Dissipation of Triazole Residues and Their Impact on Quality Parameters and Nutrient Contents in Tomato Fruits and Products: From Farm to Table
Abstract
1. Introduction
2. Materials and Methods
2.1. Fungicides and Reagents
2.2. Field Experiment Setup and Procedures
2.3. Extraction and Purification of PCZ and DFZ Residues in Tomato Fruits
2.4. HPLC Analysis
2.5. Method Validation
2.6. Impact of Different Processing Conditions on Fungicide Residue Levels in Tomato Fruits
2.7. Risk Assessment
2.8. Biochemical and Nutritional Indicators
2.9. Kinetic Studies and Statistical Analysis
3. Results and Discussion
3.1. Analytical Method Validation for PCZ and DFZ Residues in Tomato Fruits
3.2. Persistence and Degradation of PCZ and DFZ Residues in Tomato Fruits
3.3. Processing Effects on PCZ and DFZ Residues in Tomato Fruits
3.4. Changes in Health Risk and Residue Intake of PCZ and DFZ in Tomatoes Post-Application
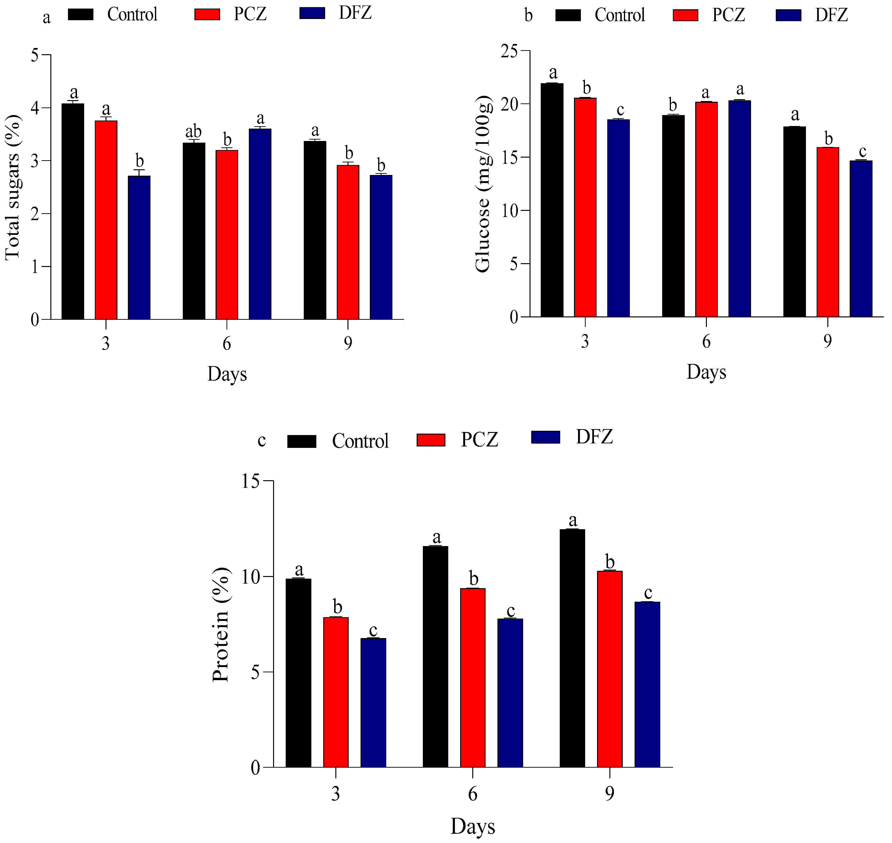
3.5. Evaluation of Fungicide Residues on Nutrients in Tomato Fruits
3.6. Changes in Tomato Fruit Quality Under PCZ and DFZ Stress
4. Conclusions
Author Contributions
Funding
Institutional Review Board Statement
Informed Consent Statement
Data Availability Statement
Conflicts of Interest
References
- Malhat, F.; Abdallah, H.; Nasr, I. Estimation of etofenprox residues in tomato fruits by QuEChERS methodology and HPLC–DAD. Bull. Environ. Contam. Toxicol. 2012, 88, 891–893. [Google Scholar] [CrossRef] [PubMed]
- Malhat, F.M.; Loutfy, N.M.; Ahmed, M.T. Dissipation kinetics of novaluron in tomato, an arid ecosystem pilot study. Toxicol. Environ. Chem. 2014, 96, 41–47. [Google Scholar] [CrossRef]
- Ochilo, W.N.; Nyamasyo, G.N.; Kilalo, D.; Otieno, W.; Otipa, M.; Chege, F.; Karanja, T.; Lingeera, E.K. Characteristics and production constraints of smallholder tomato production in Kenya. Sci. Afr. 2019, 2, e00014. [Google Scholar] [CrossRef]
- Chen, L.; Wei, J.; Li, X.; Li, H. Residue characteristics of seven fungicides in cherry tomatoes and vegetable tomatoes. Acta Chromatogr. 2023, 35, 70–80. [Google Scholar] [CrossRef]
- Panno, S.; Davino, S.; Caruso, A.G.; Bertacca, S.; Crnogorac, A.; Mandić, A.; Noris, E.; Matić, S. A review of the most common and economically important diseases that undermine the cultivation of tomato crop in the mediterranean basin. Agronomy 2021, 11, 2188. [Google Scholar] [CrossRef]
- Schiavi, D.; Balbi, R.; Giovagnoli, S.; Camaioni, E.; Botticella, E.; Sestili, F.; Balestra, G.M. A green nanostructured pesticide to control tomato bacterial speck disease. Nanomaterials 2021, 11, 1852. [Google Scholar] [CrossRef]
- Kanwal, I.; Ölmez, F.; Ali, A.; Tatar, M.; Dadaşoğlu, F. Evaluating the efficacy of fungicides for controlling late blight in tomatoes induced by Phytophthora infestans. J. Agric. Prod. 2024, 5, 241–247. [Google Scholar] [CrossRef]
- Lehel, J.; Vöröskői, P.; Palkovics, A.; Szabó, C.; Darnay, L.; Budai, P.; Laczay, P.; Lányi, K. Farm to table: Residues of different pesticides in tomato and tomato juice–Food safety aspects. Acta Vet. Hung. 2022, 236–244. [Google Scholar] [CrossRef]
