Current State of Computational Modeling of Nanohelicenes
Abstract
1. Introduction
2. Theoretical Consideration of Molecular Helicenes and Their Properties
3. Nomenclature of Nanohelicenes
- (1)
- the type of termination (zz and ac);
- (2)
- the angle of rotation between them (h for 60°, t for 120°, and r in the alternating case);
- (3)
- the centering in different Wyckoff positions (the presence of an axis of sixth, third, and second orders).
4. Current State of Experimental Possibilities for the Synthesis of Nano-Helicenes
5. Theoretical Consideration of Nanohelicenes with a Fixed Helical Axis Order
5.1. Molecular Dynamics
5.2. DFTB and DFT
6. Theoretical Consideration of Nanohelicenes in the Paradigm of Helical Periodicity
6.1. Line Group Symmetry
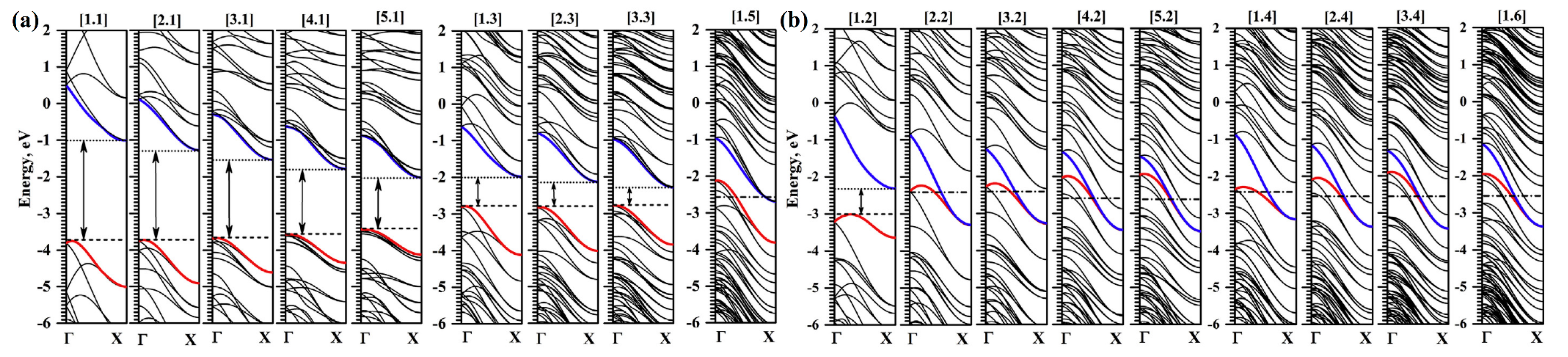
6.2. Helical Periodicity of Nanohelicenes: DFT Studies
- (i)
- highly symmetrical diamagnetic metallic;
- (ii)
- diamagnetic semiconductor (Peierls MIT) with halved symmetry;
- (iii)
- antiferromagnetic semiconductor (Mott-Hubbard MIT) with halved symmetry;
- (iv)
- highly symmetrical ferromagnetic metallic.
7. Conclusions and Future Prospects
Author Contributions
Funding
Data Availability Statement
Acknowledgments
Conflicts of Interest
References
- Nakano, T.; Okamoto, Y. Synthetic Helical Polymers: Conformation and Function. Chem. Rev. 2001, 101, 4013–4038. [Google Scholar] [CrossRef]
- Yashima, E.; Maeda, K.; Iida, H.; Furusho, Y.; Nagai, K. Helical Polymers: Synthesis, Structures, and Functions. Chem. Rev. 2009, 109, 6102–6211. [Google Scholar] [CrossRef] [PubMed]
- Yashima, E.; Ousaka, N.; Taura, D.; Shimomura, K.; Ikai, T.; Maeda, K. Supramolecular Helical Systems: Helical Assemblies of Small Molecules, Foldamers, and Polymers with Chiral Amplification and Their Functions. Chem. Rev. 2016, 116, 13752–13990. [Google Scholar] [CrossRef] [PubMed]
- Wang, S.; Hu, D.; Guan, X.; Cai, S.; Shi, G.; Shuai, Z.; Zhang, J.; Peng, Q.; Wan, X. Brightening up Circularly Polarized Luminescence of Monosubstituted Polyacetylene by Conformation Control: Mechanism, Switching, and Sensing. Angew. Chem. Int. Ed. 2021, 60, 21918–21926. [Google Scholar] [CrossRef]
- Wang, P.; Jeon, I.; Lin, Z.; Peeks, M.D.; Savagatrup, S.; Kooi, S.E.; van Voorhis, T.; Swager, T.M. Insights into Magneto-Optics of Helical Conjugated Polymers. J. Am. Chem. Soc. 2018, 140, 6501–6508. [Google Scholar] [CrossRef]
- Huang, C.-B.; Ciesielski, A.; Samorì, P. Molecular Springs: Integration of Complex Dynamic Architectures into Functional Devices. Angew. Chem. Int. Ed. 2020, 59, 7319–7330. [Google Scholar] [CrossRef]
- Fransson, J. The Chiral Induced Spin Selectivity Effect What It Is, What It Is Not, and Why It Matters. Isr. J. Chem. 2022, 62, e2022000. [Google Scholar] [CrossRef]
- Ren, Z.; Gao, P.-X. A review of helical nanostructures: Growth theories, synthesis strategies and properties. Nanoscale 2014, 6, 9366–9400. [Google Scholar] [CrossRef]
- Wang, Y.; Xu, J.; Wang, Y.; Chen, H. Emerging chirality in nanoscience. Chem. Soc. Rev. 2013, 42, 2930–2962. [Google Scholar] [CrossRef]
- Nespolo, M.; Benahsene, A.H. Symmetry and chirality in crystals. J. Appl. Cryst. 2021, 54, 1594–1599. [Google Scholar] [CrossRef]
