Sign in to use this feature.

Years

Between: -

Subjects

remove_circle_outline
remove_circle_outline
remove_circle_outline
remove_circle_outline
remove_circle_outline
remove_circle_outline
remove_circle_outline
remove_circle_outline
remove_circle_outline

Journals

remove_circle_outline
remove_circle_outline
remove_circle_outline
remove_circle_outline
remove_circle_outline

Article Types

Countries / Regions

remove_circle_outline
remove_circle_outline
remove_circle_outline

Search Results (251)

Search Parameters:
Keywords = high-dimensional energy consumption

Order results
Result details
Results per page
Select all
Export citation of selected articles as:
19 pages, 4696 KB  
Article
Research on the Prediction of Cement Precalciner Outlet Temperature Based on a TCN-BiLSTM Hybrid Neural Network
by Mengjie Deng and Hongtao Kao
Processes 2025, 13(12), 4068; https://doi.org/10.3390/pr13124068 - 16 Dec 2025
Viewed by 75
Abstract
As the global cement industry moves toward energy efficiency and intelligent manufacturing, refined control of key processes like precalciner outlet temperature is critical for improving energy use and product quality. The precalciner’s outlet temperature directly affects clinker calcination quality and heat consumption, so [...] Read more.
As the global cement industry moves toward energy efficiency and intelligent manufacturing, refined control of key processes like precalciner outlet temperature is critical for improving energy use and product quality. The precalciner’s outlet temperature directly affects clinker calcination quality and heat consumption, so developing a high-accuracy prediction model is essential to shift from empirical to intelligent control. This study proposes a TCN-BiLSTM hybrid neural network model for the accurate prediction and regulation of the outlet temperature of the decomposition furnace. Based on actual operational data from a cement plant in Guangxi, the Spearman correlation coefficient method is employed to select feature variables significantly correlated with the outlet temperature, including kiln rotation speed, high-temperature fan speed, temperature A at the middle-lower part of the decomposition furnace, temperature B of the discharge from the five-stage cyclone, exhaust fan speed, and tertiary air temperature of the decomposition furnace. This method effectively reduces feature dimensionality while enhancing the prediction accuracy of the model. All selected feature variables are normalized and used as input data for the model. Finally, comparative experiments with RNN, LSTM, BiLSTM, TCN, and TCN-LSTM models are performed. The experimental results indicate that the TCN-BiLSTM model achieves the best performance across major evaluation metrics, with a Mean Relative Error (MRE) as low as 0.91%, representing an average reduction of over 1.1% compared to other benchmark models, thereby demonstrating the highest prediction accuracy and robustness. This approach provides high-quality predictive inputs for constructing intelligent control systems, thereby facilitating the advancement of cement production toward intelligent, green, and high-efficiency development. Full article
(This article belongs to the Section Chemical Processes and Systems)
Show Figures

