error_outline You can access the new MDPI.com website here. Explore and share your feedback with us.
 
 
Sign in to use this feature.

Years

Between: -

Subjects

remove_circle_outline
remove_circle_outline
remove_circle_outline
remove_circle_outline
remove_circle_outline
remove_circle_outline
remove_circle_outline
remove_circle_outline

Journals

Article Types

Countries / Regions

Search Results (23)

Search Parameters:
Keywords = fresh grass ratio

Order results
Result details
Results per page
Select all
Export citation of selected articles as:
31 pages, 12834 KB  
Article
The Effect of Pre-Sowing Seed Treatment and Foliar Applications of Growth Stimulants on the Productivity of Perennial Grasses Under the Conditions of Northern Kazakhstan
by Saltanat Baidalina, Zhanat Salikova, Akhama Akhet, Ildar Bogapov, Miras Suraganov, Adiya Akhetova, Zhuldyz Alshinbayeva and Marden Baidalin
Agronomy 2025, 15(11), 2547; https://doi.org/10.3390/agronomy15112547 - 31 Oct 2025
Viewed by 607
Abstract
A two-year (2023–2024) multifactorial field study was conducted under the agro-climatic conditions of Northern Kazakhstan, with the objective of refining cultivation practices for hayfields of perennial legumes and grasses, including alfalfa (Medicago sativa L.), smooth brome (Bromus inermis Leyss.), and sainfoin [...] Read more.
A two-year (2023–2024) multifactorial field study was conducted under the agro-climatic conditions of Northern Kazakhstan, with the objective of refining cultivation practices for hayfields of perennial legumes and grasses, including alfalfa (Medicago sativa L.), smooth brome (Bromus inermis Leyss.), and sainfoin (Onobrychis arenaria Kit). The elements targeted for optimization included the species composition and component ratios in the mixtures, as well as the regimes of pre-sowing and foliar applications of growth regulators (AminoMax, Black Jak, Miller Start, Lider-S). The integrated experimental design accounted for laboratory and field germination, biometric parameters (plant height, leafiness), phenophase dynamics, autumn survival and overwintering, indicators of photosynthetic activity, as well as yields of green biomass and dry matter, and chemical composition (crude protein, fiber, ash, fat, and nitrogen-free extract). Grass–legume mixtures ensured more stable progression of phenophases, improved overwintering, and enhanced protein value compared to monocultures; the inclusion of sainfoin contributed to improved forage quality without compromising yield. Growth regulators promoted accelerated initial plant development and enhanced the intensity of net photosynthetic productivity. The greatest effect of application was observed in the grass component with Miller Start, whereas in the legume species it was most pronounced with AminoMax. The results of the study revealed that the optimal proportion of legumes in the forage mixtures is 30–40%. Under contrasting hydrothermal conditions, the yield of fresh and dry matter ranged from 4.19 to 4.81 t ha−1 and 1.27–1.51 t ha−1 (2023) to 10.43–14.46 t ha−1 and 3.05–4.63 t ha−1 (2024). The greatest effect was observed with Miller Start and AminoMax treatments (p < 0.05), whereas the action of Black Jak and Lider-S was moderate, confirming differences in their mechanisms of action under contrasting weather conditions. Full article
(This article belongs to the Section Grassland and Pasture Science)
Show Figures

Figure 1

16 pages, 5397 KB  
Article
The Agronomic Traits Differences in Hericium erinaceus Cultivated with Different Straw Formulations by Replacing Wood with Straw
by Zhu Lu, Yang Yang, Shuang Hu, Yu-Kun Ma, Zi-Ming Ren, Yue Wang, Ying-Kun Yang, Shu-Juan Ji, Huan Wang and Xiao Huang
Horticulturae 2025, 11(10), 1220; https://doi.org/10.3390/horticulturae11101220 - 10 Oct 2025
Viewed by 1527
Abstract
Hericium erinaceus, a rare edible–medicinal fungus, has attracted great attention in food and pharmaceutical fields due to its rich nutritional and bioactive components. However, its traditional cultivation relies heavily on wood chip substrates, causing resource unsustainability. The “wood-replacing-with-grass” technology can address this [...] Read more.
Hericium erinaceus, a rare edible–medicinal fungus, has attracted great attention in food and pharmaceutical fields due to its rich nutritional and bioactive components. However, its traditional cultivation relies heavily on wood chip substrates, causing resource unsustainability. The “wood-replacing-with-grass” technology can address this issue, contributing to ecological conservation and alleviating resource conflicts between edible fungus cultivation and forestry development. This study focused on straw substitution for wood chips, initially screening suitable straw types and optimal addition ratios from 7 straw varieties, and systematically investigating the agronomic trait variations in H. erinaceus under different substrate formulations via cultivation experiments. Results showed the following: (1) Rapeseed straw, soybean straw, and corn straw substituting 20%, 30%, and 40% of wood chips, respectively, promoted better mycelial growth of H. erinaceus. (2) All screened straw formulations enabled fruiting. With increased straw addition, the mycelial full colonization time shortened (up to 5 days shorter in 40% corn/soybean straw treatments). The 20% corn straw treatment showed significantly higher biological efficiency and average fresh weight than the control (CK); the 20% soybean straw treatment had no significant difference in biological efficiency but significantly higher average fresh weight than CK; and the 20% rapeseed straw treatment showed no significant differences in both indexes from CK. However, when straw addition exceeded 20%, fruiting body firmness, yield, and biological efficiency decreased progressively. (3) The 40% soybean straw treatment yielded fruiting bodies with the highest crude protein, manganese, and iron contents, while the 40% rapeseed straw treatment had the highest crude fat, potassium, phosphorus, calcium, zinc, and selenium contents. These findings provide a theoretical basis and practical reference for optimizing H. erinaceus cultivation substrate formulations, improving product quality, and promoting sustainable industrial development. Full article
(This article belongs to the Special Issue Advances in Propagation and Cultivation of Mushroom)
Show Figures