- Park, J.-Y.; Choi, J.-H.; Abd El-Aty, A.; Kim, B.M.; Oh, J.-H.; Do, J.-A.; Kwon, K.S.; Shim, K.-H.; Choi, O.-J.; Shin, S.C. Simultaneous multiresidue analysis of 41 pesticide residues in cooked foodstuff using QuEChERS: Comparison with classical method. Food Chem. 2011, 128, 241–253. [Google Scholar] [CrossRef]
- Singh, N.S.; Sharma, R.; Parween, T.; Patanjali, P. Pesticide contamination and human health risk factor. In Modern Age Environmental Problems and Their Remediation; Springer: Berlin/Heidelberg, Germany, 2017; pp. 49–68. [Google Scholar]
- Zhang, Z.; Jiang, W.; Jian, Q.; Song, W.; Zheng, Z.; Wang, D.; Liu, X. Residues and dissipation kinetics of triazole fungicides difenoconazole and propiconazole in wheat and soil in Chinese fields. Food Chem. 2015, 168, 396–403. [Google Scholar] [CrossRef] [PubMed]
- WHO. Pesticide Residues in Food—2007: Toxicological Evaluations; World Health Organization: Geneva, Switzerland, 2010; Volume 23. [Google Scholar]
- Wu, X.; Yu, L.; Pehrsson, P.R. Are processed tomato products as nutritious as fresh tomatoes? Scoping review on the effects of industrial processing on nutrients and bioactive compounds in tomatoes. Adv. Nutr. 2022, 13, 138–151. [Google Scholar] [CrossRef]
- Dikshit, A.; Pachauri, D.; Jindal, T. Maximum residue limit and risk assessment of beta-cyfluthrin and imidacloprid on tomato (Lycopersicon esculentum Mill). Bull. Environ. Contam. Toxicol. 2003, 70, 1143. [Google Scholar] [CrossRef]
- Tiryaki, O.; Baysoyu, D.; Seçer, E.; Aydın, G. Testing the stability of pesticides during sample processing for the chlorpyrifos and malathion residue analysis in cucumber, including matrix effects. Bull. Environ. Contam. Toxicol. 2008, 80, 38–43. [Google Scholar] [CrossRef] [PubMed]
- World Health Organization. The State of Food Security and Nutrition in the World 2023: Urbanization, Agrifood Systems Transformation and Healthy Diets Across the Rural–Urban Continuum; Food & Agriculture Org.: Rome, Italy, 2023; Volume 2023. [Google Scholar]
- Lehotay, S. The QuEChERSER mega-method. LCGC North Am. 2022, 40, 13–19. [Google Scholar] [CrossRef]
- Pihlström, T.; Fernández-Alba, A.R.; Amate, C.F.; Poulsen, M.E.; Hardebusch, B.; Anastassiades, M.; Lippold, R.; Cabrera, L.C.; de Kok, A.; ORegan, F. Analytical quality control and method validation procedures for pesticide residues analysis in food and feed SANTE 11312/2021. Sante 2021, 11312, 1–41. [Google Scholar]
- Thomsen, C.; Liane, V.H.; Becher, G. Automated solid-phase extraction for the determination of polybrominated diphenyl ethers and polychlorinated biphenyls in serum—Application on archived Norwegian samples from 1977 to 2003. J. Chromatogr. B 2007, 846, 252–263. [Google Scholar] [CrossRef]
- Walorczyk, S. Validation and use of a QuEChERS-based gas chromatographic–tandem mass spectrometric method for multiresidue pesticide analysis in blackcurrants including studies of matrix effects and estimation of measurement uncertainty. Talanta 2014, 120, 106–113. [Google Scholar] [CrossRef]
