Next Article in Journal
Landscape Design for Flood Adaptation from 20 Years of Constructed Ecologies in China
Next Article in Special Issue
Nutrient Management of Shallot Farming in Sandy Loam Soil in Tegalrejo, Gunungkidul, Indonesia
Previous Article in Journal
Modeling Challenges for Improving the Heat Rate Performance in a Thermal Power Plant: Implications for SDGs in Energy Supply Chains
Previous Article in Special Issue
Climate Change Affects Crop Production Potential in Semi-Arid Regions: A Case Study in Dingxi, Northwest China, in Recent 30 Years
 
 
Font Type:
Arial Georgia Verdana
Font Size:
Aa Aa Aa
Line Spacing:
Column Width:
Background:
Article

Studying the Physiological Reactions of C4 Grasses in Order to Select Them for Cultivation on Marginal Lands

by
Aleksandra Steinhoff-Wrześniewska
1,*,
Piotr Dąbrowski
2,
Anna Paszkiewicz-Jasińska
1,
Barbara Wróbel
1,
Maria Strzelczyk
1,
Marek Helis
1 and
Mohamed Hazem Kalaji
1,3
1
Institute of Technology and Life Sciences–National Research Institute Falenty, 3 Hrabska Avenue, 05-090 Raszyn, Poland
2
Institute of Environmental Engineering, Warsaw University of Life Sciences-SGGW, 02-787 Warsaw, Poland
3
Institute of Biology, Warsaw University of Life Sciences-SGGW, 02-787 Warsaw, Poland
*
Author to whom correspondence should be addressed.
Sustainability 2022, 14(8), 4512; https://doi.org/10.3390/su14084512
Submission received: 24 February 2022 / Revised: 6 April 2022 / Accepted: 7 April 2022 / Published: 10 April 2022

Abstract

:
One of the problems of sustainable agricultural land management (SALM) is the competition between food production and biomass production. For this reason, marginal lands with unfavorable agrotechnical conditions have been proposed for non-food crops in recent years. To this end, a better understanding of the impact of environmental factors on crop development and yield is needed. The objective of the study was to investigate the effects of soil water availability on selected morphological, physiological and growth characteristics of four C4 grass species (Miscanthus × giganteus, Miscanthus sacchariflorus, Miscanthus sinensis and Spartina pectinate) growing under different water and fertilizer conditions. A pot experiment was conducted under greenhouse conditions with four grass species, three different water rates (100, 85 and 70%) and three fertilizer rates (270, 180 and 90 kg NPK ha−1). The study showed that water stress, regardless of plant species, increased the chlorophyll content index without affecting the photosynthetic efficiency of the plants. Water stress significantly decreased plant fresh and dry mass, shoot number and length, and shoot/leaf ratio. The response to water deficit depended on the plant species. Miscanthus sinensis was the most sensitive to water deficit and Spartina pectinate the most tolerant (reduction in dry mass of 41.5% and 18%, respectively). Water stress (85% and 70%) reduced the number and the length of shoots without affecting the average diameter of shoots of the tested grasses, resulting in a significant reduction in biomass production of plants grown under optimal conditions with mineral NPK fertilization (180 kg NPK ha−1). Miscanthus sacchariflorus showed the highest dry matter under the worst growing conditions (70% and 90 NPK) and therefore could be recommended for cultivation on marginal lands with unfavorable agrotechnical conditions. It should be emphasized that the high yield of this species was not due to the photosynthetic efficiency, but better growth stem parameters (length and number). It appears that, for long-term agricultural land management, it is preferable to determine fertilizer rates for each crop species based on soil water availability. It should also be emphasized that increasing the yield of potential lignocellulosic crops for energy purposes while reducing environmental impact appears to be one of the viable answers to the difficulties of conventional energy production.

