Sign in to use this feature.

Years

Between: -

Subjects

remove_circle_outline
remove_circle_outline
remove_circle_outline
remove_circle_outline
remove_circle_outline
remove_circle_outline

Journals

Article Types

Countries / Regions

Search Results (43)

Search Parameters:
Keywords = helicene

Order results
Result details
Results per page
Select all
Export citation of selected articles as:
12 pages, 1628 KB  
Article
Theoretical Modeling of BODIPY-Helicene Circularly Polarized Luminescence
by Giovanni Bella, Giuseppe Bruno and Antonio Santoro
Organics 2025, 6(4), 53; https://doi.org/10.3390/org6040053 - 5 Dec 2025
Viewed by 571
Abstract
Density functional theory (DFT) and its extension, time-dependent DFT (TD-DFT), have become fundamental tools for modeling chiral excited states and supporting experimental chiroptical spectroscopies. In this connection, the interest in understanding the asymmetric emission through the circularly polarized luminescence (CPL) technique peaked in [...] Read more.
Density functional theory (DFT) and its extension, time-dependent DFT (TD-DFT), have become fundamental tools for modeling chiral excited states and supporting experimental chiroptical spectroscopies. In this connection, the interest in understanding the asymmetric emission through the circularly polarized luminescence (CPL) technique peaked in the current decade. In the present work, we are computationally faced with an emerging class of luminophores which combines the luminogenic source of the BODIPY unit with the intrinsic chirality of the helicene pendant to obtain a chiral radiative deactivation. In particular, a meso-substituted BODIPY-[6]helicene was deeply examined through a DFT multistep approach to attain an appreciable level of theory for the CPL simulation. Among the multitude of alternatives, TPSSTPSS exchange-correlation functional with 6-311G(d,p) basis set revealed to be the best computational protocol to emulate the CPL spectral profile with regard to peak intensity, band position, and chiral sign for both M and P form. Full article
Show Figures

Graphical abstract

17 pages, 6294 KB  
Article
Chiral Recognition Mechanism of 2,13-Bis(hydroxymethyl)-[7]thiaheterohelicene on Ag(111) Investigated by STM and MD Simulation
by Changqing Ye, Takuma Hattori, Yuji Hamamoto, Pawel Krukowski, Akira Saito, Hideji Osuga, Yoshitada Morikawa and Yuji Kuwahara
Int. J. Mol. Sci. 2025, 26(23), 11458; https://doi.org/10.3390/ijms262311458 - 26 Nov 2025
Viewed by 496
Abstract
We investigated the adsorption and aggregation properties of 2,13-bis(hydroxymethyl)-[7]thiaheterohelicene ([7]TH-diol) on the Ag(111) surface by scanning tunneling microscopy (STM) and molecular dynamics (MD) simulation. STM observation revealed that both racemic and enantiopure [7]TH-diol formed apparently similar “zigzag” chain structures. To elucidate the molecular [...] Read more.
We investigated the adsorption and aggregation properties of 2,13-bis(hydroxymethyl)-[7]thiaheterohelicene ([7]TH-diol) on the Ag(111) surface by scanning tunneling microscopy (STM) and molecular dynamics (MD) simulation. STM observation revealed that both racemic and enantiopure [7]TH-diol formed apparently similar “zigzag” chain structures. To elucidate the molecular arrangements in these structures, MD simulation successfully differentiates the formation mechanisms of these structures, demonstrating that hetero-chiral chains are stabilized primarily by van der Waals forces, whereas homo-chiral chains are stabilized through hydrogen bonding. The formation of homo-chiral chains is driven by the alignment of hydroxymethyl groups between the neighboring molecules, whereas the steric hindrance of helical skeletons affects chain growth. These findings highlight the critical role of inter-molecular interactions—particularly hydrogen bonding—in the self-assembly of helicene molecules. Full article
(This article belongs to the Section Molecular Nanoscience)
Show Figures

