Syntheses of Azulene Embedded Polycyclic Compounds
Abstract
1. Introduction
2. Compounds with Azulene Unit Grafted Only on One or Two Bonds
2.1. Benz[a]azulenes
2.2. Azulene-Fused Linear Aromatic Hydrocarbons
2.3. Azulene-Fused Acenes and Helicenes
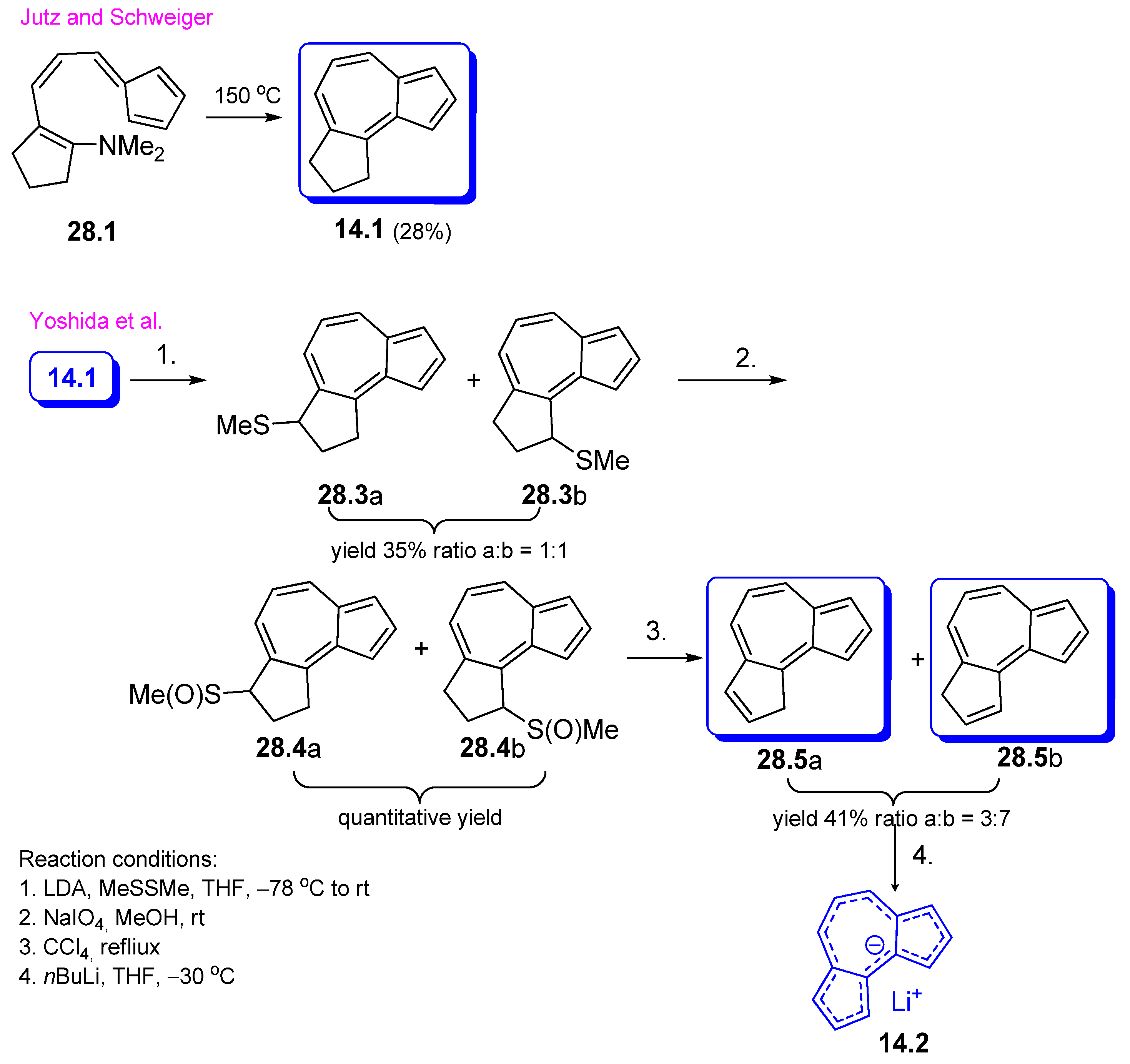
2.4. Compounds Containing Azulene and One Supplementary Condensed Ring
2.4.1. Azulene Fused with Carbocycles
2.4.2. Azulene Fused with Heterocycles
3. Embedded Azulene Fused Polycyclic Compounds
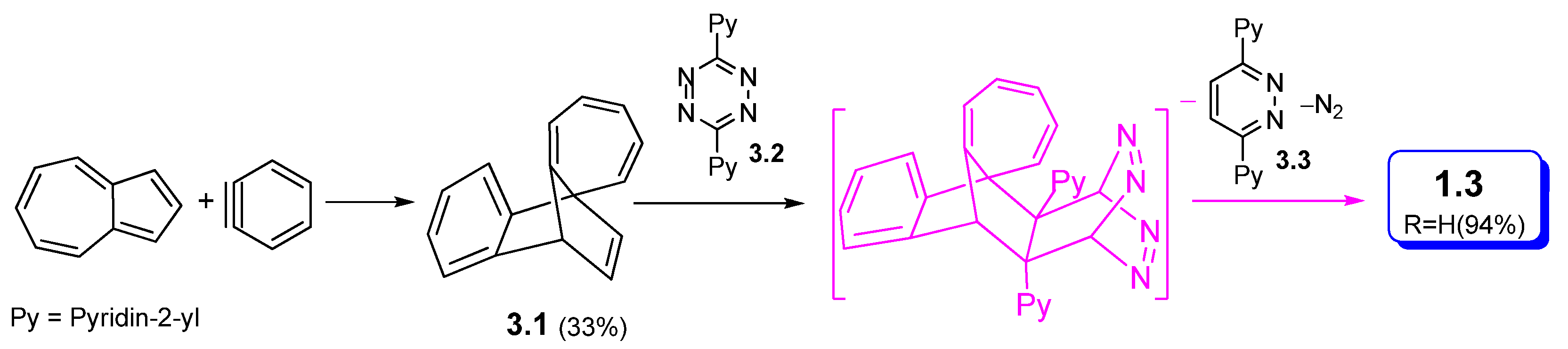
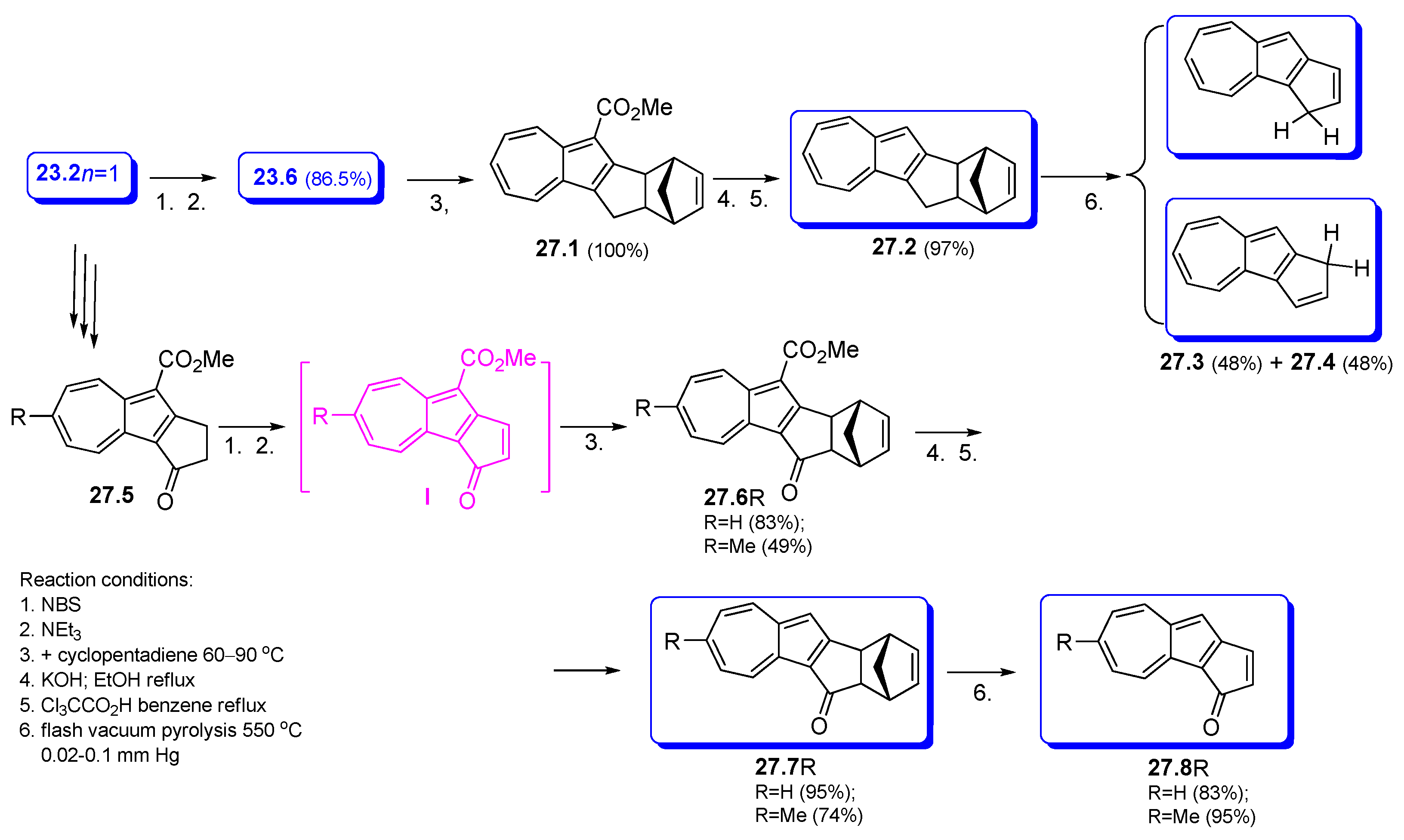
3.1. Polycyclic Compounds with One or Two Azulene Moiety in the Molecular Skeleton
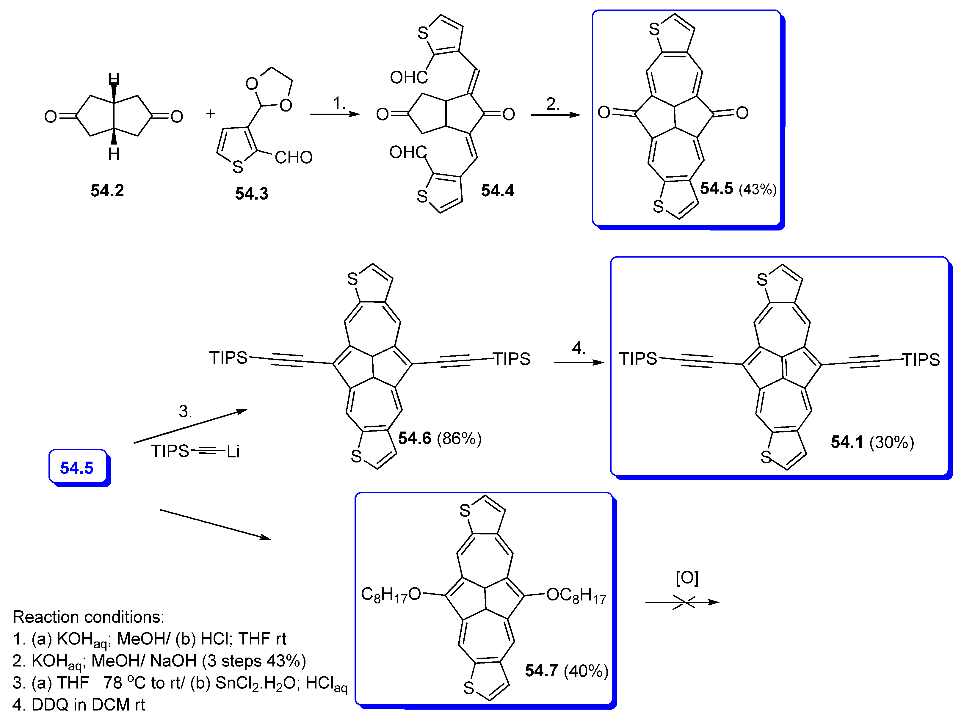
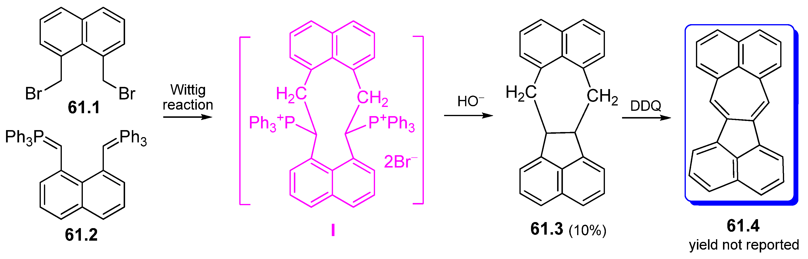
3.2. Several Examples with Azulene Embedded Nanographenes
4. Conclusions
Funding
Data Availability Statement
Conflicts of Interest
References
- Dong, J.-X.; Zhang, H.-L. Azulene-based organic functional molecules for optoelectronics. Chin. Chem. Lett. 2016, 27, 1097–1104. [Google Scholar] [CrossRef]
- Xin, H.; Hou, B.; Gao, X. Azulene-Based π-Functional Materials: Design, Synthesis, and Applications. Acc. Chem. Res. 2021, 54, 1737–1753. [Google Scholar] [CrossRef]
- Murfin, L.C.; Lewis, S.E. Azulene—A Bright Core for Sensing and Imaging. Molecules 2021, 26, 353. [Google Scholar] [CrossRef] [PubMed]
- Porshnev, Y.N.; Mochalin, V.B.; Cherkashin, M.I. Polycyclic Azulenoid Systems. Russ. Chem. Rev. 1982, 51, 1089–1108, translated from Uspekhi Khimii 1982, 51, 1897–1934. [Google Scholar] [CrossRef]
- Konishi, A.; Yasuda, M. Breathing New Life into Nonalternant Hydrocarbon Chemistry: Syntheses and Properties of Polycyclic Hydrocarbons Containing Azulene, Pentalene, and Heptalene Frameworks. Chem. Lett. 2020, 50, 195–212. [Google Scholar] [CrossRef]
- Shoji, T.; Ito, S.; Yasunami, M. Synthesis of Azulene Derivatives from 2H-Cyclohepta[b]furan-2-ones as Starting Materials: Their Reactivity and Properties. Int. J. Mol. Sci. 2021, 22, 10686. [Google Scholar] [CrossRef]
- Konishi, A.; Horii, K.; Yasuda, M. The road to bis-periazulene (cyclohepta[def]fluorene): Realizing one of the long-standing dreams in nonalternant hydrocarbons. J. Phys. Org. Chem. 2023, 36, 570–593. [Google Scholar] [CrossRef]
- Liu, R.; Fu, Y.; Wu, F.; Liu, F.; Zhang, J.-J.; Yang, L.; Popov, A.A.; Ma, J.; Feng, X. Polycycles Modular Synthesis of Structurally Diverse Azulene-Embedded Polycyclic Aromatic Hydrocarbons by Knoevnagel-Type Condensation. Angew. Chem. Int. Ed. 2023, 62, e202219091. [Google Scholar] [CrossRef] [PubMed]
- Fei, Y.; Liu, J. Synthesis of Defective Nanographenes Containing Joined Pentagons and Heptagons. Adv. Sci. 2022, 19, 2201000. [Google Scholar] [CrossRef]
- Plattner, P.A.; Fürst, A.; Chopin, J.; Winteler, G. Zur Kenntnis der Sesquiterpene. 81.Mitteilung. 1,2-Benz-azulen. Helv. Chim. Acta 1948, 31, 501–504. [Google Scholar] [CrossRef]
- Treibs, W. Über bi- und polycyclische Azulene, I. Mitteil.: Synthese des 1.2-Benz-azulens. Chem. Berichte 1948, 81, 38–41. [Google Scholar] [CrossRef]
- O’Leary, M.A.; Richardson, G.W.; Wege, D. The addition of benzocyclobutenylidene to benzene. Tetrahedron 1981, 37, 813–823. [Google Scholar] [CrossRef]
- Gupta, Y.N.; Houk, K.N. Diels-alder cycloaddition of tetrachlorothiophene-S,S-dioxide to azulene. Tetrahedron Lett. 1985, 26, 2607–2608. [Google Scholar] [CrossRef]
