Stable and Unstable Concentration Oscillations Induced by Temperature Oscillations on Reversible Nonequilibrium Chemical Reactions of Helicene Oligomers
Abstract
1. Introduction
1.1. Temperature Oscillations
1.2. Temperature and Concentration Oscillations
1.2.1. Relationships between Temperature and Concentration Oscillations
1.2.2. Effect of Temperature Oscillations on Equilibrium
1.3. Effect of Temperature Oscillations on Reversible Nonequilibrium Chemical Reactions
B to discriminate them from those at equilibrium 2A⇆B [29]. In such a case, concentration oscillations involving 2A
B result in different cooling and heating curves in the concentration/temperature profiles (Figure 3), which are in contrast to those involving 2A⇆B, resulting in the same cooling and heating curves (Figure 2). Accordingly, the waveform is unsymmetric, as shown in the concentration/time profiles, and a phase shift occurs, in which maxima and minima in temperature and concentration oscillations in time do not coincide. This phenomenon in concentration/time profiles is called hysteresis and occurs in nonequilibrium systems [30]. In the following discussions, reversible nonequilibrium chemical reactions are simply called “reactions”.
B with two species A and B involved.2. Stable Concentration Oscillations
2.1. Delay and Amplify Hysteresis
B, involving a delay against temperature oscillations, which show hysteresis owing to different delays during cooling and heating [29]. Such hysteresis due solely to a delay is named here delay hysteresis (Figure 3).
B is named amplify hysteresis (Figure 4). We previously developed helicene oligomers, which exhibit amplify hysteresis during the interconversion between double-helix B and random-coils 2A [29,31,32,33,34]. In particular, amplification is induced by self-catalytic reaction 2A + B→2B, which exhibits extremely high sensitivity to temperature changes. Increases in the concentration of the product B, which is also a catalyst, with the progress of the reaction, significantly accelerate 2A + B→2B [32]. Section 2.2 and Section 2.3 provide general discussions on stable concentration oscillations with delay and amplify hysteresis, respectively.2.2. Stable Concentration Oscillations with Delay Hysteresis
B is described by comparing temperature change rate and reaction rate. Consider a reaction 2A→B initiated by cooling of 2A at high temperatures under equilibrium. When 2A→B is very slow versus cooling, no reaction occurs, which results in a horizontal straight line without changes in concentration, as shown in the concentration/temperature profile (Figure 3a right, green line). When 2A→B is very fast versus cooling or occurs instantaneously, the cooling curve coincides with the equilibrium curve (Figure 2a). When 2A→B is modestly slow versus cooling, the initial delay is followed by 2A→B to reach equilibrium at low temperatures, which results in a sigmoidal cooling curve with high- and low-temperature limit states (Figure 3a, black line). Note that 2A→B must override retardation during cooling. Delay also occurs during heating in B→2A. Then, cooling and heating result in different curves on both sides of the equilibrium curve where the system is out of equilibrium (Figure 3a); this behavior is called normal hysteresis, previously referred to as both-side hysteresis [35]. A small phase shift appears in a sinusoidal concentration oscillation versus a temperature oscillation, as shown in the concentration/time profile. The phenomenon involving sinusoidal concentration oscillation with normal hysteresis is named SD-1.2.3. Stable Concentration Oscillations with Amplify Hysteresis
B involves delay against temperature oscillations and also amplification in reactions (Figure 4). In particular, amplification through the self-catalytic reaction 2A + B→2B is considered here, in which the product B catalyzes the reaction of 2A to form B, and the concentration of B significantly increases with the progress of the reaction. The self-catalytic reaction 2A + B→2B is highly sensitive to conditions such as the temperature range, high/low temperatures, rate of temperature change, concentration, and thermal history. In addition, 2A
B involves markedly different mechanisms of 2A→B and B→2A. In order to understand such phenomena of stable concentration oscillations, they are classified according to their waveforms in concentration/time profiles, the shapes of hysteresis curves in concentration/temperature profiles, the nature of the self-catalytic reaction, and their relationships with equilibrium. The relationships of stable concentration oscillations with equilibrium are expressed by their overlapping, intersecting, and noncontact with the equilibrium curve. The complex nature of stable concentration oscillations with amplify hysteresis is contrasted to the relatively simple nature of the oscillations with delay hysteresis (Figure 3).2.3.1. Stable Concentration Oscillations Involving Equilibrium Overlapping
B involving 2A + B→2B is described herein, in which A is thermodynamically stable at low temperatures and B at high temperatures. Upon cooling of 2A in the high-temperature equilibrium state, 2A + B→2B occurs with delay accompanied by a significant increase in [B], whose formation overrides retardation upon cooling owing to amplification through 2A + B→2B (Figure 4a right). Further cooling retards the formation of B, and a steady state is reached at low temperatures. Heating induces B→2A, in which an equilibrium state containing 2A is reached at high temperatures. Sigmoidal cooling and heating curves then appear, named semi-normal hysteresis. Sinusoidal concentration oscillation is accompanied by a phase shift, as shown in the concentration/time profile (Figure 4a left), which is named SAO-1. SAO-1 occurs on one side of the equilibrium curve, which differs from SD-1 occurring on both sides (Figure 3a). In addition, of note is that equilibrium overlapping occurs in SAO-1 at high-temperature limit states (Figure 4a right, blue circle), which provides a stable concentration oscillation because equilibrium is achieved.
