Next Article in Journal
Enzymatic-Based Hydrolysis of Digested Potato Peel Wastes by Amylase Producing Fungi to Improve Biogas Generation
Next Article in Special Issue
Comprehensive Overview of Homogeneous Gold-Catalyzed Transformations of π-Systems for Application Scientists
Previous Article in Journal
New Platinum Complexes from Salen- and Hydroxy-Substituted Salpn-Naphthalene Ligands with CO2 Reduction Activity
 
 
Font Type:
Arial Georgia Verdana
Font Size:
Aa Aa Aa
Line Spacing:
Column Width:
Background:
Article

Synthesis of Cationic [4], [5], and [6]Azahelicenes with Extended π-Conjugated Systems

1
Department of Organic Chemistry, Faculty of Science, Charles University, Hlavova 8, 128 43 Prague, Czech Republic
2
Department of Inorganic Chemistry, Faculty of Science, Charles University, Hlavova 8, 128 43 Prague, Czech Republic
*
Author to whom correspondence should be addressed.
Catalysts 2023, 13(5), 912; https://doi.org/10.3390/catal13050912
Submission received: 13 March 2023 / Revised: 2 May 2023 / Accepted: 12 May 2023 / Published: 22 May 2023

Abstract

The scope of Rh-catalyzed C–C bond cleavage/annulation of biphenylene with various aromatic nitriles was studied. The subsequent Rh- and Ir-catalyzed C–H bond activation/annulation sequence of the formed 9-arylphenanthridines with alkynes gave rise to cationic [4], [5], [6] helical quinolizinium salts. The scope of the reaction with respect to the structural features of the starting 9-arylphenanthridines and alkynes was studied. Their helical arrangement was confirmed through single-crystal X-ray analyses of selected compounds. Most of the prepared quinolizinium salts exhibited fluorescence emission maxima in the region of 525–623 nm with absolute quantum yields up to 25%.

Graphical Abstract

1. Introduction

The synthesis of purely carbon- and heteroatom-containing compounds possessing a helical scaffold has attracted considerable attention in the last several decades. Interest in these compounds is due to their potential applications in many fields of chemistry and related sciences [1,2,3,4,5,6,7,8]. In this respect, a number of synthetic strategies and approaches to access this class of compounds have been developed.
However, the synthesis of charged cationic helical compounds, e.g., cationic azahelicenes, has not been extensively studied, despite their potential applications. Nonetheless, such compounds have attracted attention, and as a result of that, a couple of synthetic strategies have been developed to access them. These routes have been based on: (a) photochemical cyclizations [9,10,11], (b) N-alkylation of the respective neutral azahelicene [12,13], (c) a three-component coupling reaction [14], (d) the catalytic cyclotrimerization of alkynylated azonia salts [15], I cross-coupling/C–H activation annulation sequence [16], and its enantioselective variant [17]. As far as applications are concerned, cationic helical compounds have been used as mitochondrial-targeted biomarkers [14], DNA intercalators [12], and N-doped nanographenes [16].
In view of the aforementioned, and also because of general interest to develop new procedures for the preparation of cationic aza-aromatic compounds, we were interested in developing a simple synthetic strategy that would allow preparing this class of compounds possessing laterally extended π-conjugated systems stretching beyond the basic helical scaffold, and to explore their photophysical properties.
In this context, we envisioned that such helical cationic azaromatic compounds could be prepared with a catalytic C–H bond activation/annulation sequence of the respective intermediates possessing the 2-phenylpyridine moiety (Scheme 1). The intermediates were expected to be synthesized either via catalytic C–C cleavage in biphenylene (1) followed by the insertion of nitriles forming 9-substituted phenanthridines and related compounds, or via a cross-coupling reaction between 9-chlorophenanthridine (2) with aromatic organometals. As for the former, we have recently reported rhodium-complex-catalyzed C–C cleavage in biphenylene followed by reactions with various nitriles forming 9-phenyl or 9-pyridylphenanthridines [18]. We expected that such a process would constitute a simple and straightforward pathway to phenanthridine-based intermediates for the synthesis of angular and helical cationic aza-aromatics. In case the nitrile insertion reaction would not proceed as expected, the cross-coupling step would be used as an alternative.
Outlined here are our endeavors during the synthesis of novel cationic helical N-heterocycles by using catalytic procedures, the scope and limits of the individual reaction steps, as well as the photochemical (absorption and emission) and structural properties of the newly prepared cationic aza-aromatic compounds.

2. Results

2.1. Formation of 9-Substituted Phenanthridine Derivatives by C–C Bond Activation in Biphenylene and Insertion of Nitriles