1. Introduction

Sustainable agriculture is agriculture that meets society’s current needs for food and textiles in a sustainable manner without compromising the ability of current or future generations to meet their needs [1].
With the growing world population (9 billion people are projected by 2050) and technological development, there is increasing interest in obtaining energy from non-fossil fuels and intensifying food production. The current rate of increase in crop yields is not sufficient. Various food security strategies are being explored to feed the growing world population. Research is being conducted on the possibility of introducing a multigene trait such as C4 photosynthesis into rice, as C4 species can yield 50% more than C3 species [2].
The production of food and biomass for non-food purposes should not be based on competition for arable land. For this reason, marginal soils with unfavorable agrotechnical conditions have been used for non-food crops in recent years [3]. Marginal soils are soils that remain in agricultural use or are included in the register of cultivated land that have low productivity or are not suitable for healthy food production due to unfavorable natural, anthropogenic and economic conditions [4,5,6]. An estimated 12% of agricultural land in Poland (over 2 million ha) is marginal land. All solutions for the development of these areas should be oriented in such a way that social, economic and environmental aspects are considered [7,8]. Nowadays, there is great interest in the possibility of growing grasses of the C4 photosynthetic cycle, such as Miscanthus sacchariflorus and Spartina species, on marginal lands for non-nutritional purposes [9,10,11,12,13].
For this reason, non-food biomass production (or non-food biomass) is currently focused on second-generation perennial bioenergy crops such as Panicum virgatum, Spartina pectinata, and Miscanthus species [14,15,16]. C4 species are better adapted to drought conditions than C3 species [17]. C4 plants not only have higher photosynthetic efficiency and CO2 fixation rate, but also higher water use efficiency (WUE) and transpiration, indicating their superiority over C3 plants. The photosynthetic activity of C3 and C4 species is different under drought conditions. C4 species can effectively maintain high WUE under drought conditions, which gives them a greater photosynthetic advantage than C3 plants [18,19,20].
Such crops require much less input, produce more energy, and reduce greenhouse gas emissions compared to previously used first-generation cultivars, e.g., Zea mays [21,22]. These species could be grown on marginal land because they cope well with changing climatic conditions, have low water requirements, and require less habitat, which would have a positive impact on the balance of biomass production (mixed use) without taking up arable land. Such plantations would therefore not compete with land for traditional food production. This is important for sustainable management of agricultural land (SALM).
High yields are the result of a variety of factors, including physiological process activity. Water stress (decreased soil moisture in the tillering stage), salt stress, and waterlogging all have deleterious effects on chlorophyll and photosynthetic rate, according to studies [23,24,25,26,27]. The decline in photosynthetic intensity usually results in a decrease in yield and quality. The necessity to provide plants with water and nutrients is linked to the efficient use of light energy in the photosynthetic process. The availability of the proper nutrients for the current growth phase and the growing conditions during the plant’s growth period are vital for the physiological condition of the plant as a whole, notably for the photosynthetic process [28,29,30]. Visual analysis of the condition of plants during their vegetation can be an inadequate plant examination when nutrient deficiencies are suspected. In practice, chlorophyll content in leaves is a reliable parameter. The amount of solar radiation absorbed by the leaf correlates with the concentration of photosynthetic pigments in the leaves. A decrease in chlorophyll concentration can lead to a decrease in the photosynthetic process and thus to a decrease in primary production [31]. In addition, since a large proportion of nitrogen from the leaves is taken up into chlorophyll, its measurement provides information about the amount of nitrogen in the leaves [32]. Chlorophyll content is also related to stress physiology and abiotic factors such as water status. Quantification of chlorophyll content provides important information about the relationship between plants and their environment [28,33,34]. Under stress conditions (e.g., nutrient deficiency), mechanisms can be activated to increase and maintain a higher net photosynthetic rate and have a corrective effect on the effects caused by stress factors [35,36]. Soil water deficiency was thought to affect both the physiological and morphological parameters of plants, and the plant response also depended on the species tested.
A review of the available literature revealed that no analysis of the physiological responses of the most common lignocellulosic C4 grass species to stress conditions caused by water deficit and differential fertilization has yet been conducted in a single experiment under conditions identical to growing conditions on marginal lands. Given the great interest in marginal land management with lignocellulosic crops, the results presented in this article will certainly be of interest to other researchers working with perennial grasses.
The objective of the study was to investigate the effects of water availability and fertilization on some morphological traits, chlorophyll content, and photosynthetic performance of four C4 grass species under conditions simulating marginal cropland growing conditions.

2. Materials and Methods

2.1. Experimental Design

The research was carried out in 2019 using the pot experiment established in 2018 in a greenhouse located at the Research Station in Kamieniec Wrocławski (51°05′43.9″ N 17°10′03.9″ E) belonging to the Research Center of Institute of Technology and Life Sciences—National Research Institute. A two-factor pot experiment was arranged in a split-plot design, in triplicate, with four C4 cycle grass species (Miscanthus × giganteus, Miscanthus sacchariflorus, Miscanthus sinensis and Spartina pectinate) as a first factor, and different levels of mineral fertilization with nitrogen (N), phosphorus (P), potassium (K) and varied doses of water, as a second factor.
The following doses of mineral fertilizers and water were applied in the experiment:
  • Treatment 0—100% full dose of water and 180 NPK (90 N; 30 P; 60 K kg ha−1);
  • Treatment I—100% full dose of water and 90 NPK (45 N; 15 P; 30 K kg ha−1);
  • Treatment II—100% full dose of water and 270 NPK (135 N; 45 P; 90 K kg ha−1);
  • Treatment III—85% dose of water and 180 NPK (90 N; 30 P; 60 K kg ha−1);
  • Treatment IV—70% dose of water and 180 NPK (90 N; 30 P; 60 K kg ha−1).
The following mineral fertilizers as a source of nutrients were used: ammonium nitrate (34% N) in 2018; ammonium-calcium nitrate (27% N, 2% as CaO) in 2019; potassium salt (60% as K2O) and superphosphate (40% as P2O5) in 2018 and 2019. According to the experiment scheme described above, the doses of fertilizers placed on the pot were taken by converting the kilogram of the pure component contained in the fertilizers per hectare of the field and then converting to the pot area (0.09 m2). The whole dose of fertilizers was applied once in spring 2018, before planting the plants in pots, and in spring (April) 2019.
Basing on the soil moisture measurement performed with the SM150 Soil Moisture KIT moisture meter, the decision of water dosage was made each time and adjusted to the current needs of plants. The moisture meter SM150 is hand-held equipment made by Delta-T Devices Ltd. in Cambridge, UK. The soil moisture output signal is a differential analogue DC voltage. This is converted to soil moisture by a data logger with an accuracy of 3%.
The dosage was adjusted so as not to exceed the field water capacity (FWC—the maximum amount of water that is able to be held by the soil by attraction forces occurring on the surface of soil particles without gravitational leaching); this was 100% of the full water dose in treatments 0–II, and in the remaining treatments (III and IV), the water doses were respectively reduced by 15 and 30% (stress related to drought). The total amount of water supplied to plants in 2019 in the 100% full dose of water variant (treatments 0–II) was 566 mm (50.98 dm3 by pot) for Spartina pectinate and 568 mm (51.08 dm3 by pot) for Miscanthus × giganteus, Miscanthus sacchariflorus and Miscanthus sinensis. In treatment III, it was lower by 15%, and in treatment IV by 30%, in relation to the base water dose (100% full dose of water).