- Londoño-Calderon, A.; Williams, D.J.; Schneider, M.M.; Savitzky, B.H.; Ophus, C.; Ma, S.; Zhu, H.; Pettes, M.T. Intrinsic helical twist and chirality in ultrathin tellurium nanowires. Nanoscale 2021, 13, 9606–9614. [Google Scholar] [CrossRef] [PubMed]
- Porsev, V.V.; Bandura, A.V.; Lukyanov, S.I.; Evarestov, R.A. Expanded hexagonal nanohelicenes of zigzag morphology under elastic strain: A quantum chemical study. Carbon 2019, 152, 755–765. [Google Scholar] [CrossRef]
- Gingras, M. One hundred years of helicene chemistry. Part 1: Non-stereoselective syntheses of carbohelicenes. Chem. Soc. Rev. 2013, 42, 968–1006. [Google Scholar] [CrossRef]
- Tay, R.Y.; Park, H.J.; Lin, J.; Ng, Z.K.; Jing, L.; Li, H.; Zhu, M.; Tsang, S.H.; Lee, Z.; Teo, E.H.T. Concentric and Spiral Few-Layer Graphene: Growth Driven by Interfacial Nucleation vs Screw Dislocation. Chem. Mater. 2018, 30, 6858–6866. [Google Scholar] [CrossRef]
- Sun, H.; Kong, X.; Park, H.; Liu, F.; Lee, Z.; Ding, F. Spiral Growth of Adlayer Graphene. Adv. Mater. 2022, 34, 2107587. [Google Scholar] [CrossRef]
- Avdoshenko, S.M.; Koskinen, P.; Sevinçli, H.; Popov, A.A.; Rocha, C.G. Topological Signatures in the Electronic Structure of Graphene Spirals. Sci. Rep. 2013, 3, 1632. [Google Scholar] [CrossRef]
- Zhan, H.; Zhang, Y.; Yang, C.; Zhang, G.; Gu, Y. Graphene helicoid as novel nanospring. Carbon 2017, 120, 258–264. [Google Scholar] [CrossRef]
- Liu, R.; Zhao, J.; Wang, L.; Wei, N. Nonlinear vibrations of helical graphene resonators in the dynamic nano-indentation testing. Nanotechnology 2020, 31, 025709. [Google Scholar] [CrossRef] [PubMed]
- Zhu, C.; Ji, J.; Zhang, Z.; Dong, S.; Wei, N.; Zhao, J. Huge stretchability and reversibility of helical graphenes using molecular dynamics simulations and simplified theoretical models. Mech. Mater. 2021, 153, 103683. [Google Scholar] [CrossRef]
- Atanasov, V.; Saxena, A. Helicoidal graphene nanoribbons: Chiraltronics. Phys. Rev. B 2015, 92, 035440. [Google Scholar] [CrossRef]
- Newman, M.S.; Lednicer, D. The Synthesis and Resolution of Hexahelicene. J. Am. Chem. Soc. 1956, 78, 4765–4770. [Google Scholar] [CrossRef]
- Flammand-Barbieux, M.; Nasielski, J.; Martin, R.H. Synthesis of heptahelicene (1) benzo[c]phenanthro[4,3-g]phenanthrene. Tetrahedron Lett. 1967, 7, 743–744. [Google Scholar] [CrossRef]
- Mori, K.; Murase, T.; Fujita, M. One-Step Synthesis of [16]Helicene. Angew. Chem. Int. Ed. 2015, 127, 6951–6955. [Google Scholar] [CrossRef]
- Oña-Ruales, J.O.; Ruiz-Morales, Y.; Alvarez-Ramírez, F. The Helicenes: Potential Carriers of Diffuse Interstellar Bands. ACS Earth Space Chem. 2021, 5, 381–390. [Google Scholar] [CrossRef]
- Sabirov, D.S.; Tukhbatullina, A.A.; Shepelevich, I.S. Polarizability in Astrochemical Studies of Complex Carbon-Based Compounds. ACS Earth Space Chem. 2022, 6, 1–17. [Google Scholar] [CrossRef]
- Sabirov, D.S.; Ori, O.; Tukhbatullina, A.A.; Shepelevich, I.S. Structural Descriptors of Benzenoid Hydrocarbons: A Mismatch between the Estimates and Parity Effects in Helicenes. C 2022, 8, 42. [Google Scholar] [CrossRef]
- Lukmanov, T.; Akhmetov, A.G.; Sabirov, D.S. Polarizability of Kekulene, Septulene, and Nearest Non-Planar Polycyclic Aromatic Hydrocarbons. C 2022, 8, 61. [Google Scholar] [CrossRef]