Biphenylene (1) was synthesized according to the previously reported procedure in four steps [19]. Our previous results demonstrated that the nitrile insertion proceeded successfully with various benzonitriles and cyanopyridines by using two Rh-based catalytic systems ([Rh(COD)2BF4]/dppe or [Rh(COD)Cl]2/dppe, microwave irradiation 190 °C) [18]. The former turned out to give better yields of the corresponding 9-aryl or 9-heteroarylphenanthridines; therefore, it was used for the subsequent C–C bond activation studies. Since our later results indicated that lowering the reaction temperature to 180 °C led to improved product yields, all C–C bond activation reactions were run by using [Rh(COD)2BF4] (10 mol%)/dppe (10 mol%) and microwave irradiation at 180 °C. Based on these facts, we initially studied the insertion reactions of three benzonitriles: benzonitrile (3a), 4-trifluorobenzonitrile (3b), and 4-methoxybenzonitrile (3c). In all cases, we obtained the corresponding products in generally good yields (Table 1). 6-Phenylphenanthridine (4a), 6-(4-methoxyphenyl)phenanthridine (4b), and 6-(4-(trifluoromethyl)phenyl)phenanthridine (4c) were obtained in 88, 47, and 85% isolated yields, respectively. Gratifyingly, the yield of 4c was higher than the one reported by us previously [18] and demonstrated the beneficial effect of a lower reaction temperature.
Then, we decided to explore the scope of the reaction with respect to nitriles bearing larger aromatic systems. For that purpose, we applied the above-mentioned conditions in reactions with 1-cyanonaphthalene (3d) (Table 2). Surprisingly, the desired product 6-(naphthalen-1-yl)phenanthridine (4d) was isolated in 3% yield only (Entry 1). In order to improve the yield of the reaction, catalytic systems using other ligands were tested as well. When dppp was used as a ligand (Entry 2), formation of product 4d was not observed (according to a TLC analysis of the reaction mixture). The use of dppb (Entry 3) or PPh3 (Entry 4) did not improve the reaction outcome either: 4d was isolated in only 2% yields in both cases. The change from a Rh(I) catalyst for an Ir(I) one also did not lead to an improvement in the reaction yield and 4d was isolated in only 1% yield (entry 5). According to the respective TLC analyses, the starting material remained unreacted and formation of side products in significant amounts was not detected.
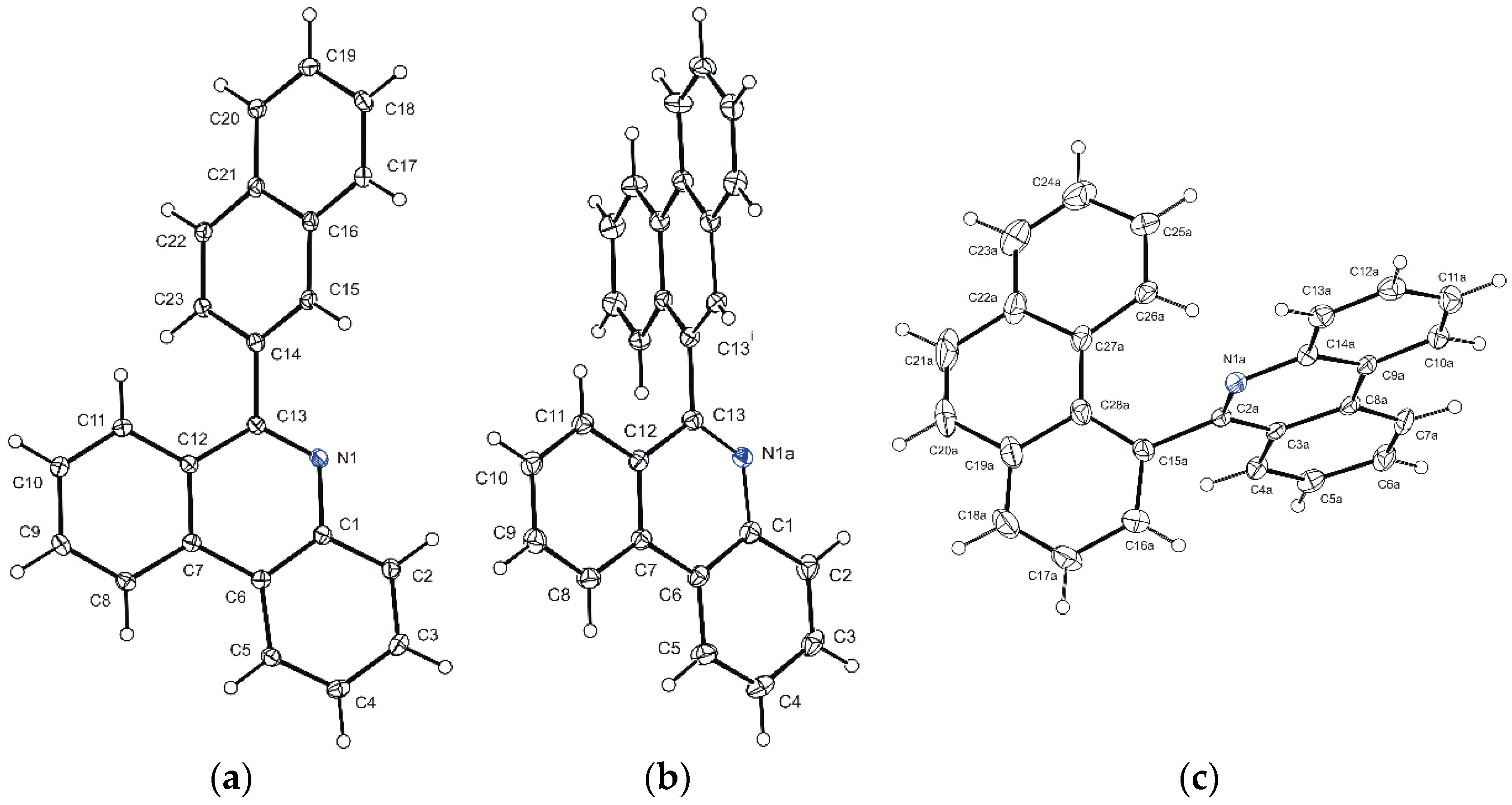
Since the insertion of 1-cyanonaphthalene (3d) into the C–C bond in biphenylene (1) did not proceed as expected, we attempted the insertion of 2-cyanonaphthalene (3e), which has a less sterically hindered nitrile group (Scheme 2). Running the reaction under the same reaction conditions as with 3e provided the desired product 6-(naphthalen-2-yl)phenanthridine (4e) in 36% isolated yield. Carrying out the reaction at a higher temperature of 200 °C allowed obtaining product 3e in 62% isolated yield. Its structure was unequivocally confirmed with single-crystal X-ray diffraction analysis (Figure 1a).
A comparison of results obtained for the insertions of nitriles 3d and 3e indicate that the course of insertion of a nitrile after the C–C bond activation step is probably hampered by the steric hindrance of the nitrile group. Since the synthesis of larger helical cationic aza-aromatics would require the use of even more sterically hindered aromatic nitriles, we decided to change our strategy and to prepare the required phenanthridines by using cross-coupling routes.

2.2. Synthesis of Phenanthridines Bearing 1-Napthyl, 9-Phenanthryl, and 4-Phenanthryl Moieties

We decided to synthesize more structurally complex phenanthridines 4d, 4f, and 4g via the Suzuki–Miyaura cross-coupling of 6-chlorophenanthridine 2 with the corresponding boronic acids 5a5c. 6-Chlorophenanthridine 2 was prepared from phenanthridin-6(5H)-one by dehydration–monochlorination with POCl3 in 92% yield [20]. Boronic acids 5a and 5b were obtained from commercial sources and phenanthren-4-yl boronic acid 5c was synthesized in four steps from 2-bromobenzaldehyde (for details, see comments in Supplementary Materials). The structure of 5c was unequivocally confirmed with single-crystal X-ray diffraction analysis (Figure S4).
The cross-coupling reaction of 2 with 5a5c proceeded under standard conditions: Pd(PPh3)4 (0.2 mol%) as a catalyst and K2CO3 (6.3 eq.) as a base in a mixture of THF:H2O (5:1) and reflux [21] and provided the corresponding products in good isolated yields (Scheme 3). 6-(Napthalen-1-yl)phenanthridine (4d) was isolated in a nice 85% yield after 6 h of reaction time. The reaction of 2 with 5b furnish 6-(phenanthren-9-yl)phenanthridine (4f) in 80% isolated yield. The cross-coupling with 5c gave 6-(phenanthren-4-yl)phenanthridine (4g) in only 34% isolated yields. However, formation of other unidentified products was noted, resulting in a diminished yield of the desired product. The side products could not be separated from the unreacted starting material to determine their structures. The structures of 4f and 4g were unequivocally confirmed with single-crystal e. X-ray diffraction analyses (Figure 1b,c).