- Pekel, F. Effectiveness of Household Processes in the Reduction of Pesticide Residue Concentrations on Fruit and Vegetables. Master’s Thesis, Utrecht University, Utrecht, The Netherlands, 2023. [Google Scholar]
- Shalaby, A.; Seloma, A.; Shalaby, M. Study of Bifenazate, Indoxacarb and Emamectin benzoate residues on tomato. J. Plant Prot. Pathol. 2022, 13, 169–174. [Google Scholar] [CrossRef]
- Hakme, E.; Herrmann, S.S.; Poulsen, M.E. Processing factors of pesticide residues in biscuits and their relation to the physicochemical properties of pesticides. Food Addit. Contam. Part A 2020, 37, 1695–1706. [Google Scholar] [CrossRef]
- Stephenson, C.; Harris, C. An assessment of dietary exposure to glyphosate using refined deterministic and probabilistic methods. Food Chem. Toxicol. 2016, 95, 28–41. [Google Scholar] [CrossRef]
- Taghizadeh, S.F.; Goumenou, M.; Rezaee, R.; Alegakis, T.; Kokaraki, V.; Anesti, O.; Sarigiannis, D.A.; Tsatsakis, A.; Karimi, G. Cumulative risk assessment of pesticide residues in different Iranian pistachio cultivars: Applying the source specific HQS and adversity specific HIA approaches in Real Life Risk Simulations (RLRS). Toxicol. Lett. 2019, 313, 91–100. [Google Scholar] [CrossRef]
- Ahmed, M.; Abd El Rahman, T.; Khalil, N. Dietary intake of potential pesticide residues in tomato samples marketed in Egypt. Res. J. Environ. Toxicol. 2016, 10, 213–219. [Google Scholar] [CrossRef]
- FAO; WHO. Pesticide Residues in Food; Food and Agriculture Organization of the United Nations (FAO): Rome, Italy; World Health Organization (WHO): Geneva, Switzerland, 1968. [Google Scholar]
- Shalaby, A. Residues of profenofos with special reference to its removal trials and biochemical effects on tomato. J. Plant Prot. Pathol. 2016, 7, 845–849. [Google Scholar] [CrossRef]
- Gomaa, E.; Belal, M. Determination of dimethoate residues in some vegetables [tomatoes, cucumber, common bean] and cotton plants [in Egypt]. Zagazig J. Agric. Res. 1975, 2, 215–220. [Google Scholar]
- Zhang, X.; Wang, X.; Luo, F.; Sheng, H.; Zhou, L.; Zhong, Q.; Lou, Z.; Sun, H.; Yang, M.; Cui, X. Application and enantioselective residue determination of chiral pesticide penconazole in grape, tea, aquatic vegetables and soil by ultra performance liquid chromatography-tandem mass spectrometry. Ecotoxicol. Environ. Saf. 2019, 172, 530–537. [Google Scholar] [CrossRef]
- Abdallah, O.I.; Ahmed, N.S.; Abd El-Hamid, R.M.; Alhewairini, S.S. Residues of difenoconazole in various ready premixes with propiconazole, cyflufenamid, and mandipropamid in/on tomato fruits. Acta Chromatogr. 2024, 36, 206–217. [Google Scholar] [CrossRef]
- Hergueta-Castillo, M.E.; López-Ruiz, R.; Membrive, P.M.; Romero-González, R.; Frenich, A.G. Dissipation of penconazole formulation in horticultural crops by ultrahigh performance liquid chromatography-high resolution mass spectrometry: From the active substance to metabolites. Food Chem. 2023, 422, 136266. [Google Scholar] [CrossRef]
- University of Hertfordshire. The Pesticide Properties DataBase (PPDB); Agriculture & Environment Research Unit (AERU), University of Hertfordshire: Hertfordshire, England, 2013. [Google Scholar]
