Short-Term Optimal Scheduling of Pumped-Storage Units via DDPG with AOS-LSTM Flow-Curve Fitting
Abstract
1. Introduction
- High-precision flow-efficiency curve fitting: AOS tunes LSTM hyperparameters to model nonlinear flow-efficiency curves more accurately than traditional methods, giving reliable input for scheduling.
- Constraint-aware DRL embedded with fitted flow curves: Embedding the fitted curves into a DDPG-based Markov process yields a policy that minimises water use while respecting constraints such as vibration zone avoidance. The model offers fast inference, stable convergence, and superior water-saving and economic outcomes.
2. The Problem Description
2.1. Objective Function
2.2. Constraints
2.2.1. Load Balance Constraint:
2.2.2. Unit Output Constraints:
2.2.3. Generating Flow Rate Constraints
2.2.4. Unit Vibration Zone Constraints
2.2.5. Vibration Zone Crossing Risk Constraint
3. Materials and Methods
3.1. Refined Fitting Strategy for Unit Flow Characteristic Curves Based on AOS-LSTM
3.1.1. LSTM Neural Network Structure
3.1.2. Atomic Orbital Search (AOS) Algorithm
Basic Principle
Initialisation
Binding State and Energy
Search and Update Mechanism
Advantages and Integration of AOS in LSTM Training
- Compared with traditional optimisation algorithms such as Particle Swarm Optimisation (PSO), the AOS algorithm offers several notable advantages for hyperparameter optimisation: strong global search driven by probabilistic electron dynamics;
- Strong global search capability: the probabilistic modelling of electron motion enables effective exploration of the search space;
- Ability to escape local optima: the energy-level transition mechanism allows the algorithm to overcome local minima;
- Well-balanced exploration and exploitation: the multi-layer energy structure inherently maintains a balance between global exploration and local exploitation;
- Low parameter dependency: AOS requires fewer control parameters, making it easy to integrate with deep learning models.
3.1.3. LSTM Neural Network Model Optimised by AOS
- Initialisation: generate an initial set of candidate LSTM hyperparameter solutions randomly, analogous to electron positions within an atomic system.
- Orbital updating: reassign electrons to orbitals according to fitness (validation loss) and inter-electron spacing.
- Position updating: perturb each electron’s position (hyperparameters) by a stochastic step drawn from its current orbital.
- Energy (fitness) evaluation: re-compute fitness; retain the new position if loss decreases, otherwise revert or downgrade its energy level.
- Iterative optimisation: repeat steps 2 through 4 until the predefined maximum number of iterations is reached or a convergence criterion is satisfied.
- The specific algorithm flowchart is illustrated in Figure 3.
3.1.4. Model Evaluation Metrics
- Mean absolute error (MAE):
- Root mean square error (RMSE):
3.2. DDPG-Based Load Optimisation Scheduling Model for Pumped-Storage Units
3.2.1. DDPG Model
- Reward: a composite metric reflecting unit water consumption, load balance, and vibration zone avoidance;
- System State: information such as the current water head, load demand, and previous outputs.
Basic Principle
State Space Design
Reward Function Design
4. Results and Discussion
4.1. Fitting of Unit Flow Characteristic Curves
- All data features were normalised to eliminate the influence of scale differences.
- Missing values in the dataset were imputed using interpolation;
- The time-series data were transformed into a sliding-window format, facilitating their input into the LSTM model for subsequent prediction.