2.3. C–H Activation/Annulation Sequence

With a series of 6-arylphenanthridines in hand, we proceeded with the C–H activation/annulation sequence with various internal alkynes. Initially, we focused on the reactions of 4a4c with alkynes 6a6c by using a catalytic system comprising [Cp*RhCl2]2 (5 mol%), Cu(BF4)2 (1.5 eq.), and O2 at 100 °C for 24 h that was shown to be suitable for the reactions of various arylated heterocycles with sp2-N [22]. However, the isolated yields of the desired products were in the range of 0–44% only (Table S3). Further steps led to tuning the reaction conditions for a reaction of 4c with 6c (Table S4), which otherwise did not provide any product under the standard conditions. It turned out that it was necessary to increase not only the catalyst amount but also to change both the source of tetrafluoroborate anion as well as an oxidant and a solvent. Thus, a catalytic system composed of [Cp*RhCl2]2 (10 mol%), AgBF4 (1 eq.), and Cu(OAc)2 (1 eq.) at 100 °C for 24 h in DCE (Table S4) [23] gave the best results. Hence, further experiments were carried out under such conditions.
Thus, the reactions of 6-phenylphenanthridine (4a) with 1,2-diphenylethyne (6a) and 1,2-bis(4-methoxyphenyl)ethyne (6b) proceeded uneventfully, giving rise to 6,7-diphenylisoquinolino[2,1-f]phenanthridin-5-ium tetrafluoroborate (7aa) and 6,7-bis(4-methoxyphenyl)isoquinolino[2,1-f]phenanthridin-5-ium tetrafluoroborate (7ab) in 88 and 85% isolated yields, respectively (Table 3, Entries 1 and 2). Interestingly, a reaction with 1,2-bis(4-(trifluoromethyl)phenyl)ethyne (6c) took place as well; however, the expected product 7ac turned out to be unstable and resisted full characterization.
The reactions of 6-(4-methoxyphenyl)phenanthridine (4b) with 6a and 6b also proceeded well and furnished 9-methoxy-6,7-diphenylisochinolino[2,1-f]phenanthridin-5-ium tetrafluoroborate (7ba) and 9-methoxy-6,7-bis(4-methoxyphenyl)isochinolino[2,1-f]phenanthridin-5-ium tetrafluoroborate (7bb) in 85 and 90% isolated yields, respectively (Entries 3 and 4). As in the previous case, a reaction with 6c provided an unstable product 7cc that defied full characterization.
Surprisingly, all reactions of 6-(4-trifluoromethylphenyl)phenanthridine (4c) with the above-mentioned alkynes provided products 7ca7cc that were not stable and underwent uncontrollable degradation immediately after isolation (for details, see comments in Supplementary Materials). In this context, it is interesting that all compounds possessing 4-trifluoromethylphenyl moieties (7ac, 7bc, and 7ca7cc) were not stable under ambient conditions. The only evidence for their formation is the presence of their respective molecular peaks in MS.
Then, we turned our attention to the reactions of 4d and explored its reactivity in the C–H activation/annulation reaction with various alkynes. Initially, a reaction with diphenylethyne (6a) under the previously used conditions ([Cp*RhCl2]2 (10 mol%), AgBF4 (1 eq.), and Cu(OAc)2 (1 eq.) in DCE at 100 °C for 24 h) was tested (Table 4). The reaction furnished the respective product 7da (6,7-diphenylbenzo[7,8]isoquinolino[2,1-f]phenanthridin-5-ium tetrafluoroborate) in a rather mediocre 27% yield (Entry 1). To increase the product yield, the amounts of additives were varied. In general, these attempts led to only a marginal improvement in yields (Table S5). Despite that, it turned out that using a catalytic system composed of [Cp*RhCl2]2 (10 mol%), AgBF4 (1 eq.), Cu(OAc)2 (1.1 eq.), and two equivalents of 6a in DCE at 100 °C for 24 h gave the product in 29% isolated yield (Entry 2). Based on the above-mentioned results, the latter conditions were used for the subsequent reactions of 4d with alkynes 6b6c. A reaction of with 1,2-bis(4-methoxyphenyl)ethyne (6b) led to the formation of 7db (6,7-bis(4-methoxyphenyl)benzo[7,8]isoquinolino[2,1-f]phenanthridin-5-ium tetrafluoroborate), which was isolated in 31% yield (Entry 3). A reaction with 1,2-bis(4-(trifluoromethyl)phenyl)ethyne (6c) yielded 7dc (6,7-bis(4-(trifluoromethyl)phenyl)benzo[7,8]isoquinolino[2,1-f]phenanthridin-5-ium tetrafluoroborate) in 21% isolated yield (Entry 4). Then, we decided to attempt a reaction with a representative of alkyl-substituted alkynes. For that purpose, we chose oct-4-yne (6d) and its reaction gave rise to 7dd (6,7-dipropylbenzo[7,8]isoquinolino[2,1-f]phenanthridin-5-ium tetrafluoroborate) in 68% isolated yield (Entry 5). Perhaps, a smaller steric hindrance imparted by the n-propyl group in the annulation step can rationalize a higher reaction yield in comparison with that obtained in reactions with diarylethynes. The structure of 7da was unequivocally confirmed with single-crystal X-ray diffraction analysis (Figure 2a).
Next, phenanthridine 4e was tested in a C–H bond activation/annulation sequence with alkynes 6a6d under the previously optimized reaction conditions (Scheme 4). The respective reactions proceeded in all cases, as can be judged by the disappearance of the starting material; however, the expected benzo[6,7]isoquinolino[2,1-f]phenanthridin-5-ium salts 7ea7ed turned out to be unstable and underwent continuous decomposition during column chromatography on silica gel (or with any other isolation techniquessuch as crystallization, etc.) and they could not be isolated as analytically pure substances. Currently, it is not clear how and why the decomposition process takes place and what kind of products are formed. According to 1H NMR measurements, salts 7ea7ed decompose to a complex mixture of various substances. Therefore, the structures of the salts 7ea7ed were confirmed only through HRMS analyses.
C–H bond activation 6-(phenanthren-9-yl)phenanthridine (4f) proved to be more challenging than in phenanthridines 4d and 4e. A reaction of 4f with diphenylethyne (6a) under the previously optimized reaction conditions (method B, Table 4) did not proceed as expected and the respective product was obtained only in trace amounts (according to TLC analyses) and both starting materials were reisolated in almost quantitative amounts. Attempts to modify the composition of the catalytic system were not successful and the respective product was not formed in reasonable isolable amounts (Table S6).
Since the C–H bond activation in 4f followed by annulation with 6a was not successful, we attempted to carry out the reaction using a less sterically demanding alkyne, oct-4-yne (6d) (Table 5). A reaction under the optimized reaction conditions (method B, Table 4) provided the desired product 7fd (18,19-dipropyldibenzo[5,6:7,8]isoquinolino[2,1-f]phenanthridin-17-ium tetrafluoroborate) in a rather low 10% isolated yield (Entry 1). Attempts to improve the yield by using [Cp*IrCl2]2 (10 mol%) as a catalyst (Entry 2) did not fare better and 7fd was isolated in only 7% yield (Entry 2). When [Cp*Co(CO)I2] (10 mol%) was used as a catalyst, the reaction did not proceed at all (Entry 3). The starting material was fully recovered from the reaction mixture.
Finally, 6-(phenanthren-4-yl)phenanthridine (4g) was subjected to a catalytic C–H bond activation/annulation reaction sequence with alkynes 6a6d (Table 6) under the previously optimized reaction conditions (method B, Table 4). First, a reaction with diphenylacetylene (6a) furnished 7ga (6,7-diphenylnaphtho[2′,1′:7,8]isoquinolino[2,1-f]phenanthridin-5-ium tetrafluoroborate) in a reasonable 51% isolated yield (Entry 1). Its structure possessing the [6] helical scaffold was unequivocally confirmed with single-crystal X-ray analysis (Figure 2b). Subsequent reactions under the same conditions with alkynes 6b6d provided products 7gb (6,7-bis(4-methoxyphenyl)naphtho[2′,1′:7,8]isoquinolino[2,1-f]phenanthridin-5-ium tetrafluoroborate), 7gc (6,7-bis(4-(trifluoromethyl)phenyl)naphtho[2′,1′:7,8]isoquinolino[2,1-f]phenanthridin-5-ium tetrafluoroborate), and 7gd (6,7-dipropylnaphtho[2′,1′:7,8]isoquinolino[2,1-f]phenanthridin-5-ium tetrafluoroborate) in isolated yields of 31, 21, and 20%, respectively (Entries 2–4).

