Gestational High-Fat Diet Drives Premature Differentiation of Orexigenic Neurons and Reactivity of Astrocytes in the Fetal Rat Lateral Hypothalamus
Abstract
1. Introduction
2. Materials and Methods
2.1. Animals and Experimental Design
2.2. Gestation, Prenatal BrdU Administration, and Placenta and Brain Collection
2.3. Placental Processing and Histology
2.4. Fetal Brain Tissue Processing
2.5. Image Acquisition and Analysis
2.6. Statistical Analysis
3. Results
3.1. The Consumption of HFD for 12 Weeks Promotes the Development of an Obese and Glucose-Intolerant Phenotype in Female Rats
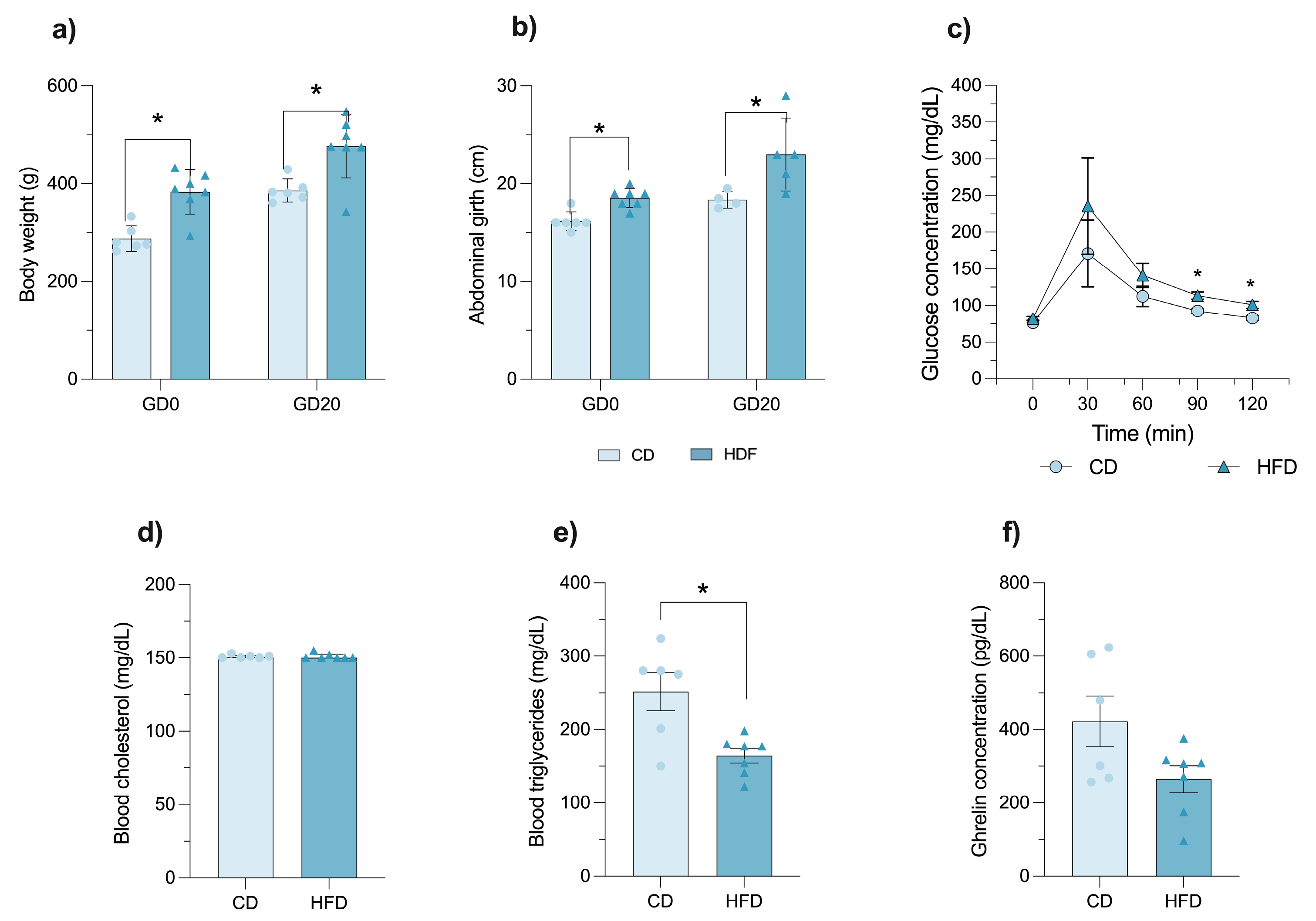
3.2. HFD Exacerbates Metabolic Dysfunction in Already Obese Female Rats’ Ongoing Pregnancy
3.3. Maternal HFD Does Not Alter Litter Size or Implantation Sites
3.4. Maternal HFD Induces Placental Lipotoxicity and Structural Alterations
3.5. Maternal HFD Reduces Fetal Body Weight in Both Sexes
3.6. Maternal HFD Induces Reactive Astrogliosis in the Fetal LHA
3.7. Maternal HFD Increases Diencephalic Precursor Cell Proliferation and the Percentage of Orexinergic Neuron Density in the Fetal LHA
4. Discussion
5. Conclusions
Supplementary Materials
Author Contributions
Funding
Institutional Review Board Statement
Informed Consent Statement
Data Availability Statement
Acknowledgments
Conflicts of Interest
References
- Marzola, E.; Cavallo, F.; Panero, M.; Porliod, A.; Amodeo, L.; Abbate-Daga, G. The role of prenatal and perinatal factors in eating disorders: A systematic review. Arch. Women’s Ment. Health 2021, 24, 185–204. [Google Scholar] [CrossRef]
- Desai, M.; Ross, M.G. Maternal-infant nutrition and development programming of offspring appetite and obesity. Nutr. Rev. 2020, 78, 25–31. [Google Scholar] [CrossRef] [PubMed]
- Heslehurst, N.; Vieira, R.; Akhter, Z.; Bailey, H.; Slack, E.; Ngongalah, L.; Pemu, A.; Rankin, J. The association between maternal body mass index and child obesity: A systematic review and meta-analysis. PLoS Med. 2019, 16, e1002817. [Google Scholar] [CrossRef]
- Stang, J.; Huffman, L.G. Position of the Academy of Nutrition and Dietetics: Obesity, Reproduction, and Pregnancy Outcomes. J. Acad. Nutr. Diet. 2016, 116, 677–691. [Google Scholar] [CrossRef] [PubMed]