- Cresp, T.M.; Wege, D. The addition of benzyne to azulene. Tetrahedron 1986, 42, 6713–6718. [Google Scholar] [CrossRef]
- Sperandio, D.; Hansen, H.-J. An Efficient Straightforward Synthesis of Benz[a]azulene. Helv. Chim. Acta 1995, 78, 765–771. [Google Scholar] [CrossRef]
- Sasabe, M.; Houda, Y.; Takagi, H.; Sugane, T.; Bo, X.; Yamamura, K. A versatile and efficient method for the synthesis of benz[a]azulenic enones starting from readily available o-(2-furyl)cycloheptatrienylbenzenes. J. Chem. Soc. Perkin Trans. 1 2000, 22, 3786–3790. [Google Scholar] [CrossRef]
- Wu, C.-P.; Devendar, B.; Su, H.-C.; Chang, Y.-H.; Ku, C.-K. Efficient synthesis and applications of 2-substituted azulene derivatives: Towards highly functionalized carbo- and heterocyclic molecules. Tetrahedron Lett. 2012, 53, 5019–5022. [Google Scholar] [CrossRef]
- Shoji, T.; Yamazaki, A.; Katoh, R.; Shimamura, K.; Sakai, R.; Yasunami, M.; Okujima, T.; Ito, S. Synthesis, Reactivity, and Properties of Benz[a]azulenes via the [8 + 2] Cycloaddition of 2H-Cyclohepta[b]furan-2-ones with an Enamine. J. Org. Chem. 2022, 87, 5827–5845. [Google Scholar] [CrossRef]
- Murai, M.; Iba, S.; Ota, H.; Takai, K. Azulene-Fused Linear Polycyclic Aromatic Hydrocarbons with Small Bandgap, High Stability, and Reversible Stimuli Responsiveness. Org. Lett. 2017, 19, 5585–5588. [Google Scholar] [CrossRef]
- Yasunami, M.; Yang, P.W.; Kondo, Y.; Noro, Y.; Takase, K. The Synthesis of Naphth[2,1-a] and Naphth[2,3-a]azulenes. Chem. Lett. 1980, 9, 167–170. [Google Scholar] [CrossRef]
- Toda, T.; Shimazaki, N.; Mukai, T. 1-Cycloheptatrienylidene-2-Phenylethylene and its Intriguing Dimerization Reactions. Chem. Lett. 1979, 8, 171–174. [Google Scholar] [CrossRef]
- Toda, T.; Shimazaki, N.; Mukai, T.; Kabuto, C. Synthesis and physical properties of 6,12-diarylazuleno[1,2-b]azulenes. Tetrahedron Lett. 1980, 21, 4001–4004. [Google Scholar] [CrossRef]
- Kuroda, S.; Hirooka, S.; Iwaki, H.; Ikeda, M.; Nakao, T.; Ogisu, M.; Yasunami, M.; Takase, K. Synthesis of Methyl Azulen[1,2-b]azulene-2-carboxylate and Dimethyl Azulen[1,2-b]azulene-2,4-dicarboxylate. Chem. Lett. 1986, 15, 2039–2042. [Google Scholar] [CrossRef]
- Hafner, K.; Zur Kenntnis Der Azulene, I. Eine Neue Azulen-Synthese. Liebigs Ann. Chem. 1957, 606, 79–89. [Google Scholar] [CrossRef]
- Ziegler, K.; Hafner, K. Eine rationelle Synthese des Azulens. Angew. Chem. 1955, 67, 301. [Google Scholar] [CrossRef]
- Jutz, C.; Peuker, H.G.; Kosbahn, W. Azuleno[1,2-f]azulen, ein tetracyclischer, nichtbenzoider, aromatischer Kohlenwasserstoff. Synthesis 1976, 10, 673–675. [Google Scholar] [CrossRef]
- Hess, B.A.; Schaad, L.J. Hückel molecular orbital π resonance energies. Nonalternant hydrocarbons. J. Org. Chem. 1971, 36, 3418–3423. [Google Scholar] [CrossRef]
- Yoshida, Z.; Shibata, M.; Ogino, E.; Sugimoto, T. A new cata-condensed nonalternant tetracyclic hydrocarbon Azuleno[2,1-e]Azulene. Tetrahedron Lett. 1984, 25, 3343–3346. [Google Scholar] [CrossRef]
- Jutz, C.; Schweiger, E. Darstellung von Benzazulenen aus Azulenderivaten. Chem. Ber. 1974, 107, 2383–2396. [Google Scholar] [CrossRef]
- Murai, M.; Iba, S.; Hamao, S.; Kubozono, Y.; Ota, H.; Takai, K. Azulene-Fused Linearly π-Extended Polycyclic Aromatic Compounds: Synthesis, Photophysical Properties, and OFETs Applications. Bull. Chem. Soc. Jpn. 2023, 96, 1077–1081. [Google Scholar] [CrossRef]