Figure 1

14 pages, 4830 KB  
Article
Vibronic Effects Analysis of the Substituent Effect on the Spectral Properties of the EMI and CPL of Three [7]Helicene Derivatives
by Qiushuang Xu, Meishan Wang and Yanli Liu
Molecules 2025, 30(1), 44; https://doi.org/10.3390/molecules30010044 - 26 Dec 2024
Cited by 2 | Viewed by 1425
Abstract
The substituent effect has a significant influence on the optical properties of spectral shape, width, and wavelength, and the intensities of the maximum peaks of emission (EMI) and circularly polarized luminescence (CPL). In this work, we conducted a systematic theoretical study to investigate [...] Read more.
The substituent effect has a significant influence on the optical properties of spectral shape, width, and wavelength, and the intensities of the maximum peaks of emission (EMI) and circularly polarized luminescence (CPL). In this work, we conducted a systematic theoretical study to investigate how substituents alter the optical response in the EMI and CPL spectra of three [7]helicene derivatives at the vibronic level. To incorporate the vibronic effect, a state-of-the-art time-dependent (TD) method was used to achieve the fully converged spectra. In the meantime, a time-independent (TI) approach also provided a way to show the progression of the spectra, serving as a complementary strategy and creating reliable documentation for the experiment. The experimental spectra of EMI and CPL are nicely reproduced, which validates the reliability of the Adiabatic Hessian (AH) model in simulating experimental data. This allowed us to analyze in detail the effect of substituents, particularly on the optical responses. The introduction of cyano and methoxy groups is highlighted, as they altered the transition dipole moments and led to a 1000-fold increase in the intensity of EMI and CPL. Moreover, substituents can also rationally alter the spectral shape of EMI and CPL by affecting the responsible normal modes. The unique CN stretching and the MeO rotation in the substituted [7]helicene are highlighted as key factors contributing to the different behaviors of EMI and CPL. This sheds light on the design and synthesis of helicenes that can serve as ideal full-color EMI and CPL emitters. Full article
Show Figures

Graphical abstract

8 pages, 3035 KB  
Article
Twisted Nanographenes with Robust Conformational Stability
by Penghui Song, Yoshifumi Hashikawa and Chaolumen
Nanomaterials 2024, 14(21), 1737; https://doi.org/10.3390/nano14211737 - 30 Oct 2024
Cited by 3 | Viewed by 1720
Abstract
Owing to a lack of methodology for rationally and selectively synthesizing twisted nanographenes, it is usually inevitable that we obtain nanographenes as a mixture with various geometries, such as unidirectionally twisted, alternatively twisted, randomly twisted, and even wavy structures, reflecting the high activation [...] Read more.
Owing to a lack of methodology for rationally and selectively synthesizing twisted nanographenes, it is usually inevitable that we obtain nanographenes as a mixture with various geometries, such as unidirectionally twisted, alternatively twisted, randomly twisted, and even wavy structures, reflecting the high activation barriers among them. Otherwise, they are interconvertible if the barriers are low enough such that only averaged properties can be observed under a thermal equilibrium. Recently, we reported on a double-twisted nanographene containing four [6]helicene units within the skeleton. In this paper, we discuss the robust conformational stability of the nanographene, both experimentally and computationally. The results indicate that the nanographene could only be racemized at temperatures exceeding 200 °C, and the first flip of one of the four [6]helicene units is the rate-degerming step. Full article
(This article belongs to the Section 2D and Carbon Nanomaterials)
Show Figures