- Harmancıoğlu, B.; Kabaran, S. Maternal high fat diets: Impacts on offspring obesity and epigenetic hypothalamic programming. Front. Genet. 2023, 14, 1158089. [Google Scholar] [CrossRef]
- Doi, M.; Usui, N.; Shimada, S. Prenatal Environment and Neurodevelopmental Disorders. Front. Endocrinol. 2022, 13, 860110. [Google Scholar] [CrossRef] [PubMed]
- Rajamoorthi, A.; LeDuc, C.A.; Thaker, V.V. The metabolic conditioning of obesity: A review of the pathogenesis of obesity and the epigenetic pathways that “program” obesity from conception. Front. Endocrinol. 2022, 13, 1032491. [Google Scholar] [CrossRef]
- Chang, G.Q.; Gaysinskaya, V.; Karatayev, O.; Leibowitz, S.F. Maternal high-fat diet and fetal programming: Increased proliferation of hypothalamic peptide-producing neurons that increase risk for overeating and obesity. J. Neurosci. 2008, 28, 12107–12119. [Google Scholar] [CrossRef]
- Villano, I.; Marra, M.L.; Maio, G.D.; Monda, V.; Chieffi, S.; Guatteo, E.; Messina, G.; Moscatelli, F.; Monda, M.; Messina, A. Physiological Role of Orexinergic System for Health. Int. J. Environ. Res. Public Health 2022, 19, 8353. [Google Scholar] [CrossRef]
- Sanetra, A.M.; Jeczmien-Lazur, J.S.; Pradel, K.; Klich, J.D.; Palus-Chramiec, K.; Janik, M.E.; Bajkacz, S.; Izowit, G.; Nathan, C.; Piggins, H.D.; et al. A novel developmental critical period of orexinergic signaling in the primary visual thalamus. iScience 2024, 27, 110352. [Google Scholar] [CrossRef]
- Zhang, Y.M.; Qi, Y.B.; Gao, Y.N.; Chen, W.G.; Zhou, T.; Zang, Y.; Li, J. Astrocyte metabolism and signaling pathways in the CNS. Front. Neurosci. 2023, 17, 1217451. [Google Scholar] [CrossRef]
- Jin, S.; Kim, K.K.; Park, B.S.; Kim, D.H.; Jeong, B.; Kang, D.; Lee, B.J. Function of astrocyte MyD88 in high-fat-diet-induced hypothalamic inflammation. J. Neuroinflamm. 2020, 17, 195. [Google Scholar] [CrossRef] [PubMed]
- Kim, D.W.; Glendining, K.A.; Grattan, D.R.; Jasoni, C.L. Maternal obesity leads to increased proliferation and numbers of astrocytes in the developing fetal and neonatal mouse hypothalamus. Int. J. Dev. Neurosci. 2016, 53, 18–25. [Google Scholar] [CrossRef] [PubMed]