- Jiang, Q.; Tao, T.; Phan, H.; Han, Y.; Gopalakrishna, T.Y.; Herng, T.S.; Li, G.; Yuan, L.; Ding, J.; Chi, C. Diazuleno-s-indacene Diradicaloids: Synthesis, Properties and Local (Anti)Aromaticity Shift from Neutral to Dicationic State. Angew. Chem. Int. Ed. 2018, 57, 16737–16741. [Google Scholar] [CrossRef]
- Einholz, R.; Fang, T.; Berger, R.; Grüninger, P.; Früh, A.; Chassé, T.; Fink, R.F.; Bettinger, H.F. Heptacene: Characterization in Solution, in the Solid State, and in Films. J. Am. Chem. Soc. 2017, 139, 4435–4442. [Google Scholar] [CrossRef]
- Ong, A.; Tao, T.; Jiang, Q.; Han, Y.; Ou, Y.; Huang, K.-W.; Chi, C. Azulene-Fused Acenes. Angew. Chem. Int. Ed. 2022, 61, e202209286. [Google Scholar] [CrossRef]
- Wang, S.; Tang, M.; Wu, L.; Bian, L.; Jiang, L.; Liu, J.; Tang, Z.-B.; Liang, Y.; Liu, Z. Fused-Ring Systems Hot Paper Linear Nonalternant Isomers of Acenes Fusing Multiple Azulene Units. Angew. Chem. Int. Ed. 2022, 61, e202205658. [Google Scholar] [CrossRef]
- Yamamoto, K.; Okazumi, M.; Suemune, H.; Usui, K. Synthesis of [5]Helicenes with a Substituent Exclusively on the Interior Side of the Helix by Metal-catalyzed Cycloisomerization. Organic Lett. 2013, 15, 1806–1809. [Google Scholar] [CrossRef] [PubMed]
- Duan, C.; Zhang, J.; Xiang, J.; Yang, X.; Gao, X. Azulene-Embedded [n]Helicenes (n = 5, 6 and 7). Angew. Chem. Int. Ed. 2022, 61, e202201494. [Google Scholar] [CrossRef]
- Yasunami, M.; Kitamori, Y.; Kikuchi, I.; Ohmi, H.; Takase, K. Peri-Selective Cycloaddition Reactions of 3-Methoxycarbonyl-2H- cyclohepta[b]furan-2-one with 6,6-Dimethylfulvene. Bull. Chem. Soc. Jpn. 1992, 65, 2127–2130. [Google Scholar] [CrossRef]
- Yasunami, M.; Hioki, T.; Kitamori, Y.; Kikuchi, I.; Takase, K. Synthesis of Cyclopent[a]azulenes and 1(3)-Methylenecyclopent[a]azulene Derivatives Having an Electron Withdrawing Group at the 9-Position. Bull. Chem. Soc. Jpn. 1993, 66, 2273–2282. [Google Scholar] [CrossRef]
- Yamane, K.; Yamamoto, H.; Nitta, M. Synthesis, Stability, and Spectroscopic and Electronic Properties of Three Benzocyclohepta[a]azulenylium Ions 1. J. Org. Chem. 2002, 67, 8114–8122. [Google Scholar] [CrossRef] [PubMed]
- Ito, K.; Hiroyuki, K.; Nitta, M. Synthesis and structural properties of 2,7-methanocyclodeca[a]azulene and its derivative. Tetrahedron Lett. 1994, 35, 2561–2564. [Google Scholar] [CrossRef]
- Nitta, M.; Takayasu, T. Azulene-annulated tricyclo[4.3.1.01,6]deca-2,4,7-triene derivatives and their anions. A novel cycloheptatriene-norcaradiene valence isomerization in the azulene-annulated tricyclo[4.3.1.01,6]deca-2,4,7-triene ring system. J. Chem. Soc. Perkin Trans. 1 1998, 7, 1325–1334. [Google Scholar] [CrossRef]
- Saito, M.; Morita, T.; Takase, K. The Synthesis and some Properties of 3H-Cyclohept[a]azulen-3-one (azuleno[1,2-d]tropone). Chem. Lett. 1974, 3, 955–958. [Google Scholar] [CrossRef]
- Kitamori, Y.; Yasunami, M.; Hioki, T.; Kikuchi, I.; Takase, K. Synthesis of a Polycyclic π-Conjugated System Containing an Azulene Unit by the Flash Vacuum Pyrolytic Method. I. Synthesis and Properties of Cyclopent[a]azulenes. Bull. Chem. Soc. Jpn. 1992, 65, 1527–1532. [Google Scholar] [CrossRef]