- Pischel, I.; Grimme, S.; Kotila, S.; Nieger, M.; Vögtle, F. A configurationally stable pyrrolohelicene: Experimental and theoretical structure-chiroptic relationships. Tetrahedron Asymmetry 1996, 7, 109–116. [Google Scholar] [CrossRef]
- Buss, V.; Kolster, K. Electronic structure calculations on helicenes. Concerning the chirality of helically twisted aromatic systems. Chem. Phys. 1996, 203, 309–316. [Google Scholar] [CrossRef]
- Grimme, S.; Peyerimhoff, S.D. Theoretical study of the structures and racemization barriers of [n]helicenes (n = 3–6, 8). Chem. Phys. 1996, 204, 411–417. [Google Scholar] [CrossRef]
- Schulman, J.M.; Disch, R.L. Aromatic Character of [n]Helicenes and [n]Phenacenes. J. Phys. Chem. A 1999, 103, 6669–6672. [Google Scholar] [CrossRef]
- Rulíšek, L.; Exner, O.; Cwiklik, L.; Jungwirth, P.; Starý, I.; Pospíšil, L.; Havlas, Z. On the Convergence of the Physicochemical Properties of [n]Helicenes. J. Phys. Chem. C 2007, 111, 14948–14955. [Google Scholar] [CrossRef]
- Grimme, S. Semiempirical GGA-type density functional constructed with a long-range dispersion correction. J. Comput. Chem. 2004, 25, 1463–1473. [Google Scholar] [CrossRef]
- Klamt, A.; Schuurmann, G.J. COSMO: A new approach to dielectric screening in solvents with explicit expressions for the screening energy and its gradient. Chem. Soc. Perkin Trans. 2 1993, 799–805. [Google Scholar] [CrossRef]
- Nishide, T.; Hayashi, S. Intrinsic Dynamic and Static Nature of π…π Interactions in Fused Benzene-Type Helicenes and Dimers, Elucidated with QTAIM Dual Functional Analysis. Nanomaterials 2022, 12, 321. [Google Scholar] [CrossRef]
- Jalaie, M.; Weatherhead, S.; Lipkowitz, K.B.; Robertson, D. Modulating force constants in molecular springs. Electron. J. Theor. Chem. 1997, 2, 268–272. [Google Scholar] [CrossRef]
- Šesták, P.; Wu, J.; He, J.; Pokluda, J.; Zhang, J. Extraordinary deformation capacity of smallest carbohelicene springs. Phys. Chem. Chem. Phys. 2015, 17, 18684–18690. [Google Scholar] [CrossRef]
- Tian, Y.-H.; Park, G.; Kertesz, M. Electronic Structure of Helicenes, C2S Helicenes, and Thiaheterohelicenes. Chem. Mater. 2008, 20, 3266–3277. [Google Scholar] [CrossRef]
- Treboux, G.; Lapstun, P.; Wu, Z.; Silverbrook, K. Electronic conductance of helicenes. Chem. Phys. Lett. 1999, 301, 493–497. [Google Scholar] [CrossRef]
- Wang, L.; Warburton, P.L.; Szekeres, Z.; Surjan, P.; Mezey, P.G. Stability and Properties of Polyhelicenes and Annelated Fused-Ring Carbon Helices: Models Toward Helical Graphites. J. Chem. Inf. Model. 2005, 45, 850–855. [Google Scholar] [CrossRef]
- Botek, E.; Champagne, B.; Turki, M.; André, J.-M. Theoretical study of the second-order nonlinear optical properties of [N]helicenes and [N]phenylenes. J. Chem. Phys. 2004, 120, 2042–2048. [Google Scholar] [CrossRef] [PubMed]
- He, Y.-Y.; Chen, J.; Zheng, X.-L.; Xu, X.; Li, W.-Q.; Yang, L.; Tian, W.Q. Spiral Graphene Nanoribbons with Azulene Defects as Potential Nonlinear Optical Materials. ACS Appl. Nano Mater. 2019, 2, 1648–1654. [Google Scholar] [CrossRef]
- Champagne, B. Helicenes and Nonlinear Optical Properties: A Good Match?. In Helicenes: Synthesis, Properties, and Applications; Crassous, J., Stará, I.G., Starý, I., Eds.; Wiley-VCH GmbH: Weinheim, Germany, 2022. [Google Scholar]