- N Nasr, I.; R Montasser, M.; F Macklad, M. Residue analysis of difenoconazole, emamectin benzoate and fenazaquin on tomatoes using high pressure liquid chromatography. Alex. Sci. Exch. J. 2009, 30, 22–29. [Google Scholar]
- Li, Z.; Fantke, P. Considering degradation kinetics of pesticides in plant uptake models: Proof of concept for potato. Pest Manag. Sci. 2023, 79, 1154–1163. [Google Scholar] [CrossRef]
- Abdallah, O.I.; Almaz, M.M.; Abd El-Aleem, M.H.A.; Abd El-Aleem, H. Dissipation Behavior of Chlorfenapyr and Difenoconazole Residues. Nat. Sci. 2014, 12, 49–54. [Google Scholar]
- Wu, S.; Zhang, H.; Zheng, K.; Meng, B.; Wang, F.; Cui, Y.; Zeng, S.; Zhang, K.; Hu, D. Simultaneous determination and method validation of difenoconazole, propiconazole and pyraclostrobin in pepper and soil by LC–MS/MS in field trial samples from three provinces, China. Biomed. Chromatogr. 2018, 32, e4052. [Google Scholar] [CrossRef]
- Wang, M.; Liu, S.; Duan, J.; Sun, M.; Dong, X.; Chen, Y.; Gao, T. Study on the residue of 30% difenoconazole· propiconazole EC on wheat. Chin. Agric. Sci. Bull. 2014, 30, 52–58. [Google Scholar]
- Mukhopadhyay, S.; Das, S.; Bhattacharyya, A.; Pal, S. Dissipation study of difenoconazole in/on chili fruit and soil in India. Bull. Environ. Contam. Toxicol. 2011, 87, 54–57. [Google Scholar] [CrossRef] [PubMed]
- Romeh, A.A.; Mekky, T.M.; Ramadan, R.A.; Hendawi, M.Y. Dissipation of profenofos, imidacloprid and penconazole in tomato fruits and products. Bull. Environ. Contam. Toxicol. 2009, 83, 812–817. [Google Scholar] [CrossRef]
- Riedo, J.; Wächter, D.; Gubler, A.; Wettstein, F.E.; Meuli, R.G.; Bucheli, T.D. Pesticide residues in agricultural soils in light of their on-farm application history. Environ. Pollut. 2023, 331, 121892. [Google Scholar] [CrossRef]
- Abou-Arab, A. Behavior of pesticides in tomatoes during commercial and home preparation. Food Chem. 1999, 65, 509–514. [Google Scholar] [CrossRef]
- Guardia Rubio, M.; Ayora Cañada, M.; Ruiz Medina, A. Effect of washing on pesticide residues in olives. J. Food Sci. 2007, 72, C139–C143. [Google Scholar] [CrossRef]
- Bonnechère, A.; Hanot, V.; Jolie, R.; Hendrickx, M.; Bragard, C.; Bedoret, T.; Van Loco, J. Processing factors of several pesticides and degradation products in carrots by household and industrial processing. J. Food Res. 2012, 1, 68–83. [Google Scholar] [CrossRef][Green Version]
- Hendawi, M.; Romeh, A.; Mekky, T. Effect of food processing on residue of Imidaclopri d in strawberry fruits. J. Agric. Sci. Technol. 2018, 15, 951–959. [Google Scholar]
- Wang, K.; Liu, Y.; Song, Z.; Khan, Z.H.; Qiu, W. Effects of biodegradable chelator combination on potentially toxic metals leaching efficiency in agricultural soils. Ecotoxicol. Environ. Saf. 2019, 182, 109399. [Google Scholar] [CrossRef] [PubMed]
- Randhawa, M.A.; Anjum, M.N.; Butt, M.S.; Yasin, M.; Imran, M. Minimization of imidacloprid residues in cucumber and bell pepper through washing with citric acid and acetic acid solutions and their dietary intake assessment. Int. J. Food Prop. 2014, 17, 978–986. [Google Scholar] [CrossRef]