- Kitamori, Y.; Yasunami, M.; Hioki, T.; Kikuchi, I.; Takase, K. Synthesis of a Polycyclic π-Conjugated System Containing an Azulene Unit by the Flash Vacuum Pyrolytic Method. II. Synthesis and Paratropic Properties of 3H-Cyclopent[a]azulen-3-one and Its Methyl Derivatives. Bull. Chem. Soc. Jpn. 1992, 65, 2131–2140. [Google Scholar] [CrossRef]
- Jutz, C.; Schweiger, E. Über eine verbesserte Synthese des Dicyclopenta [ef,kl] heptalens. Synthesis 1974, 1974, 193–196. [Google Scholar] [CrossRef]
- Yoshida, Z.; Shibata, M.; Sugimoto, T. A remarkably stable aromatic anion, cyclopent[e]azulenide. Tetrahedron Lett. 1983, 24, 4585–4588. [Google Scholar] [CrossRef]
- Hafner, K.; Diehl, H.; Ulrich Süss, H. Cycloadditionsreaktionen des Pentalens und Azulens—Eine einfache Heptalen-Synthese. Angew. Chem. 1976, 88, 121–123. [Google Scholar] [CrossRef]
- Hafner, K.; Schneider, J. Darstellung und Eigenschaften von Derivaten des Pentalens und Heptalens. Liebigs Ann. 1959, 624, 37–47. [Google Scholar] [CrossRef]
- Gibson, W.K.; Leaver, D.; Roff, J.E.; Cumming, C.W. Synthesis of cyclo [3,3,2]azinones and benz[cd]azulenones. Chem. Commun. 1967, 5, 214–215. [Google Scholar] [CrossRef]
- Aumüller, I.B.; Yli-Kauhaluoma, J. Synthesis and Tautomerization of Benzo[cd]azulen-3-ones. Org. Lett. 2011, 13, 1670–1673. [Google Scholar] [CrossRef]
- Wakabayashi, H.; Yang, P.-W.; Wu, C.-P.; Shindo, K.; Ishikawa, S.; Nozoe, T. A Convenient, One-Pot Synthesis of Azulenes Having Versatile Functional Groups by the Reaction of 2H-Cyclohepta[b]furan-2-ones with Furan Derivatives. Heterocycles 1992, 34, 429–434. [Google Scholar] [CrossRef]
- Wang, D.-L.; Feng, S.-S.; Cui, Q.-T.; Yu, J.-Y. An Efficient One-Pot Synthesis of 1-Amino-3-cyano-4-aryl-10-ethoxycarbonylazuleno[2,1-b]pyrans. Heterocycles 2012, 85, 441–448. [Google Scholar] [CrossRef]
- Ito, S.; Yamazaki, S.; Kudo, S.; Sekiguchi, R.; Kawakami, J.; Takahashi, M.; Matsuhashi, T.; Toyota, K.; Morita, N. Synthesis and redox behavior of 1,2-dihydro-1-oxabenz[a]azulen-2-ones. Tetrahedron 2014, 70, 2796–2803. [Google Scholar] [CrossRef]
- Lin, B.B.; Morita, T.; Lin, Y.-S.; Chen, H.-L. A facile synthesis of 1-ethoxy-4-cyano-5-ethoxycarbonyl-3H-azuleno[1,2-c]pyran-3-one, a selective 15-lipoxygenase inhibitor. Bioorg. Med. Chem. Lett. 2004, 14, 63–65. [Google Scholar] [CrossRef] [PubMed]
- Maeng, C.; Son, J.-Y.; Lee, S.C.; Baek, Y.; Um, K.; Han, S.H.; Lee, P.H. Expansion of Azulenes as Nonbenzenoid Aromatic Compounds for C–H Activation: Rhodium- and Iridium-Catalyzed Oxidative Cyclization of Azulene Carboxylic Acids with Alkynes for the Synthesis of Azulenolactones and Benzoazulenes. J. Org. Chem. 2020, 85, 3824–3837. [Google Scholar] [CrossRef] [PubMed]
- Maeng, C.; Seo, H.J.; Jeong, H.; Lee, K.; Noh, H.C.; Lee, P.H. Iridium(III)-Catalyzed Sequential C(2)-Arylation and Intramolecular C–O Bond Formation from Azulenecarboxylic Acids and Diaryliodonium Salts Access to Azulenofuranones. Org. Lett. 2020, 22, 7267–7272. [Google Scholar] [CrossRef] [PubMed]
- Sato, M.; Tanaka, K.; Ebine, S.; Takahashi, K. Formation of azuleno[4,5-c]furan. J. Chem. Soc. Chem. Commun. 1983, 18, 1025–1026. [Google Scholar] [CrossRef]
- Lu, Y.; Lemal, D.M.; Jasinski, J.P. Bond Alternation in Azulenes. J. Am. Chem. Soc. 2000, 122, 2440–2445. [Google Scholar] [CrossRef]
- Payne, A.D.; Wege, D. The synthesis of some azuleno[c]furans. Org. Biomol. Chem. 2003, 1, 2383–2388. [Google Scholar] [CrossRef]