Figure 1

11 pages, 11784 KB  
Article
Rational Design of High-Performance Photocontrolled Molecular Switches Based on Chiroptical Dimethylcethrene: A Theoretical Study
by Li Han, Mei Wang, Yifan Zhang, Bin Cui and Desheng Liu
Molecules 2024, 29(20), 4912; https://doi.org/10.3390/molecules29204912 - 17 Oct 2024
Cited by 1 | Viewed by 1467
Abstract
The reversible photo-induced conformation transition of a single molecule with a [5]helicene backbone has garnered considerable interest in recent studies. Based on such a switching process, one can build molecular photo-driven switches for potential applications of nanoelectronics. But the achievement of high-performance reversible [...] Read more.
The reversible photo-induced conformation transition of a single molecule with a [5]helicene backbone has garnered considerable interest in recent studies. Based on such a switching process, one can build molecular photo-driven switches for potential applications of nanoelectronics. But the achievement of high-performance reversible single-molecule photoswitches is still rare. Here, we theoretically propose a 13,14-dimethylcethrene switch whose photoisomerization between the ring-closed and ring-open forms can be triggered by ultraviolet (UV) and visible light irradiation. The electronic structure transitions and charge transport characteristics, concurrent with the photo-driven electrocyclization of the molecule, are calculated by the non-equilibrium Green’s function (NEGF) in combination with density functional theory (DFT). The electrical conductivity bears great diversity between the closed and open configurations, certifying the switching behavior and leading to a maximum on–off ratio of up to 103, which is considerable in organic junctions. Further analysis confirms the evident switching behaviors affected by the molecule–electrode interfaces in molecular junctions. Our findings are helpful for the rational design of organic photoswitches at the single-molecule level based on cethrene and analogous organic molecules. Full article
Show Figures

Figure 1

14 pages, 4049 KB  
Article
Theoretical Study on Vibrationally Resolved Electronic Spectra of Chiral Nanographenes
by Yijian Ma, Xian Feng, Wenxiong Yu and Chengshuo Shen
Molecules 2024, 29(17), 3999; https://doi.org/10.3390/molecules29173999 - 23 Aug 2024
Cited by 1 | Viewed by 1358
Abstract
Nanographenes are of increasing importance owing to their potential applications in the photoelectronic field. Meanwhile, recent studies have primarily focused on the pure electronic spectra of nanographenes, which have been found to be inadequate for describing the experimental spectra that contain vibronic progressions. [...] Read more.
Nanographenes are of increasing importance owing to their potential applications in the photoelectronic field. Meanwhile, recent studies have primarily focused on the pure electronic spectra of nanographenes, which have been found to be inadequate for describing the experimental spectra that contain vibronic progressions. In this study, we focused on the vibronic effect on the electronic transition of a range of chiral nanographenes, especially in the low-energy regions with distinct vibronic progressions, using theoretical calculations. All the calculations were performed at the PBE0-D3(BJ)/def2-TZVP level of theory, adopting both time-dependent and time-independent approaches with Franck–Condon approximation. The resulting calculated curves exhibited good alignment with the experimental data. Notably, for the nanographenes incorporating helicene units, owing to the increasing π-extension, the major vibronic modes in the vibrationally resolved spectra differed significantly from those of the primitive helicenes. This investigation suggests that calculations that account for the vibronic effect could have better reproducibility compared with calculations based solely on pure electronic transitions. We anticipate that this study could pave the way for further investigations into optical and chiroptical properties, with a deeper understanding of the vibronic effect, thereby providing theoretical explanations with higher precision on more sophisticated nanographenes. Full article
Show Figures

Figure 1

27 pages, 4302 KB  
Review
Recent Advances in π-Stacking Interaction-Controlled Asymmetric Synthesis
by Jiaxi Xu
Molecules 2024, 29(7), 1454; https://doi.org/10.3390/molecules29071454 - 24 Mar 2024
Cited by 17 | Viewed by 5927
Abstract
The π-stacking interaction is one of the most important intramolecular and intermolecular noncovalent interactions in organic chemistry. It plays an important role in stabilizing some structures and transition states in certain reactions via both intramolecular and intermolecular interactions, facilitating different selectivities, such as [...] Read more.
The π-stacking interaction is one of the most important intramolecular and intermolecular noncovalent interactions in organic chemistry. It plays an important role in stabilizing some structures and transition states in certain reactions via both intramolecular and intermolecular interactions, facilitating different selectivities, such as chemo-, regio-, and stereoselectivities. This minireview focuses on the recent examples of the π-stacking interaction-controlled asymmetric synthesis, including auxiliary-induced asymmetric synthesis, kinetic resolution, asymmetric synthesis of helicenes and heterohelicenes, and multilayer 3D chiral molecules. Full article
(This article belongs to the Special Issue Current Development of Asymmetric Catalysis and Synthesis)
Show Figures