- Duman, A.; Çiftçi, U.; Tiryaki, O. Farklı yıkama işlemlerinin üzümlerde tebuconazole kalıntısına etkisi. ÇOMÜ Ziraat Fakültesi Derg. 2021, 9, 259–269. [Google Scholar] [CrossRef]
- Abdullah; Randhawa, M.A.; Akhtar, S.; Asghar, A.; Sohaib, M.; Aadil, R.M.; Jahangir, M.A. Assessment of different washing treatments to mitigate imidacloprid and acetamaprid residues in spinach. J. Sci. Food Agric. 2016, 96, 3749–3754. [Google Scholar] [CrossRef] [PubMed]
- Ruengprapavut, S.; Sophonnithiprasert, T.; Pongpoungphet, N. The effectiveness of chemical solutions on the removal of carbaryl residues from cucumber and chili presoaked in carbaryl using the HPLC technique. Food Chem. 2020, 309, 125659. [Google Scholar] [CrossRef]
- Palou, L.S.; Usall, J.; Muñoz, J.A.; Smilanick, J.L.; Viñas, I. Hot water, sodium carbonate, and sodium bicarbonate for the control of postharvest green and blue molds of clementine mandarins. Postharvest Biol. Technol. 2002, 24, 93–96. [Google Scholar] [CrossRef]
- Schirra, M.; D’Aquino, S.; Palma, A.; Angioni, A.; Cabras, P. Factors affecting the synergy of thiabendazole, sodium bicarbonate, and heat to control postharvest green mold of citrus fruit. J. Agric. Food Chem. 2008, 56, 10793–10798. [Google Scholar] [CrossRef]
- Rasolonjatovo, M.A.; Cemek, M.; Cengiz, M.F.; Ortaç, D.; Konuk, H.B.; Karaman, E.; Kocaman, A.T.; Göneş, S. Reduction of methomyl and acetamiprid residues from tomatoes after various household washing solutions. Int. J. Food Prop. 2017, 20, 2748–2759. [Google Scholar] [CrossRef]
- Ramadan, R. Residues of Profenofos and Pirimiphos Methyl in Tomato and Okra Fruits as Influenced by Certain Technological Processes. In Proceedings of the 4th National Conference of Pests & Diseases in Vegetables and Fruits in Egypt, 1990; pp. 303–316. [Google Scholar]
- Holland, P.; Hamilton, D.; Ohlin, B.; Skidmore, M. Effects of storage and processing on pesticide residues in plant products. Pure Appl. Chem. 1994, 66, 335–356. [Google Scholar] [CrossRef]
- Qi, Y.; Cao, J.; Li, C.; Ren, P.; Qin, S.; Li, J. Dissipation, processing factors and dietary exposure assessment of myclobutanil in tomato. Molecules 2023, 28, 5978. [Google Scholar] [CrossRef]
- Chen, Z.; Dong, F.; Ren, X.; Wu, X.; Yuan, L.; Li, L.; Li, W.; Zheng, Y. Enantioselective fate of dinotefuran from tomato cultivation to home canning for refining dietary exposure. J. Hazard. Mater. 2021, 405, 124254. [Google Scholar] [CrossRef]
- LeJeune, J.T.; Zhou, K.; Kopko, C.; Igarashi, H. FAO/WHO joint expert meeting on microbiological risk assessment (JEMRA): Twenty years of international microbiological risk assessment. Foods 2021, 10, 1873. [Google Scholar] [CrossRef]
- Malhat, F.; Anagnostopoulos, C. Residue behavior of etoxazole under field conditions in Egypt and estimation of processing factors during the production of strawberry juice and purée. J. Environ. Sci. Health Part B 2020, 55, 712–718. [Google Scholar] [CrossRef]