- Fujimori, K.; Fujita, T.; Yamane, K.; Yasunami, M.; Takase, K. Synthesis of azuleno[1,2b]- and [1,2c]thiophenes by the reaction of 2H-cyclohepta[b]furan-2-ones with enamines of 3-oxotetrahydrothiophenes. Chem. Lett. 1983, 12, 1721–1724. [Google Scholar] [CrossRef]
- Fujimori, K.; Fukazawa, H.; Nezu, Y.; Yamane, K.; Yasunami, M.; Takase, K. Synthesis of azuleno[1,2b] pyrrole and azuleno[1,2b]furan. Chem. Lett. 1986, 15, 1021–1024. [Google Scholar] [CrossRef]
- Zhou, F.; Shi, W.; Liao, X.; Yang, Y.; Yu, Z.-X.; You, J. Palladium-Catalyzed [3 + 2] Annulation of Alkynes with Concomitant Aromatic Ring Expansion: A Concise Approach to (Pseudo)azulenes. ACS Catal. 2022, 12, 676–686. [Google Scholar] [CrossRef]
- Hyoudou, M.; Nakagawa, H.; Gunji, T.; Ito, Y.; Kawai, Y.; Ikeda, R.; Konakahara, T.; Abe, N. Synthesis, Cyclization, and Evaluation of the Anticancer Activity against HeLa S-3 Cells of Ethyl 2-Acetylamino-3-ethynylazulene-1-carboxylates. Heterocycles 2012, 86, 233–244. [Google Scholar] [CrossRef]
- Kogawa, C.; Fujiwara, A.; Sekiguchi, R.; Shoji, T.; Kawakami, J.; Okazaki, M.; Ito, S. Synthesis and photophysical properties of azuleno[1′,2′:4,5]pyrrolo[2,1-b]quinazoline-6,14-diones: Azulene analogs of tryptanthrin. Tetrahedron 2018, 74, 7018–7029. [Google Scholar] [CrossRef]
- Shoji, T.; Araki, T.; Iida, N.; Miura, K.; Ohta, A.; Sekiguchi, R.; Ito, S.; Okujima, T. Synthesis of azulenophthalimides by phosphine-mediated annulation of 1,2-diformylazulenes with maleimides. Org. Chem. Front. 2019, 6, 195–203. [Google Scholar] [CrossRef]
- Duan, C.; Zhang, J.; Cai, S.; Xiang, J.X.; Gao, X. Azulene-Indole Fused Polycyclic Heteroaromatics. Eur. J. Org. Chem. 2022, 26, e202201347. [Google Scholar] [CrossRef]
- Xin, H.; Li, J.; Lu, R.-Q.; Gao, X.; Swager, T.M. Azulene–Pyridine-Fused Heteroaromatics. J. Am. Chem. Soc. 2020, 142, 13598–13605. [Google Scholar] [CrossRef]
- Hong, B.-C.; Jiang, Y.-F.; Kumar, E.S. Microwave-assisted [6 + 4]-cycloaddition of fulvenes and α-pyrones to azulene–indoles: Facile syntheses of novel antineoplastic agents. Bioorganic Med. Chem. Lett. 2001, 11, 1981–1984. [Google Scholar] [CrossRef]
- Kiriazis, A.; Aumüller, I.B.; Yli-Kauhaluoma, J. Synthesis of 4-aminoguaiazulene and its δ-lactam derivatives. Tetrahedron Lett. 2011, 52, 1151–1153. [Google Scholar] [CrossRef]
- Devendar, B.; Wu, C.-P.; Chen, C.-Y.; Chen, H.-C.; Chang, C.-H.; Ku, C.-K.; Tsai, C.-Y.; Ku, C.-Y. Synthesis, characterization and applications of densely functionalized pyridazines and fulvene-type compounds containing azulene moiety. Tetrahedron 2013, 69, 4953–4963. [Google Scholar] [CrossRef]
- Xin, H.; Li, J.; Yang, X.; Gao, X. Azulene-based BN-Heteroaromatics. J. Org. Chem. 2019, 85, 70–78. [Google Scholar] [CrossRef] [PubMed]
- Murai, M.; Abe, M.; Ogi, S.; Yamaguchi, S. Diazulenylmethyl Cations with a Silicon Bridge: A π-Extended Cationic Motif to Form J-Aggregates with Near-Infrared Absorption and Emission. J. Am. Chem. Soc. 2022, 144, 20385–20393. [Google Scholar] [CrossRef] [PubMed]
- Murai, M.; Ito, M.; Takahashi, S.; Yamaguchi, S. Germanium- and tin-bridged diazulenylmethyl cations: Effects of group 14 elements on the structure and properties of π-extended cations. Dalton Trans. 2023, 52, 8631–8635. [Google Scholar] [CrossRef] [PubMed]