Figure 1

13 pages, 1239 KB  
Article
Assessing the Fermentation Quality, Bacterial Composition and Ruminal Degradability of Caragana korshinskii Ensiled with Oat Grass
by Yao Shen, Kun Wang, Benhai Xiong, Fuguang Xue, Yajie Kang, Shichao Liu and Liang Yang
Fermentation 2025, 11(7), 420; https://doi.org/10.3390/fermentation11070420 - 20 Jul 2025
Cited by 1 | Viewed by 834
Abstract
The purpose of this study was to explore the effects of co-ensiling Caragana korshinskii with different proportions of oat grass on silage fermentation quality, chemical composition, in situ rumen degradability and in vitro rumen fermentation characteristics. C. korshinskii and oat grass were mixed [...] Read more.
The purpose of this study was to explore the effects of co-ensiling Caragana korshinskii with different proportions of oat grass on silage fermentation quality, chemical composition, in situ rumen degradability and in vitro rumen fermentation characteristics. C. korshinskii and oat grass were mixed at different ratios of 100:00, 90:1, 80:2, 70:30, 60:40 and 50:50. Each ratio of mixture was ensiled for 7, 14, 30, 45 and 60 days at room temperature (25 °C), with 30 bags per ratio, for a total of 180 bags. We further investigated the dynamic profiles of the bacterial community during ensiling and in vitro rumen fermentation. The results showed that co-ensiling C. korshinskii and oat grass decreased the pH values and increased the content of lactic acid and acetic acid compared with ensiling C. korshinskii alone. C. korshinskii ensiled with oat grass at a ratio of 70:30 (70% C. korshinskii) showed the best fermentation quality, which was related to higher relative abundance of Lactobacillus and Weissella. The silage with the ratio of 70:30 (70% C. korshinskii) showed higher dry matter digestibility and the more production of gas and total volatile fatty acids, compared with fresh C. korshinskii. In conclusion, C. korshinskii co-ensiled with oat grass at a ratio of 70:30 could enhance the fermentation quality and digestibility of C. korshinskii. Full article
Show Figures

Figure 1

25 pages, 1306 KB  
Article
Comparative Study on Production Performance of Different Oat (Avena sativa) Varieties and Soil Physicochemical Properties in Qaidam Basin
by Wenqi Wu, Ronglin Ge, Jie Wang, Xiaoli Wei, Yuanyuan Zhao, Xiaojian Pu and Chengti Xu
Plants 2025, 14(13), 1978; https://doi.org/10.3390/plants14131978 - 28 Jun 2025
Cited by 2 | Viewed by 999
Abstract
Oats (Avena sativa L.) are forage grasses moderately tolerant to saline-alkali soil and are widely used for the improvement and utilization of saline-alkali land. Using the oat varieties collected from the Qaidam Basin as experimental materials, based on the analysis data of [...] Read more.
Oats (Avena sativa L.) are forage grasses moderately tolerant to saline-alkali soil and are widely used for the improvement and utilization of saline-alkali land. Using the oat varieties collected from the Qaidam Basin as experimental materials, based on the analysis data of the main agronomic traits, quality, and soil physical and chemical properties of different oat varieties at the harvest stage. The hay yield of Molasses (17,933.33 kg·hm−2) was the highest (p < 0.05), the plant height (113.59 cm) and crude fat (3.02%) of Qinghai 444 were the highest (p < 0.05), the fresh-dry ratio (2.62), crude protein (7.43%), and total salt content in plants (68.33 g·kg−1) of Qingtian No. 1 were the highest (p < 0.05), and the Relative forage value (RFV) of Baler (122.96) was the highest (p < 0.05). In the 0–15 cm and 15–30 cm soil layers of different oat varieties, the contents of pH, EC, total salt, Ca2+, Mg2+, and HCO3 showed a decreasing trend at the harvest stage compared to the seedling stage, while the contents of organic matter, total nitrogen, Cl, and SO42− showed an increasing trend. The contents of K+ and Na+ maintained a relatively balanced relationship between the seedling stage and the harvest stage in the two soil layers. Qingtian No. 1, Qingyin No. 1, and Molasses all rank among the top three in terms of production performance and soil physical and chemical properties, and they are the oat varieties suitable for cultivation in the research area. Full article
(This article belongs to the Section Plant–Soil Interactions)
Show Figures