2.4. Attempt of a Scholl Reaction of 7dd

The Scholl reaction is a method allowing to interconnect the carbon atoms of rotationally flexible aromatic compounds into more complex, rigid, π-conjugated planar systems. In this respect, we envisioned that compound 7dd could be an interesting substrate to attempt its conversion into a planar substance with condensed aromatic rings. The Scholl reaction is commonly carried out by using strong Lewis acids, but other less drastic methods are available as well [24,25]. To avoid higher temperatures and strongly Lewis-acidic reagents, a previously developed procedure based on the use of DDQ (8 eq.), TFA (315 eq.) in DCM at 0 °C for 30 min under an argon atmosphere was used to intramolecularly cyclize 7dd [26]. Although 7dd was totally consumed under these conditions, a complex reaction mixture was obtained. After considerable effort, a fraction was isolated—the MS analysis of which showed a molecular peak that could be attributed to the elusive product 8 (14,15-dipropylnaphtho[2′,1′,8′:4,5,6]quinolino[1,8,7-fgh]phenanthridin-13-ium tetrafluoroborate). Attempts to record high-resolution 1H or 13C NMR were not met with success due to the low solubility of the isolated substance; hence, the recorded MS data are the only evidence supporting its formation.

2.5. Structural Properties

Suitable crystals for single-crystal X-ray diffraction analysis were obtained for boronic acid 5c (Figure S4), phenanthridines 4e, 4f, and 4g (Figure 1a–c), and for cationic helical aza-aromatic compounds 7da and 7ga having the [5]- and [6] helical scaffolds, respectively (Figure 2a,b).
In case of 7da, the sum of three dihedral angles derived from five C–C bonds, which should reflect the degree of molecular twist, was 71.7°. The degree of molecular twist is bigger than the one for parental all-carbon [5] helicene (66.4°) [27]. The sum of the of four dihedral angles derived from six C–C bonds in 7ga was 93.6°, which is bigger than the one in parental all-carbon [6] helicene (87.5°) [28]. The higher helical pitch could be a result of steric hindrance exerted by the presence of the benzo moiety attached to the second aromatic ring.

2.6. Photochemical Properties

Out of a library of 6,7-bis(aryl)isoquinolino[2,1-f]phenanthridin-5-ium tetrafluoroborates 7aa7cc, absorption and emission spectra were recorded for selected representatives as dichloromethane solutions (see Chart S1 in Supplementary Materials). The emission fluorescence maxima were in the range of 521–650 nm with rather low quantum yields (Φabs) in the range of 8–99% (Table 7).
The absorption and emission spectra of benzo[7,8]isoquinolino[2,1-f]phenanthridin-5-ium salts 7da7dd and naphtho[2′,1′:7,8]isoquinolino[2,1-f]phenanthridin-5-ium salts 7ga7gd were recorded as dichloromethane solutions (see Chart S2 in Supplementary Materials). The emission fluorescence maxima were in the range of 525–623 nm and the quantum yields (Φabs) were in the range of 7–20%. Compounds 7dd and 7gd possessing the n-Pr groups did not exhibit any fluorescence at all (Table 8).

3. Materials and Methods

All experimental procedures, compound characterization, X-ray diffraction data, and copies of 1H and 13C spectra are available in the Supporting Information.

4. Conclusions

The synthesis of 9-arylphenathridines using a catalytic C–C bond cleavage/nitrile insertion sequence was successful only in the cases of 4a4c and 4e. In the case of other substrates, the yields of products were very low (3d) or the reaction did not proceed at all (4f). It seems that the course of the reaction is sensitive to steric hindrance in both reactants. The required 9-arylphenanthridines (4d, 4f, and 4g) were successfully prepared through a Suzuki–Miyaura cross-coupling reaction of 6-chlorophenanthridine with the corresponding arylboronic acids. In general, the catalytic C–H bond activation/alkyne annulation sequence proceeded with all 9-arylphenanthridines, giving rise to the corresponding cationic 6,7-bisarylisoquinolino[2,1-f]phenanthridin-5-ium salts 7aa7cc with the [4] helical scaffold in good yields. Structurally related benzo[6,7]isoquinolino[2,1-f]phenanthridin-5-ium salts 7ea7ed, also possessing the [4] helical scaffold, were synthesized in higher yields, but were unstable, underwent decomposition, and could not be isolated in an analytically pure form. In the case of benzo[7,8]isoquinolino[2,1-f]phenanthridin-5-ium salts 7da7dd possessing the [5] helical scaffold, these were prepared in average yields. Phenanthridine 3f turned out to be an unsuitable substrate for the catalytic C–H bond activation/annulation sequence and it did not react with diarylethynes. It proceeded with oct-4-yne (6d) only and furnished the corresponding product 7cd in low isolated yield (10%). A higher reactivity was also observed in the case of 4g, the reactions of which yielded naphtho[2′,1′:7,8]isoquinolino[2,1-f]phenanthridin-5-ium salts 7ga7gd with the [6] helical scaffold in good yields. Obviously, steric hindrance plays an important role in this process as well. Emission spectra were recorded for compounds 7da7dd and 7ga7gd that had fluorescence emission in the region of 525–623 nm with absolute quantum yields in the region of 0–20%. Single-crystal X-ray diffraction analyses of the phenathridines 4b, 4c, and 4f and cationic salts 7aa and 7da confirmed their structure.