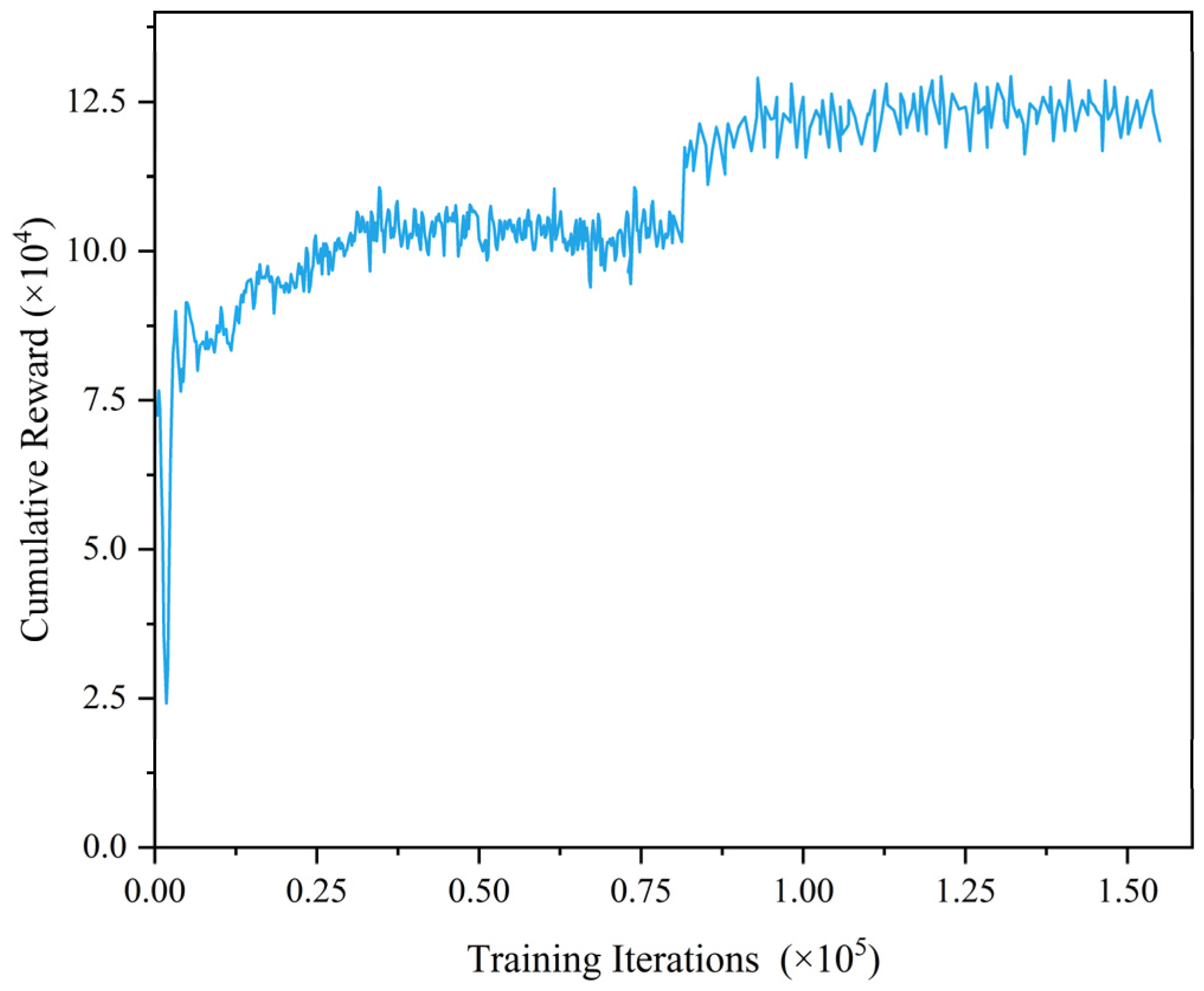
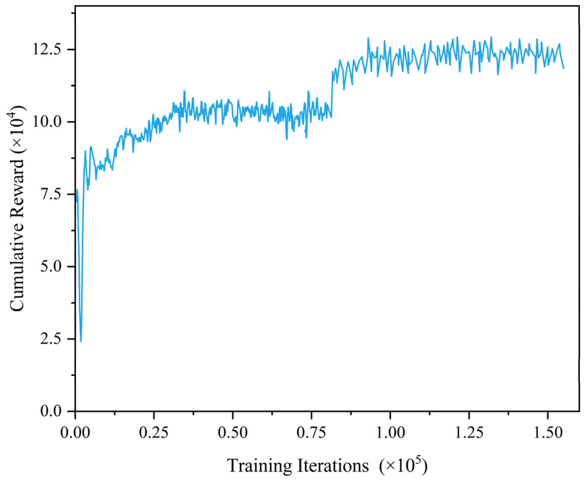
4.2. Training Procedure of the DDPG Model
4.3. Decision Analysis of the Proposed Model
- Economic Performance Evaluation
- 2.
- Operational Safety and Risk Assessment
5. Conclusions
- High-accuracy flow-curve fitting: The proposed AOS-optimised LSTM model accurately captures the flow-efficiency characteristics of PSH units. Compared with traditional fitting methods, it improves prediction accuracy by at least 65.35%, providing physical guidance and enhancing the agent’s constraint-awareness during dispatch.
- Efficient DRL-based scheduling: With the inclusion of flow-feature guidance, the AOS-LSTM-DDPG model demonstrates stable convergence during 2 million training iterations and supports real-time inference within 1 s. Under a representative daily load scenario, it achieves the lowest water consumption (1.983 × 107 m3), outperforming standard DDPG (−0.85%), PSO (−1.78%), and DP (−2.36%) in economic efficiency.