Figure 1

16 pages, 1472 KB  
Article
Effects of Pineapple Peel on the Nutritional and Microbial Profiles of Napier Grass–Sugarcane Top Silage
by Huade Xie, Zhenhua Tang, Fanquan Zeng, Xianqing Luo, Fang Xie, Li Liang, Jingzhen Li, Pinfeng Liao, Lijuan Peng, Zhipei Li, Haiyu Bai, Xiaoqiang Guo and Chengjian Yang
Microorganisms 2025, 13(6), 1314; https://doi.org/10.3390/microorganisms13061314 - 5 Jun 2025
Cited by 1 | Viewed by 1664
Abstract
Agricultural byproducts, including pineapple peel (PP), are valuable feed additives which support the livestock industry. However, conflicting evidence exists regarding the optimal amount of PP required to achieve optimal fermentation in silage. This study examines the impact of ensiling mixtures of equal proportions [...] Read more.
Agricultural byproducts, including pineapple peel (PP), are valuable feed additives which support the livestock industry. However, conflicting evidence exists regarding the optimal amount of PP required to achieve optimal fermentation in silage. This study examines the impact of ensiling mixtures of equal proportions of fresh Napier grass (NG) and sugarcane top (ST) with varying levels of PP (0% [C], 10% [P1], 20% [P2], and 30% [P3]) on fermentation quality, microbiological profiles, and in vitro ruminal digestion. Compared to the C silage, the dry matter, crude protein, and neutral detergent fiber contents decreased in the silage treated with increasing PP (p < 0.05). P1 exhibited lower (p > 0.05) pH, higher (p > 0.05) lactic acid content, and lower (p < 0.05) NH3-N content than other silage. The Chao 1, ACE index, and relative abundance of Lacticaseibacillus and Lactobacillales were decreased following the order of C > P1 > P2 > P3 (p < 0.05). Although there were no significant differences observed in most vitro ruminal fermentation parameters among four silages (p > 0.05), P1 exhibited higher total gas production, total volatile fatty acid, acetate acid, acetate-to-propionate ratio, and lower pH than the other silages. These results demonstrated that a NG and ST mixture co-ensiling with appropriate PP enhances the NG and ST mixture silage quality, and the optimum addition ratio for PP was 10% on a fresh matter basis. Full article
(This article belongs to the Section Food Microbiology)
Show Figures

Figure 1

13 pages, 1097 KB  
Article
Efficient Strategy for Water and Nutrient Management to Economically Enhance Mombasa Grass Productivity
by Abdulaziz Alharbi, Saleh Alsunaydi, Mohamed I. Motawei, Ahmed Alzoheiry and Mohamed Ghonimy
Agronomy 2025, 15(6), 1274; https://doi.org/10.3390/agronomy15061274 - 22 May 2025
Cited by 2 | Viewed by 2383
Abstract
This study investigates the optimal water and nitrogen fertilization levels to enhance the productivity and quality of Mombasa grass (Panicum maximum cv. Mombasa) under drought-prone conditions. Four irrigation treatments were applied based on irrigation depth: high irrigation (I1 = 691.2 [...] Read more.
This study investigates the optimal water and nitrogen fertilization levels to enhance the productivity and quality of Mombasa grass (Panicum maximum cv. Mombasa) under drought-prone conditions. Four irrigation treatments were applied based on irrigation depth: high irrigation (I1 = 691.2 mm), control irrigation (I2 = 575.0 mm), moderate stress (I3 = 460.8 mm), and severe stress (I4 = 345.6 mm). Two nitrogen fertilization levels were tested: full fertilization (F1 = 300 kg N·ha−1) and half fertilization (F2 = 150 kg N·ha−1). Severe water stress (I4) significantly reduced growth parameters, with fresh weight (FW) decreasing by 21.9% and dry weight (DW) decreasing by 20.3% compared to the control. In contrast, higher irrigation levels (I1 and I2) notably improved FW and DW. Full nitrogen application (F1) enhanced FW, DW, and plant height, whereas the half dose (F2) resulted in lower growth performance. Water productivity (WP) was highest under moderate stress (I3) combined with F1, and under severe stress (I4) combined with F2, it was the worst. Protein percentage per irrigation water unit (PPW) increased with greater water deficits, while total protein production per irrigation water unit (TPW) peaked under higher irrigation levels. These findings indicate a trade-off between forage quality (PPW) and quantity (TPW), where PPW is more critical for marketing purposes and TPW is better suited for on-farm feeding. Economically, treatment I3F1 proved to be the most efficient option under moderate water availability. It combined reduced irrigation with a high fertilizer rate, resulting in a strong net return and the second-highest benefit-cost ratio among all treatments. This indicates its potential as a cost-effective and resource-efficient strategy in water-limited environments. Full article
Show Figures