B and 2A
C involving 2A + B→2B and 2A + C→2C, respectively, (Figure 4d, orange arrows) in which C is thermodynamically stable at low temperatures.2.3.2. Stable Concentration Oscillations Involving Equilibrium Intersecting
2.3.3. Equilibrium Overlapping and Equilibrium Intersecting
2.3.4. Stable Concentration Oscillations Involving Equilibrium Noncontact
2.3.5. Resonance Phenomenon
3. Unstable Concentration Oscillations
3.1. Unstable and Stable Concentration Oscillations
3.2. Unstable Concentration Oscillations with Amplify Hysteresis
B involving 2A + B→2B with B thermodynamically stable at low temperatures and 2A at high temperatures. When an unstable concentration oscillation shows a continuous increase in [B] with different increments during cooling and heating, repeated cycles provide small wrinkles in the concentration/temperature profile (Figure 5a). The wrinkled concentration oscillation is accompanied by a zigzag hysteresis, which is named UAN-1. UAN-1 appears owing to a strong 2A + B→2B, which occurs during both cooling and heating (Figure 5a, orange arrows). It is an interesting observation that [B] increases during heating, despite the decrease in thermodynamic stability of B upon heating.3.3. Transformation from Unstable Concentration Oscillations to Stable Ones
3.3.1. A model with a Single Self-Catalytic Reaction
3.3.2. Models with Two Competitive self-Catalytic Reactions
3.4. Domains of Self-Catalytic Reactions in Concentration/Temperature Profiles
B with two species A and B are involved, [B] and Δε are proportional, Δε = (2ΔeB[B] + ΔeA[A])/[A]0≒2ΔeB[B]/[A]0 and [A]0 = [A] + 2[B], because ΔεA≒0 cm−1 M−1 in the experiments of this study, in which ΔεA and ΔεB are the Δε of pure A and A, respectively, and [A]0 is the total [A]. In contrast, a system of competitive 2A
B and 2A
C with three species A, B, and C provide Δε = {2ΔεB[B] + 2ΔεC[C] + ΔεA[A]}/[A]0≒2ΔεB([B] − [C])/[A]0 and [A]0 = [A] + 2[B] + 2[C], because ΔεB≒−ΔεC and ΔεA≒0 cm−1 M−1 in the experiments of this study, in which ΔεC is the Δε of pure C. Then, Δε is proportional to [B] − [C]. For the determination of [A], [B], and [C], UV-vis data can be employed, by which ε = {2εB([B] + [C]) + εA[A]}/[A]0 is provided because εB≒εC, where ε, εA, εB, and εC are the molar absorption coefficients of the sample, pure A, B, and C, respectively [45]. Concentration oscillations can conveniently be discussed with Δε as an equivalent of concentration using Δε/time and Δε/temperature profiles.3.5. Scope of This Article
4. Stable Concentration Oscillations with Delay Hysteresis
B1(A) between homo-double-helix B1(A) with a strong negative Δε at 310 nm and random-coil 2A1(A) with Δε 0 cm−1 M−1 [35]. Amplification through self-catalytic reaction is not involved for 2A1(A)
B1(A). Δε is used to show the concentration of B1(A) in the following discussions, as noted in Section 3.4.