Supplementary Materials

Experimental procedures, spectra characteristics, and copies of 1H and 13C NMR spectra can be downloaded at: https://www.mdpi.com/article/10.3390/catal13050912/s1. Chart S1: Absorption spectra of compounds 7aa, 7ab, and 7ba–7bc measured in DCM solutions (c = 10–5 M) (1a). Normalized emission spectra of compounds 7aa, 7ab, and 7ba7bc (1b); Chart S2: Absorption spectra of compounds 7da7dd and 7ga7gd measured in DCM solutions (c = 10–5 M) (1a). Normalized emission spectra of compounds 7da7dc and 7ga7gc (1b); Figure S1: ORTEP drawing of 7da. Ellipsoids are drawn with 50% probability; Figure S2: ORTEP drawing of 4f. Ellipsoids are drawn with 50% probability; Figure S3: ORTEP drawing of 4e. Ellipsoids are drawn with 50% probability; Figure S4. ORTEP drawing of 5c. Ellipsoids are drawn with 50% probability; Figure S5: ORTEP drawing of 4g. Ellipsoids are drawn with 50% probability; Figure S6: ORTEP drawing of 7ga. Ellipsoids are drawn with 50% probability; Table S1: Suzuki-Miyaura cross-coupling of 2-bromobenzaldehyde with 2-bromophenylboronic acid under various conditions; Table S2: Screening of the Suzuki-Miyaura cross-coupling reaction conditions; Table S3: Screening of Rh-catalyzed C–H activation/annulation sequence of phenanthridines 4a4c with alkynes 6a6c; Table S4: Screening of various reaction conditions for C–H activation/annulation of 4c with 6c; Table S5: Screening of additives’ amounts in the C–H bond activation/annulation reaction of 4d with 6a; Table S6: Screening of conditions for Rh-catalysed C–H activation/annulation sequence in phenanthridine 4f with diphenylethyne (6a); Table S7: Crystal data, data collection, and refinement parameters for 7da, 3f, 3e, 5c, 3g, and 7ga. References [21,22,23,26,29,30,31,32,33,34,35,36,37,38,39,40,41,42,43,44,45,46] were cited in Supplementary Materials.

Author Contributions

Conceptualization, M.K.; formal analysis, M.K., J.U. and S.H.; experimental work, J.U. and S.H.; X-ray, I.C.; writing—original draft preparation, M.K.; writing—review and editing, M.K., J.U. and S.H.; supervision, M.K.; project administration, M.K.; funding acquisition, M.K. and J.U. All authors have read and agreed to the published version of the manuscript.

Funding

The authors gratefully acknowledge the financial support from the Czech Science Foundation (grant no. 21-29124S) and the Charles University Grant Agency (grant no. 1190218).

Data Availability Statement

The data presented in this study are available in the Supporting Information section.

Acknowledgments

The data used in the text were obtained by S.H. and J.U. during the implementation of their bachelor’s, diploma, and PhD projects.

Conflicts of Interest

The authors declare no conflict of interest.