2.2. Course of the Experiment

In the spring of 2018, 60 pots (33 cm in diameter and 30 cm high; capacity 18 dm3) were filled with slightly loamy sand collected from the top layer of the arable field. The soil is classified as type cambisols, developed on sandy clay rock [37]. Each pot was filled with the same amount of soil, 21 kg per pot. Before planting the plants into pots, an analysis of the applied soil was performed. In soil samples collected at the beginning of the experiment, the total nitrogen was determined according to Kjeldahl by the indophenol colorimetric method (spectrophotometer UV/VIS 916, GBC, Melbourne, Australia) [PN-76/C-04576/01], total phosphorus by the colorimetric method using ammonium molybdate and sodium metabisulphate [PN-76/C-04537/07], potassium by the flow analysis method (CFA) using the flow spectrophotometer (Skalar Analytical B.V., Breda, The Netherlands), and the soil pH was measured in H2O by the potentiometric method (Cyber Scan PCD6500, Eutech Instruments, Nijkerk, The Netherlands). This soil is not very fertile in agricultural terms. The mineral content of the soil was (mg g−1 of soil dry mass): nitrogen (N) 0.008, phosphorus (P) 0.035, potassium (K) 0.079, pHH2O 6.80.
In April 2018, seedlings of the four grass species (Miscanthus × giganteus, Miscanthus sacchariflorus, Miscanthus sinensis and Spartina pectinate) were hand planted. One plant (rhizome) was planted in each pot. Fifteen pots for each species were planted (60 pots in total). The plant material came from perennial plantations belonging to the consortium members participating in the project. Throughout both vegetation periods, pots were in a vegetation hall. Plants were watered with tap water (pH 7.6, potassium (K) 6.45 mg dm−3, magnesium (Mg) 13.0 mg dm−3, calcium (Ca) 77.0 mg dm−3) and fertilized according to the experiment scheme. After the end of the growing season (November 2018), the biomass of grasses was harvested. Plants were cut at the stage of entering the winter dormancy period. During the winter, the pots were stored in an unheated greenhouse. During the winter period, all pots were watered with a 0.20 dm3 dose of tap water once a month. In April 2019, the experiment was resumed, and the pots were fertilized according to the experiment scheme. From May 2019, a differentiated dose of water was used (to obtain the effect of drought), reducing the amount in individual variants in accordance with the experiment scheme.

2.3. Physiological Parameters Measurements

In the second year of plant development (2019), measurements were taken. On 4 June 2019, the chlorophyll content index and chlorophyll fluorescence measurements of plants were started in all pots. Measurements were carried out at two-week intervals, until 24 September 2019.
Measurements of the relative chlorophyll content of a leaf sample were made using a CL-01 Chlorophyll Meter (Hansatech Instruments Ltd., Pentney, UK). The field-portable, hand-held device determines relative chlorophyll content using dual-wavelength optical absorbance (620 nm and 940 nm wavelength) measurements from leaf samples. The relative chlorophyll content is displayed in the range of 0–2000 units. The measurements were made on the middle and outer part of the leaves.
PAM (pulse–amplitude–modulation) measurements of chlorophyll fluorescence were applied and the Fv’/Fm’ (the efficiency of excitation energy capture by open PSII reaction centers) parameter was recorded using FluorPen FP 110 (Photon Systems Instruments, Drásov, Czech Republic). The measurements were made on the middle, outer part of fully developed leaf adapted to light.
Chlorophyll content index and chlorophyll fluorescence measurements were made on leaves from upper level, medium level, and lower level of plants. All measurements were carried out at least 9 times.

2.4. Morphological Parameter Evaluation

In 2019, after the vegetation season, the above-ground mass of plants was harvested. The end of the growing season occurred in November, allowing for a late fall biomass harvest in early December. Plants were cut at the stage when they entered the winter dormancy period. Plants were cut at a height of 15 cm to reflect machine harvesting. The number of shoots (stalks) was counted in all pots. Morphological parameters were determined for each shoot, including height (cm) and diameter (mm) of the shoot. After cutting the plants, a sample of the plant material obtained from each pot was separated into leaves and shoots, weighed to determine the fresh mass (kg by pot), then naturally dried and reweighed to determine the dry mass (kg by pot) of leaves, shoots and the above-ground mass.