- Razus, A.C. Azulene Moiety as Electron Reservoir in Positively Charged Systems: A Short Survey. Symmetry 2021, 13, 526. [Google Scholar] [CrossRef]
- Jutz, C.; Schweiger, E. Simple Synthesis of Pyraceheptylene and Benzo[a]pyraceheptylene. Angew. Chem. Int. Ed. 1971, 10, 808–809. [Google Scholar] [CrossRef]
- Anderson, A.G.; Montana, A.F.; MacDonald, A.; Masada, G.M. Synthesis of dicyclopenta[ef,kl]heptalene (azupyrene). II. Routes from 1,6,7,8,9,9a-hexahydro-2H-benzo[c,d]azulen-6-one and 5-phenylpentanoic acid. J. Org. Chem. 1973, 38, 1445–1450. [Google Scholar] [CrossRef]
- Reel, H.; Vogel, E. Dicyclohepta[cd,gh]pentalene—A New Pyrene Isomer. Angew. Chem. Int. Ed. 1972, 11, 1013–1014. [Google Scholar] [CrossRef]
- Vogel, E.; Reel, H. Bent [14]annulenes. Synthesis of 1,6:8,13-ethanediylidene[14]annulene. J. Am. Chem. Soc. 1972, 94, 4388–4389. [Google Scholar] [CrossRef]
- Fujimori, K.; Morita, N.; Yasunami, M.; Asao, T.; Takase, K. A novel reaction of 5H-cyclohept[a]azulen-5-ones with haloketenes: Facile synthesis of dicyclohepta[cd,gh]pentalene. Tetrahedron Lett. 1983, 24, 781–784. [Google Scholar] [CrossRef]
- Mathey, P.; Lirette, F.; Fernández, I.; Renn, L.; Weitz, T.; Morin, J.-F. Annulated Azuleno[2,1,8-ija]azulenes: Synthesis and Properties. Angew. Chem. Int. Ed. 2023, 62, e202216281. [Google Scholar] [CrossRef]
- Hafner, K.; Hafner-Schneider, G.; Bauer, F. Azuleno[8,8a,1,2-def]heptalene. Angew. Chem. Int. Ed. 1968, 7, 808–809. [Google Scholar] [CrossRef]
- Hafner, K.; Fleischer, R.; Fritz, K. Pentaleno[2,1,6-def]heptalene—A Non-benzenoid Isomer of Pyrene. Angew. Chem. Int. Ed. 1965, 4, 69–70. [Google Scholar] [CrossRef]
- Reid, D.H.; Stafford, W.H.; Ward, J.P. The Fine Structure of Azulene. Part I. cyclohepta[bc]acenaphthylene and cyclohepta[def]fluoren. J. Chem. Soc. 1955, 1193–1201. [Google Scholar] [CrossRef]
- Gardner, P.D.; Wulfman, C.E.; Osborn, C.L. Cyclohepta[klm]benz[e]indene. Further Considerations on the Stability of Complex Polynuclear Systems. J. Amer. Chem. Soc. 1958, 80, 143–148. [Google Scholar] [CrossRef]
- Konishi, A.; Horii, K.; Hirose, M.; Yasuda, M. Bis-periazulene: Remaining non-alternant isomer of pyrene. Pure Appl. Chem. 2023, 95, 353–362. [Google Scholar] [CrossRef]
- Horii, K.; Kishi, R.; Nakano, M.; Shiomi, D.; Sato, K.; Takui, T.; Konishi, A.; Yasuda, M. Bis-periazulene (Cyclohepta[def]fluorene) as a Nonalternant Isomer of Pyrene: Synthesis and Characterization of Its Triaryl Derivatives. J. Am. Chem. Soc. 2022, 144, 3370–3375. [Google Scholar] [CrossRef] [PubMed]
- Kawada, Y.; Tukada, H.; Iwamura, H. A novel route from triptycenes to a dibenzo(Hafner’s hydrocarbon), benz[a]indeno[1,2,3-cd]azulene. Tetrahedron Lett. 1980, 21, 181–182. [Google Scholar] [CrossRef]
- Jutz, C.; Kirchlechner, R. Azuleno[5,6,7-cd]phenalen, ein neues quasiaromatisches System. Angew. Chem. 1966, 78, 493–494. [Google Scholar] [CrossRef]
- Murata, I.; Nakasuji, K.; Yamamoto, K.; Nakazawa, T.; Kayane, Y.; Kimura, A.; Hara, O. Synthesis and Properties of Azuleno[1,2,3-cd]phenalene. Angew. Chem. Int. Ed. 1975, 14, 170–171. [Google Scholar] [CrossRef]
- Bestmann, H.J.; Ruppert, D.A. New Synthesis of Benzocycloalkenes. Angew. Chem. Int. Ed. 1968, 7, 637. [Google Scholar] [CrossRef]