- Significant improvement in operational safety: The proposed method records only two vibration-zone operations and two transitions, representing a reduction of over 93.1%/85.7% compared to DP (29/14 events) and 90.9%/88.9% compared to PSO (22/18 events). This highlights its superior capability in constraint compliance and operational stability.
Author Contributions
Funding
Data Availability Statement
Conflicts of Interest
References
- Zhang, F.; Wang, X.; Liu, G. Allocation of carbon emission quotas based on global equality perspective. Environ. Sci. Pollut. Res. 2022, 29, 53553–53568. [Google Scholar] [CrossRef]
- Guo, X.; Huang, K.; Li, L.; Wang, X. Renewable energy for balancing carbon emissions and reducing carbon transfer under global value chains: A way forward. Sustainability 2022, 15, 234. [Google Scholar] [CrossRef]
- Han, X.; Ding, L.; Chen, G.; Liu, J.; Lin, J. Key technologies and research prospects for cascaded hydro-photovoltaic-pumped storage hybrid power generation system. Trans. China Electrotech. Soc. 2020, 35, 2711–2722. [Google Scholar]
- Azarova, E.; Jun, H. Investigating determinants of international clean energy investments in emerging markets. Sustainability 2021, 13, 11843. [Google Scholar] [CrossRef]
- Chai, R.; Li, G. Renewable clean energy and clean utilization of traditional energy: An evolutionary game model of energy structure transformation of power enterprises. Syst. Eng. Theory Pract. 2022, 42, 184–197. [Google Scholar]
- Han, M.; Chang, X.; Li, J.; Yang, G.; Shang, T. Application and development of pumped storage technology. Sci. Technol. Rev. 2016, 34, 57–67. [Google Scholar]
- Xu, R.; Zhang, J.; Liu, M.; Cao, C.; Chao, X. Life cycle cost of electrochemical energy storage and pumped storage. Adv. Technol. Electr. Eng. Energy 2021, 40, 10–18. [Google Scholar]
- Zhao, Z.; Jin, C.C.X.; Liu, L.; Yan, L. A MILP model for hydro unit commitment with irregular vibration zones based on the constrained Delaunay triangulation method. Int. J. Electr. Power Energy Syst. 2020, 123, 106241. [Google Scholar] [CrossRef]
- Vieira, D.A.G.; Costa, E.E.; Campos, P.H.F.; Mendonça, M.O.; Silva, G.R.L. A real-time nonlinear method for a single hydropower plant unit commitment based on analytical results of dual decomposition optimization. Renew. Energy 2022, 192, 513–525. [Google Scholar] [CrossRef]
- Cheng, X.; Feng, S.; Zheng, H.; Wang, J.; Liu, S. A hierarchical model in short-term hydro scheduling with unit commitment and head-dependency. Energy 2022, 251, 123908. [Google Scholar] [CrossRef]
- Shi, C.; Wei, T.; Tang, X.; Zhou, L.; Zhang, T. Charging–discharging control strategy for a flywheel array energy storage system based on the equal incremental principle. Energies 2019, 12, 2844. [Google Scholar] [CrossRef]
- Liao, S.; Liu, J.; Liu, B.; Cheng, C.; Zhou, L.; Wu, H. Multicore parallel dynamic programming algorithm for short-term hydro-unit load dispatching of huge hydropower stations serving multiple power grids. Water Resour. Manag. 2020, 34, 359–376. [Google Scholar] [CrossRef]
- Li, J.; Moe Saw, M.M.; Chen, S.; Yu, H. Short-term optimal operation of Baluchaung II hydropower plant in Myanmar. Water 2020, 12, 504. [Google Scholar] [CrossRef]
- Wang, W.; Wang, P.; Dong, Y. Modified dynamic programming algorithm and its application in distribution of power plant load. In E3S Web of Conferences, Proceedings of the 2019 International Conference on Building Energy Conservation, Thermal Safety and Environmental Pollution Control (ICBTE 2019), Hefei, China, 1–3 November 2019; EDP Sciences: Les Ulis, France, 2019; Volume 136, p. 01005. [Google Scholar]
- Hashim, F.A.; Houssein, E.H.; Hussain, K.; Mabrouk, M.S.; Al-Atabany, W. Honey badger algorithm: New metaheuristic algorithm for solving optimization problems, Math. Comput. Simul. 2022, 192, 84–110. [Google Scholar] [CrossRef]