Figure 1

17 pages, 2717 KB  
Article
Inclusion of Hybrid Pennisetum and Probiotics Enhanced Anaerobic Fermentation Quality and Bacterial Diversity of Alfalfa Silage
by Jiaqi Tang, Jue Li, Xuelin Han, Jie Qiao, Shuangshuang Bu, Xiaoping Xie, Xin Li, Jing Zhou and Fulin Yang
Agriculture 2024, 14(12), 2103; https://doi.org/10.3390/agriculture14122103 - 21 Nov 2024
Viewed by 1451
Abstract
This study aims to assess the impact of Bacillus subtilis (BS) and Lactobacillus buchneri (LB) on the fermentation quality, microbial communities, and predicted metabolic pathways in mixed silage made from alfalfa and hybrid Pennisetum. We prepared mixed silage from fresh alfalfa and [...] Read more.
This study aims to assess the impact of Bacillus subtilis (BS) and Lactobacillus buchneri (LB) on the fermentation quality, microbial communities, and predicted metabolic pathways in mixed silage made from alfalfa and hybrid Pennisetum. We prepared mixed silage from fresh alfalfa and hybrid Pennisetum in a 1:1 ratio and inoculated it with BS, LB, or a combination of both (BSLB) or left it untreated as a control. The silage was fermented for 30 and 60 days. The results showed that inoculation with BS, LB, or their combination increased the lactic acid and crude-protein content while reducing the fiber content compared to the control. Additionally, BS and LB inoculation raised (p < 0.05) the acetic acid content, and the combination of both strains increased (p < 0.05) the ratio of lactic acid to acetic acid. LB alone and the combined inoculation also increased the relative abundance of Lactobacillus during the pre-silage period. Functional analysis through the Kyoto Encyclopedia of Genes and Genomes (KEGG) revealed considerable variations among the different probiotic treatments. The silage process reduced nucleotide metabolism but enhanced carbohydrate, amino acid, energy, cofactor, and vitamin nucleotide metabolism. High-throughput sequencing combined with KEGG functional prediction demonstrated significant differences in community composition and functional changes at 30 and 60 days of fermentation. These findings enhance our understanding of bacterial communities and functional changes in mixed silage of alfalfa and hybrid Pennisetum, offering valuable insights into the fermentation mechanisms of legume and grass silage and informing practices for producing high-quality mixed silage. Full article
(This article belongs to the Section Farm Animal Production)
Show Figures

Figure 1

16 pages, 3177 KB  
Article
Silage Making of Napier Grass and Sugarcane Top at Different Proportions: Evolution of Natural Fermentation Characteristics, Chemical Composition, and Microbiological Profile
by Huade Xie, Fanquan Zeng, Xianqing Luo, Zhipei Li, Yuhong Pan, Yanxia Guo, Lijuan Peng, Li Liang, Jingzhen Li, Yuchen Liang and Chengjian Yang
Fermentation 2024, 10(10), 525; https://doi.org/10.3390/fermentation10100525 - 15 Oct 2024
Cited by 3 | Viewed by 3951
Abstract
The co-ensiling technique is widely used to improve silage quality; however, it remains unclear as to what high-quality silages can be made by co-ensiling Napier grass (NG) with Sugarcane top (ST). The aim of this study was to evaluate the fermentation characteristics, chemical [...] Read more.
The co-ensiling technique is widely used to improve silage quality; however, it remains unclear as to what high-quality silages can be made by co-ensiling Napier grass (NG) with Sugarcane top (ST). The aim of this study was to evaluate the fermentation characteristics, chemical composition, and microbiological profile of silage produced from mixtures of NG and ST in varying ratios. Silage was prepared using a small-scale fermentation system, and treatments were designed as control silage (NG ensiled alone) or with 10%, 20%, 30%, 40%, 50%, 60%, 70%, 80%, 90%, and 100%ST on a fresh matter basis with six replicates, respectively. Increasing ST in the silage reduced the contents of crude protein, ash, acetic acid, butyric acid, ammonia-N, as well as pH, but increased the contents of dry matter, ether extract, neutral detergent fiber, acid detergent fiber, water-soluble carbohydrate, lactic acid, and lactic acid bacteria. Lactobacillales and Enterobacterales were the dominant orders, with Lactiplantibacillus and Weissella as the dominant genera. Co-ensiling NG with ST enhanced microbial diversity and richness. ST, as a local by-product, is a viable additive to improve NG silage quality and nutrition. This study suggests that good-quality silages can be produced with NG: ST ratios of 40:60 to 20:80 and that these silages offer an opportunity to optimize the nutrient supply for ruminants. Full article
(This article belongs to the Special Issue Application of Fermentation Technology in Animal Nutrition)
Show Figures