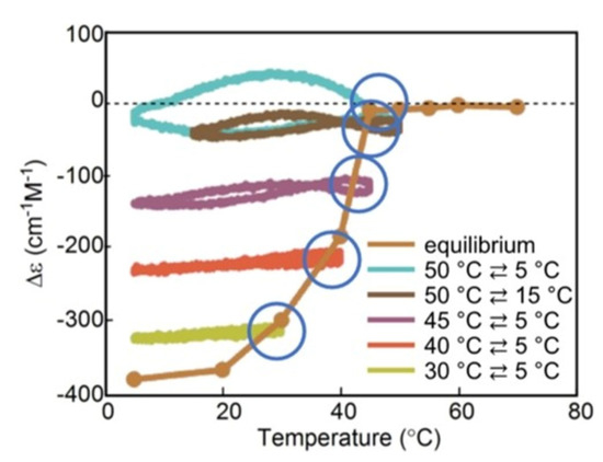
B1(A) versus the temperature oscillation. Equilibrium at high temperatures is achieved owing to the equilibrium overlapping and provides the stable concentration oscillation SD-1. The stable nature is confirmed by the appearance of the same cycles in the Δε/time profile, in which a square temperature oscillation between 60 and 5 °C is provided (Figure 9b). When the rate of temperature change is increased to 1.0 K min−1, Δε reached at −5 °C increases, and equilibrium intersecting occurs during heating (Figure 9a, orange line and red circle).5. Unstable Concentration Oscillations with Amplify Hysteresis Involving a Single Self-Catalytic Reaction
5.1. Stable Concentration Oscillations Involving Equilibrium Overlapping
B(S) involving a single self-catalytic reaction 2A(S) + B(S)→2B(S) are discussed in Section 5.1, in which homo-double-helix B(S) with the strong positive Δε at 320 nm and random-coil 2A(S) with the negative Δε are interconverted [53]. Behavior of stable concentration oscillations of (P)-2 is complex compared to SD-1 and SD-2 of (M)-1 shown in Section 4. A transformation from an unstable concentration oscillation to a stable one, that from UAN-1 to SAN-2, is also described at different concentrations and temperature ranges.5.2. Transformations from Unstable Concentration Oscillations to Stable Ones
5.3. Effect of Temperature Change Rate
5.4. Higher Order Stable Concentration Oscillation
5.5. Domains of Self-Catalytic Reaction of (P)-2
6. Unstable Concentration Oscillations with Amplify Hysteresis Involving Two Competitive Self-Catalytic Reactions
B(A) and 2A(A)
C(A) involving two competitive self-catalytic reactions 2A(A) + B(A)→2B(A) and 2A(A) + C(A)→2C(A). Mixtures of aminomethylene (P)- and (M)-oligomers form random-coil 2A(A) at high temperatures and hetero-double helices B(A) and C(A) at low temperatures with the enantiomeric helical senses [56,57]. Unstable concentration oscillations and their transformations into stable concentration oscillations are described by Δε/time and Δε/temperature profiles, in which Δε is proportional to [B(A)] − [C(A)] (Section 3.4). The property of concentration oscillations varies by oligomer structures, which include the numbers of the helicene unit and the functional groups at the terminal positions. Section 6.1 describes a combination of (M)–pentamer (M)-4 and (P)–tetramer (P)-3-C16 with the C16 terminal groups; Section 6.2 describes a combination of (P)–tetramer (P)-3 and (M)–hexamer (M)-5.6.1. Unstable Concentration Oscillations Involving Equilibrium Touching
6.1.1. Transformation from Unstable Concentration Oscillations to Stable Ones
6.1.2. Convergence of Different Unstable Concentration Oscillations to a Single Stable Concentration Oscillation
6.1.3. Equilibrium Touching
6.1.4. Domains of Self-Catalytic Reactions of (P)-3-C16/(M)-4
6.2. Unstable Concentration Oscillations Involving Equilibrium Sliding
B3(E) and 2A3(A)