- Łozowicka, B.; Kaczyński, P.; Wołejko, E.; Jankowska, M.; Iwaniuk, P.; Hrynko, I.; Rutkowska, E.; Łuniewski, S.; Ilyasova, G.; Jabłońska-Trypuć, A. Comprehensive toxicological multi-year study on pesticides in apples: Control, trends and dietary risk assessment. Food Chem. 2025, 464, 141897. [Google Scholar] [CrossRef] [PubMed]
- Horska, T.; Stara, J.; Kocourek, F.; Uttl, L.; Han, J.; Kocourek, V.; Hajslova, J.; Hanackova, Z.; Schusterova, D. Dissipation of Triazole Fungicides in Apples. Foods 2025, 14, 3210. [Google Scholar] [CrossRef]
- Ombeni, J.; Munyuli, T.; Makelele, J. Use of pesticides in tomato crop and its impact on the nutritional quality of vegetables and the health status of market gardeners in rural health zones of South Kivu Province, Eastern of the Democratic Republic of Congo. Acad. Lett. 2021, 2. [Google Scholar] [CrossRef]
- Zhang, B.; Lv, F.; Yang, J. Pesticides toxicity, removal and detoxification in plants: A review. Agronomy 2024, 14, 1260. [Google Scholar] [CrossRef]
- Watanabe, M.; Ohta, Y.; Licang, S.; Motoyama, N.; Kikuchi, J. Profiling contents of water-soluble metabolites and mineral nutrients to evaluate the effects of pesticides and organic and chemical fertilizers on tomato fruit quality. Food Chem. 2015, 169, 387–395. [Google Scholar] [CrossRef]
- Shalaby, A. Residues of lambda-cyhalothrin insecticide and its biochemical effects on sweet pepper fruits. J. Product. Dev. 2017, 22, 65–81. [Google Scholar]
- Parween, T.; Jan, S.; Mahmooduzzafar, S.; Fatma, T.; Siddiqui, Z.H. Selective effect of pesticides on plant—A review. Crit. Rev. Food Sci. Nutr. 2016, 56, 160–179. [Google Scholar] [CrossRef] [PubMed]
- Taiz, L.; Zeiger, E. Plant Physiology; Sinauer Associates, Inc.: Sunderland, MA, USA, 2006. [Google Scholar]
- Takala, N.; Sirén, H.; Jakl, M.; Jaklová Dytrtová, J. Determination of important azoles in soil solution using CE. Monatshefte Für Chem.-Chem. Mon. 2019, 150, 1625–1631. [Google Scholar] [CrossRef]
- Jakl, M.; Fanfrlík, J.; Jaklová Dytrtová, J. Mimicking of cyproconazole behavior in the presence of Cu and Zn. Rapid Commun. Mass Spectrom. 2017, 31, 2043–2050. [Google Scholar] [CrossRef]
- Jakl, M.; Zeljković, S.Ć.; Kovač, I.; Bělonožníková, K.; Dytrtová, J.J. Side effects of triazoles on treated crops. Chemosphere 2021, 277, 130242. [Google Scholar] [CrossRef]
- Kishorekumar, A. Differential effects of hexaconazole and paclobutrazol on the foliage characteristics of Chinese potato (Solenostemon rotundifolius Poir., JK Morton). Acta Biol. Szeged. 2006, 50, 127–129. [Google Scholar]
- Rademacher, W. Biochemical effects of plant growth retardants. In Plant Biochemical Regulators; CRC Press: Boca Raton, FL, USA, 2020; pp. 169–200. [Google Scholar]
- Hýsková, V.; Jakl, M.; Jaklová Dytrtová, J.; Ćavar Zeljković, S.; Vrobel, O.; Bělonožníková, K.; Kavan, D.; Křížek, T.; Šimonová, A.; Vašková, M. Triazoles as a Potential Threat to the Nutritional Quality of Tomato Fruits. Metabolites 2023, 13, 988. [Google Scholar] [CrossRef]
- Porlingis, I.; Koukourikou-Petridou, M. Promotion of adventitious root formation in mung bean cuttings by four triazole growth retardants. J. Hortic. Sci. 1996, 71, 573–579. [Google Scholar] [CrossRef]