2.5. Statistical Analysis

The results were tested by using multifactorial analyses of variance (ANOVA). Mean separations were made for significant effects with Tukey tests at the probability of p ≤ 0.05. The efficiency of excitation energy capture by open PSII reaction canters and chlorophyll content index was statistically analyzed by the ANOVA model and by the Fischer’s test as a post hoc at a 0.05 confidence level. The relationship between physiological and morphological parameters under different treatments was assessed on the basis of Principal Component Analysis (PCA). Statistica v13.0 software (TIBCO Software Inc., Palo Alto, CA, USA) was used to perform the statistical analysis.

3. Results

3.1. Physiological Parameters

A significant difference in chlorophyll content index was found between grass species at all measurement time points (Table 1). The lowest average chlorophyll content index was obtained for Miscanthus sacchariflorus. In addition, a significant change in chlorophyll content index was observed among the different treatments. Regardless of the grass species, the lowest values of this parameter were observed in treatment I. The chlorophyll content of treatments II–IV was significantly higher, except for the last measurement date, where the differences between treatments were not significant. The dependence on plant height was also significant. The lowest values of chlorophyll content index were measured on upper level leaves (B).
Significant differences in chlorophyll fluorescence were observed among grass species for almost all measurement dates (Table 2). On average, the lowest values of chlorophyll fluorescence were found in Miscanthus sacchariflorus. The influence of fertilization and water regime on chlorophyll fluorescence was not detected. The dependence on plant height was also not significant in most cases.
The changes in physiological parameters measured on the leaves of the grass species studied depended not only on the treatment, but also on the height of the plants and the time of measurement. In Miscanthus × giganteus, significant changes in excitation energy capture efficiency were detected by open PSII response centers (Fv’/Fm’) in the upper and middle stages. Changes in Fv’/Fm’ in upper level leaves measured on 7 August 2019 were detected in plants of treatments II–IV, but on 20 August 2019 changes were detected only in plants of treatment II. Changes were detected in the leaves of the middle stage only on one day, 25 June 2019. The values measured in each treatment were higher than in the control. Significant changes in chlorophyll content index (CCI) were measured in the middle and lower stage leaves. In the middle stage, significantly higher values were detected in the plants from treatment II on the first three dates: 4 June 2019, 25 June 2019, and 8 July 2019. In the lowest stage leaves, changes were also detected in the plants from the treatment, but on the following dates: 25 June 2019, 8 July 2019, and 23 July 2019 (Figure 1).
Physiological parameters measured on Miscanthus sacchariflorus leaves depended not only on the treatment, but also on the height of the plants and the time of measurement. The significant changes of Fv’/Fm’ were observed in leaves from all three stages. The values of this parameter measured on upper level leaves in treatments I–III were significantly higher than in the control, but only on one date: 4 June 2019. The values measured on 8 July 2019 in treatment II were also higher than in treatment 0. The values measured on middle level leaves on 4 June 2019 and 8 July 2019 were significantly different from treatment 0 in treatments III and IV. In the lower level, the changes were detected on the same date as in the middle level. On 9 October 2019, the measured values were higher in all treatments than in the control. The index of chlorophyll content measured in the upper level leaves was significantly higher in treatment II than in the control on the following dates: 25 June 2019, 23 July 2019 and 7 August 2019. In the middle level leaves, the values of this parameter were higher in treatment II on two dates, 25 June 2019 and 8 July 2019, but on 25 June 2019 the values measured in treatment I were lower than in the control. There were no significant changes in the lower level leaves (Figure 2).
In Miscanthus sinensis, significant changes in Fv’/Fm’ were detected only in the upper level leaves of the plants. These changes were detected on 10 September 2019, and all treatments had higher values compared to treatment 0. There were also significant changes in chlorophyll content index in the middle level leaves. These changes were detected on 25 June 2019 and 8 July 2019 only in treatment I (Figure 3).
There were no significant changes in the parameter Fv’/Fm’ measured in Spartina pectinata, but the index of chlorophyll content was affected by some of the treatments. In the upper level, significantly lower values were recorded in the leaves of treatment IV on the following dates: 8 July 2019, 23 July 2019 and 27 August 2019. In the leaves of the middle level, significantly lower values were recorded in the plants of treatment I on 4 June 2019 and 25 June 2019, but higher values were detected in treatment IV plants on 25 June 2019 and 27 August 2019. In the lower level leaves, higher values were detected in treatment III plants on 25 June 2019, 8 July 2019 and 23 July 2019 (Figure 4).