- Fukazawa, Y.; Aoyagi, M.; Itô, S. Naphtho[1,8-ab:4,5-a′b′]diazulene, the first nonalternant isomer of dibenzopyrene. Tetrahedron Lett. 1981, 22, 3879–3882. [Google Scholar] [CrossRef]
- Nesumi, Y.; Nakazawa, T.; Murata, I. Synthesis of [2.2]metacyclo(1,3)azulenophane and its conversion to azulene[1,2,3-cd]phenalene. Chemistry Lett. 1979, 8, 771–774. [Google Scholar] [CrossRef]
- Kuroda, S.; Mouri, M.; Hayashi, K.; Oda, M.; Yamada, M.; Shimao, I.; Osaki, H.; Yasunami, M. Synthesis and Properties of Azuleno[1,2-a]acenaphthylene and Dimethyl acenaphthyleno[1,2-d]heptalene-8,9-dicarboxylate. Chemistry Lett. 1994, 23, 85–88. [Google Scholar] [CrossRef]
- Mamane, V.; Hannen, P.; Fürstner, A. Synthesis of Phenanthrenes and Polycyclic Heteroarenes by Transition-Metal Catalyzed Cycloisomerization Reactions. Chem. Eur. J. 2004, 10, 4556–4575. [Google Scholar] [CrossRef]
- Matsuda, T.; Goya, T.; Liu, L.; Sakurai, Y.; Watanuki, S.; Ishida, N.; Murakami, M. Azulenophenanthrenes from 2,2′-Di(arylethynyl)biphenyls through CC Bond Cleavage of a Benzene Ring. Angew. Chem. Int. Ed. 2013, 52, 6492–6495. [Google Scholar] [CrossRef]
- Hibi, D.; Kitabayashi, K.; Fujita, K.; Takeda, T.; Tobe, Y. Diindenopyrenes: Extended 1,6- and 1,8-Pyrenoquinodimethanes with Singlet Diradical Characters. J. Org. Chem. 2016, 81, 3735–3743. [Google Scholar] [CrossRef] [PubMed]
- Konishi, A.; Morinaga, A.; Fukuhara, G.; Nishijima, M.; Mori, T.; Kida, T.; Yasuda, M. 1,8-Diphenyl-9,10-Bis(arylethynyl)phenanthrenes: Synthesis, Distorted Structure and Optical Properties. Chem. Eur. J. 2018, 24, 6625–6631. [Google Scholar] [CrossRef]
- Konishi, A.; Morinaga, A.; Yasuda, M. Construction of Polycyclic π-Conjugated Systems Incorporating an Azulene Unit Following the Oxidation of 1,8-Diphenyl-9,10-bis(phenylethynyl)phenanthrene. Chem. Eur. J. 2018, 24, 8548–8552. [Google Scholar] [CrossRef]
- Narita, M.; Teraoka, T.; Murafuji, T.; Shiota, Y.; Yoshizawa, K.; Mori, S.; Uno, H.; Kanegawa, S.; Sato, O.; Goto, K.; et al. An Azulene-Based Chiral Helicene and its Air-Stable Cation Radical. Bull. Chem. Soc. Jpn. 2019, 92, 1867–1873. [Google Scholar] [CrossRef]
- Uehara, K.; Mei, P.; Murayama, T.; Tani, F.; Hayashi, H.; Suzuki, M.; Yamada, H. An Anomalous Antiaromaticity That Arises from the Cycloheptatrienyl Anion Equivalent. Eur. J. Org. Chem. 2018, 2018, 4508–4511. [Google Scholar] [CrossRef]
- Tsuchiya, T.; Higashibeppu, M.; Mazaki, Y. Synthesis and Properties of Twisted and Helical Azulene Oligomers and Azulene-Based Polycyclic Hydrocarbons. ChemistryOpen 2023, 12, e202100298. [Google Scholar] [CrossRef] [PubMed]
- Würthner, F.; Saha-Möller, C.R.; Fimmel, B.; Ogi, S.; Leowanawat, P.; Schmidt, D. Perylene Bisimide Dye Assemblies as Archetype Functional Supramolecular Materials. Chem. Rev. 2015, 116, 962–1052. [Google Scholar] [CrossRef] [PubMed]
- Koide, T.; Takesue, M.; Murafuji, T.; Satomi, K.; Suzuki, Y.; Kawamata, J.; Terai, K.; Suzuki, M.; Yamada, H.; Shiota, Y.; et al. An Azulene-Fused Tetracene Diimide with a Small HOMO-LUMO Gap. ChemPlusChem 2016, 82, 1010–1014. [Google Scholar] [CrossRef] [PubMed]
- Shoyama, K.; Mahl, M.; Seifert, S.; Würthner, F. A General Synthetic Route to Polycyclic Aromatic Dicarboximides by Palladium-Catalyzed Annulation Reaction. J. Org. Chem. 2018, 83, 5339–5346. [Google Scholar] [CrossRef] [PubMed]