Scheme 1

50 pages, 17073 KB  
Review
Syntheses of Azulene Embedded Polycyclic Compounds
by Alexandru C. Razus
Symmetry 2024, 16(4), 382; https://doi.org/10.3390/sym16040382 - 22 Mar 2024
Cited by 12 | Viewed by 5864
Abstract
This review focuses on obtaining embedded azulene polycyclic molecules treated according to their particular structure. The division of material into the azulene unit grafted only on one or two bonds and poly-fused azulene compounds was suggested with the intention of facilitating the presentation [...] Read more.
This review focuses on obtaining embedded azulene polycyclic molecules treated according to their particular structure. The division of material into the azulene unit grafted only on one or two bonds and poly-fused azulene compounds was suggested with the intention of facilitating the presentation and assimilation of information. The similarity of some structural features in the compounds included in different analyzed classes results in the presence of the same synthesis protocol in several places. Obtaining benz[a]azulenes, azulene-fused acenes, and helicenes or azulene-embedded nanographene, along with other compounds, is presented. Full article
(This article belongs to the Section Chemistry: Symmetry/Asymmetry)
Show Figures

Scheme 1

19 pages, 5784 KB  
Review
Synthesis and Structural and Optical Behavior of Dehydrohelicene-Containing Polycyclic Compounds
by Md. Imrul Khalid, Mohamed S. H. Salem and Shinobu Takizawa
Molecules 2024, 29(2), 296; https://doi.org/10.3390/molecules29020296 - 5 Jan 2024
Cited by 6 | Viewed by 3428
Abstract
Dehydrohelicene-based molecules stand out as highly promising scaffolds and captivating chiroptical materials, characterized by their unique chirality. Their quasi-helical π-conjugated molecular architecture, featuring successively ortho-annulated aromatic rings, endows them with remarkable thermal stability and optical properties. Over the past decade, diverse approaches [...] Read more.
Dehydrohelicene-based molecules stand out as highly promising scaffolds and captivating chiroptical materials, characterized by their unique chirality. Their quasi-helical π-conjugated molecular architecture, featuring successively ortho-annulated aromatic rings, endows them with remarkable thermal stability and optical properties. Over the past decade, diverse approaches have emerged for synthesizing these scaffolds, reinvigorating this field, with anticipated increased attention in the coming years. This review provides a comprehensive overview of the historical evolution of dehydrohelicene chemistry since the pioneering work of Zander and Franke in 1969 and highlights recent advancements in the synthesis of various molecules incorporating dehydrohelicene motifs. We elucidate the intriguing structural features and optical merits of these molecules, occasionally drawing comparisons with their helicene or circulene analogs to underscore the significance of the bond between the helical termini. Full article
Show Figures

Figure 1

42 pages, 17969 KB  
Review
Current State of Computational Modeling of Nanohelicenes
by Vitaly V. Porsev and Robert A. Evarestov
Nanomaterials 2023, 13(16), 2295; https://doi.org/10.3390/nano13162295 - 9 Aug 2023
Cited by 12 | Viewed by 2343
Abstract
This review considers the works that focus on various aspects of the theoretical description of nanohelicenes (other equivalent names are graphene spirals, graphene helicoid, helical graphene nanoribbon, or helical graphene)—a promising class of one-dimensional nanostructures. The intrinsic helical topology and continuous π-system lead [...] Read more.
This review considers the works that focus on various aspects of the theoretical description of nanohelicenes (other equivalent names are graphene spirals, graphene helicoid, helical graphene nanoribbon, or helical graphene)—a promising class of one-dimensional nanostructures. The intrinsic helical topology and continuous π-system lead to the manifestation of unique optical, electronic, and magnetic properties that are also highly dependent on axial and torsion strains. In this paper, it was shown that the properties of nanohelicenes are mainly associated with the peripheral modification of the nanohelicene ribbon. We have proposed a nomenclature that enables the classification of all nanohelicenes as modifications of some prototype classes. Full article
(This article belongs to the Special Issue First-Principle Calculation Study of Nanomaterials)
Show Figures