- Sa, M.; Park, M.G.; Lee, C.J. Role of Hypothalamic Reactive Astrocytes in Diet-Induced Obesity. Mol. Cells 2022, 45, 65–75. [Google Scholar] [CrossRef]
- Braga, A.; Chiacchiaretta, M.; Pellerin, L.; Kong, D.; Haydon, P.G. Astrocytic metabolic control of orexinergic activity in the lateral hypothalamus regulates sleep and wake architecture. Nat. Commun. 2024, 15, 5979. [Google Scholar] [CrossRef]
- Parsons, M.P.; Hirasawa, M. ATP-sensitive potassium channel-mediated lactate effect on orexin neurons: Implications for brain energetics during arousal. J. Neurosci. 2010, 30, 8061–8070. [Google Scholar] [CrossRef] [PubMed]
- Milbank, E.; López, M. Orexins/Hypocretins: Key Regulators of Energy Homeostasis. Front. Endocrinol. 2019, 10, 830. [Google Scholar] [CrossRef]
- Thibault, L. Animal Models of Dietary-Induced Obesity. In Animal Models for the Study of Human Disease; Academic Press: Cambridge, UK, 2013. [Google Scholar]
- Steculorum, S.M.; Collden, G.; Coupe, B.; Croizier, S.; Lockie, S.; Andrews, Z.B.; Jarosch, F.; Klussmann, S.; Bouret, S.G. Neonatal ghrelin programs development of hypothalamic feeding circuits. J. Clin. Investig. 2015, 125, 846–858. [Google Scholar] [CrossRef]
- Marcondes, F.K.; Bianchi, F.J.; Tanno, A.P. Determination of the estrous cycle phases of rats: Some helpful considerations. Braz. J. Biol. 2002, 62, 609–614. [Google Scholar] [CrossRef]
- Paronis, E.; Samara, A.; Polyzos, A.; Spyropoulos, C.; Kostomitsopoulos, N.G. Maternal weight as an alternative determinant of the gestational day of Wistar rats housed in individually-ventilated cages. Lab. Anim. 2015, 49, 188–195. [Google Scholar] [CrossRef]
- Wu, H.; Liu, Y.; Wang, H.; Xu, X. High-fat diet induced insulin resistance in pregnant rats through pancreatic pax6 signaling pathway. Int. J. Clin. Exp. Pathol. 2015, 8, 5196. [Google Scholar]
- Norma Oficial Mexicana NOM-062-ZOO-1999; Especificaciones Técnicas para la Producción, Cuidado y uso de los Animales de Laboratorio. Diario Oficial de la Federación: Ciudad de México, Mexico, 1999.