3.2. Morphological Parameters

Significant differences in morphological parameters were found among the grasses (Table 3). The highest fresh mass of leaves and the lowest fresh mass of shoots and aboveground mass was observed in Spartina pectinate. It was also characterized by the highest dry mass of leaves and the lowest dry mass of shoots. The highest fresh weight of shoots was observed in Miscanthus × giganteus. The highest dry mass of the shoots and the highest above-ground mass were found in Miscanthus sacchariflorus. Significant differences were found in shoot parameters among the studied species. Regardless of the level of fertilization and water availability, Spartina pectinate had the shortest shoots. Miscanthus × giganteus had shoots twice as long. The longest shoots were observed in two species: Miscanthus sinensis and Miscanthus sacchariflorus. Miscanthus × giganteus produced an average of only 8.7 shoots, with the highest diameter of 7.04 mm. Miscanthus sinensis produced over 15 shoots per plant, with a diameter of 3.80 mm. Miscanthus sacchariflorus and Spartina pectinate produced nearly 30 shoots per plant, with diameters of 3.22 mm and 2.33 mm, respectively.
The significant changes in morphological parameters were observed in the different treatments. Regardless of the grass species, the lowest fresh mass of shoots and aboveground mass was observed in treatments III and IV and of leaves in treatments I, II and IV. The highest fresh mass was observed in treatments 0 and II. For dry mass, the lowest values were observed in the treatments with 75% and 80% of the full water dose and the highest in treatments 0 and II. The shortest shoots were produced by the grasses of treatment IV and the longest by the grasses of treatment I. Grasses of treatment 0 and treatment II produced significantly more shoots than grasses of the other treatments. Shoot diameter was not affected by fertilization and water regime.
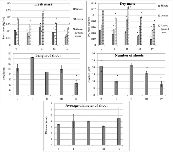
Significant changes in morphological parameters of Miscanthus × giganteus were observed under different treatments. Parameters such as fresh mass of shoots, leaves and total aboveground mass were significantly lower in treatments III and IV than in treatment 0. In addition, the fresh weight of leaves was also lower in treatment II compared to treatment 0. The dry mass of both plant parts and the whole plant was significantly lower only in treatment IV. However, the dry mass of shoots and total aboveground mass was also reduced in treatment III. The average length of the shoots was negatively affected in treatments III and IV, but the average diameter of the shoots was negatively affected only in treatment IV (Figure 5).
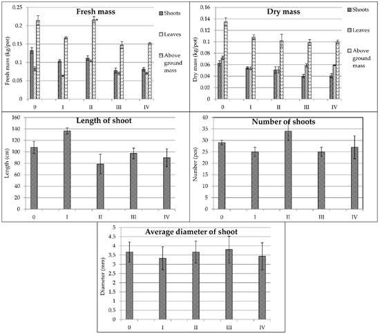
In Miscanthus sacchariflorus, the fresh weight was significantly lower than the control in all treatments; only the whole plant weight in treatment II remained unchanged, and only the dry mass of shoots in treatment I remained unchanged. Shoot length was significantly lower in treatments II and III. However, the number of shoots and their average diameter did not change (Figure 6).
Significant changes in all morphological parameters of Miscanthus sinensis were found, depending on the treatment. Both the fresh mass and dry mass of shoots, leaves and whole plants of this species were significantly lower in treatments I, II and IV compared to treatment 0. However, in treatment II these parameters were lower compared to treatment 0. Shoot length was higher in treatment I compared to the control and lower in treatment IV. The number of shoots was lower in both treatments than in treatment 0. There were no significant changes in these two parameters in the other treatments. There were also no significant changes in the average diameter of the shoots (Figure 7).
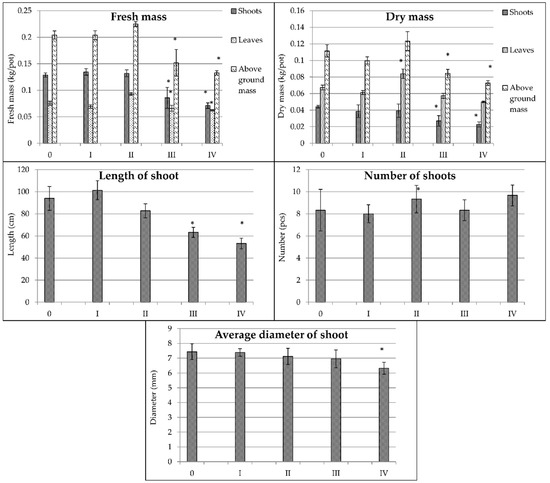
As in the other species, the morphological parameters of Spartina pectinate were significantly affected by certain treatments. In treatment II, the fresh mass of leaves and the whole plant was higher than in the control, but in treatment III, the fresh mass of shoots and the whole plant was lower than in treatment 0. The dry mass of shoots in treatment II was significantly lower than in treatment 0. The dry mass of leaves and above-ground mass were higher in treatment II, but in treatment III, these parameters were lower than in treatment 0. In plants from this treatment, the average length of shoots was also lower than in treatment 0 (Figure 8).

3.3. PCA

Principal component analysis (PCA) showed that the first component (p1) retained 36.34% of the sum of squares for the standardized data set and the second (p2) retained 29.41% of the sum of squares (Figure 9). From this analysis, it can be concluded that the fresh weight and dry weight of the plants, as well as the length of the shoots, are in the same group. The number of shoots and the index of the chlorophyll content are in the second group. The other parameters are independent. Similarly, all four tested grass species are independent.