- Vacek, J.; Chocholoušová, J.V.; Stará, I.G.; Starý, I.; Dubi, Y. Mechanical tuning of conductance and thermopower in helicene molecular junctions. Nanoscale 2015, 7, 8793–8802. [Google Scholar] [CrossRef] [PubMed]
- Guo, Y.-D.; Yan, X.-H.; Xiao, Y.; Liu, C.-S. U-shaped relationship between current and pitch in helicene molecules. Sci. Rep. 2015, 5, 16731. [Google Scholar] [CrossRef] [PubMed]
- Xu, X.; Li, W.; Zhou, X.; Wang, Q.; Feng, J.; Tian, W.Q.; Jiang, Y. Theoretical study of electron tunneling through the spiral molecule junctions along spiral paths. Phys. Chem. Chem. Phys. 2016, 18, 3765–3771. [Google Scholar] [CrossRef]
- Šmarhák, J.; Voves, J. Electronic transport properties of compressed and stretched helicene-graphene nanostructures, a theoretical study. Physica E 2022, 141, 115111. [Google Scholar] [CrossRef]
- Nakakuki, Y.; Hirose, T.; Matsuda, K. Theoretical Investigation on Electron Transport Capabilities of Helically Twisted Molecules Based on Decay Constants of Exchange Interaction. Chem. Lett. 2022, 51, 256–259. [Google Scholar] [CrossRef]
- Kiran, V.; Mathew, S.P.; Cohen, S.R.; Delgado, I.H.; Lacour, J.; Naaman, R. Helicenes—A New Class of Organic Spin Filter. Adv. Mater. 2016, 28, 1957–1962. [Google Scholar] [CrossRef]
- Dalum, S.; Hedegård, P. Theory of Chiral Induced Spin Selectivity. Nano Lett. 2019, 19, 5253–5259. [Google Scholar] [CrossRef]
- Pan, T.-R.; Guo, A.-M.; Sun, Q.-F. Spin-polarized electron transport through helicene molecular junctions. Phys. Rev. B 2016, 94, 235448. [Google Scholar] [CrossRef]
- Kettner, M.; Maslyuk, V.V.; Nürenberg, D.; Seibel, J.; Gutierrez, R.; Cuniberti, G.; Ernst, K.-H.; Zacharias, H. Chirality-Dependent Electron Spin Filtering by Molecular Monolayers of Helicenes. J. Phys. Chem. Lett. 2018, 9, 2025–2030. [Google Scholar] [CrossRef] [PubMed]
- Matxain, J.M.; Ugalde, J.M.; Mujica, V.; Allec, S.I.; Wong, B.M.; Casanova, D. Chirality Induced Spin Selectivity of Photoexcited Electrons in Carbon-Sulfur [n]Helicenes. ChemPhotoChem 2019, 3, 770–777. [Google Scholar] [CrossRef]
- Xu, X.; Tian, R.; Wang, Q.; Li, W.; Jiang, Y.; Zhou, X.; Zhang, G.; Liu, L.; Tian, W.Q. Spatial manipulating spin-polarization and tunneling patterns in graphene spirals via periphery structural modification. Carbon 2017, 113, 325–333. [Google Scholar] [CrossRef]
- Lieb, E.H. Two theorems on the Hubbard model. Phys. Rev. Lett. 1989, 62, 1201–1204. [Google Scholar] [CrossRef] [PubMed]
- Xu, F.; Yu, H.; Sadrzadeh, A.; Yakobson, B.I. Riemann Surfaces of Carbon as Graphene Nanosolenoids. Nano Lett. 2016, 16, 34–39. [Google Scholar] [CrossRef]
- Fernández-Rossier, J.; Palacios, J.J. Magnetism in Graphene Nanoislands. Phys. Rev. Lett. 2007, 99, 177204. [Google Scholar] [CrossRef]
- Wang, W.L.; Meng, S.; Kaxiras, E. Graphene NanoFlakes with Large Spin. Nano Lett. 2008, 8, 241–245. [Google Scholar] [CrossRef]
- Grujić, M.; Tadić, M.; Peeters, F.M. Antiferromagnetism in hexagonal graphene structures: Rings versus dots. Phys. Rev. B 2013, 87, 085434. [Google Scholar] [CrossRef]
- Aroyo, M.I.; Perez-Mato, J.M.; Capillas, C.; Kroumova, E.; Ivantchev, S.; Madariaga, G.; Kirov, A.; Wondratschek, H. Bilbao Crystallographic Server I: Databases and crystallographic computing programs. Z. Krist. 2006, 221, 15–27. [Google Scholar] [CrossRef]