References

  1. Shen, Y.; Chen, C.-F. Helicenes: Synthesis and Applications. Chem. Rev. 2012, 112, 1463–1535. [Google Scholar] [CrossRef] [PubMed]
  2. Gingras, M. One Hundred Years of Helicene Chemistry. Part 1: Non-Stereoselective Syntheses of Carbohelicenes. Chem. Soc. Rev. 2013, 42, 968–1006. [Google Scholar] [PubMed]
  3. Gingras, M.; Félix, G.; Peresutti, R. One Hundred Years of Helicene Chemistry. Part 2: Stereoselective Syntheses and Chiral Separations of Carbohelicenes. Chem. Soc. Rev. 2013, 42, 1007–1050. [Google Scholar] [CrossRef] [PubMed]
  4. Gingras, M. One Hundred Years of Helicene Chemistry. Part 3: Applications and Properties of Carbohelicenes. Chem. Soc. Rev. 2013, 42, 1051–1091. [Google Scholar] [CrossRef]
  5. Saleh, N.; Shen, C.; Crassous, J. Helicene-Based Transition Metal Complexes: Synthesis, Properties and Applications. Chem. Sci. 2014, 5, 3680–3694. [Google Scholar] [CrossRef]
  6. Dhbaibi, K.; Favereau, L.; Crassous, J. Enantioenriched Helicenes and Helicenoids Containing Main-Group Elements (B, Si, N, P). Chem. Rev. 2019, 119, 8846–8953. [Google Scholar] [CrossRef]
  7. Zhao, W.-L.; Li, M.; Lu, H.-Y.; Chen, C.-F. Advances in Helicene Derivatives with Circularly Polarized Luminescence. Chem. Commun. 2019, 55, 13793–13803. [Google Scholar] [CrossRef]
  8. Chen, C.-F.; Chen, Y. Helicene Chemistry: From Synthesis to Applications; Springer: Berlin, Germany, 2017. [Google Scholar]
  9. Arai, S.; Yafune, T.; Ōkubo, M.; Hida, M. Synthesis of Azonia Derivative of Hexahelicene. Tetrahedron Lett. 1989, 30, 7217–7218. [Google Scholar] [CrossRef]
  10. Sato, K.; Okazaki, S.; Yamagishi, T.; Arai, S. The Synthesis of Azoniadithia[6]helicenes. J. Heterocycl. Chem. 2004, 41, 443–447. [Google Scholar] [CrossRef]
  11. Sato, K.; Katayama, Y.; Yamagishi, T.; Arai, S. The Synthesis of New Azoniathiahelicenes. J. Heterocycl. Chem. 2006, 43, 177–181. [Google Scholar] [CrossRef]
  12. Passeri, R.; Aloisi, G.G.; Elisei, F.; Latterini, L.; Caronna, T.; Fontana, F.; Sora, I.N. Photophysical Properties of N-Alkylated Azahelicene Derivatives as DNA Intercalators: Counterion Effects. Photochem. Photobiol. Sci. 2009, 8, 1574–1582. [Google Scholar] [CrossRef] [PubMed]
  13. Huang, Q.; Jiang, L.; Liang, W.; Gui, J.; Xu, D.; Wu, W.; Nakai, Y.; Nishijima, M.; Fukuhara, G.; Mori, T.; et al. Inherently Chiral Azonia[6]helicene-Modified β-Cyclodextrin: Synthesis, Characterization, and Chirality Sensing of Underivatized Amino Acids in Water. J. Org. Chem. 2016, 81, 3430–3434. [Google Scholar] [CrossRef] [PubMed]
  14. Wang, Z.; Jiang, L.; Ji, J.; Zhou, F.; Lan, J.; You, J. Construction of Cationic Azahelicenes: Regioselective Three-Component Annulation Using in Situ Activation Strategy. Angew. Chem. Int. Ed. 2020, 59, 23532–25536. [Google Scholar] [CrossRef] [PubMed]
  15. Adriaenssens, L.; Severa, L.; Šálová, T.; Císařová, I.; Pohl, R.; Šaman, D.; Rocha, S.V.; Finney, N.S.; Pospíšil, P.; Slavíček, P.; et al. Helquats: A Facile, Modular, Scalable Route to Novel Helical Dications. Chem. Eur. J. 2009, 15, 1072–1076. [Google Scholar] [CrossRef] [PubMed]
  16. Xu, K.; Fu, Y.; Zhou, Y.; Hennersdorf, F.; Machata, P.; Vincon, I.; Weigand, J.J.; Popov, A.A.; Berger, R.; Feng, X. Cationic Nitrogen-Doped Helical Nanographenes. Angew. Chem. Int. Ed. 2017, 56, 15876–15881. [Google Scholar] [CrossRef] [PubMed]
  17. Wang, Q.; Zhang, W.-W.; Zheng, C.; Gu, Q.; You, S.-L. Enantioselective Synthesis of Azoniahelicenes by Rh-Catalyzed C–H Annulation with Alkynes. J. Am. Chem. Soc. 2021, 143, 114–120. [Google Scholar] [CrossRef]
  18. Korotvička, A.; Frejka, D.; Hampejsová, Z.; Císařová, I.; Kotora, M. Synthesis of Phenanthridines via a Rhodium-Catalyzed C–C Bond Cleavage Reaction of Biphenylene with Nitriles. Synthesis 2016, 48, 987–996. [Google Scholar] [CrossRef]
  19. Berris, B.C.; Hovakeemian, G.H.; Lai, Y.H.; Mestdagh, H.; Vollhardt, K.P.C. A new approach to the construction of biphenylenes by the cobalt-catalyzed cocyclization of o-diethynylbenzenes with alkynes. Application to an iterative approach to [3]phenylene, the first member of a novel class of benzocyclobutadienoid hydrocarbons. J. Am. Chem. Soc. 1985, 107, 5670–5687. [Google Scholar] [CrossRef]
  20. Yoshihara, T.; Hida, S.; Hosaka, M.; Takeuchi, T. Iridium (III) Complexes, and Their Use as Reagents for Oxygen Concentration Determination and for Cancer Diagnosis. JP Patent JP2010044059, 25 February 2010. [Google Scholar]
  21. Lee, D.H.; Son, S.H.; Bae, J.S.; Nam, H.; Kim, S.S. Preparation of Anthracene Derivatives for Organic Electronic Device. KR Patent KR2010007143, 22 January 2010. [Google Scholar]
  22. Luo, C.-Z.; Gandeepan, P.; Jayakumar, J.; Parthasararathy, K.; Chang, Y.-W.; Cheng, C.-H. RhIII-Catalyzed C–H Activation: A Versatile Route towards Various Polycyclic Pyridinium Salts. Chem. Eur. J. 2013, 19, 14181–14186. [Google Scholar] [CrossRef]
  23. Lao, Y.-X.; Zhang, S.-S.; Liu, G.-X.; Jiang, C.-Y.; Wu, J.-Q.; Cheng, C.-H.; Li, Q.; Huang, Z.S.; Wang, H. High-Valent Pentamethylcyclopentadienylcobalt(III) or -iridium(III)-Catalyzed C–H Annulation with Alkynes: Synthesis of Heterocyclic Quaternary Ammonium Salts. Adv. Synth. Catal. 2016, 358, 2186–2191. [Google Scholar] [CrossRef]
  24. Grzybowski, M.; Skonieczny, K.; Butenschçn, H.; Gryko, D.T. Comparison of Oxidative Aromatic Coupling and the Scholl Reaction. Angew. Chem. Int. Ed. 2013, 52, 9900–9930. [Google Scholar] [CrossRef] [PubMed]
  25. Jassas, R.B.; Mughal, E.U.; Sadiq, A.; Alsantali, R.I.; Al-Rooqi, M.M.; Naeem, N.; Moussa, Z.; Ahmed, S.A. Scholl reaction as a powerful tool for the synthesis of nanographenes: A systematic review. RSC Adv. 2021, 11, 32158–32202. [Google Scholar] [CrossRef] [PubMed]
  26. Jiang, Q.; Han, Y.; Zou, Y.; Phan, H.; Yuan, L.; Herng, T.S.; Ding, J.; Chi, C. S-shaped para-Quinodimethane-Embedded Double [6]Helicene and Its Charged Species Showing Open-Shell Diradical Character. Chem. Eur. J. 2020, 26, 15613–15622. [Google Scholar] [CrossRef] [PubMed]
  27. Bédard, A.-C.; Vlassova, A.; Hernandez-Perez, A.C.; Bessette, A.; Hanan, G.S.; Heuft, M.A.; Collins, S.K. Synthesis, Crystal Structure and Photophysical Properties of Pyrene–Helicene Hybrids. Chem. Eur. J. 2013, 19, 16295–16302. [Google Scholar] [CrossRef] [PubMed]
  28. Dračínský, M.; Storch, J.; Církva, V.; Císařová, I.; Sýkora, J. Internal Dynamics in Helical Molecules Studied by X-Ray Diffraction, NMR Spectroscopy and DFT Calculations. Phys. Chem. Chem. Phys. 2017, 19, 2900–2907. [Google Scholar] [CrossRef] [PubMed]
  29. Ding, N.; Li, H.; Feng, X.; Wang, Q.; Wang, S.; Ma, L.; Zhou, J.; Wang, B.J. Partitioning MOF-5 into confined and hydrophobic compartments for carbon capture under humid conditions. Am. Chem. Soc. 2016, 138, 10100–10103. [Google Scholar] [CrossRef]
  30. Iglesias, B.; Cobas, A.; Pérez, D.; Guitián, E.; Vollhardt, K.P.C. Tris(benzocyclobutadieno)triphenylene and Its Lower Biphenylene Homologues by Palladium-Catalyzed Cyclizations of 2,3-Didehydrobiphenylene. Org. Lett. 2004, 6, 3557–3560. [Google Scholar] [CrossRef]
  31. Olah, G.A.; Liang, G. Novel Aromatic Systems. 7. Benzo- and Dibenzocyclobutadiene Dications. J. Am. Chem. Soc. 1977, 99, 6045–6049. [Google Scholar] [CrossRef]
  32. Mio, M.J.; Kopel, L.C.; Braun, J.B.; Gadzikwa, T.L.; Hull, K.L.; Brisbois, R.G.; Markworth, C.J.; Grieco, P.A. One-Pot Synthesis of Symmetrical and Unsymmetrical Bisarylethynes by a Modification of the Sonogashira Coupling Reaction. Org. Lett. 2002, 4, 3199–3202. [Google Scholar] [CrossRef]
  33. Busacca, C.A.; Farber, E.; DeYoung, J.; Campbell, S.; Gonnella, N.C.; Grinberg, N.; Haddad, N.; Lee, H.; Ma, S.; Reeves, D.; et al. Ambient Temperature Hydrophosphination of Internal, Unactivated Alkynes and Allenyl Phosphineoxides with Phosphine Borane Complexes. Org. Lett. 2009, 11, 5594–5597. [Google Scholar] [CrossRef]