- Furukawa, S.; Kuroda, Y.; Sugiyama, A. A comparison of the histological structure of the placenta in experimental animals. J. Toxicol. Pathol. 2014, 27, 11–18. [Google Scholar] [CrossRef]
- Sandovici, I.; Hoelle, K.; Angiolini, E.; Constância, M. Placental adaptations to the maternal-fetal environment: Implications for fetal growth and developmental programming. Reprod. Biomed. Online 2012, 25, 68–89. [Google Scholar] [CrossRef] [PubMed]
- Ramachandra, R.; Subramanian, T. Atlas of the Neonatal Rat Brain; Taylor & Francis: London, UK, 2016. [Google Scholar]
- Shaw, M.A.; Rasmussen, K.M.; Myers, T.R. Consumption of a high fat diet impairs reproductive performance in Sprague-Dawley rats. J. Nutr. 1997, 127, 64–69. [Google Scholar] [CrossRef] [PubMed][Green Version]
- Howell, K.R.; Powell, T.L. Effects of maternal obesity on placental function and fetal development. Reproduction 2017, 153, R97–R108. [Google Scholar] [CrossRef] [PubMed]
- Lewis, R.M.; Desoye, G. Placental Lipid and Fatty Acid Transfer in Maternal Overnutrition. Ann. Nutr. Metab. 2017, 70, 228–231. [Google Scholar] [CrossRef]
- Aye, I.L.M.H.; Jansson, T.; Powell, T.L. TNF-α stimulates system a amino acid transport in primary human trophoblast cells mediated by p38 MAPK signaling. Physiol. Rep. 2015, 3, e12594. [Google Scholar]
- Zhu, M.J.; Ma, Y.; Long, N.M.; Du, M.; Ford, S.P. Maternal obesity markedly increases placental fatty acid transporter expression and fetal blood triglycerides at midgestation in the ewe. Am. J. Physiol. Integr. Comp. Physiol. 2010, 299, R1224–R1231. [Google Scholar] [CrossRef]
- Yang, X.; Li, M.; Haghiac, M.; Catalano, P.M.; O’Tierney-Ginn, P.; Hauguel-de Mouzon, S. Causal relationship between obesity-related traits and TLR4-driven responses at the maternal–fetal interface. Diabetologia 2016, 59, 2459–2466. [Google Scholar] [CrossRef]
- Acosta, O.; Ramirez, V.I.; Lager, S.; Gaccioli, F.; Dudley, D.J.; Powell, T.L.; Jansson, T. Increased glucose and placental GLUT-1 in large infants of obese nondiabetic mothers. Am. J. Obstet. Gynecol. 2015, 212, 227.e1–227.e7. [Google Scholar] [CrossRef]
- Gluckman, P.D.; Hanson, M.A. Developmental origins of disease paradigm: A mechanistic and evolutionary perspective. Pediatr. Res. 2004, 56, 311–317. [Google Scholar] [CrossRef] [PubMed]
- Sakurai, T. The neural circuit of orexin (hypocretin): Maintaining sleep and wakefulness. Nat. Rev. Neurosci. 2007, 8, 171–181. [Google Scholar] [CrossRef]
- Vaag, A.A.; Grunnet, L.G.; Arora, G.P.; Brøns, C. The thrifty phenotype hypothesis revisited. Diabetologia 2012, 55, 2085–2088. [Google Scholar] [CrossRef] [PubMed]
- Hanson, M.A.; Gluckman, P.D. Developmental origins of health and disease–Global public health implications. Best Pract. Res. Clin. Obstet. Gynaecol. 2015, 29, 24–31. [Google Scholar] [CrossRef] [PubMed]
- Bouret, S.G. Development of Hypothalamic Circuits That Control Food Intake and Energy Balance. In Appetite and Food Intake; CRC Press/Taylor & Francis: Boca Raton, FL, USA, 2017. [Google Scholar]