4. Discussion

Plants in marginal areas are constantly exposed to environmental stresses, both biotic and abiotic in nature. The most critical elements that limit plant growth and development are water, soil fertility, and nitrogen deficiency [28,38,39,40,41,42]. Under these restricted conditions, more effective water and nutrient intake leads to greater growth [43,44]. As a result, the goal of this study was to look into the impacts of soil water availability and fertilizer conditions on four C4 grass species’ morphological, physiological and growth features.
Nitrogen (N) deficiency causes changes in many physiological processes [45]. It is known that this stress leads to a decrease in photosynthetic CO2 assimilation rate [46] and photosynthetic quantum yields. The photosynthetic capacity of leaves and their N content are positively correlated [47]. The decrease in photosynthetic CO2 assimilative capacity correlates with a decrease in Rubisco content and RuBPcase activity in the Calvin cycle [48]. On the other hand, increasing N concentration in leaves can be used to adjust photosynthetic pigment properties, improve potential photosystem II (PSII) activity and maximum quantum yield, decrease non-photochemical quenching, and increase net photosynthetic rate. Some researchers have shown that N deficiency also affects the maximum quantum yield of dark-adapted samples and concluded that PSII is damaged [49]. For example, [50] showed that N deficiency has a major impact on the quantum yield of CO2 assimilation. Moreover, [51] confirmed that N deficiency has a significant effect on light-saturated photosynthetic rate. In maize plants under nitrogen deficiency stress, the CO2 assimilation capacity was significantly lower, and the maximum efficiency of their PSII photochemistry was also altered [52].
Photosynthesis is the main driving force affecting the distribution of dry matter and the formation of organs, and it is the basis of plant production [53]. Therefore, it is necessary to study the influence of an interaction between water and fertilization and its influence on the photosynthetic response of plants, especially under water stress conditions [54]. Based on our studies, it can be concluded that the changes in plant photosynthetic efficiency (Fv’/Fm’) depended not only on the treatment, but also on the height of the plants and the time of measurement. In Miscanthus × giganteus, significant changes in the values of this parameter were detected in the upper and middle stages in plants of treatments II–IV. The values measured in each treatment were higher than in the control. In Miscanthus sacchariflorus, significant changes in Fv’/Fm’ were observed in leaves from all three stages. The values of this parameter measured on upper level leaves in treatments I–III were significantly higher than in the control, but only on one date: 4 June 2019. There were no significant changes in the lower level leaves. In Miscanthus sinensis, significant changes in Fv’/Fm’ were detected only in the upper level leaves of the plants, but changes in all treatments had higher values compared to treatment 0. There were no significant changes in the parameter Fv’/Fm’ measured in Spartina pectinate.
A number of authors have concluded that water-limiting conditions are unlikely to have significant effects on the primary photochemistry of photosystem II (PSII) in major agricultural plant species [55,56], but other experiments indicated that the maximum quantum efficiency of PSII in dark-adapted leaves (Fv/Fm) in flag leaves decreased during severe drought stress [57]. Similar results were also presented regarding the effects of drought on other fluorescence induction parameters, such as the actual quantum yield of PSII electron transport (ΦPSII). Under conditions of water deficiency, the content of pigments forming the antenna complex may also be reduced, resulting in a deficit in the utilization of light energy [58].
The light capture efficiency of PSII (Fv’/Fm’) depends on the probabilities of energy capture, back transfer from the reaction center to the antennae, and energy exchange between PSII units [59]. As suggested in [60], this parameter reflects the efficiency of the open reaction channels in the light. Based on our results, it can be concluded that the response of plants to changes in conditions was mainly observed in the upper leaves. Only in Miscanthus sacchariflorus were changes observed at middle and lower levels. In this species, the efficiency of PSII can be seen in variant III.
The chlorophyll content index (CCI) also depended not only on the treatment, but also on the height of the plants and the time of measurement. In Miscanthus × giganteus, significant higher values of this parameter were noted in the middle and lower stage leaves. In Miscanthus sacchariflorus, this parameter measured in the upper level leaves was significantly higher in treatment II than in the control on three dates: 25 June 2019, 23 July 2019 and 7 August 2019. In the middle level leaves, the values of this parameter were higher in treatment II on two dates, 25 June 2019 and 8 July 2019, but on 25 June 2019 the values measured in treatment I were lower than in the control. There were no significant changes in the lower level leaves. In Miscanthus sinensis, there were also significant changes in chlorophyll content index in the middle level leaves in treatment I. In Spartina pectinate, the chlorophyll content index was affected negatively in the upper level in treatment IV. In the leaves of the middle level, significantly lower values were recorded in the plants of treatment I. In the lower level leaves, higher values were detected in treatment III plants on 25 June 2019, 8 July 2019 and 23 July 2019. Chlorophyll (Chl) molecules (mainly Chl a and Chl b) are necessary for the conversion of light energy into chemical bonds. In practice, the chlorophyll content of leaves is a reliable parameter for scientists (e.g., physiologists, eco-physiologists and biologists), farmers and agricultural enterprises. The amount of solar radiation absorbed by a leaf is related to leaf concentrations of photosynthetic pigments. The decrease in chlorophyll concentration can lead to a limitation of the photosynthetic process and a decrease in primary production [31]. Since much of the leaf nitrogen is bound in chlorophyll, its measurement provides information on nitrogen status [32]. Chlorophyll content is also related to stress physiology and abiotic factors such as water status. Quantification of chlorophyll content provides important information about the relationship between plants and their environment [33,61]. The relationship between the output of the results from the chlorophyll content meter and leaf Chl concentration measured by destructive methods is nonlinear and depends not only on chlorophyll content but also on other aspects of leaf optics, which may be influenced by various environmental and biological factors [33]. This may explain the increase in the value of the CCI parameter in the conditions of lowering soil moisture.
In general, lignocellulosic grasses have a very high yield biomass, which varies depending on the species, fertilizer used, and planting location. In our experiment, different fertilizer and water dosages significantly affected the fresh weight and dry weight of the plants without affecting the number of shoots and the average diameter of the shoots, and sporadically affected the length of the shoots of the tested grasses. The lowest dry weight of the three Miscanthus species and of Spartina pectinate was found in treatment I and increased with increasing fertilization. The highest dry weight was found in Miscanthus sacchariflorus. According to [44,62], Miscanthus sacchariflorus has greater adaptability to soil fertilization and water content. In addition, this species grows faster than other tall grasses. In general, there is a consensus in the literature that nitrogen fertilization is usually not necessary to achieve high yields in Miscanthus × giganteus [63,64], which is in contrast to our studies. In the study of [65], it was predicted that the response of Miscanthus × giganteus to fertilization was highly dependent on soil type. Soils rich in organic matter are able to mineralize more N. The increase in productivity of Spartina pectinate with higher fertilization was also confirmed by [66].
The effects of water deficit on plant dry weight varied among species. Reducing the amount of water to 80% (treatment III) decreased the dry weight of Spartina pectinate and Miscanthus sinensis grass by about 19%. Further increasing the water deficit (treatment IV) decreased the dry weight of these species by 15.4% and 41.5%, respectively. The reduction in dry weight of Miscanthus sacchariflorus in treatments III and IV was at a similar level and was about 26% compared to the control. For Miscanthus × giganteus, the decrease in plant dry weight due to water deficit was 24% and 34% in treatments III and IV, respectively. Spartina pectinate showed the weakest response to the water deficit. Reducing the amount of water (treatment III and IV) reduced the dry weight of the plants to a similar extent, by about 18% compared to the control. This species coped better with the water deficit than the other species studied. Drought is one of the most common stress factors for plants that leads to a reduction in yield [44]. The reduction in biomass production of Miscanthus under the conditions of water scarcity was 45% [67]. Drought has also been shown to reduce plant height but makes no difference in the number of shoots per plant [68].