- Evarestov, R.A. Theoretical Modeling of Inorganic Nanostructures. Symmetry and Ab Initio Calculations of Nanolayers, Nanotubes and Nanowires, 2nd ed.; NanoScience and Technology; Springer Nature: Cham, Switzerland, 2020. [Google Scholar] [CrossRef]
- Kiel, G.R.; Patel, S.C.; Smith, P.W.; Levine, D.S.; Tilley, T.D. Expanded helicenes: A general synthetic strategy and remarkable supramolecular and solid-state behavior. J. Am. Chem. Soc. 2017, 139, 18456–18459. [Google Scholar] [CrossRef]
- Daigle, M.; Miao, D.; Lucotti, A.; Tommasini, M.; Morin, J.-F. Helically Coiled Graphene Nanoribbons. Angew. Chem. Int. Ed. 2017, 56, 6213–6217. [Google Scholar] [CrossRef] [PubMed]
- Miao, D.; di Michele, V.; Gagnon, F.; Aumaître, C.; Lucotti, A.; del Zoppo, M.; Lirette, F.; Tommasini, M.; Morin, J.-F. Pyrrole-Embedded Linear and Helical Graphene Nanoribbons. J. Am. Chem. Soc. 2021, 143, 11302–11308. [Google Scholar] [CrossRef] [PubMed]
- Daigle, M.; Morin, J.-F. Helical Conjugated Ladder Polymers: Tuning the Conformation and Properties through Edge Design. Macromolecules 2017, 50, 9257–9264. [Google Scholar] [CrossRef]
- Nakakuki, Y.; Hirose, T.; Matsuda, K. Synthesis of a Helical Analogue of Kekulene: A Flexible π-Expanded Helicene with Large Helical Diameter Acting as a Soft Molecular Spring. J. Am. Chem. Soc. 2018, 140, 15461–15469. [Google Scholar] [CrossRef] [PubMed]
- Toya, M.; Omine, T.; Ishiwari, F.; Saeki, A.; Ito, H.; Itami, K. Expanded [2,1][n]Carbohelicenes with 15- and 17-Benzene Rings. J. Am. Chem. Soc. 2023, 145, 11553–11565. [Google Scholar] [CrossRef] [PubMed]
- Suárez-Pantiga, S.; Redero, P.; Aniban, X.; Simon, M.; Golz, C.; Mata, R.A.; Alcarazo, M. In-Fjord Substitution in Expanded Helicenes: Effects of the Insert on the Inversion Barrier and Helical Pitch. Chem. Eur. J. 2021, 27, 13358–13366. [Google Scholar] [CrossRef] [PubMed]
- Kiel, G.R.; Bergman, H.M.; Samkian, A.E.; Schuster, N.J.; Handford, R.C.; Rothenberger, A.J.; Gomez-Bombarelli, R.; Nuckolls, C.; Tilley, T.D. Expanded [23]-Helicene with Exceptional Chiroptical Properties via an Iterative Ring-Fusion Strategy. J. Am. Chem. Soc. 2022, 144, 23421–23427. [Google Scholar] [CrossRef]
- Laarhoven, W.H.; Nivard, R.J.F. Alternation of the conformation of helicenes by annelation of benzo groups. Tetrahedron 1976, 32, 2445–2450. [Google Scholar] [CrossRef]
- Nakakuki, Y.; Hirose, T.; Sotome, H.; Miyasaka, H.; Matsuda, K. Hexa-peri-hexabenzo[7]helicene: Homogeneously π-Extended Helicene as a Primary Substructure of Helically Twisted Chiral Graphenes. J. Am. Chem. Soc. 2018, 140, 4317–4326. [Google Scholar] [CrossRef]
- Nakakuki, Y.; Hirose, T.; Sotome, H.; Gao, M.; Shimizu, D.; Li, R.; Hasegawa, J.; Miyasaka, H.; Matsuda, K. Doubly linked chiral phenanthrene oligomers for homogeneously π-extended helicenes with large effective conjugation length. Nat. Comm. 2022, 13, 1475. [Google Scholar] [CrossRef]
- Fujise, K.; Tsurumaki, E.; Wakamatsu, K.; Toyota, S. Construction of Helical Structures with Multiple Fused Anthracenes: Structures and Properties of Long Expanded Helicenes. Chem. Eur. J. 2021, 27, 4548–4552. [Google Scholar] [CrossRef] [PubMed]