- MiarNaeimi, F.; Azizyan, G.; Rashki, M. Horse herd optimization algorithm: A nature-inspired algorithm for high-dimensional optimization problems. Knowl. Based Syst. 2021, 213, 106711. [Google Scholar] [CrossRef]
- Zhang, X.; Wang, Z.; Lu, Z. Multi-objective load dispatch for microgrid with electric vehicles using modified gravitational search and particle swarm optimization algorithm. Appl. Energy 2022, 306, 118018. [Google Scholar] [CrossRef]
- Shang, Y.; Fan, Q.; Shang, L.; Sun, Z.; Xiao, G. Modified genetic algorithm with simulated annealing applied to optimal load dispatch of the Three Gorges Hydropower Plant in China. Hydrol. Sci. J. 2019, 64, 1129–1139. [Google Scholar] [CrossRef]
- Wang, X.; Yang, K.; Zhou, X. Two-stage glowworm swarm optimization for economical operation of hydropower station. IET Renew. Power Gener. 2018, 12, 992–1003. [Google Scholar] [CrossRef]
- Ming, B.; Liu, P.; Guo, S.; Cheng, L.; Zhou, Y.; Gao, S.; He, L. Robust hydroelectric unit commitment considering integration of large-scale photovoltaic power: A case study in China. Appl. Energy 2018, 228, 1341–1352. [Google Scholar] [CrossRef]
- Jiang, W.; Liu, Y.; Fang, G.; Ding, Z. Research on short-term optimal scheduling of hydro-wind-solar multi-energy power system based on deep reinforcement learning. J. Clean. Prod. 2023, 385, 135704. [Google Scholar] [CrossRef]
- Zhou, Y.; Huang, Y.; Mao, X.; Kang, Z.; Huang, X.; Xuan, D. Research on energy management strategy of fuel cell hybrid power via an improved TD3 deep reinforcement learning. Energy 2024, 293, 130564. [Google Scholar] [CrossRef]
- Liang, T.; Sun, B.; Tan, J.; Cao, X.; Sun, H. Scheduling scheme of wind-solar complementary renewable energy hydrogen production system based on deep reinforcement learning. High Volt. Eng. 2023, 49, 2264–2275. [Google Scholar]
- Lillicrap, T.P.; Hunt, J.J.; Pritzel, A.; Heess, N.; Erez, T.; Tassa, Y. Continuous control with deep reinforcement learning. arXiv 2015, arXiv:1509.02971. [Google Scholar]
- Ha, P.T.; Tran, D.T.; Nguyen, T.T. Electricity Generation Cost Reduction for Hydrothermal Systems with the Presence of Pumped Storage Hydroelectric Plants. Neural Comput. Appl. 2022, 34, 9931–9953. [Google Scholar] [CrossRef]
- Novara, D.; McNabola, A. A model for the extrapolation of the characteristic curves of pumps as turbines from a datum best efficiency point. Energy Convers. Manag. 2018, 174, 1–7. [Google Scholar] [CrossRef]
- Cavazzini, G.; Zanetti, G.; Santolin, A.; Ardizzon, G. Characterization of the hydrodynamic instabilities in a pump-turbine operating at part load in turbine mode. In IOP Conference Series: Earth and Environmental Science, Proceedings of the 31st IAHR Symposium on Hydraulic Machinery and Systems, Trondheim, Norway, 26 June 2022–1 July 2022; IOP Publishing: New York, NY, USA, 2022; Volume 1079, p. 012033. [Google Scholar]
- Pan, H.; Hang, C.; Feng, F.; Zheng, Y.; Li, F. Improved neural network algorithm based flow characteristic curve fitting for hydraulic turbines. Sustainability 2022, 14, 10757. [Google Scholar] [CrossRef]
- Fang, Z.; Yang, Z.; Peng, H.; Chen, G. Prediction of Ultra-Short-Term power system based on LSTM-Random forest combination model. In Journal of Physics: Conference Series, Proceedings of the 2nd International Conference on Electronics, Electrical and Information Engineering, Changsha, China, 11–14 August 2022; IOP Publishing: New York, NY, USA, 2022; Volume 2387, p. 012033. [Google Scholar]
- Zhou, Y.; Kumar, A.; Gandhi, C.P.; Vashishtha, G.; Tang, H.; Kundu, P.; Xiang, J. Discrete entropy-based health indicator and LSTM for the forecasting of bearing health. J. Braz. Soc. Mech. Sci. Eng. 2023, 45, 120. [Google Scholar] [CrossRef]