  34. Ahmed, A.; Dhara, S.; Ray, J.K. Synthesis of 6-Substituted Phenanthridines by Metal-Free, Visible-Light Induced Aerobic Oxidative Cyclization of 2-Palladium-Catalyzed and KOtBu-Promoted Caryl–Oalcoholic Coupling: An Efficient One-Pot Synthesis of Oxygen Containing Fused Rings. Tetrahedron Lett. 2013, 54, 1673–1676. [Google Scholar] [CrossRef]
  35. Wang, H.; Zhao, W.; Zhou, Y.; Duan, Z.; Mathey, F. A Phospha-Wittig Route to 5-Phosphaphenanthrene. Eur. J. Inorg. Chem. 2011, 2011, 4585–4589. [Google Scholar] [CrossRef]
  36. Kumar, P.; Jiang, T.; Li, S.; Zainul, O.; Laughlin, S.T. Caged Cyclopropenes for Controlling Bioorthogonal Reactivity. Org. Biomol. Chem. 2018, 16, 4081–4085. [Google Scholar] [CrossRef] [PubMed]
  37. Wong, H.; Garnier-Amblard, E.C.; Liebeskind, L.S. Organometallic Enantiomeric Scaffolding: A Strategy for the Enantiocontrolled Construction of Regio- and Stereodivergent Trisubstituted Piperidines from a Common Precursor. J. Am. Chem. Soc. 2011, 133, 7517–7527. [Google Scholar] [CrossRef] [PubMed]
  38. Akhmetov, V.; Feofanov, M.; Sharapa, D.I.; Amsharov, K. Alumina-Mediated π-Activation of Alkynes. J. Am. Chem. Soc. 2021, 143, 15420–15426. [Google Scholar] [CrossRef]
  39. Zhang, Q.; Cao, R.; Fei, H.; Zhou, M. Mitochondria-targeting Phosphorescent Iridium(iii) Complexes for Living Cell Imaging. Dalton Trans. 2014, 43, 16872–16879. [Google Scholar] [CrossRef]
  40. Xiao, T.; Li, L.; Lin, G.; Wang, Q.; Zhang, P.; Mao, Z.; Zhou, L. Synthesis of 6-Substituted Phenanthridines by Metal-Free, Visible-Light Induced Aerobic Oxidative Cyclization of 2-Isocyanobiphenyls with Hydrazines. Green Chem. 2014, 16, 2418–2421. [Google Scholar] [CrossRef]
  41. Chen, Y.-F.; Hsieh, J.-C. Synthesis of Polysubstituted Phenanthridines via Ligand-Free Copper-Catalyzed Annulation. Org. Lett. 2014, 16, 4642–4645. [Google Scholar] [CrossRef]
  42. Peng, J.; Chen, T.; Chen, C.; Li, B. Palladium-Catalyzed Intramolecular C–H Activation/C–C Bond Formation: A Straightforward Synthesis of Phenanthridines. J. Org. Chem. 2011, 76, 9507–9513. [Google Scholar] [CrossRef]
  43. Zhang, L.; Ang, G.Y.; Chiba, S. Copper-Catalyzed Synthesis of Phenanthridine Derivatives under an Oxygen Atmosphere Starting from Biaryl-2-carbonitriles and Grignard Reagents. Org. Lett. 2010, 12, 3682–3685. [Google Scholar] [CrossRef]
  44. Li, L.; Brennessel, W.W.; Jones, W.D. An Efficient Low-Temperature Route to Polycyclic Isoquinoline Salt Synthesis via C−H Activation with [Cp*MCl2]2 (M = Rh, Ir). J. Am. Chem. Soc. 2008, 130, 12414–12419. [Google Scholar] [CrossRef] [PubMed]
  45. Gandeepan, P.; Cheng, C.-H. Advancements in the Synthesis and Applications of Cationic N-Heterocycles through Transition Metal-Catalyzed C− H Activation. Chem. Asian J. 2016, 11, 448–460. [Google Scholar] [CrossRef] [PubMed]
  46. Sheldrick, G.M. SHELXT-Integrated Space-Group and Crystal-Structure Determination. Acta Cryst. A 2015, A71, 3–8. [Google Scholar] [CrossRef] [PubMed]
Scheme 1. Original retrosynthetic analysis of helical quinolizinium salts with extended π-conjugated aromatic system.
Scheme 1. Original retrosynthetic analysis of helical quinolizinium salts with extended π-conjugated aromatic system.
Catalysts 13 00912 sch001
Scheme 2. Formation of phenanthridine 3e by a reaction of biphenylene (1) with 2-cyanonaphthalene (3e). (The reaction was run on 01 mmol scale with respect to 1).
Scheme 2. Formation of phenanthridine 3e by a reaction of biphenylene (1) with 2-cyanonaphthalene (3e). (The reaction was run on 01 mmol scale with respect to 1).
Catalysts 13 00912 sch002
Figure 1. ORTEP drawings of 4e (a), 4f (b), and 4g (c). Ellipsoids are drawn with 50% probability.
Figure 1. ORTEP drawings of 4e (a), 4f (b), and 4g (c). Ellipsoids are drawn with 50% probability.
Catalysts 13 00912 g001
Scheme 3. Synthesis of 4d, 4f, and 4g by Suzuki–Miyaura cross-coupling.
Scheme 3. Synthesis of 4d, 4f, and 4g by Suzuki–Miyaura cross-coupling.
Catalysts 13 00912 sch003
Figure 2. ORTEP drawings of 7da (a) and 7ga (b). Ellipsoids are drawn with 50% probability.
Figure 2. ORTEP drawings of 7da (a) and 7ga (b). Ellipsoids are drawn with 50% probability.
Catalysts 13 00912 g002
Scheme 4. Attempts to obtain 7ea7ed through reactions of 4e with alkynes 6a6d. (The reactions were run on 0.3 mmol scale with respect to 4e.)
Scheme 4. Attempts to obtain 7ea7ed through reactions of 4e with alkynes 6a6d. (The reactions were run on 0.3 mmol scale with respect to 4e.)
Catalysts 13 00912 sch004
Table 1. Reactions of 1 with benzonitriles 3a3c. (The reactions were run on 1 mmol scale with respect to 1).
Table 1. Reactions of 1 with benzonitriles 3a3c. (The reactions were run on 1 mmol scale with respect to 1).
Catalysts 13 00912 i001
Entry3R4Yield (%) 1
13aH4a88
23bOMe4b47
33cCF34c85
1 Isolated yields.
Table 2. Reactions of 1 with benzonitriles 3d. (The reactions were run on 1 mmol scale with respect to 1).
Table 2. Reactions of 1 with benzonitriles 3d. (The reactions were run on 1 mmol scale with respect to 1).
Catalysts 13 00912 i002
EntryCatalystLigand (mol%)Yield (%) 1
1[Rh(COD)2BF4]dppe (10)3
2[Rh(COD)2BF4]dppp (10)0
3[Rh(COD)2BF4]dppb (10)2
4[Rh(COD)2BF4]PPh3 (20)2
5[Ir(COD)Cl]2dppe (10)1
1 Isolated yields.
Table 3. C–H activation/annulation of phenanthridines 4a4c alkynes 6a6c. (The reactions were run on 0.1 or 0.3 mmol scale with respect to 4a4c).
Table 3. C–H activation/annulation of phenanthridines 4a4c alkynes 6a6c. (The reactions were run on 0.1 or 0.3 mmol scale with respect to 4a4c).
Catalysts 13 00912 i003
Entry4R16R7Yield (%) 1
14aH6aH7aa88
24aH6b4-MeOC6H47ab85
34bOMe6aH7ba85
44bOMe6b4-MeOC6H47bb90
1 Isolated yields.
Table 4. Formation of benzo[7,8]isoquinolino[2,1-f]phenanthridin-5-ium salts 7da7dd. (The reactions were run on 0.3 mmol scale with respect to 4d.).
Table 4. Formation of benzo[7,8]isoquinolino[2,1-f]phenanthridin-5-ium salts 7da7dd. (The reactions were run on 0.3 mmol scale with respect to 4d.).
Catalysts 13 00912 i004
EntryCatalytic System 1R7Yield (%) 2
1APh7da27
2BPh7da29
3B4-MeOC6H47db31
4B4-CF3C6H47dc21
5Bn-Pr7dd68
1 Method A: [Cp*RhCl2]2 (10 mol%), AgBF4 (1 eq.), and Cu(OAc)2 (1 eq.) in DCE, 100 °C, 24 h; Method B: [Cp*RhCl2]2 (10 mol%), AgBF4 (1 eq.), and Cu(OAc)2 (1.1 eq.) in DCE, 100 °C, 24 h. 2 Isolated yields.
Table 5. Screening of catalysts for C–H activation in 4f and annulation with 6d. (The reactions were run on 0.3 mmol scale with respect to 4f).
Table 5. Screening of catalysts for C–H activation in 4f and annulation with 6d. (The reactions were run on 0.3 mmol scale with respect to 4f).
Catalysts 13 00912 i005
EntryCatalystYield (%) 1
1[Cp*RhCl2]210
2[Cp*IrCl2]27
3[Cp*Co(CO)I2]0
1 Isolated yields.
Table 6. Formation of naphtho[2′,1′:7,8]isoquinolino[2,1-f]phenanthridin-5-ium salts 7ga7gd. (The reactions were run on 0.05–0.15 mmol scale with respect to 4g).
Table 6. Formation of naphtho[2′,1′:7,8]isoquinolino[2,1-f]phenanthridin-5-ium salts 7ga7gd. (The reactions were run on 0.05–0.15 mmol scale with respect to 4g).
Catalysts 13 00912 i006
Entry6R7Yield (%) 1
16aPh7ga51
26bp-MeOC6H47gb31
36cp-CF3C6H47gc21
46dn-Pr7gd20
1 Isolated yields.
Table 7. Emission maxima and quantum yield of compounds 7aa, 7ab, and 7ba7bc.
Table 7. Emission maxima and quantum yield of compounds 7aa, 7ab, and 7ba7bc.
7λems (nm) 1Φabs (%) 1
7aa54025
7ab6508
7ba52122
7bb62219
7bc492>99
1 Measured in DCM solutions (c = 10−6 M).
Table 8. Emission maxima and quantum yield of compounds 7da7dd and 7ga7gd.
Table 8. Emission maxima and quantum yield of compounds 7da7dd and 7ga7gd.
7λems (nm) 1Φabs (%) 1
7da5376
7db62314
7dc5256
7dd0
7ga5758
7gb61620
7gc5787
7gd0
1 Measured in DCM solutions (c = 10−6 M).
Disclaimer/Publisher’s Note: The statements, opinions and data contained in all publications are solely those of the individual author(s) and contributor(s) and not of MDPI and/or the editor(s). MDPI and/or the editor(s) disclaim responsibility for any injury to people or property resulting from any ideas, methods, instructions or products referred to in the content.