Figure 1

11 pages, 1155 KB  
Article
Testing the Feasibility of Usumacinta River Sediments as a Renewable Resource for Landscaping and Agronomy
by Mazhar Hussain, Daniel Levacher, Nathalie Leblanc, Hafida Zmamou, Irini Djeran-Maigre and Andry Razakamanantsoa
Sustainability 2023, 15(22), 15859; https://doi.org/10.3390/su152215859 - 11 Nov 2023
Viewed by 1681
Abstract
Fluvial sediment recycling in agronomy is a relatively recent development, as sediment fertilizing potential for crops is unexplored. Freshwater sediments can act as fertilizer and improve the aeration of soils to increase the yield of crops, support vegetation for landscaping, and provide protective [...] Read more.
Fluvial sediment recycling in agronomy is a relatively recent development, as sediment fertilizing potential for crops is unexplored. Freshwater sediments can act as fertilizer and improve the aeration of soils to increase the yield of crops, support vegetation for landscaping, and provide protective cover against erosion. This study focuses on the investigation of the agronomic potential of Usumacinta River sediments. The pH of the sediments is around 8.5, which is slightly alkaline. The organic matter content is low (5.7%). The sodium absorption ratio is 1.2 and the electrical conductivity is low (0.02 mS/cm). These values indicate that sediments are nonsaline, which is essential for the growth of crops and vegetation. The environmental characteristics of sediments show that the heavy metals, polycyclic aromatic hydrocarbon (PAH), and polychlorinated biphenyl (PCB) pollutants in sediments are below the recommended thresholds. In addition, sediments from the Usumacinta River contain minerals such as potassium and iron oxides that are helpful in improving the biological and nutritional characteristics of the soil. Furthermore, the pH, granulometry, mineralogy, organic matter, and carbonate contents of the Usumacinta River sediments are similar to agronomic soils. The Usumacinta River sediment’s potential for agronomy was practically investigated by sowing ryegrass (Lolium perenne) in a greenhouse by using the local climatic conditions and mixing sediments with potting soil. Three soil compositions were used to evaluate the germination and growth of ryegrass. The soil compositions were 100% potting soil (C1), 50% sediments + 50% potting soil (C2), and 100% sediments (C3). The growth rate of ryegrass was evaluated by monitoring the increase in grass height and production of fresh biomass. The germination of ryegrass was similar in all three compositions. The growth of ryegrass and production of fresh biomass were the most significant with 100% potting soil (0.25 kg/m2), somewhat less with sediment mix (0.18 kg·m2), and were the least significant with 100% sediments (0.05 kg/m2). The mixture of potting soil and sediments shows similar growth to 100% potting soil. The ryegrass seed germination, growth, and production of fresh biomass with the mixture of sediments gave encouraging results, and underlined the potential of sediments for soil amendments for agronomy and protective developments, such as limiting riverbank erosion, gardening, and landscaping. Full article
(This article belongs to the Section Sustainable Materials)
Show Figures