- Pigulski, B.; Shoyama, K.; Würthner, F. NIR-Absorbing π-Extended Azulene: Non-Alternant Isomer of Terrylene Bisimide. Angew. Chem. Int. Ed. 2020, 59, 15908–15912. [Google Scholar] [CrossRef] [PubMed]
- Sasaki, Y.; Takase, M.; Okujima, T.; Mori, S.; Uno, H. Synthesis and Redox Proprties of Pyrrole- and Azulene-Fused Azacoronene. Organic Lett. 2019, 21, 1900–1903. [Google Scholar] [CrossRef]
- He, Y.-W.; Ma, W.-Q.; Han, Y.; Sun, J.; Yan, C.-G. Construction of Unique Spiro[dibenzo[a,f]azulene-6,2′-indenes] via Unprecedented Annulation of ortho-C–H Bond of Benzylidene Group. J. Org. Chem. 2023, 88, 14911–14927. [Google Scholar] [CrossRef]
- Shiotari, A.; Nakae, T.; Iwata, K.; Mori, S.; Okujima, T.; Uno, H.; Sakaguchi, H.; Sugimoto, Y. Strain-induced skeletal rearrangement of a polycyclic aromatic hydrocarbon on a copper surface. Nat. Commun. 2017, 8, 16089. [Google Scholar] [CrossRef] [PubMed]
- Liu, H.C.; Ruan, K.; Ma, K.; Fei, J.; Lin, Y.M.; Xia, H. Synthesis of metalla-dual-azulenes with fluoride ion recognition properties. Nat. Commun. 2023, 14, 5583. [Google Scholar] [CrossRef]
- Zhang, X.-S.; Huang, Y.-Y.; Zhang, J.; Meng, W.; Peng, Q.; Kong, R.; Xiao, Z.; Liu, J.; Huang, M.; Yi, Y.; et al. Dicyclohepta[ijkl,uvwx]rubicene with Two Pentagons and Two Heptagons as a New Stable and Planar Non-benzenoid Nanographene. Angew. Chem. Int. Ed. 2020, 59, 3529–3533. [Google Scholar] [CrossRef]
- Zhu, C.; Shoyama, K.; Würthner, F. Conformation and Aromaticity Switching in a Curved Non-Alternant sp2 Carbon Scaffold. Angew. Chem. Int. Ed. 2020, 59, 21505–21509. [Google Scholar] [CrossRef] [PubMed]
- Ogawa, N.; Yamaoka, Y.; Takikawa, H.; Yamada, K.; Takasu, K. Helical Nanographenes Embedded with Contiguous Azulene Units. J. Am. Chem. Soc. 2020, 142, 13322–13327. [Google Scholar] [CrossRef] [PubMed]
- Wang, J.; Gordillo, F.; Beloqui, J.M.; Diaz-Andres, A.; Miao, X.; Casanova, D.; Casado, J.; Liu, J. Synthesis of a dicyclohepta[a,g]heptalene-Containing Polycyclic Conjugated Hydrocarbon and the Impact of Non-Alternant Topologies. Angew. Chem. Int. Ed. 2023, 62, e202217124. [Google Scholar] [CrossRef] [PubMed]










































































Disclaimer/Publisher’s Note: The statements, opinions and data contained in all publications are solely those of the individual author(s) and contributor(s) and not of MDPI and/or the editor(s). MDPI and/or the editor(s) disclaim responsibility for any injury to people or property resulting from any ideas, methods, instructions or products referred to in the content. |
© 2024 by the author. Licensee MDPI, Basel, Switzerland. This article is an open access article distributed under the terms and conditions of the Creative Commons Attribution (CC BY) license (https://creativecommons.org/licenses/by/4.0/).
Share and Cite
Razus, A.C. Syntheses of Azulene Embedded Polycyclic Compounds. Symmetry 2024, 16, 382. https://doi.org/10.3390/sym16040382
Razus AC. Syntheses of Azulene Embedded Polycyclic Compounds. Symmetry. 2024; 16(4):382. https://doi.org/10.3390/sym16040382
Chicago/Turabian StyleRazus, Alexandru C. 2024. "Syntheses of Azulene Embedded Polycyclic Compounds" Symmetry 16, no. 4: 382. https://doi.org/10.3390/sym16040382
APA StyleRazus, A. C. (2024). Syntheses of Azulene Embedded Polycyclic Compounds. Symmetry, 16(4), 382. https://doi.org/10.3390/sym16040382