Figure 1

34 pages, 61840 KB  
Article
Fabrication of Dry Connection Through Stamping and Milling of Green-State Concrete
by Abtin Baghdadi, Kian Khanipour Raad, Robin Dörrie and Harald Kloft
Buildings 2025, 15(24), 4521; https://doi.org/10.3390/buildings15244521 - 14 Dec 2025
Viewed by 168
Abstract
This study addresses the fabrication challenges associated with producing diverse geometries for concrete dry connections, particularly regarding cost, time, and geometric limitations. The research investigates methods for fabricating precise, rebar-free dry connections in concrete, focusing on stamping and green-state computer numerical control (CNC) [...] Read more.
This study addresses the fabrication challenges associated with producing diverse geometries for concrete dry connections, particularly regarding cost, time, and geometric limitations. The research investigates methods for fabricating precise, rebar-free dry connections in concrete, focusing on stamping and green-state computer numerical control (CNC) milling. These methods are evaluated using metrics such as dimensional accuracy, tool abrasion, and energy consumption. In the stamping process, a design of experiments (DOE) approach varied water content, concrete age, stamping load, and operational factors (vibration and formwork) across cone, truncated cone, truncated pyramid, and pyramid geometries. An optimal age range of 90 to 105 min, within a broader operational window of 90 to 120 min, was identified. Geometry-specific exceptions, such as approximately 68 min for the truncated cone and 130 min for the pyramid, were attributed to interactions between shape and age rather than deviations from general guidance. Within the tested parameters, water fraction primarily influenced lateral geometric error (diameter or width), while age most significantly affected vertical error. For green-state milling, both extrusion- and shotcrete-printed stock were machined at 90 min, 1 day, and 1 week. From 90 min to 1 week, the total milling energy increased on average by about 35%, and at one week end-face (head) passes caused substantially higher tool wear, with mean circumference losses of about 3.2 mm for head engagement and about 1.0 mm for side passes. Tool abrasion and energy demand increased with curing time, and extrusion required marginally more energy at equivalent ages. Milling was conducted in two engagement modes: side (flank) and end-face (head), which were evaluated separately. End-face engagement resulted in substantially greater tool abrasion than side passes, providing a clear explanation for tolerance drift in final joint geometries. Additionally, soil-based forming, which involves imprinting the stamp into soft, oil-treated fine sand to create a reversible mold, produced high-fidelity replicas with clean release for intricate patterns. This approach offers a practical alternative where friction and demolding constraints limit the effectiveness of direct stamping. Full article
(This article belongs to the Section Building Structures)
Show Figures

Figure 1

22 pages, 3828 KB  
Article
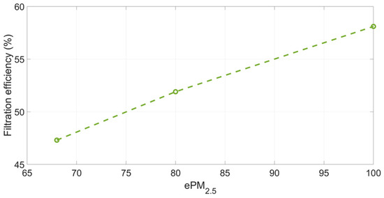
Rapid 1D Design Method for Energy-Efficient Air Filtration Systems in Railway Stations
by Pierre-Emmanuel Prétot, Christoph Schulz, David Chalet, Jérôme Migaud and Mateusz Bogdan
Environments 2025, 12(12), 485; https://doi.org/10.3390/environments12120485 - 10 Dec 2025
Viewed by 207
Abstract
Microscopic Particulate Matter (PM) below 10 µm can enter the respiratory system and affect human health in the short and long term. Railway enclosures are sites with high concentrations of fine PM and technical solutions like mechanical filtration exist to increase the air [...] Read more.
Microscopic Particulate Matter (PM) below 10 µm can enter the respiratory system and affect human health in the short and long term. Railway enclosures are sites with high concentrations of fine PM and technical solutions like mechanical filtration exist to increase the air quality. However, several crucial factors must be evaluated and optimized like energy consumption, maintenance cost/interval, design and control. A fast and adaptable evaluation of decontamination solutions is required to find the optimal solution. To answer this, a 1D multizone model based on station discretization aligned with the track direction is proposed to precisely place decontamination systems along the station. In each zone, a set of ordinary differential equations is used to forecast the daily progression of PM concentrations, based on physical parameters (air and train velocities, and train traffic) used to describe the different physical phenomena (resuspension, deposition, ventilation and generation). Three-dimensional CFD (Computational Fluid Dynamics) simulations are used to characterize the efficiency and range of decontamination products and reproduce their effect in the 1D model. This approach allows for flexible optimization of local and global decontamination efficiencies with multiple parameter changes. PM10 and PM2.5 (below 10 and 2.5 µm) are studied here as they are often monitored. Full article
Show Figures