C3(A) with competitive 2A3(A) + B3(A)→2B3(A) and 2A3(A) + C3(A)→2C3(A), which form hetero-double-helices B3(A) and C3(A) with the enantiomeric senses exhibiting the negative and positive Δε at 315 nm, respectively [58]. Note that C3(A) is thermodynamically more stable than B3(A), which is in contrast to (P)-3-C16/(M)-4, in which B2(A) is thermodynamically more stable than C2(A). Equilibrium sliding occurs by (P)–3/(M)–5, and cooling and heating curves in unstable concentration oscillations repeatedly intersect the equilibrium curves owing to 2A3(A) + C3(A)→2C3(A) along the equilibrium curves (Figure 5). Additionally, a stable concentration oscillation occurs without contact with the equilibrium curve, which is transformed to an unstable concentration oscillation and eventually to another stable concentration oscillation.6.2.1. Unstable Concentration Oscillations under Different Temperature Change Rates
6.2.2. Unstable Concentration Oscillations under Different Temperature Ranges
6.2.3. Domains of self-catalytic reactions of (P)-3/(M)-5
6.2.4. Mechanism of Doubled-Frequency Concentration Oscillations
6.2.5. Comparison of Unstable Concentration Oscillations of (P)-3-C16/(M)-4 and (P)-3/(M)-5
7. Concentration Oscillations in Aqueous Solutions
B(E) in water/THF is switched between stable and unstable concentration oscillations, which are induced by a small change in water content.
B(E) does not occur in THF, which shows a critical role of water in the formation of B(E) inducing strong hydrophobic interactions. The formation of B(E) at a low concentration of 0.01 mM in water/THF is consistent with the presence of the interpretations, which is in contrast to high concentrations above 0.2 mM required in organic solvents, as described in Section 4, Section 5 and Section 6. This is a molecular event dispersed in solution as determined by DLS, and aggregation of B(E) is minimal.
B(E) by a small change in the water content from 30 to 33%. A possible explanation of this switching phenomenon can be provided by a structural change of the aqueous solvents between 30 and 33% water content, which affects the interactions between water molecules and then the interactions between TEG groups and water molecules. Reversibility of the switching phenomenon is determined by different experiments [57]. Concentration oscillations induced by temperature oscillations can be used to sense environmental changes by reactions.8. Conclusions
Author Contributions
Funding
Conflicts of Interest
References
- Available online: https://dictionary.cambridge.org/dictionary/english/oscillation (accessed on 4 December 2022).
- Feynman, R.P.; Leighton, R.B.; Sands, M. The Feynman Lectures on Physics; Addison Wesley: Boston, MA, USA, 1989. [Google Scholar]
- Howard, G. The Physics of Waves; Prentice Hall: Hoboken, NJ, USA, 1993. [Google Scholar]
- Shirasawa, K.; Esumi, T.; Itai, A.; Isobe, S. Cherry Blossom Forecast Based on Transcriptome of Floral Organs Approaching Blooming in the Flowering Cherry (Cerasus × yedoensis) Cultivar ‘Somei-Yoshino’. Front. Plant Sci. 2002, 13, 802203. [Google Scholar] [CrossRef] [PubMed]