- Huo, G.-F.; Fukunaga, T.M.; Hou, X.; Han, Y.; Fan, W.; Wu, S.; Isobe, H.; Wu, J. Facile Synthesis and Chiral Resolution of Expanded Helicenes with up to 35 cata-Fused Benzene Rings. Angew. Chem. Int. Ed. 2023, 62, e202218090. [Google Scholar] [CrossRef] [PubMed]
- Cruz, C.M.; Castro-Fernández, S.; Maçôas, E.; Cuerva, J.M.; Campaña, A.G. Undecabenzo[7]superhelicene: A helical nanographene ribbon as CPL emitter. Angew. Chem. Int. Ed. 2018, 57, 14782–14786. [Google Scholar] [CrossRef] [PubMed]
- Stuart, S.J.; Tutein, A.B.; Harrison, J.A. A reactive potential for hydrocarbons with intermolecular interactions. J. Chem. Phys. 2000, 112, 6472–6486. [Google Scholar] [CrossRef]
- Korhonen, T.; Koskinen, P. Electromechanics of graphene spirals. AIP Adv. 2014, 4, 127125. [Google Scholar] [CrossRef]
- Zhan, H.; Zhang, G.; Yang, C.; Gu, Y. Breakdown of Hooke’s law at the nanoscale—2D material-based nanosprings. Nanoscale 2018, 10, 18961–18968. [Google Scholar] [CrossRef]
- Norouzi, S.; Fakhrabadi, M.M.S. Nanomechanical properties of single- and double-layer graphene spirals: A molecular dynamics simulation. Appl. Phys. A 2019, 125, 321. [Google Scholar] [CrossRef]
- Norouzi, S.; Kianfar, A.; Fakhrabadi, M.M.S. Multiscale simulation study of anisotropic nanomechanical properties of graphene spirals and their polymer nanocomposites. Mech. Mater. 2020, 145, 103376. [Google Scholar] [CrossRef]
- Zhu, C.; Liu, M.; Wei, N.; Zhao, J. Molecular dynamics study on mechanical properties of helical graphenes/epoxy nanocomposites. Comput. Mater. Sci. 2022, 209, 111408. [Google Scholar] [CrossRef]
- Zhan, H.; Zhang, G.; Yang, C.; Gu, Y. Graphene Helicoid: Distinct Properties Promote Application of Graphene Related Materials in Thermal Management. J. Phys. Chem. C 2018, 122, 7605–7612. [Google Scholar] [CrossRef]
- Sharifian, A.; Karbaschi, T.; Rajabpour, A.; Baghania, M.; Wud, J.; Baniassadi, M. Insights into thermal characteristics of spiral carbon-based nanomaterials: From heat transport mechanisms to tunable thermal diode behavior. Int. J. Heat Mass Transf. 2022, 189, 122719. [Google Scholar] [CrossRef]
- Li, H.; Afrouzi, H.H.; Zahra, M.M.A.; Bashar, B.S.; Fathdal, F.; Hadrawi, S.K.; Alizadeh, A.; Hekmatifar, M.; Al-Majdi, K.; Alhani, I. A comprehensive investigation of thermal conductivity in of monolayer graphene, helical graphene with different percentages of hydrogen atom: A molecular dynamics approach. Colloids Surf. A Physicochem. Eng. Asp. 2023, 656, 130324. [Google Scholar] [CrossRef]
- Zhou, Z.; Yan, L.; Wang, X.-M.; Zhang, D.; Yan, J.-Y. The sensitive energy band structure and the spiral current in helical graphenes. Results Phys. 2022, 35, 105351. [Google Scholar] [CrossRef]
- Thakur, R.; Ahluwalia, P.K.; Kumar, A.; Sharma, R. Stability and electronic properties of bilayer graphene spirals. Physica E 2021, 129, 114638. [Google Scholar] [CrossRef]
- Tan, J.; Zhang, X.; Liu, W.; He, X.; Zhao, M. Strain-induced tunable negative differential resistance in triangle graphene spirals. Nanotechnology 2018, 29, 205202. [Google Scholar] [CrossRef]
- Son, Y.-W.; Cohen, M.L.; Louie, S.G. Energy Gaps in Graphene Nanoribbons. Phys. Rev. Lett. 2006, 97, 216803. [Google Scholar] [CrossRef]
- Pisani, L.; Chan, J.A.; Montanari, B.; Harrison, N.M. Electronic structure and magnetic properties of graphitic ribbons. Phys. Rev. B 2007, 75, 064418. [Google Scholar] [CrossRef]