Share and Cite

MDPI and ACS Style

Hrubý, S.; Ulč, J.; Císařová, I.; Kotora, M. Synthesis of Cationic [4], [5], and [6]Azahelicenes with Extended π-Conjugated Systems. Catalysts 2023, 13, 912. https://doi.org/10.3390/catal13050912

AMA Style

Hrubý S, Ulč J, Císařová I, Kotora M. Synthesis of Cationic [4], [5], and [6]Azahelicenes with Extended π-Conjugated Systems. Catalysts. 2023; 13(5):912. https://doi.org/10.3390/catal13050912

Chicago/Turabian Style

Hrubý, Samuel, Jan Ulč, Ivana Císařová, and Martin Kotora. 2023. "Synthesis of Cationic [4], [5], and [6]Azahelicenes with Extended π-Conjugated Systems" Catalysts 13, no. 5: 912. https://doi.org/10.3390/catal13050912

APA Style

Hrubý, S., Ulč, J., Císařová, I., & Kotora, M. (2023). Synthesis of Cationic [4], [5], and [6]Azahelicenes with Extended π-Conjugated Systems. Catalysts, 13(5), 912. https://doi.org/10.3390/catal13050912

Note that from the first issue of 2016, this journal uses article numbers instead of page numbers. See further details here.

Article Metrics

Back to TopTop