- Azizi, M. Atomic orbital search: A novel meta-heuristic algorithm. Appl. Math. Model. 2021, 93, 657–683. [Google Scholar] [CrossRef]
- Abd Elaziz, M.; Ouadfel, S.; Abd El-Latif, A.A.; Ali lbrahim, R. Feature selection based on modified bio-inspired atomic orbital search using arithmetic optimization and opposite-based learning. Cogn. Comput. 2022, 14, 2274–2295. [Google Scholar] [CrossRef]
- Ali, F.; Sarwar, A.; Bakhsh, F.I.; Ahmad, S.; Shah, A.A.; Ahmed, H. Parameter extraction of photovoltaic models using atomic orbital search algorithm on a decent basis for novel accurate RMSE calculation. Energy Convers. Manag. 2023, 277, 116613. [Google Scholar] [CrossRef]
- Ha, P.T.; Tran, D.T.; Phan, T.M.; Nguyen, T.T. Maximization of Total Profit for Hybrid Hydro-Thermal-Wind-Solar Power Systems Considering Pumped Storage, Cascaded Systems, and Renewable Energy Uncertainty in a Real Zone, Vietnam. Sustainability 2024, 16, 6581. [Google Scholar] [CrossRef]
- Hodson, T.O. Root mean square error (RMSE) or mean absolute error (MAE): When to use them or not. Geosci. Model Dev. Discuss. 2022, 2022, 1–10. [Google Scholar] [CrossRef]
- Papadimitriou, C.H.; Tsitsiklis, J.N. The complexity of Markov decision processes. Math. Oper. Res. 1987, 12, 441–450. [Google Scholar] [CrossRef]












| Model | MAE | Minimum RMSE | Average RMSE | Computation Time (s) |
|---|---|---|---|---|
| BPNN | 1.017 | 1.187 | 1.954 | 12.859 |
| LSTM | 0.832 | 0.854 | 1.246 | 13.032 |
| PSO-LSTM | 0.422 | 0.456 | 1.086 | 68.452 |
| AOS-LSTM | 0.131 | 0.158 | 0.625 | 51.365 |
| Parameter | Critic-Network | Actor-Network |
|---|---|---|
| Learning rate | 0.00004 | 0.00003 |
| Soft update coefficient | 0.01 | 0.01 |
| Number of network layers | 3 | 3 |
| Neurons per layer | 64 | 64 |
| Hidden-layer activation | ReLU | ReLU |
| Output-layer activation | / | Tanh |
| Training episodes | 1500 | 1500 |
| Model | Model Training Time (h) | Decision Time (s) | Water Consumption (×107 m3) | In-Zone Operations | Zone Crossings |
|---|---|---|---|---|---|
| DP | ____ | 206.59 | 2.031 | 29 | 14 |
| PSO | 10.82 | 2.019 | 22 | 18 | |
| DDPG | 2.8 | 0.7 | 2 | 6 | 5 |
| AOS-LSTM-DDPG | 2.9 | 0.74 | 1.983 | 2 | 2 |
Disclaimer/Publisher’s Note: The statements, opinions and data contained in all publications are solely those of the individual author(s) and contributor(s) and not of MDPI and/or the editor(s). MDPI and/or the editor(s) disclaim responsibility for any injury to people or property resulting from any ideas, methods, instructions or products referred to in the content. |
© 2025 by the authors. Licensee MDPI, Basel, Switzerland. This article is an open access article distributed under the terms and conditions of the Creative Commons Attribution (CC BY) license (https://creativecommons.org/licenses/by/4.0/).
Share and Cite
Ma, X.; Pan, H.; Zheng, Y.; Hang, C.; Wu, X.; Li, L. Short-Term Optimal Scheduling of Pumped-Storage Units via DDPG with AOS-LSTM Flow-Curve Fitting. Water 2025, 17, 1842. https://doi.org/10.3390/w17131842
Ma X, Pan H, Zheng Y, Hang C, Wu X, Li L. Short-Term Optimal Scheduling of Pumped-Storage Units via DDPG with AOS-LSTM Flow-Curve Fitting. Water. 2025; 17(13):1842. https://doi.org/10.3390/w17131842
Chicago/Turabian StyleMa, Xiaoyao, Hong Pan, Yuan Zheng, Chenyang Hang, Xin Wu, and Liting Li. 2025. "Short-Term Optimal Scheduling of Pumped-Storage Units via DDPG with AOS-LSTM Flow-Curve Fitting" Water 17, no. 13: 1842. https://doi.org/10.3390/w17131842
APA StyleMa, X., Pan, H., Zheng, Y., Hang, C., Wu, X., & Li, L. (2025). Short-Term Optimal Scheduling of Pumped-Storage Units via DDPG with AOS-LSTM Flow-Curve Fitting. Water, 17(13), 1842. https://doi.org/10.3390/w17131842

