | 1731 | 5.6 | 0.8 | 8 | 2.080 |
| 9 | 2924.6 | 1253.4 | 5.04 | 0.72 | 7.2 | 1.872 |
| 10 | 3098.9 | 1328.1 | 7.875 | 0.75 | 11.25 | 2.475 |
| Total regulation capacity (MW) | 15.7 | |||||
| Time | I1 (m3/s) | I2 (m3/s) | I3 (m3/s) | I4 (m3/s) | I5 (m3/s) | I6 (m3/s) | I7 (m3/s) | I8 (m3/s) | I9 (m3/s) | I10 (m3/s) |
|---|---|---|---|---|---|---|---|---|---|---|
| 1 | 4.26 | 4.32 | 9.76 | 0.00 | 4.26 | 0.00 | 20.04 | 24.50 | 0.00 | 0.00 |
| 2 | 4.77 | 4.86 | 9.76 | 0.00 | 4.77 | 0.00 | 14.20 | 27.81 | 0.00 | 0.00 |
| 3 | 3.52 | 4.88 | 9.88 | 0.00 | 3.52 | 0.00 | 16.21 | 28.80 | 0.00 | 0.00 |
| 4 | 5.27 | 2.80 | 5.60 | 0.00 | 5.27 | 0.00 | 12.93 | 16.00 | 0.00 | 0.00 |
| 5 | 6.15 | 3.85 | 7.60 | 0.00 | 6.15 | 0.00 | 9.98 | 20.68 | 0.00 | 0.00 |
| 6 | 5.49 | 3.94 | 7.00 | 0.00 | 5.49 | 0.00 | 13.23 | 24.29 | 0.00 | 0.00 |
| 7 | 4.39 | 4.63 | 7.00 | 0.00 | 4.39 | 0.00 | 9.98 | 18.31 | 0.00 | 0.00 |
| 8 | 4.25 | 4.06 | 7.00 | 0.00 | 4.25 | 0.00 | 8.64 | 24.18 | 0.00 | 0.00 |
| 9 | 4.25 | 3.46 | 7.00 | 0.00 | 4.25 | 0.00 | 6.29 | 22.69 | 0.00 | 0.00 |
| 10 | 4.65 | 3.94 | 7.00 | 0.00 | 4.65 | 0.00 | 13.37 | 20.57 | 0.00 | 0.00 |
| 11 | 3.85 | 3.59 | 7.00 | 0.00 | 3.85 | 0.00 | 11.66 | 23.91 | 0.00 | 0.00 |
| 12 | 4.70 | 4.67 | 7.00 | 0.00 | 4.70 | 0.00 | 10.35 | 20.83 | 0.00 | 0.00 |
| 13 | 4.60 | 3.38 | 7.00 | 0.00 | 4.60 | 0.00 | 13.73 | 20.56 | 0.00 | 0.00 |
| 14 | 4.70 | 3.17 | 7.00 | 0.00 | 4.70 | 0.00 | 16.37 | 19.88 | 0.00 | 0.00 |
| 15 | 4.39 | 4.75 | 8.13 | 0.00 | 4.39 | 0.00 | 14.26 | 26.00 | 0.00 | 0.00 |
| 16 | 5.27 | 2.75 | 7.00 | 0.00 | 5.27 | 0.00 | 11.66 | 25.00 | 0.00 | 0.00 |
| 17 | 6.15 | 2.75 | 7.00 | 0.00 | 6.15 | 0.00 | 12.47 | 10.12 | 0.00 | 0.00 |
| 18 | 4.39 | 3.94 | 6.10 | 0.00 | 4.39 | 0.00 | 17.28 | 20.00 | 0.00 | 0.00 |
| 19 | 3.52 | 3.38 | 6.10 | 0.00 | 3.52 | 0.00 | 13.97 | 10.80 | 0.00 | 0.00 |
| 20 | 4.70 | 2.81 | 6.10 | 0.00 | 4.70 | 0.00 | 12.10 | 23.32 | 0.00 | 0.00 |
| 21 | 4.39 | 3.94 | 6.10 | 0.00 | 4.39 | 0.00 | 17.28 | 20.00 | 0.00 | 0.00 |
| 22 | 3.52 | 3.38 | 6.10 | 0.00 | 3.52 | 0.00 | 13.97 | 20.80 | 0.00 | 0.00 |
| 23 | 3.85 | 3.59 | 7.00 | 0.00 | 3.85 | 0.00 | 11.66 | 23.91 | 0.00 | 0.00 |
| 24 | 3.52 | 4.88 | 9.88 | 0.00 | 3.52 | 0.00 | 16.21 | 23.80 | 0.00 | 0.00 |
| Name | Definition | Volatility |
|---|---|---|
| Cloudy and windy | Wind power output is the most, and PV output is the least. | Relatively strong |
| Sunny and windy | Joint output is the richest. | Strongest |
| Cloudy and less windy | Joint output is the most scarce | Weakest |
| Sunny and less windy | Wind power output is the least, and PV output is the most. | Relatively weak |
| Type | Capacity/MW |
|---|---|
| The pumped storage unit installed in No. 6 hydropower station | 16 |
| wind turbines | 44 |
| PV cells | 66 |
| Scenarios | Deviation Power (MWh) | Surplus Water (104 m3) | ||
|---|---|---|---|---|
| With Pumped Storage | Without Pumped Storage | With Pumped Storage | Without Pumped Storage | |
| Cloudy and windy | 0 | 67.51 | 0 | 626.4 |
| Sunny and windy | 0 | 67.51 | 0 | 767.8 |