Figure 1

12 pages, 2554 KB  
Article
Synthesis of Cationic [4], [5], and [6]Azahelicenes with Extended π-Conjugated Systems
by Samuel Hrubý, Jan Ulč, Ivana Císařová and Martin Kotora
Catalysts 2023, 13(5), 912; https://doi.org/10.3390/catal13050912 - 22 May 2023
Cited by 4 | Viewed by 2703
Abstract
The scope of Rh-catalyzed C–C bond cleavage/annulation of biphenylene with various aromatic nitriles was studied. The subsequent Rh- and Ir-catalyzed C–H bond activation/annulation sequence of the formed 9-arylphenanthridines with alkynes gave rise to cationic [4], [5], [6] helical quinolizinium salts. The scope of [...] Read more.
The scope of Rh-catalyzed C–C bond cleavage/annulation of biphenylene with various aromatic nitriles was studied. The subsequent Rh- and Ir-catalyzed C–H bond activation/annulation sequence of the formed 9-arylphenanthridines with alkynes gave rise to cationic [4], [5], [6] helical quinolizinium salts. The scope of the reaction with respect to the structural features of the starting 9-arylphenanthridines and alkynes was studied. Their helical arrangement was confirmed through single-crystal X-ray analyses of selected compounds. Most of the prepared quinolizinium salts exhibited fluorescence emission maxima in the region of 525–623 nm with absolute quantum yields up to 25%. Full article
Show Figures

Graphical abstract

11 pages, 1905 KB  
Article
Bipolar Electrochemical Analysis of Chirality in Complex Media through Miniaturized Stereoselective Light-Emitting Systems
by Silvia Cauteruccio, Valentina Pelliccioli, Sara Grecchi, Roberto Cirilli, Emanuela Licandro and Serena Arnaboldi
Chemosensors 2023, 11(2), 131; https://doi.org/10.3390/chemosensors11020131 - 13 Feb 2023
Cited by 7 | Viewed by 2893
Abstract
Environmentally relevant contaminants endowed with chirality may include pharmaceutical compounds, flame retardants, perfluoroalkyl chemicals, pesticides, and polychlorinated biphenyls. Despite having similar physicochemical properties, enantiomers may differ in their biochemical interactions with enzymes, receptors, and other chiral molecules leading to different biological responses. In [...] Read more.
Environmentally relevant contaminants endowed with chirality may include pharmaceutical compounds, flame retardants, perfluoroalkyl chemicals, pesticides, and polychlorinated biphenyls. Despite having similar physicochemical properties, enantiomers may differ in their biochemical interactions with enzymes, receptors, and other chiral molecules leading to different biological responses. In this work, we have designed a wireless miniaturized stereoselective light-emitting system able to qualitatively detect a chiral contaminant (3,4-dihydroxyphenylalanine, DOPA) dissolved in reduced volumes (in the microliters range), through bipolar electrochemistry. The diastereomeric environment was created by mixing the enantiomers of an inherently chiral inductor endowed with helical shape (7,8-dipropyltetrathia[7]helicene) and the chiral probe (DOPA) in micro-solutions of a commercial ionic liquid. The synergy between the inductor, the applied electric field, and the chiral pollutant was transduced by the light emission produced from a miniaturized light-emitting diode (LED) exploited in such an approach as a bipolar electrode. Full article
Show Figures