- Kudoh, H. Molecular Phenology in Plants: In Natura Systems Biology for the Comprehensive Understanding of Seasonal Responses under Natural Environments. New Phytol. 2016, 210, 399–412. [Google Scholar] [CrossRef] [PubMed]
- Buhr, E.D.; Yoo, S.-H.; Takahashi, J.S. Temperature as a Universal Resetting Cue for Mammalian Circadian Oscillators. Science 2010, 330, 379–385. [Google Scholar] [CrossRef] [PubMed]
- Gibo, S.; Kurosawa, G. Non-sinusoidal Waveform in Temperature-Compensated Circadian Oscillations. Biophys. J. 2019, 116, 741–751. [Google Scholar] [CrossRef]
- Kidd, P.B.; Young, M.W.; Siggia, E.D. Temperature Compensation and Temperature Censation in the Circadian Clock. Proc. Natl. Acad. Sci. USA 2015, 112, E6284–E6292. [Google Scholar] [CrossRef]
- Xie, Y.; Tang, Q.; Chen, G.; Xie, M.; Yu, S.; Zhao, J.; Chen, L. New Insights into the Circadian Rhythm and Its Related Diseases. Front. Physiol. 2019, 10, 682. [Google Scholar] [CrossRef]
- Zhang, S.; Bao, M.; Yamaguchi, M. Thermal Input/Concentration Output Systems Processed by Chemical Reactions of Helicene Oligomers. Reactions 2022, 3, 89–117. [Google Scholar] [CrossRef]
- Frank, S.A. Input-output relations in biological systems: Measurement, information and the Hill equation. Biol. Direct. 2013, 8, 31. [Google Scholar] [CrossRef]
- Nicolis, G.; Portnow, J. Chemical Oscillations. Chem. Rev. 1973, 73, 365–384. [Google Scholar] [CrossRef]
- Cassani, A.; Monteverde, A.; Piumetti, M. Belousov-Zhabotinsky Type Reactions: The Non-linear Behavior of Chemical Cystems. J. Math. Chem. 2021, 59, 792–826. [Google Scholar] [CrossRef]
- Gurel, O.; Gurel, D. Types of Oscillations in Chemical Reactions; Topics in Current Chemistry; Springer: Berlin/Heidelberg, Germany, 1983; p. 118. [Google Scholar]
- Gray, P. Instabilities and Oscillations in Chemical Reactions in Closed and Open Systems. Proc. R. Soc. Lond. A 1988, 415, 1–34. [Google Scholar]
- Available online: https://dictionary.cambridge.org/dictionary/english/waveform (accessed on 4 December 2022).
- Yu, K.; Yang, J.; Zuo, Y.Y. Droplet Oscillation as an Arbitrary Waveform Generator. Langmuir 2018, 34, 7042–7047. [Google Scholar] [CrossRef] [PubMed]
- Available online: https://www.britannica.com/science/phase-mechanics (accessed on 4 December 2022).
- Available online: https://www.merriam-webster.com/dictionary/periodic (accessed on 23 October 2022).
- Arisawa, M.; Iwamoto, R.; Yamaguchi, M. Unstable and Stable Thermal Hysteresis under Thermal Triangle Waves. Chem. Select 2021, 6, 4461–4465. [Google Scholar] [CrossRef]
- Fontanela, F.; Grolet, A.; Salles, L.; Hoffmann, N. Computation of Quasi-periodic Localised Vibrations in Nonlinear Cyclic and Symmetric Structures Using Harmonic Balance Methods. J. Sound Vibrat. 2019, 438, 54–65. [Google Scholar] [CrossRef]
- Martin, N.; Mailhes, C. About Periodicity and Signal to Noise Ratio—The Strength of the Autocorrelation Function. CM 2010—MFPT 2010—7th International Conference on Condition Monitoring and Machinery Failure Prevention Technologies, 2010, Stratford-upon-Avon, United Kingdom. pp.n.c. ffhal-00449085. Available online: https://hal.archives-ouvertes.fr/hal-00449085/document (accessed on 4 December 2022).