- Gomathinayagam, M.; Jaleel, C.A.; Lakshmanan, G.A.; Panneerselvam, R. Changes in carbohydrate metabolism by triazole growth regulators in cassava (Manihot esculenta Crantz); effects on tuber production and quality. C. R. Biol. 2007, 330, 644–655. [Google Scholar] [CrossRef]
- Kovač, I.; Jakl, M.; Fanfrlík, J.; Andrushchenko, V.; Jaklova Dytrtova, J. Complexation and stability of the fungicide penconazole in the presence of zinc and copper ions. Rapid Commun. Mass Spectrom. 2020, 34, e8714. [Google Scholar] [CrossRef] [PubMed]
- Chauhan, S.S.; Agrawal, S.; Srivastava, A. Effect of imidacloprid insecticide residue on biochemical parameters in potatoes and its estimation by HPLC. Asian J. Pharm. Clin. Res 2013, 6, 114–117. [Google Scholar]
- Ismail, S.M.; Ali, H.M.; Habiba, R.A. GC-ECD and GC-MS analyses of profenofos residues and its biochemical effects in tomatoes and tomato products. J. Agric. Food Chem. 1993, 41, 610–615. [Google Scholar] [CrossRef]
- Kengar, Y.; Kamble, A.; Sabale, A. Effect of hexaconazole and triazophos on seed germination and growth parameters of spinach and gaur. Ann. Biol. Res. 2014, 5, 89–92. [Google Scholar]
- Shalaby, A. Residues of Thiamethoxam and Chlorpyrifos on Okra in Relation to Their Effects on Some Internal Quality Parameters and Elements in Fruits. J. Product. Dev. 2016, 21, 349–367. [Google Scholar]
- Radwan, M.; Shiboob, M.; Abu-Elamayem, M.; Abdel-Aal, A. Residues of pirimiphos methyl and profenofos on green pepper and eggplant fruits and their effect on some quality properties. Emir. J. Agric. Sci 2004, 16, 32–42. [Google Scholar] [CrossRef]
- Abrokwah, F.K.; Matthe, M.; Dans, P.; Ahene Affoh, A. Study on the effects of acetamiprid and lambda-cyhalothrin application on some biochemical parameters of onion and tomato. Int. Res. J. Food Nutr. 2019, 1, 10–17. [Google Scholar]





| Acetonitrile | Tomato Fruits | |||
|---|---|---|---|---|
| PCZ | DFZ | PCZ | DFZ | |
| Range (mg/L) | 0.01–5 | 0.01–5 | 0.01–5 | 0.01–5 |
| R2 | 0.9999 | 0.9996 | 0.9997 | 0.9977 |
| Slope | 195.14 | 168.65 | 209.78 | 142.73 |
| Intra-day repeatability (RSDr, %) | - | - | ≤4.94 | ≤3.22 |
| LOQ (mg kg−1) | - | - | 0.1 | 0.1 |
| LOD (mg kg−1) | - | - | 0.033 | 0.033 |
| Matrix effect (%) | - | - | 7.5 | −15.3 |
| Fungicides | Spiked Level (mg‧kg−1) | Average (%) | RSD (%) |
|---|---|---|---|
| PCZ | 0.1 | 98.44 | 1.60 |
| 0.5 | 97.86 | 4.83 | |
| 1 | 105.08 | 2.47 | |
| DFZ | 0.1 | 97.64 | 1.44 |
| 0.5 | 98.66 | 1.66 | |
| 1 | 100.08 | 3.22 |
| Intervals (Days) | PCZ | DFZ | ||||
|---|---|---|---|---|---|---|
| Residues (mg/kg) | Degradation (%) | Persistence (%) | Residues (mg/kg) | Degradation (%) | Persistence (%) | |
| 0 | 0.79 ± 0.12 | 0 | 100 | 2.85 ± 0.24 | 0 | 100 |
| 1 | 0.66 ± 0.14 | 16.45 | 83.55 | 1.79 ± 0.27 | 37.19 | 62.81 |
| 3 | 0.44 ± 0.05 | 44.3 | 55.7 | 0.91 ± 0.08 | 68.07 | 31.93 |
| 6 | 0.23 ± 0.02 | 70.88 | 29.12 | 0.76 ± 0.04 | 73.33 | 26.67 |
| 9 | 0.12 ± 0.10 | 84.81 | 15.19 | 0.33 ± 0.0.3 | 88.42 | 11.58 |
| 12 | 0.09 ± 0.07 | 88.6 | 11.4 | 0.14 ± 0.04 | 95.08 | 4.92 |