Graphical abstract

14 pages, 2218 KB  
Article
Magnetic Properties of Zig-Zag-Edged Hexagonal Nanohelicenes: A Quantum Chemical Study
by Vitaly Porsev and Robert Evarestov
Nanomaterials 2023, 13(3), 415; https://doi.org/10.3390/nano13030415 - 19 Jan 2023
Cited by 9 | Viewed by 2320
Abstract
The atomic structure and electronic and magnetic properties of two zig-zag-edged hexagonal nanohelicenes of the second type [1.2] and [2.2] were studied by the density functional theory. These objects possess a helical periodicity and belong to the fifth family of line symmetry groups [...] Read more.
The atomic structure and electronic and magnetic properties of two zig-zag-edged hexagonal nanohelicenes of the second type [1.2] and [2.2] were studied by the density functional theory. These objects possess a helical periodicity and belong to the fifth family of line symmetry groups in their global energy minimum. These nanohelicenes were shown by us to be diamagnetic metals that undergo spontaneous symmetry breaking into antiferromagnetic semiconductors as a result of the Mott–Hubbard metal-insulator transition. However, under some torsional stress, a reversible transformation to a diamagnetic metal can take place, which is promising for the use of nanohelicenes in electro-magneto-mechanical nanodevices. Full article
(This article belongs to the Section Theory and Simulation of Nanostructures)
Show Figures

Figure 1

21 pages, 6615 KB  
Review
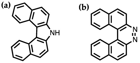
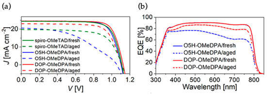
Recent Progress of Helicene Type Hole-Transporting Materials for Perovskite Solar Cells
by Jijitha Vailassery and Shih-Sheng Sun
Molecules 2023, 28(2), 510; https://doi.org/10.3390/molecules28020510 - 4 Jan 2023
Cited by 13 | Viewed by 4610
Abstract
Perovskite solar cells have emerged as one of the most promising photovoltaic technologies for future clean energy sources to replace fossil fuels. Among the various components in a perovskite solar cell, the hole-transporting materials play significant roles in boosting device performance and stability. [...] Read more.
Perovskite solar cells have emerged as one of the most promising photovoltaic technologies for future clean energy sources to replace fossil fuels. Among the various components in a perovskite solar cell, the hole-transporting materials play significant roles in boosting device performance and stability. Recently, hole-transporting materials with helicene cores have received much attention due to their unique properties and ability to improve the performance and stability of the perovskite solar cells. The focus of this review is on the emerging special class of HTMs based on helicenes for perovskite solar cells. The optical, electrochemical, thermal and photovoltaic properties of helicene-based small molecules as HTMs or interfacial layer materials in n-i-p or p-i-n type perovskite solar cells are summarized. Finally, perspectives for the future development of helicene type hole-transporting materials are provided. Full article
(This article belongs to the Section Photochemistry)
Show Figures

Graphical abstract

40 pages, 13491 KB  
Review
Stable and Unstable Concentration Oscillations Induced by Temperature Oscillations on Reversible Nonequilibrium Chemical Reactions of Helicene Oligomers
by Sheng Zhang, Ming Bao, Mieko Arisawa and Masahiko Yamaguchi
Int. J. Mol. Sci. 2023, 24(1), 693; https://doi.org/10.3390/ijms24010693 - 30 Dec 2022
Cited by 5 | Viewed by 3126
Abstract
Temperature oscillations can affect behaviors of living things. In this article, we describe the effect of triangle temperature oscillations on reversible nonequilibrium chemical reactions detected as concentration oscillations. When amplification through self-catalytic reactions is involved in the chemical reactions, concentration oscillations exhibit diverse [...] Read more.
Temperature oscillations can affect behaviors of living things. In this article, we describe the effect of triangle temperature oscillations on reversible nonequilibrium chemical reactions detected as concentration oscillations. When amplification through self-catalytic reactions is involved in the chemical reactions, concentration oscillations exhibit diverse nonequilibrium phenomena, which include equilibrium intersecting, equilibrium noncontact, and equilibrium sliding. Both stable and unstable concentration oscillations occur, during which repeated cycles provide the same and different concentration oscillations, respectively. Concentration oscillations are classified according to their waveforms in concentration/time profiles, the shapes of hysteresis curves in concentration/temperature profiles, the nature of self-catalytic reactions, and their relationships with equilibrium. An unstable concentration oscillation may be transformed into a stable concentration oscillation, which is described on the basis of the classifications. Experimental examples are shown using reversible association and dissociation reactions of helicene oligomers. Full article
(This article belongs to the Special Issue Advances in Chemical Bond and Bonding)
Show Figures

Figure 1

Back to TopTop