- Atkins, P.; de Paula, J. Physical Chemistry, 10th ed.; Oxford University Press: Oxford, UK, 2014. [Google Scholar]
- Gill, P.; Moghadam, T.T.; Ranjbar, B. Differential Scanning Calorimetry Techniques: Applications in Biology and Nanoscience. J. Biomol. Tech. 2010, 21, 167–193. [Google Scholar] [PubMed]
- Flynn, J.H.; Wall, L.A. General Treatment of the Thermogravimetry of Polymers. J. Res. Natl. Bur. Stand. A. Phys. Chem. 1966, 70A, 487–523. [Google Scholar] [CrossRef] [PubMed]
- Woods, B.P.; Hoye, T.R. Differential Scanning Calorimetry (DSC) as a Tool for Probing the Reactivity of Polyynes Relevant to Hexadehydro-Diels−Alder (HDDA) Cascades. Org. Lett. 2014, 16, 6370–6373. [Google Scholar] [CrossRef]
- Vyazovkin, S.; Wight, C.A. Isothermal and Nonisothermal Reaction Kinetics in Solids: In Search of Ways toward Consensus. J. Phys. Chem. A 1997, 101, 8279–8284. [Google Scholar] [CrossRef]
- Lyon, R.E. An Integral Method of Nonisothermal Kinetic Analysis. Thermochim. Acta 1997, 297, 117–124. [Google Scholar] [CrossRef]
- Yamaguchi, M. Thermal Hysteresis Involving Reversible Self-Catalytic Reactions. Acc. Chem. Res. 2021, 54, 2603–2613. [Google Scholar] [CrossRef] [PubMed]
- Roduner, E.; Radhakrishnan, S.G. In Command of Non-equilibrium. Chem. Soc. Rev. 2016, 45, 2768–2784. [Google Scholar] [CrossRef] [PubMed]
- Sawato, T.; Yamaguchi, M. Synthetic Chemical Systems Involving Self-Catalytic Reactions of Helicene Oligomer Foldamers. ChemPlusChem 2020, 85, 2017–2038. [Google Scholar] [CrossRef] [PubMed]
- Shigeno, M.; Kushida, Y.; Yamaguchi, M. Molecular Switching Involving Metastable States: Molecular Thermal Hysteresis and Sensing of Environmental Changes by Chiral Helicene Oligomeric Foldamers. Chem. Commun. 2016, 52, 4955–4970. [Google Scholar] [CrossRef] [PubMed]
- Shigeno, M.; Kushida, Y.; Yamaguchi, M. Energy Aspects of Thermal Molecular Switching: Molecular Thermal Hysteresis of Helicene Oligomers. Chem. Phys. Chem. 2015, 16, 2076–2083. [Google Scholar] [CrossRef]
- Sawato, T.; Saito, N.; Yamaguchi, M. Chemical Systems Involving Two Competitive Self-catalytic Reactions. ACS Omega 2019, 4, 5879–5899. [Google Scholar] [CrossRef]
- Shigeno, M.; Sato, M.; Kushida, Y.; Yamaguchi, M. Aminomethylenehelicene Oligomers Possessing Flexible Two-Atom Linker Form Stimuli-responding Double-helix in Solution. Asian J. Org. Chem. 2014, 3, 797–804. [Google Scholar] [CrossRef]
- Mergny, J.-L.; Lacroix, L. Analysis of Thermal Melting Curves. Oligonucleotides 2003, 13, 515–537. [Google Scholar] [CrossRef]
- Hennecker, C.D.; Lachance-Brais, C.; Sleiman, H.; Mittermaier, A. Using Transient Equilibria (TREQ) to Measure the Thermodynamics of Slowly Assembling Supramolecular Systems. Sci. Adv. 2022, 8, eabm8455. [Google Scholar] [CrossRef]
- Miyagawa, M.; Yagi, A.; Shigeno, M.; Yamaguchi, M. Equilibrium Crossing Exhibited by an Ethynylhelicene (M)-Nonamer during Random-coil-to-double-helix Thermal Transition in Solution. Chem. Commun. 2014, 50, 14447–14450. [Google Scholar] [CrossRef]
- Sotomayor, F.J.; Cychosz, K.A.; Thommes, M. Characterization of Micro/Mesoporous Materials by Physisorption: Concepts and Case Studies. Acc. Mater. Surf. Res. 2018, 3, 34–50. [Google Scholar]
- Lapshin, R.V. An Improved Parametric Model for Hysteresis Loop Approximation. Rev. Sci. Instrum. 2020, 91, 065106. [Google Scholar] [CrossRef] [PubMed]
- Alberty, R.A. Principle of Detailed Balance in Kinetics. J. Chem. Educ. 2004, 81, 1206–1209. [Google Scholar] [CrossRef]
- Available online: https://www.britannica.com/science/resonance-vibration (accessed on 23 October 2022).
- Available online: https://www.merriam-webster.com/dictionary/resonance (accessed on 4 December 2022).