Figure 1

14 pages, 2239 KB  
Article
Energy-Efficient Path Planning for Snake Robots Using a Deep Reinforcement Learning-Enhanced A* Algorithm
by Yang Gu, Zelin Wang and Zhong Huang
Biomimetics 2025, 10(12), 826; https://doi.org/10.3390/biomimetics10120826 - 10 Dec 2025
Viewed by 225
Abstract
Snake-like robots, characterized by their high flexibility and multi-joint structure, exhibit exceptional adaptability to complex terrains such as snowfields, jungles, deserts, and underwater environments. Their ability to navigate narrow spaces and circumvent obstacles makes them ideal for operations in confined or rugged environments. [...] Read more.
Snake-like robots, characterized by their high flexibility and multi-joint structure, exhibit exceptional adaptability to complex terrains such as snowfields, jungles, deserts, and underwater environments. Their ability to navigate narrow spaces and circumvent obstacles makes them ideal for operations in confined or rugged environments. However, efficient motion in such conditions requires not only mechanical flexibility but also effective path planning to ensure safety, energy efficiency, and overall task performance. Most existing path planning algorithms for snake-like robots focus primarily on finding the shortest path between the start and target positions while neglecting the optimization of energy consumption during real operations. To address this limitation, this study proposes an energy-efficient path planning method based on an improved A* algorithm enhanced with deep reinforcement learning: Dueling Double-Deep Q-Network (D3QN). An Energy Consumption Estimation Model (ECEM) is first developed to evaluate the energetic cost of snake robot motion in three-dimensional space. This model is then integrated into a new heuristic function to guide the A* search toward energy-optimal trajectories. Simulation experiments were conducted in a 3D environment to assess the performance of the proposed approach. The results demonstrate that the improved A* algorithm effectively reduces the energy consumption of the snake robot compared with conventional algorithms. Specifically, the proposed method achieves an energy consumption of 68.79 J, which is 3.39%, 27.26%, and 5.91% lower than that of the traditional A* algorithm (71.20 J), the bidirectional A* algorithm (94.61 J), and the weighted improved A* algorithm (73.11 J), respectively. These findings confirm that integrating deep reinforcement learning with an adaptive heuristic function significantly enhances both the energy efficiency and practical applicability of snake robot path planning in complex 3D environments. Full article
(This article belongs to the Section Locomotion and Bioinspired Robotics)
Show Figures

Figure 1

23 pages, 3500 KB  
Review
Recent Advances in Advanced Membrane Materials for Natural Gas Purification: A Review of Material Design and Separation Mechanisms
by Qijie Fan, Rui Xiao, Cheng Yang, Meixuan Xin, Xia Zheng and Guangyong Zeng
Membranes 2025, 15(12), 377; https://doi.org/10.3390/membranes15120377 - 9 Dec 2025
Viewed by 511
Abstract
Natural gas plays a pivotal role in the global energy landscape under the dual challenges of energy transition and climate change. However, the impurities present within natural gas pose several disadvantages, including corrosion of transportation pipelines, toxicity, hydrate formation, and a reduction in [...] Read more.
Natural gas plays a pivotal role in the global energy landscape under the dual challenges of energy transition and climate change. However, the impurities present within natural gas pose several disadvantages, including corrosion of transportation pipelines, toxicity, hydrate formation, and a reduction in the fuel’s calorific value. Membrane separation technology has been recognized as an ideal approach for natural gas purification owing to its advantages of low energy consumption, operational simplicity, and excellent separation performance. This review summarizes recent progress in the development of advanced membrane materials, including polymer bulk membranes, two-dimensional (2D) nanosheet membranes, mixed-matrix membranes (MMMs), surface-modified membranes, and carbon molecular sieve membranes (CMSMs). The fundamental separation mechanisms—such as solution-diffusion, molecular sieving, adsorption-selectivity, and competitive sorption and surface diffusion—are analyzed in detail. Moreover, the critical scientific questions and technological challenges in this field are discussed in depth. Finally, future research perspectives are proposed to guide the rational design and practical application of high-performance membranes for natural gas separation. Full article
(This article belongs to the Section Membrane Applications for Gas Separation)
Show Figures