Figure 1

8 pages, 1705 KB  
Brief Report
Efficacy of S-metolachlor + glyphosate for Weed Control in Different Levels of Eucalyptus Straw
by Tayna Sousa Duque, Fernanda Santos Oliveira, Iasmim Marcella Souza, Bruno Caio Chaves Fernandes, Luma Lorena Loureiro da Silva Rodrigues, Daniel Valadão Silva and José Barbosa dos Santos
Forests 2023, 14(9), 1828; https://doi.org/10.3390/f14091828 - 7 Sep 2023
Cited by 2 | Viewed by 2311
Abstract
The occurrence of weeds in eucalyptus plantations can cause losses in productivity. Chemical control is widely used, but the efficiency of herbicides depends on management and environmental factors. This study aims to evaluate the efficiency of S-metolachlor + glyphosate in the control of [...] Read more.
The occurrence of weeds in eucalyptus plantations can cause losses in productivity. Chemical control is widely used, but the efficiency of herbicides depends on management and environmental factors. This study aims to evaluate the efficiency of S-metolachlor + glyphosate in the control of grasses in different densities of eucalyptus straw and with simulated rainfall after application of the product. The experiment was conducted in a randomized block design, factorial, with four replications. The first factor represented 0; 1.06 + 0.79 e 2.12 + 1.59 kg i.a. ha−1 of the commercial dose of S-metolachlor + glyphosate, the second 0; 5 and 10 tons ha−1 of straw and, the third 25 and 50 mm of water depth applied in soil with a mix of grasses previously sowed. The evaluations carried out were fresh mass, dry mass, and visual analysis of the control percentage. The fresh and dry mass and the grasses’ dry mass/water ratio decreased with increasing herbicide dosage and straw density. The treatments without straw and with the herbicide application had the highest percentages of control, the highest in the dosage of 2.12 + 1.59 kg i.a. ha−1 of S-metolachlor + glyphosate. Applying different water depths (25 mm or 50 mm) did not influence the control. In conclusion, it was observed that the isolated straw promoted the control of grasses. However, in treatments that included straw and herbicide, there was a decrease in the efficiency of the product, which suggests an antagonism between the vegetation cover and S-metolachlor + glyphosate. Full article
(This article belongs to the Section Forest Ecology and Management)
Show Figures

Graphical abstract

21 pages, 3701 KB  
Article
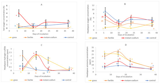
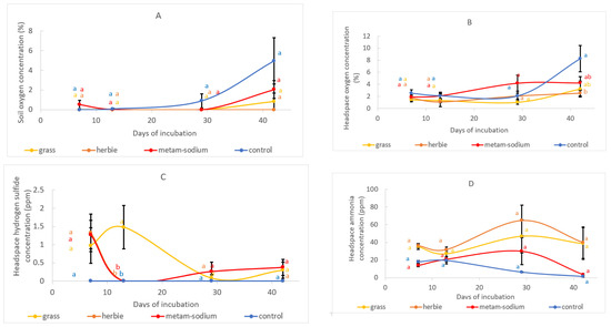
Effect of Anaerobic Soil Disinfestation on Tuber Vitality of Yellow Nutsedge (Cyperus esculentus)
by Jeroen Feys, Dirk Reheul, Wolf De Smet, Shana Clercx, Sander Palmans, Gert Van de Ven and Benny De Cauwer
Agriculture 2023, 13(8), 1547; https://doi.org/10.3390/agriculture13081547 - 2 Aug 2023
Cited by 6 | Viewed by 2338
Abstract
Cyperus esculentus is considered the sixteenth worst weed in the world. The weed causes huge losses in arable crops. Current control strategies are based on combinations of chemical and mechanical methods, repeated over years, and aim to deplete the belowground bud bank. However, [...] Read more.
Cyperus esculentus is considered the sixteenth worst weed in the world. The weed causes huge losses in arable crops. Current control strategies are based on combinations of chemical and mechanical methods, repeated over years, and aim to deplete the belowground bud bank. However, this is a slow process. Anaerobic soil disinfestation (ASD) using readily decomposable carbon sources may be a promising innovative method to quickly deplete the bud bank. This study investigated the effect of ASD with fresh grass clippings (dosage of 80 tonnes ha−1) differing in C:N ratio and Herbie® (consists of organic by-products from the food processing industry, dosage of 25 tonnes ha−1) on the vitality of small and large C. esculentus tubers buried at three depths (5, 15, and 30 cm) into two soils differing in soil type and soil moisture content. Their effects were compared with the effect of chemical soil disinfestation (CSD) with metam-sodium (153 kg ha−1). ASD with Herbie® showed at least equal performance compared with CSD with metam-sodium, with reductions in tuber vitality up to 97.5%. The performance of ASD with grass clippings was less consistent across soils and was affected by the C:N ratio of the grass. Both ASD and CSD showed the highest performance in moist, sandy soil and on small tubers. ASD is an effective and promising method to quickly deplete the C. esculentus bud bank, provided that the soil is sandy and moist, the carbon source has a C:N ratio of about 10, and the incorporation depth is at least 25 cm. To foster the implementation of ASD, future research should evaluate its performance consistency across environments and years. Full article
(This article belongs to the Section Crop Protection, Diseases, Pests and Weeds)
Show Figures