- Bettinger, H.F. Electronic structure of higher acenes and polyacene: The perspective developed by theoretical analyses. Pure Appl. Chem. 2010, 82, 905–915. [Google Scholar] [CrossRef]
- Zhang, X.; Zhao, M. Strain-induced phase transition and electron spin-polarization in graphene spirals. Sci. Rep. 2014, 4, 5699. [Google Scholar] [CrossRef]
- Xu, X.; Liu, B.; Zhao, W.; Jiang, Y.; Liu, L.; Li, W.; Zhang, G.; Tian, W.Q. Mechanism of mechanically induced optoelectronic and spintronic phase transitions in 1D graphene spirals: Insight into the role of interlayer coupling. Nanoscale 2017, 9, 9693–9700. [Google Scholar] [CrossRef]
- Peierls, R.E. Quantum Theory of Solids; Oxford University Press: New York, NY, USA, 1955. [Google Scholar]
- Mott, N.F. The Basis of the Electron Theory of Metals, with Special Reference to the Transition Metals. Proc. Phys. Soc. A 1949, 62, 416–422. [Google Scholar] [CrossRef]
- Liu, Z.-P.; Guo, Y.-D.; Yan, X.-H.; Zeng, H.-L.; Mou, X.-Y.; Wang, Z.-R.; Wang, J.-J. A metal-semiconductor transition in helical graphene nanoribbon. J. Appl. Phys. 2019, 126, 144303. [Google Scholar] [CrossRef]
- Liu, Z.-P.; Guo, Y.-D.; Zeng, H.-L.; Li, J.-F.; Jiang, Y.-Y.; Yan, H.-H. Electrical control of spin polarization of transmission in pure-carbon systems of helical graphene nanoribbons. J. Appl. Phys. 2020, 128, 154301. [Google Scholar] [CrossRef]
- Yuan, L.-D.; Wang, Z.; Luo, J.-W.; Zunger, A. Prediction of low-Z collinear and noncollinear antiferromagnetic compounds having momentum-dependent spin splitting even without spin-orbit coupling. Phys. Rev. Mater. 2021, 5, 014409. [Google Scholar] [CrossRef]
- Egorov, S.A.; Litvin, D.B.; Bandura, A.V.; Evarestov, R.A. Spin Splitting in Systems Described by Magnetic Rod Groups. J. Phys. Chem. C 2022, 126, 5362–5367. [Google Scholar] [CrossRef]
- Vujičić, M.; Božović, B.; Herbut, F. Construction of the symmetry groups of polymer molecules. J. Phys. A Math. Gen. 1977, 10, 1271–1279. [Google Scholar] [CrossRef]
- Shubnikov, A.V. Symmetry (The Laws of Symmetry and Their Application in Science, Technology, and Applied Art); Akademia Nauk SSSR: Moscow, Russia, 1940. (In Russian) [Google Scholar]
- Vainshtein, B.K. Modern Crystallography: Fundamentals of Crystals, Symmetry and Methods of Structural Crystallography; Springer: Berlin, Germany, 1994; Volume 1. [Google Scholar]
- Damnjanović, M.; Vujičić, M. Magnetic line groups. Phys. Rev. B 1982, 25, 6987–6994. [Google Scholar] [CrossRef]
- Damnjanović, M.; Milošević, I. Full symmetry implementation in condensed matter and molecular physics—Modified group projector technique. Phys. Rep. 2015, 581, 1–43. [Google Scholar] [CrossRef]
- Damnjanović, M.; Milošević, I. Line Groups in Physics. Theory and Applications to Nanotubes and Polymers; Lecture Notes in Physics; Springer: Berlin/Heidelberg, Germany, 2010; Volume 801. [Google Scholar]
- Porsev, V.V.; Bandura, A.V.; Evarestov, R.A. Ab initio modeling of helically periodic nanostructures using CRYSTAL17: A general algorithm first applied to nanohelicenes. Comput. Mater. Sci. 2022, 203, 111063. [Google Scholar] [CrossRef]