Figure 1

26 pages, 4334 KB  
Article
Numerical Simulation and Structural Optimization of Multi-Stage Separation Devices for Gas-Liquid Foam Flow in Gas Fields
by Yu Lin, Feng Wang, Yu Wu, Hao Xu, Jun Zhou, Junfei Yang, Xunjia Zhang and Guodong Zheng
Modelling 2025, 6(4), 160; https://doi.org/10.3390/modelling6040160 - 5 Dec 2025
Viewed by 145
Abstract
In natural gas gathering and transportation projects, efficient gas-liquid separation equipment is crucial to ensuring the stable operation of subsequent processes. Conventional separation units often have problems such as low efficiency, high energy consumption and poor resistance to load fluctuations when dealing with [...] Read more.
In natural gas gathering and transportation projects, efficient gas-liquid separation equipment is crucial to ensuring the stable operation of subsequent processes. Conventional separation units often have problems such as low efficiency, high energy consumption and poor resistance to load fluctuations when dealing with foam-containing gas-liquid mixtures. For this purpose, numerical simulation and structural optimization of multi-stage foam separation units were carried out in this study. Based on FLUENT software fluid analysis software, a three-dimensional, multi-physics coupled model incorporating cyclonic defoaming components and axial-flow separation tubes was developed. The volume of fluid (VOF) multiphase flow model was used to capture the dynamic characteristics of the gas-liquid interface, and the population balance model was used to simulate the coalescence and fragmentation of the foam. The results show that in the non-working fluid stage, the optimal operating pressure is 5.0–5.5 MPa, and the droplet concentration should be maintained below 50 × 10−5. The system performance during the working fluid stage is significantly influenced by foam size. The efficiency of millimeter-sized foams is stable above 88% in the 5.0–6.0 MPa range, while the efficiency of micrometer-sized foams is optimal in the 5.3–5.7 MPa range. It is recommended to control the foam proportion below 35% and add a pre-defoaming unit to improve overall performance. Full article
Show Figures

Figure 1

17 pages, 7342 KB  
Article
Degassing N2 from the Direct Oxidation of Total Ammonia in Mariculture Using a Three-Dimensional Electrode System
by Yuxiang He, Ziyi Pan, Ya’nan Lv, Guowei Ling and Chen Zhang
Processes 2025, 13(12), 3851; https://doi.org/10.3390/pr13123851 - 28 Nov 2025
Viewed by 361
Abstract
Elevated levels of total ammonia nitrogen (TAN) are recognized as a primary contributor to acute toxicity in aquatic organisms across freshwater aquaculture and mariculture environments. Existing technologies for TAN removal from wastewater are constrained by complex processes, high energy consumption, and an inability [...] Read more.
Elevated levels of total ammonia nitrogen (TAN) are recognized as a primary contributor to acute toxicity in aquatic organisms across freshwater aquaculture and mariculture environments. Existing technologies for TAN removal from wastewater are constrained by complex processes, high energy consumption, and an inability to meet discharge standards in a single step. Conventional electrochemical routes often over-oxidize TAN to nitrate, which undermines the goal of achieving truly harmless wastewater. Herein, we use a three-dimensional (3D) electrochemical system packed with particulate electrodes to realize the “TAN to N2” in one step. The design exploits a synergistic mechanism in which anodic ·OH and HClO cooperatively oxidize TAN while cathodic sites concurrently reduce nitrate nitrogen, turning NH4+ directly to N2 without nitrate accumulation. The 3D electrochemical system is particularly suitable for marine aquaculture wastewater, especially when addressing the low TAN concentration characteristic. Results show that the 3D system increased N2 selectivity from 67.90% to 92.06% while stabilizing wastewater pH within a mildly alkaline window. The system operates in situ, enabling direct recycle of culture water and offering a new technological paradigm for harmless, on-site treatment and resource recovery from mariculture wastewater. Full article
(This article belongs to the Special Issue Advanced Materials for Marine Energy and Environment)
Show Figures