5. Conclusions

In conclusion, our results showed that the individual environmental factors affect both physiological and morphological parameters of tested grass species. Water stress, regardless of grass species, did not affect plant photosynthetic performance. Miscanthus sacchariflorus showed a stronger response to cultivation under stress conditions in the leaves of the lower level (older leaves), which stands in opposition to the response of the other species tested. Water stress despite optimal mineral NPK fertilization dose (180 kg NPK ha−1) significantly decreased the number and length of shoots without affecting the average shoot diameter of the tested grasses, resulting in a decrease in biomass production. Plant response to environmental factors also depended on the species tested. Miscanthus sinensis was the most sensitive to water deficit and Spartina pectinate the most tolerant (reduction in dry matter by 41.5% and 18%, respectively). However, Miscanthus sacchariflorus showed the highest dry matter under the worst growing conditions (70% and 90 NPK), so this species could be recommended for cultivation on marginal lands with unfavorable agrotechnical conditions. However, in our opinion, the high yield of this species is not due to the photosynthetic efficiency, but rather to the better stem parameters (length and number). We confirm that there is a need to conduct further experiments that allow a better understanding of the interactions between environmental factors, especially the availability of water and fertilization levels, and their influence on the development and yield of C4 grasses grown on marginal lands.

Author Contributions

Conceptualization, A.S.-W., P.D., A.P.-J., M.H.K., B.W. and M.S.; methodology, A.S.-W., P.D., A.P.-J., M.S. and M.H.K.; software, B.W. and P.D.; validation, A.S.-W., P.D., A.P.-J., M.H.K. and M.S.; formal analysis, P.D. and BW; investigation, A.S.-W., A.P.-J., M.S., M.H. and B.W.; resources, A.S.-W., A.P.-J., M.H.K. and M.S.; data curation, A.S.-W., P.D., A.P.-J., M.H.K., M.S. and M.H.; writing—original draft preparation, A.S.-W., P.D., A.P.-J. and B.W..; writing—review and editing, A.S.-W., P.D., A.P.-J., B.W., M.H.K., M.S. and M.H.; visualization, P.D., B.W., A.S.-W. and A.P.-J.; supervision, A.S.-W.; project administration, A.S.-W., A.P.-J. and M.S.; funding acquisition, A.S.-W., A.P.-J., M.S. and M.H. All authors have read and agreed to the published version of the manuscript.

Funding

This research was co-financed by the National (Polish) Centre for Research and Development (NCBiR), entitled “Environment, agriculture and forestry”, project: BIO products from lignocellulosic biomass derived from MArginal land to fill the Gap in Current national bioeconomy, No. BIOSTRATEG3/344253/2/NCBR/2017.

Institutional Review Board Statement

Not applicable.

Informed Consent Statement

Not applicable.

Data Availability Statement

Not applicable.

Conflicts of Interest

The authors declare no conflict of interest.