| Cloudy and less windy | 0 | 44.88 | 0 | 709 |
| Sunny and less windy | 0 | 40.58 | 0 | 928.4 |
| Peak Load | Flat Load | Valley Load | |
|---|---|---|---|
| Periods | 10:00~15:00 18:00~21:00 | 7:00~10:00 15:00~18:00 21:00~23:00 | 23:00~7:00 |
| Tariffs (CNY/kWh) * | 0.65 | 0.38 | 0.13 |
| Scenarios | Pumped-Storage Retrofitted System (CNY 10,000) | Non-Retrofitted System (CNY 10,000) | Increase in Revenue (CNY 10,000) | Percentage Increase in Power Generation Benefits |
|---|---|---|---|---|
| Cloudy and windy | 54.78 | 51.57 | 3.21 | 6.22% |
| Sunny and windy | 58.81 | 55.63 | 3.18 | 5.71% |
| Cloudy and less windy | 59.74 | 56.59 | 3.15 | 5.57% |
| Sunny and less windy | 66.60 | 63.35 | 3.25 | 5.13% |
| Costs | Quantity | Capacity (MW) | Unit Cost (CNY 10,000) | Total Cost (CNY 10,000) |
|---|---|---|---|---|
| Pumped storage retrofitting cost | 1 | 16 | 160 | 160 |
| Operation and maintenance cost | \ | \ | 8 | 80 |
| Scenarios | Power Generation (MWh) | Benefits (CNY 10,000) | Increase in Revenue (CNY 10,000) | Carbon Emission Reduction (tons) |
|---|---|---|---|---|
| Cloudy and windy | 1284.74 | 54.78 | 3.21 | 750 |
| Sunny and windy | 1348.40 | 58.81 | 3.18 | 780 |
| Cloudy and less windy | 1290.62 | 59.74 | 3.15 | 750 |
| Sunny and less windy | 1385.95 | 66.60 | 3.25 | 810 |
| Total annual | 5309.71 | 21,893.6 | 1167.09 | 281,500 |
| Type | Price (CNY 10,000) |
|---|---|
| Initial construction cost | 240 |
| Total life-cycle cost | 213.68 |
| Power generation benefit | 21,893.6 |
| Total increase in revenue | 11,670.9 |
Disclaimer/Publisher’s Note: The statements, opinions and data contained in all publications are solely those of the individual author(s) and contributor(s) and not of MDPI and/or the editor(s). MDPI and/or the editor(s) disclaim responsibility for any injury to people or property resulting from any ideas, methods, instructions or products referred to in the content. |
© 2025 by the authors. Licensee MDPI, Basel, Switzerland. This article is an open access article distributed under the terms and conditions of the Creative Commons Attribution (CC BY) license (https://creativecommons.org/licenses/by/4.0/).
Share and Cite
Li, B.; Lu, S.; Zhao, J.; Li, P. The Capacity Configuration of a Cascade Small Hydropower-Pumped Storage–Wind–PV Complementary System. Appl. Sci. 2025, 15, 6989. https://doi.org/10.3390/app15136989
Li B, Lu S, Zhao J, Li P. The Capacity Configuration of a Cascade Small Hydropower-Pumped Storage–Wind–PV Complementary System. Applied Sciences. 2025; 15(13):6989. https://doi.org/10.3390/app15136989
Chicago/Turabian StyleLi, Bin, Shaodong Lu, Jianing Zhao, and Peijie Li. 2025. "The Capacity Configuration of a Cascade Small Hydropower-Pumped Storage–Wind–PV Complementary System" Applied Sciences 15, no. 13: 6989. https://doi.org/10.3390/app15136989
APA StyleLi, B., Lu, S., Zhao, J., & Li, P. (2025). The Capacity Configuration of a Cascade Small Hydropower-Pumped Storage–Wind–PV Complementary System. Applied Sciences, 15(13), 6989. https://doi.org/10.3390/app15136989