Figure 1

17 pages, 1819 KB  
Article
Optimized Low-Carbon Economic Dispatch of Island Microgrids via an Improved Sine–Cosine Algorithm
by Naihua Feng, Peng Yu, Guanbao Yang and Qian Jia
Energies 2025, 18(23), 6081; https://doi.org/10.3390/en18236081 - 21 Nov 2025
Viewed by 282
Abstract
Under the environment of globalized energy restructuring and achieving the goal of “peak carbon and carbon neutrality”, this paper proposes an optimal scheduling method based on the improved cosine algorithm for island microgrids, which relies on diesel generators, resulting in high carbon emissions [...] Read more.
Under the environment of globalized energy restructuring and achieving the goal of “peak carbon and carbon neutrality”, this paper proposes an optimal scheduling method based on the improved cosine algorithm for island microgrids, which relies on diesel generators, resulting in high carbon emissions and high operating costs. First, an optimal scheduling model for island microgrids is established with the objective of minimizing the system operating cost, which comprehensively considers the carbon emission penalty, power balance constraints, equipment operation constraints, and the volatility of renewable energy sources. Secondly, the traditional sine–cosine algorithm is improved by introducing an adaptive adjustment factor, elite retention strategy and chaotic mapping initialization population in order to solve its shortcomings of falling into local optimums and insufficient convergence accuracy when solving high-dimensional complex problems. Finally, the effectiveness of the proposed method is verified by simulation experiments. The results show that the method in this paper reduces the total system cost to 2994.2 yuan (6.5% lower than the baseline scenario), reduces the carbon emission to 968.8 kg (55.1% lower), and improves the wind and light consumption rate to 98.84%, which is an obvious advantage and provides a theoretical basis and technical support for the realization of the low-carbon and economic operation of island microgrids. Full article
(This article belongs to the Special Issue Advances and Optimization of Electric Energy System—2nd Edition)
Show Figures

Figure 1

22 pages, 11121 KB  
Article
Comprehensive Performance Evaluation of Conductive Asphalt Mixtures Using Multi-Phase Carbon Fillers
by Xiao Zhang, Yafeng Pang, Hongwei Lin and Xiaobo Du
Processes 2025, 13(11), 3752; https://doi.org/10.3390/pr13113752 - 20 Nov 2025
Viewed by 318
Abstract
This study explores the synergistic effects of recycled carbon fiber (RCF) and recycled carbon fiber powder (RCFP) on the performance of conductive asphalt mixtures (CAMs). Laboratory tests were conducted to evaluate optimal asphalt content (OAC), electrical and heating behavior, and key pavement properties, [...] Read more.
This study explores the synergistic effects of recycled carbon fiber (RCF) and recycled carbon fiber powder (RCFP) on the performance of conductive asphalt mixtures (CAMs). Laboratory tests were conducted to evaluate optimal asphalt content (OAC), electrical and heating behavior, and key pavement properties, including rutting, cracking, and freeze–thaw resistance. Results showed that OAC increased with RCF and RCFP dosage due to their high surface area and strong asphalt absorption. The composite achieved stable conductivity, where RCF formed a macro-scale skeleton and RCFP established a micro-bridging network, reducing resistivity to a minimum of 1.60 Ω·m. This dual conductive mechanism significantly enhanced heating efficiency, with a peak rate of 4.85 °C/min at 0.5% RCF + 3% RCFP. Mechanically, RCF provided three-dimensional reinforcement while RCFP improved cohesion, together enhancing high-temperature and freeze–thaw performance. However, low-temperature cracking resistance exhibited a parabolic trend due to the risk of material agglomeration at excessive dosages. Multi-indicator TOPSIS analysis identified 0.4% RCF + 3% RCFP as the optimal composition. Critically, this optimal mixture is also technically and economically feasible, demonstrating an excellent balance characterized by a low specific energy consumption of 2.38 W·h/°C and a competitive cost (≈CNY 528.4/t). This study provides a sustainable, energy-efficient, and multi-functional solution for pavement heating and de-icing in cold regions. Full article
(This article belongs to the Section Materials Processes)
Show Figures