| 15 | 0.002 ± 0.002 | 99.74 | 0.26 | 0.05 ± 0.04 | 98.25 | 1.75 |
| PHI | 12 days | 9 days | ||||
| t1/2 | 2.08 days | 2.78 days | ||||
| k | 0.334 days −1 | 0.249 days−1 | ||||
| Process | Unwashed | Water | Acetic Acid | Sodium Carbonate | Paste | |
|---|---|---|---|---|---|---|
| Residues (mg/kg) | PCZ | 0.66 ± 0.14 | 0.44 ± 0.03 | 0.38 ± 0.07 | UND | 0 |
| DFZ | 1.79 ± 0.27 | 0.31 ± 0.06 | 0.41 ± 0.11 | 0.30 ± 0.02 | 0.09 ± 0.08 | |
| Degradation (%) | PCZ | 16.45 | 32.82 | 42.92 | 100 | 100 |
| DFZ | 37.19 | 82.68 | 77.28 | 83.42 | 94.97 | |
| Processing Factor | PCZ | - | 0.67 | 0.58 | 0 | 0 |
| DFZ | - | 0.17 | 0.23 | 0.17 | 0 | |
| Parameters | Days | |||||||
|---|---|---|---|---|---|---|---|---|
| Initial | 1 | 3 | 6 | 9 | 12 | 15 | ||
| EADI | PCZ | 0.1165 | 0.0973 | 0.0649 | 0.0339 | 0.0177 | 0.0132 | 0.0002 |
| DFZ | 0.4203 | 0.264025 | 0.1342 | 0.1121 | 0.0486 | 0.0206 | 0.0073 | |
| HRI | PCZ | 3.8841 | 3.245 | 2.1633 | 1.308 | 0.590 | 0.4425 | 0.0098 |
| DFZ | 42.037 | 26.402 | 13.422 | 11.21 | 4.86 | 2.065 | 0.7375 | |
| Health risk | PCZ | Yes | Yes | Yes | Yes | No | No | No |
| DFZ | Yes | Yes | Yes | Yes | Yes | Yes | No | |
Disclaimer/Publisher’s Note: The statements, opinions and data contained in all publications are solely those of the individual author(s) and contributor(s) and not of MDPI and/or the editor(s). MDPI and/or the editor(s) disclaim responsibility for any injury to people or property resulting from any ideas, methods, instructions or products referred to in the content. |
© 2025 by the authors. Licensee MDPI, Basel, Switzerland. This article is an open access article distributed under the terms and conditions of the Creative Commons Attribution (CC BY) license.
Share and Cite
Elkholy, E.S.; Shalaby, A.A.; Ramadan, M.M.; Al-Shuraym, L.A.; Shukry, M.; Zhang, Q.; Aioub, A.A.A.; El-Hamid, R.M.A. Dissipation of Triazole Residues and Their Impact on Quality Parameters and Nutrient Contents in Tomato Fruits and Products: From Farm to Table. Toxics 2026, 14, 20. https://doi.org/10.3390/toxics14010020
Elkholy ES, Shalaby AA, Ramadan MM, Al-Shuraym LA, Shukry M, Zhang Q, Aioub AAA, El-Hamid RMA. Dissipation of Triazole Residues and Their Impact on Quality Parameters and Nutrient Contents in Tomato Fruits and Products: From Farm to Table. Toxics. 2026; 14(1):20. https://doi.org/10.3390/toxics14010020
Chicago/Turabian StyleElkholy, Eman S., Atta A. Shalaby, Mahmoud M. Ramadan, Laila A. Al-Shuraym, Mustafa Shukry, Qichun Zhang, Ahmed A. A. Aioub, and Rania M. Abd El-Hamid. 2026. "Dissipation of Triazole Residues and Their Impact on Quality Parameters and Nutrient Contents in Tomato Fruits and Products: From Farm to Table" Toxics 14, no. 1: 20. https://doi.org/10.3390/toxics14010020
APA StyleElkholy, E. S., Shalaby, A. A., Ramadan, M. M., Al-Shuraym, L. A., Shukry, M., Zhang, Q., Aioub, A. A. A., & El-Hamid, R. M. A. (2026). Dissipation of Triazole Residues and Their Impact on Quality Parameters and Nutrient Contents in Tomato Fruits and Products: From Farm to Table. Toxics, 14(1), 20. https://doi.org/10.3390/toxics14010020