Figure 1

13 pages, 1973 KB  
Article
Organic C Fractions in Topsoil under Different Management Systems in Northeastern Brazil
by Adriano Venicius Santana Gualberto, Henrique Antunes de Souza, Edvaldo Sagrilo, Ademir Sergio Ferreira Araujo, Lucas William Mendes, Erika Valente de Medeiros, Arthur Prudêncio de Araujo Pereira, Diogo Paes da Costa, Renato Falconeres Vogado, João Rodrigues da Cunha, Marcos Lopes Teixeira and Luiz Fernando Carvalho Leite
Soil Syst. 2023, 7(1), 11; https://doi.org/10.3390/soilsystems7010011 - 5 Feb 2023
Cited by 12 | Viewed by 3463
Abstract
The conversion from native forest to other land-use systems can decline the soil organic carbon (SOC) in tropical soils. However, conservationist management could mitigate SOC losses, promoting the functioning and stability of agricultural soils. This study aimed to address the influence of conversion [...] Read more.
The conversion from native forest to other land-use systems can decline the soil organic carbon (SOC) in tropical soils. However, conservationist management could mitigate SOC losses, promoting the functioning and stability of agricultural soils. This study aimed to address the influence of conversion from native forest to different land-use systems on SOC fractions in Northeastern Brazil. Topsoil soil samples were collected in areas under pasture (PAS), no-tillage (NT1 and NT2), eucalyptus (EUC), and native forests of Cerrado in Northeastern, Brazil. Total organic C, microbial biomass (MBC), particulate (POC), and mineral-occluded organic C (MOC), as well as fulvic acids (C-FA), humic acids (C-HA), and humin (C-HUM) fractions were accessed. The results showed that land conversion maintained similar levels of humic fractions and total organic carbon (TOC) stocks in the PAS, NT1, NT2, and EUC as compared to native Cerrado. Soils with the input of permanent and diverse fresh organic material, such as NT2, PAS, and EUC, presented high levels of MBC and POC, and the lowest C-FA:TOC and C-HA:TOC ratios. The land conversion to agricultural systems that include cropping rotations associated with pasture species such as Mombasa grass and eucalyptus prevents topsoil losses of active C compartments in the Cerrado of the Brazilian Northeast. It suggests that sustainable and conservationist management should be emphasized to maintain and improve the status of soil organic C. Full article
(This article belongs to the Special Issue Advancements in Soil and Sustainable Agriculture)
Show Figures

Figure 1

10 pages, 1447 KB  
Article
Higher Risk for Sensitization to Commonly Consumed Herbs among Adults and Youngsters Suffering from Birch, Mugwort or Grass Pollinosis
by Waldemar Wagner, Krzysztof Buczyłko, Aneta Wagner, Angelika Szwed-Kowalska and Anna Stasiak
Int. J. Environ. Res. Public Health 2023, 20(1), 33; https://doi.org/10.3390/ijerph20010033 - 20 Dec 2022
Cited by 3 | Viewed by 6048
Abstract
Background: According to recent findings, mugwort and birch pollen-allergic patients represent a high-risk group for developing adverse allergic reactions to herbal spices due to cross-reacting allergens found in both pollen and raw herbs. Such associations are known as a pollen-plant food allergy syndrome. [...] Read more.
Background: According to recent findings, mugwort and birch pollen-allergic patients represent a high-risk group for developing adverse allergic reactions to herbal spices due to cross-reacting allergens found in both pollen and raw herbs. Such associations are known as a pollen-plant food allergy syndrome. Objective: The aim of the study was to evaluate the extent of sensitization to commonly consumed herb species representing Lamiaceae, Apiaceae and Brassicaceae families in Polish patients with suspected birch, mugwort or grass pollen allergy. Materials and Methods: Data were obtained from 180 patients, adults and children with suspected allergy to aeroallergens. Skin prick tests (SPT) were performed with standard birch, mugwort, grass mixture or dust mite extracts. Prick by prick tests were performed with fresh extracts of popular herbs: basil, oregano, lemon balm, mint, salvia, rosemary, thyme, anise, caraway and mustard. Results: Twenty-nine percent of patients were characterized by concomitant positive skin prick reactions to both herbs and pollens extracts. The concomitant pollinosis significantly increased the risk of SPT reaction to all tested herbs in adults (odds ratio, OR = 2.15–7.35) and children (OR = 5.3–28). The extent of SPT responses to herbs from Lamiaceae + Apiaceae were strongly correlated with SPT responses to pollens in the pediatric group (r = 0.685/p < 0.001). Conclusion: The study demonstrates that youngsters suffering from pollinosis are at high risk of developing allergic reactions to herbs and highlights the importance of including native skin prick tests with herbs in the diagnostic work-up for suspected food allergy. Full article
Show Figures