Figure 1

44 pages, 3588 KB  
Review
Hydrogels for Climate Change Mitigation: Applications in Water Harvesting, Passive Cooling, and Environmental Solutions
by Julia Gałęziewska, Weronika Kruczkowska, Katarzyna Helena Grabowska, Żaneta Kałuzińska-Kołat and Elżbieta Płuciennik
Gels 2025, 11(11), 924; https://doi.org/10.3390/gels11110924 - 19 Nov 2025
Viewed by 1024
Abstract
Climate change presents significant global challenges, with rising temperatures, extreme weather events, and degrading ecosystems threatening both human societies and the environment. The increasing intensity of these climatic effects demands innovative approaches to adaptation and mitigation. Hydrogels, three-dimensional networks of crosslinked polymers with [...] Read more.
Climate change presents significant global challenges, with rising temperatures, extreme weather events, and degrading ecosystems threatening both human societies and the environment. The increasing intensity of these climatic effects demands innovative approaches to adaptation and mitigation. Hydrogels, three-dimensional networks of crosslinked polymers with water absorption and retention properties, have become viable multipurpose materials for climate solutions in response to these pressing issues. This review examines four primary applications of hydrogels as climate technologies: atmospheric water harvesting, passive cooling, soil health enhancement, and energy conservation. These materials address climate challenges through their unique properties including high water absorption capacity, stimuli-responsive behavior, and biocompatibility. By effectively capturing moisture, hydrogel-based devices provide sustainable freshwater production in areas with limited water resources. For thermal management, they offer passive cooling through evaporative processes, reducing energy consumption compared to conventional air conditioning systems. Superabsorbent hydrogels in agriculture help drought-resistant crop development in arid areas and improve soil water retention. Smart windows with thermochromic hydrogels allow for passive energy savings by dynamically modulating the sun’s light without the need for additional electricity. Through integrated deployment techniques, biodegradable formulations from sustainable sources handle various climate issues while ensuring environmental compatibility. Full article
(This article belongs to the Special Issue Gels for Adsorption and Separation)
Show Figures

Graphical abstract

40 pages, 48543 KB  
Review
A Review on the Chassis Configurations and Key Technologies of Agricultural Robots
by Renkai Ding, Xiangyuan Qi, Xiangpeng Meng, Xuwen Chen, Le Zhang, Yixin Mei, Anze Li and Qing Ye
Agriculture 2025, 15(22), 2379; https://doi.org/10.3390/agriculture15222379 - 18 Nov 2025
Viewed by 518
Abstract
The chassis configuration serves as the mobility foundation of agricultural robots, directly determining their trafficability, stability, and intelligent operation in complex fields. Existing research lacks a systematic analysis of the evolution and adaptation principles of mainstream chassis technologies. This review addresses this gap [...] Read more.
The chassis configuration serves as the mobility foundation of agricultural robots, directly determining their trafficability, stability, and intelligent operation in complex fields. Existing research lacks a systematic analysis of the evolution and adaptation principles of mainstream chassis technologies. This review addresses this gap by proposing a dual-dimensional framework—“structural design principles and dynamic adaptive control”—to evaluate wheeled, tracked, and wheel-legged hybrid chassis. Our analysis reveals that (1) wheeled chassis achieve refinement through efficiency-driven operation in structured environments but are limited by rigid wheel–ground contact; (2) tracked chassis enhance performance on soft or sloped terrain via technologies like contour-adaptive tracks, albeit with increased energy consumption; and (3) wheel-legged hybrid chassis represent a shift towards active terrain overcoming, offering superior adaptability at the cost of high control complexity. Finally, we synthesize persistent challenges and identify future breakthroughs in terrain–vehicle coupled modeling and multi-modal control, which will drive the evolution towards intelligent, mechatronic–hydraulic integrated platforms. Full article
(This article belongs to the Section Agricultural Technology)
Show Figures