- Robinett III, R.D.; Wilson, D.G. What is a limit cycle? Int. J. Control 2008, 81, 1886–1900. [Google Scholar] [CrossRef]
- Sawato, T.; Iwamoto, R.; Yamaguchi, M. Figure-eight Thermal Hysteresis of Aminomethylenehelicene Oligomers with Terminal C16 Alkyl Groups during Hetero-double-helix Formation. Chem. Sci. 2020, 11, 3290–3300. [Google Scholar] [CrossRef] [PubMed]
- Shen, Y.; Chen, C.-F. Helicenes: Synthesis and Applications. Chem. Rev. 2012, 112, 1463–1535. [Google Scholar] [CrossRef]
- Gingras, M. One Hundred Years of Helicene Chemistry. Part 1: Non-stereoselective Syntheses of Carbohelicenes. Chem. Soc. Rev. 2013, 42, 968–1006. [Google Scholar] [CrossRef]
- Gingras, M.; Félix, G.; Peresutti, R. One Hundred Years of Helicene Chemistry. Part 2: Stereoselective Syntheses and Chiral Separations of Carbohelicenes. Chem. Soc. Rev. 2013, 42, 1007–1050. [Google Scholar] [CrossRef]
- Gingras, M. One Hundred Years of Helicene Chemistry. Part 3: Applications and Properties of Carbohelicenes. Chem. Soc. Rev. 2013, 42, 1051–1095. [Google Scholar] [CrossRef]
- Crassous, J.; Stara, I.; Stary, I. (Eds.) Helicenes: Synthesis, Properties, and Applications; Wiley-VCH: Weinheim, Germany, 2022. [Google Scholar]
- Zhao, L.; Kaiser, R.I.; Xu, B.; Ablikim, U.; Lu, W.; Ahmed, M.; Evseev, M.M.; Bashkirov, E.K.; Azyazov, V.N.; Zagidullin, M.V.; et al. Gas Phase Synthesis of [4]-Helicene. Nat. Commun. 2019, 10, 1510. [Google Scholar] [CrossRef]
- Matxain, J.M.; Ugalde, J.M.; Mujica, V.; Allec, S.I.; Wong, B.M.; Casanova, D. Chirality Induced Spin Selectivity of Photoexcited Electrons in Carbon-Sulfur [n]Helicenes. ChemPhotoChem 2019, 3, 770–777. [Google Scholar] [CrossRef]
- Shigeno, M.; Kushida, Y.; Yamaguchi, M. Molecular Thermal Hysteresis in Helix-Dimer Formation of Sulfonamidohelicene Oligomers in Solution. Chem. Eur. J. 2013, 19, 10226–10234. [Google Scholar] [CrossRef] [PubMed]
- Kushida, Y.; Shigeno, M.; Yamaguchi, M. Concentration Threshold and Amplification Exhibited by a Helicene Oligomer during Helix-Dimer Formation: A Proposal on How a Cell Senses Concentration Changes of a Chemical. Chem. Eur. J. 2015, 21, 13788–13792. [Google Scholar] [CrossRef] [PubMed]
- Shigeno, M.; Kushida, Y.; Kobayashi, Y.; Yamaguchi, M. Molecular Function of Counting the Numbers 1 and 2 Exhibited by a Sulfoneamidohelicene Tetramer. Chem. Eur. J. 2014, 20, 12759–12762. [Google Scholar] [CrossRef] [PubMed]
- Shigeno, M.; Kushida, Y.; Yamaguchi, M. Heating/Cooling Stimulus Induces Three-state Molecular Switching of Pseudoenantiomeric Aminomethylenehelicene Oligomers: Reversible Nonequilibrium Thermodynamic Processes. J. Am. Chem. Soc. 2014, 136, 7972–7980. [Google Scholar] [CrossRef] [PubMed]
- Kushida, Y.; Saito, N.; Shigeno, M.; Yamaguchi, M. Multiple Competing Pathways for Chemical Reaction: Drastic Reaction Shortcut for the Self-catalytic Double-helix Formation of Helicene Oligomers. Chem. Sci. 2017, 8, 1414–1421. [Google Scholar] [CrossRef]
- Sawato, T.; Shinozaki, Y.; Saito, N.; Yamaguchi, M. Chemical CD Oscillation and Chemical Resonance Phenomena in a Competitive Self-catalytic Reaction System: A Single Temperature Oscillation Induces CD Oscillations Twice. Chem. Sci. 2019, 10, 1735–1740. [Google Scholar] [CrossRef]