- McCarthy, M.M.; Nugent, B.M.; Lenz, K.M. Neuroimmunology and neuroepigenetics in the establishment of sex differences in the brain. Nat. Rev. Neurosci. 2017, 18, 471–484. [Google Scholar] [CrossRef]
- Herrera, E. Lipid metabolism in pregnancy and its consequences in the fetus and newborn. Endocrine 2002, 19, 43–56. [Google Scholar] [CrossRef]
- Herrera, E.; Ortega-Senovilla, H. Maternal lipid metabolism during normal pregnancy and its implications to fetal development. Clin. Lipidol. 2010, 5, 899–911. [Google Scholar] [CrossRef]
- Shankar, K.; Harrell, A.; Liu, X.; Gilchrist, J.M.; Ronis, M.J.J.; Badger, T.M. Maternal obesity at conception programs obesity in the offspring. Am. J. Physiol. Integr. Comp. Physiol. 2008, 294, R528–R538. [Google Scholar] [CrossRef]






Disclaimer/Publisher’s Note: The statements, opinions and data contained in all publications are solely those of the individual author(s) and contributor(s) and not of MDPI and/or the editor(s). MDPI and/or the editor(s) disclaim responsibility for any injury to people or property resulting from any ideas, methods, instructions or products referred to in the content. |
© 2025 by the authors. Licensee MDPI, Basel, Switzerland. This article is an open access article distributed under the terms and conditions of the Creative Commons Attribution (CC BY) license.
Share and Cite
Galindo-Solano, N.; Trejo-Villarreal, X.; Díaz-Olivares, G.; Rea-Palomino, G.; Montes-Aguirre, D.; Villagrán-Santa-Cruz, M.; Gutiérrez-Ospina, G. Gestational High-Fat Diet Drives Premature Differentiation of Orexigenic Neurons and Reactivity of Astrocytes in the Fetal Rat Lateral Hypothalamus. Brain Sci. 2026, 16, 52. https://doi.org/10.3390/brainsci16010052
Galindo-Solano N, Trejo-Villarreal X, Díaz-Olivares G, Rea-Palomino G, Montes-Aguirre D, Villagrán-Santa-Cruz M, Gutiérrez-Ospina G. Gestational High-Fat Diet Drives Premature Differentiation of Orexigenic Neurons and Reactivity of Astrocytes in the Fetal Rat Lateral Hypothalamus. Brain Sciences. 2026; 16(1):52. https://doi.org/10.3390/brainsci16010052
Chicago/Turabian StyleGalindo-Solano, Nuria, Ximena Trejo-Villarreal, Geovanna Díaz-Olivares, Gustavo Rea-Palomino, Dayna Montes-Aguirre, Maricela Villagrán-Santa-Cruz, and Gabriel Gutiérrez-Ospina. 2026. "Gestational High-Fat Diet Drives Premature Differentiation of Orexigenic Neurons and Reactivity of Astrocytes in the Fetal Rat Lateral Hypothalamus" Brain Sciences 16, no. 1: 52. https://doi.org/10.3390/brainsci16010052
APA StyleGalindo-Solano, N., Trejo-Villarreal, X., Díaz-Olivares, G., Rea-Palomino, G., Montes-Aguirre, D., Villagrán-Santa-Cruz, M., & Gutiérrez-Ospina, G. (2026). Gestational High-Fat Diet Drives Premature Differentiation of Orexigenic Neurons and Reactivity of Astrocytes in the Fetal Rat Lateral Hypothalamus. Brain Sciences, 16(1), 52. https://doi.org/10.3390/brainsci16010052