Figure 1

21 pages, 5329 KB  
Article
Studying the Physiological Reactions of C4 Grasses in Order to Select Them for Cultivation on Marginal Lands
by Aleksandra Steinhoff-Wrześniewska, Piotr Dąbrowski, Anna Paszkiewicz-Jasińska, Barbara Wróbel, Maria Strzelczyk, Marek Helis and Mohamed Hazem Kalaji
Sustainability 2022, 14(8), 4512; https://doi.org/10.3390/su14084512 - 10 Apr 2022
Cited by 3 | Viewed by 2602
Abstract
One of the problems of sustainable agricultural land management (SALM) is the competition between food production and biomass production. For this reason, marginal lands with unfavorable agrotechnical conditions have been proposed for non-food crops in recent years. To this end, a better understanding [...] Read more.
One of the problems of sustainable agricultural land management (SALM) is the competition between food production and biomass production. For this reason, marginal lands with unfavorable agrotechnical conditions have been proposed for non-food crops in recent years. To this end, a better understanding of the impact of environmental factors on crop development and yield is needed. The objective of the study was to investigate the effects of soil water availability on selected morphological, physiological and growth characteristics of four C4 grass species (Miscanthus × giganteus, Miscanthus sacchariflorus, Miscanthus sinensis and Spartina pectinate) growing under different water and fertilizer conditions. A pot experiment was conducted under greenhouse conditions with four grass species, three different water rates (100, 85 and 70%) and three fertilizer rates (270, 180 and 90 kg NPK ha−1). The study showed that water stress, regardless of plant species, increased the chlorophyll content index without affecting the photosynthetic efficiency of the plants. Water stress significantly decreased plant fresh and dry mass, shoot number and length, and shoot/leaf ratio. The response to water deficit depended on the plant species. Miscanthus sinensis was the most sensitive to water deficit and Spartina pectinate the most tolerant (reduction in dry mass of 41.5% and 18%, respectively). Water stress (85% and 70%) reduced the number and the length of shoots without affecting the average diameter of shoots of the tested grasses, resulting in a significant reduction in biomass production of plants grown under optimal conditions with mineral NPK fertilization (180 kg NPK ha−1). Miscanthus sacchariflorus showed the highest dry matter under the worst growing conditions (70% and 90 NPK) and therefore could be recommended for cultivation on marginal lands with unfavorable agrotechnical conditions. It should be emphasized that the high yield of this species was not due to the photosynthetic efficiency, but better growth stem parameters (length and number). It appears that, for long-term agricultural land management, it is preferable to determine fertilizer rates for each crop species based on soil water availability. It should also be emphasized that increasing the yield of potential lignocellulosic crops for energy purposes while reducing environmental impact appears to be one of the viable answers to the difficulties of conventional energy production. Full article
Show Figures

Figure 1

15 pages, 1230 KB  
Article
Functional Links between Biomass Production and Decomposition of Vetiver (Chrysopogon zizanioides) Grass in Three Australian Soils
by Bezaye Tessema, Brian Wilson, Heiko Daniel, Paul Kristiansen and Jeff A. Baldock
Plants 2022, 11(6), 778; https://doi.org/10.3390/plants11060778 - 15 Mar 2022
Cited by 5 | Viewed by 4597
Abstract
Plant roots are primary factors to contribute to surface and deep soil carbon sequestration (SCS). Perennial grasses like vetiver produce large and deep root system and are likely to contribute significantly to soil carbon. However, we have limited knowledge on how root and [...] Read more.
Plant roots are primary factors to contribute to surface and deep soil carbon sequestration (SCS). Perennial grasses like vetiver produce large and deep root system and are likely to contribute significantly to soil carbon. However, we have limited knowledge on how root and shoot decomposition differ and their contribution to SCS. This study examined biomass production and relative decomposition of vetiver which was grown under glasshouse conditions. Subsequently the biomass incubated for 206 days, and the gas analysed using ANCA-GSL. The results confirmed large shoot and root production potential of 161 and 107 Mg ha−1 (fresh) and 67.7 and 52.5 Mg ha−1 (dry) biomass, respectively with 1:1.43 (fresh) and 1:1.25 (dry) production ratio. Vetiver roots decomposed more rapidly in the clay soil (p < 0.001) compared with the shoots, which could be attributed to the lower C:N ratio of roots than the shoots. The large root biomass produced does indeed contribute more to the soil carbon accumulation and the faster root decomposition is crucial in releasing the carbon in the root exudates and would also speed up its contribution to stable SOM. Hence, planting vetiver and similar tropical perennial grasses on degraded and less fertile soils could be a good strategy to rehabilitate degraded soils and for SCS. Full article
(This article belongs to the Section Plant–Soil Interactions)
Show Figures

Graphical abstract

Back to TopTop