- Sawato, T.; Yuzawa, R.; Kobayashi, H.; Saito, N.; Yamaguchi, M. Formation and Dissociation of Synthetic Hetero-double-helix Complex in Aqueous Solutions: Significant Effect of Water Content on Dynamics of Structural Change. RSC Adv. 2019, 9, 29456–29462. [Google Scholar] [CrossRef]





























| Stable/Unstable Concentration Oscillations | Waveform | Hysteresis | Symbol |
|---|---|---|---|
| Stable concentration oscillations | |||
| under equilibrium | |||
| sinusoidal | ––––– | SE-1 | |
| triangle | ––––– | SE-2 | |
| with delay hysteresis | |||
| normal | normal | SD-1 | |
| sinusoidal | oval | SD-2 | |
| with amplify hysteresis involving equilibrium overlapping | |||
| sinusoidal | semi-normal | SAO-1 | |
| retarded | inflation | SAO-2 | |
| retarded | inflation | SAO-3 | |
| (equilibrium crossing) | |||
| frequency-doubled | figure-eight | SAO-4 | |
| with amplify hysteresis involving equilibrium intersecting | |||
| sinusoidal | semi-normal | SAI-1 | |
| retarded | inflation | SAI-2 | |
| frequency-doubled | figure-eight | SAI-3 | |
| sinusoidal | long oval | SAI-4 | |
| (equilibrium touching) | |||
| with amplify hysteresis involving equilibrium noncontact | |||
| retarded | inflation | SAN-1 | |
| sinusoidal | oval | SAN-2 | |
| Unstable concentration oscillations | |||
| with amplify hysteresis involving equilibrium noncontact | |||
| wrinkled | zigzag | UAN-1 | |
| gradient sinusoidal | loop | UAN-2 | |
| gradient retarded | swing | UAN-3 | |
| with amplify hysteresis involving equilibrium intersecting (equilibrium sliding) | |||
| wrinkled | zigzag | UAI-1 | |
| gradient frequency-doubled | twisted loop | UAI-2 | |
Disclaimer/Publisher’s Note: The statements, opinions and data contained in all publications are solely those of the individual author(s) and contributor(s) and not of MDPI and/or the editor(s). MDPI and/or the editor(s) disclaim responsibility for any injury to people or property resulting from any ideas, methods, instructions or products referred to in the content. |
© 2022 by the authors. Licensee MDPI, Basel, Switzerland. This article is an open access article distributed under the terms and conditions of the Creative Commons Attribution (CC BY) license (https://creativecommons.org/licenses/by/4.0/).
Share and Cite
Zhang, S.; Bao, M.; Arisawa, M.; Yamaguchi, M. Stable and Unstable Concentration Oscillations Induced by Temperature Oscillations on Reversible Nonequilibrium Chemical Reactions of Helicene Oligomers. Int. J. Mol. Sci. 2023, 24, 693. https://doi.org/10.3390/ijms24010693
Zhang S, Bao M, Arisawa M, Yamaguchi M. Stable and Unstable Concentration Oscillations Induced by Temperature Oscillations on Reversible Nonequilibrium Chemical Reactions of Helicene Oligomers. International Journal of Molecular Sciences. 2023; 24(1):693. https://doi.org/10.3390/ijms24010693
Chicago/Turabian StyleZhang, Sheng, Ming Bao, Mieko Arisawa, and Masahiko Yamaguchi. 2023. "Stable and Unstable Concentration Oscillations Induced by Temperature Oscillations on Reversible Nonequilibrium Chemical Reactions of Helicene Oligomers" International Journal of Molecular Sciences 24, no. 1: 693. https://doi.org/10.3390/ijms24010693
APA StyleZhang, S., Bao, M., Arisawa, M., & Yamaguchi, M. (2023). Stable and Unstable Concentration Oscillations Induced by Temperature Oscillations on Reversible Nonequilibrium Chemical Reactions of Helicene Oligomers. International Journal of Molecular Sciences, 24(1), 693. https://doi.org/10.3390/ijms24010693