- Dovesi, R.; Erba, A.; Orlando, R.; Zicovich-Wilson, C.M.; Civalleri, B.; Maschio, L.; Rérat, M.; Casassa, S.; Baima, J.; Salustro, S.; et al. Quantum-mechanical condensed matter simulations with CRYSTAL. WIREs Comput. Mol. Sci. 2018, 8, e1360. [Google Scholar] [CrossRef]
- Dovesi, R.; Pascale, F.; Civalleri, B.; Doll, K.; Harrison, N.M.; Bush, I.; D’Arco, P.; Noël, Y.; Rérat, M.; Carbonnière, P.; et al. The CRYSTAL code, 1976–2020 and beyond, a long story. J. Chem. Phys. 2020, 152, 204111. [Google Scholar] [CrossRef]
- Porsev, V.V.; Evarestov, R.A. Quantum-mechanical calculation of the electronic band structure of helically periodic systems: Nanotubes and nanohelicenes. Phys. Solid State 2022, 64, 1807–1814. [Google Scholar] [CrossRef]
- Domnin, A.V.; Porsev, V.V.; Evarestov, R.A. DFT modeling of electronic and mechanical properties of polytwistane using line symmetry group theory. Comput. Mater. Sci. 2022, 214, 111704. [Google Scholar] [CrossRef]
- Bandura, A.V.; Kuruch, D.D.; Porsev, V.V.; Evarestov, R.A. Single-walled pristine and Janus nanotubes based on post-transition metal chalcogenides. First-principles study. Physica E 2023, 147, 115611. [Google Scholar] [CrossRef]
- Porsev, V.V.; Evarestov, R.A. Ab initio modeling of helical polyacetylenes: Peierls and Mott-Hubbard metal-insulator transitions. Comput. Mater. Sci. 2022, 213, 111642. [Google Scholar] [CrossRef]
- Porsev, V.; Evarestov, R. Magnetic Properties of Zig-Zag-Edged Hexagonal Nanohelicenes: A Quantum Chemical Study. Nanomaterials 2023, 13, 415. [Google Scholar] [CrossRef] [PubMed]
- Domnin, A.V.; Porsev, V.V.; Evarestov, R.A. Effect of the armchair and zigzag edge terminations on the properties of nanohelicenes: First-principles study. Comput. Condens. Matter 2023, 36, e00826. [Google Scholar] [CrossRef]
- Egorov, S.A.; Litvin, D.B.; Bandura, A.V.; Evarestov, R.A. Spin splitting in monoperiodic systems described by magnetic line groups. J. Phys. Condens. Matter 2023, 34, 315803. [Google Scholar] [CrossRef]
















































Disclaimer/Publisher’s Note: The statements, opinions and data contained in all publications are solely those of the individual author(s) and contributor(s) and not of MDPI and/or the editor(s). MDPI and/or the editor(s) disclaim responsibility for any injury to people or property resulting from any ideas, methods, instructions or products referred to in the content. |
© 2023 by the authors. Licensee MDPI, Basel, Switzerland. This article is an open access article distributed under the terms and conditions of the Creative Commons Attribution (CC BY) license (https://creativecommons.org/licenses/by/4.0/).
Share and Cite
Porsev, V.V.; Evarestov, R.A. Current State of Computational Modeling of Nanohelicenes. Nanomaterials 2023, 13, 2295. https://doi.org/10.3390/nano13162295
Porsev VV, Evarestov RA. Current State of Computational Modeling of Nanohelicenes. Nanomaterials. 2023; 13(16):2295. https://doi.org/10.3390/nano13162295
Chicago/Turabian StylePorsev, Vitaly V., and Robert A. Evarestov. 2023. "Current State of Computational Modeling of Nanohelicenes" Nanomaterials 13, no. 16: 2295. https://doi.org/10.3390/nano13162295
APA StylePorsev, V. V., & Evarestov, R. A. (2023). Current State of Computational Modeling of Nanohelicenes. Nanomaterials, 13(16), 2295. https://doi.org/10.3390/nano13162295