Figure 1

43 pages, 11116 KB  
Article
A Hybrid Positioning Framework for Large-Scale Three-Dimensional IoT Environments
by Shima Koulaeizadeh, Hatef Javadi, Sudabeh Gholizadeh, Saeid Barshandeh, Giuseppe Loseto and Nicola Epicoco
Sensors 2025, 25(22), 6943; https://doi.org/10.3390/s25226943 - 13 Nov 2025
Viewed by 347
Abstract
The Internet of Things (IoT) and Edge Computing (EC) play an essential role in today’s communication systems, supporting diverse applications in industry, healthcare, and environmental monitoring; however, these technologies face a major challenge in accurately determining the geographic origin of sensed data, as [...] Read more.
The Internet of Things (IoT) and Edge Computing (EC) play an essential role in today’s communication systems, supporting diverse applications in industry, healthcare, and environmental monitoring; however, these technologies face a major challenge in accurately determining the geographic origin of sensed data, as such data are meaningful only when their source location is known. The use of Global Positioning System (GPS) is often impractical or inefficient in many environments due to limited satellite coverage, high energy consumption, and environmental interference. This paper recruits the Distance Vector-Hop (DV-Hop), Jellyfish Search (JS), and Artificial Rabbits Optimization (ARO) algorithms and presents an innovative GPS-free positioning framework for three-dimensional (3D) EC environments. In the proposed framework, the basic DV-Hop and multi-angulation algorithms are generalized for three-dimensional environments. Next, both algorithms are structurally modified and integrated in a complementary manner to balance exploration and exploitation. Furthermore, a Lévy flight-based perturbation phase and a local search mechanism are incorporated to enhance convergence speed and solution precision. To evaluate performance, sixteen 3D IoT environments with different configurations were simulated, and the results were compared with nine state-of-the-art localization algorithms using MSE, NLE, ALE, and LEV metrics. The quantitative relative improvement ratio test demonstrates that the proposed method is, on average, 39% more accurate than its competitors. Full article
(This article belongs to the Section Sensor Networks)
Show Figures

Figure 1

12 pages, 1608 KB  
Article
Numerical Investigation of Microporous Insulation for Power Reduction in Zero-Heat-Flux Thermometry
by Dong-Jin Lee and Dae Yu Kim
Micromachines 2025, 16(11), 1271; https://doi.org/10.3390/mi16111271 - 12 Nov 2025
Viewed by 458
Abstract
Zero-heat-flux (ZHF) thermometry is a clinically validated method for non-invasive core body temperature monitoring, yet its broad adoption in wearable applications is constrained by the high power consumption of the heater element. In this study, we numerically investigate the role of microporous insulation [...] Read more.
Zero-heat-flux (ZHF) thermometry is a clinically validated method for non-invasive core body temperature monitoring, yet its broad adoption in wearable applications is constrained by the high power consumption of the heater element. In this study, we numerically investigate the role of microporous insulation in minimizing energy demand while preserving measurement accuracy. A three-dimensional finite element model of a ZHF probe was implemented in COMSOL Multiphysics 5.4, consisting of a resistive heater, a microporous insulation shell, and a skin-equivalent substrate regulated by proportional–integral–derivative (PID) control. A Taguchi L9 orthogonal array was utilized to systematically investigate the effects of porosity (0–90%), insulation thickness (2–4 mm), and the convective heat transfer coefficient (5–15 W/m2·K) on the thermal performance of the ZHF thermometry system. Two performance metrics—heater energy consumption and settling time—were analyzed using analysis of variance (ANOVA). The results indicated that porosity accounted for more than 95% of the variance in heater power and over 80% of the variance in settling time. The configuration with φ = 90% and t = 3 mm demonstrated a balanced trade-off between energy efficiency and transient response for low-power ZHF thermometry. These findings provide design insights for energy-efficient wearable temperature sensors. Full article
Show Figures

Figure 1

16 pages, 4877 KB  
Article
Mini-Jacquard Weft-Knit in Peruvian Pima Cotton as a Print-Free Alternative: CAD Simulation, Prototyping, and Fabric Pattern Characterization
by Praxedes Jeanpierre Merino-Ramirez and Rebeca Salvador-Reyes
Textiles 2025, 5(4), 54; https://doi.org/10.3390/textiles5040054 - 10 Nov 2025
Viewed by 608
Abstract
This study develops and validates a weft knitted Mini-Jacquard in Peruvian Pima cotton as a print-free coloration strategy by integrating CAD-based pattern simulation with prototype manufacturing. A three-color design (red, blue, white) was programmed on a flat knitting machine using a 10 × [...] Read more.
This study develops and validates a weft knitted Mini-Jacquard in Peruvian Pima cotton as a print-free coloration strategy by integrating CAD-based pattern simulation with prototype manufacturing. A three-color design (red, blue, white) was programmed on a flat knitting machine using a 10 × 14 rapport. Color-wise yarn consumption was computed directly from the digital pattern, and the physical sample was characterized through combustion testing and optical micrographs. The prototype exhibited a yarn count of ~20/1 Ne, S-twist (~11.18 TPI), and 100% cellulosic composition. The blue yarn showed the highest consumption (≈73.81%), followed by white (≈19.65%) and red (≈6.55%), consistent with the digital rapport’s color distribution. The CAD stage ensured pattern fidelity and supported raw-material planning; the knitted sample showed a soft hand, dimensional stability, and sharp motif definition upon visual assessment. A sustainability and comparative analysis with chemical printing was conducted, revealing that the Mini-Jacquard achieved the highest design accuracy and tactile comfort, outperforming screen printing and heat transfer in geometric fidelity, chromatic homogeneity, and texture. The Mini-Jacquard optimized operational times (320 min/m2) compared to transfer printing (332 min/m2) and screen printing (740 min/m2), reducing process stages and complexity. Although Jacquard production involves higher energy costs ($34.8) and material expenses ($11.6), it provides greater structural value and durability, positioning it for high-end applications. Moreover, the Mini-Jacquard could reduce water consumption by approximately 90% and thermal energy use by 70%, eliminating chemical residues and extending fabric lifespan, thus offering high sustainability and circular potential. A transparent scenario-based analysis indicates substantial reductions in water and thermal-energy use when omitting printing/fixation/washing stages, along with the elimination of printing-stage effluents. Overall, design-integrated coloration via Mini-Jacquard is technically feasible and potentially eco-efficient for Pima-cotton value chains, with applications in apparel, accessories, and functional textiles. Full article
Show Figures

Figure 1

23 pages, 4535 KB  
Article
A Computer Vision and AI-Based System for Real-Time Sizing and Grading of Thai Export Fruits
by Irin Wanthong, Theeraphat Sri-on, Somboonsup Rodporn, Siripong Pawako, Sorada Khaengkarn and Jiraphon Srisertpol
AgriEngineering 2025, 7(11), 377; https://doi.org/10.3390/agriengineering7110377 - 7 Nov 2025
Viewed by 841
Abstract
Thailand’s mango export industry faces significant challenges in meeting stringent international quality standards, particularly the costly phytosanitary X-ray irradiation process. Current fixed-dose irradiation methods result in substantial energy waste due to variations in fruit size. This research presents a low-cost, real-time system that [...] Read more.
Thailand’s mango export industry faces significant challenges in meeting stringent international quality standards, particularly the costly phytosanitary X-ray irradiation process. Current fixed-dose irradiation methods result in substantial energy waste due to variations in fruit size. This research presents a low-cost, real-time system that integrates computer vision and artificial intelligence (AI) to optimize this process. By capturing a single top-view 2D image, the system accurately estimates the three-dimensional characteristics (width, height, and depth) of ‘Nam Dok Mai Si Thong’ mangoes. This dimensional data is crucial for dynamically adjusting the radiation dose for each fruit, leading to significant reductions in energy consumption and operational costs. Our novel approach utilizes a Linear Regression combined with Co-Kriging (LR + CoK) model to precisely estimate fruit depth from 2D data, a key limitation in previous studies. The system demonstrated high efficacy, achieving a dimensional estimation error (RMSE) of less than 0.46 cm and a size grading accuracy of up to 93.33 percent. This technology not only enhances sorting and grading efficiency but also offers a practical solution to lower the economic and energy burden of phytosanitary treatments, directly improving the sustainability of fruit export operations. Full article
Show Figures

Figure 1

Back to TopTop