References

  1. Velten, S.; Leventon, J.; Jager, N.; Newig, J. What Is Sustainable Agriculture? A Systematic Review. Sustainability 2015, 7, 7833–7865. [Google Scholar] [CrossRef] [Green Version]
  2. Kajala, K.; Covshoff, S.; Karki, S.; Woodfield, H.; Tolley, B.J.; Jaqueline Dionora, M.A.; Mogul, R.T.; Mabilangan, A.E.; Danila, F.R.; Hibberd, J.M.; et al. Strategies for engineering a two-celled C 4 photosynthetic pathway into rice. J. Exp. Bot. 2011, 62, 3001–3010. [Google Scholar] [CrossRef] [PubMed]
  3. Helis, M.; Strzelczyk, M.; Golimowski, W.; Steinhoff-Wrześniewska, A.; Paszkiewicz-Jasińska, A.; Hawrot-Paw, M.; Koniuszy, A.; Hryniewicz, M. Biomass potential of the marginal land of the polish sudetes mountain range. Energies 2021, 14, 7156. [Google Scholar] [CrossRef]
  4. Strijker, D. Marginal lands in Europe—Causes of decline. Basic Appl. Ecol. 2005, 6, 99–106. [Google Scholar] [CrossRef]
  5. Skevas, T.; Swinton, S.M.; Hayden, N.J. What type of landowner would supply marginal land for energy crops? Biomass Bioenergy 2014, 67, 252–259. [Google Scholar] [CrossRef]
  6. Mellor, P.; Lord, R.A.; João, E.; Thomas, R.; Hursthouse, A. Identifying non-agricultural marginal lands as a route to sustainable bioenergy provision—A review and holistic definition. Renew. Sustain. Energy Rev. 2021, 135, 110220. [Google Scholar] [CrossRef]
  7. Wójcik-Leń, J.; Sobolewska-Mikulska, K. Issues related to marginal lands with reference to selected agricultural problematic areas. J. Water Land Dev. 2017, 35, 265–273. [Google Scholar] [CrossRef]
  8. Hryniewicz, M.; Strzelczyk, M.; Helis, M.; Paszkiewicz-Jasińska, A.; Steinhoff-Wrzesniewska, A.; Roman, K. Mathematical models use to yield prognosis of perennials on marginal land according to fertilisers doses. J. Water Land Dev. 2021, 51, 233–242. [Google Scholar] [CrossRef]
  9. Dubis, B.; Jankowski, K.J.; Załuski, D.; Bórawski, P.; Szempliński, W. Biomass production and energy balance of Miscanthus over a period of 11 years: A case study in a large-scale farm in Poland. GCB Bioenergy 2019, 11, 1187–1201. [Google Scholar] [CrossRef] [Green Version]
  10. Helios, W.; Kozak, M.; Malarz, W.; Kotecki, A. Effect of sewage sludge application on the growth, yield and chemical composition of prairie cordgrass (Spartina pectinata Link.). J. Elem. 2014, 19, 1021–1036. [Google Scholar] [CrossRef]
  11. Juliszewski, T.; Kwaśniewski, D.; Mudryk, K.; Wróbel, M. Ocena wybranych parametrów biomasy pozyskanej z plantacji drzew szybkorosnących. Inżynieria Rol. 2012, 16, 89–97. [Google Scholar]
  12. Krzyżaniak, M.; Stolarski, M.J.; Warmiński, K. Life cycle assessment of giant Miscanthus: Production on marginal soil with various fertilisation treatments. Energies 2020, 13, 1931. [Google Scholar] [CrossRef]
  13. Stolarski, M.J.; Śnieg, M.; Krzyżaniak, M.; Tworkowski, J.; Szczukowski, S. Short rotation coppices, grasses and other herbaceous crops: Productivity and yield energy value versus 26 genotypes. Biomass Bioenergy 2018, 119, 109–120. [Google Scholar] [CrossRef]
  14. Clifton-Brown, J.; Hastings, A.; Mos, M.; McCalmont, J.P.; Ashman, C.; Awty-Carroll, D.; Cerazy, J.; Chiang, Y.-C.; Cosentino, S.; Cracroft-Eley, W.; et al. Progress in upscaling Miscanthus biomass production for the European bio-economy with seed-based hybrids. GCB Bioenergy 2017, 9, 6–17. [Google Scholar] [CrossRef] [Green Version]
  15. Dohleman, F.G.; Heaton, E.A.; Arundale, R.A.; Long, S.P. Seasonal dynamics of above- and below-ground biomass and nitrogen partitioning in Miscanthus × giganteus and Panicum virgatum across three growing seasons. GCB Bioenergy 2012, 4, 534–544. [Google Scholar] [CrossRef] [Green Version]
  16. Guo, J.; Thapa, S.; Voigt, T.; Rayburn, A.L.; Boe, A.; Lee, D.K. Phenotypic and Biomass Yield Variations in Natural Populations of Prairie Cordgrass (Spartina pectinata Link) in the USA. Bioenergy Res. 2015, 8, 1371–1383. [Google Scholar] [CrossRef]
  17. Mehmood, N.; Nayyar, H.; Gupta, D. Differential sensitivity of C3 and C4 plants to water deficit stress: Association with oxidative stress and an... Differential sensitivity of C3 and C4 plants to water deficit stress: Association with oxidative stress and antioxidants. Environ. Exp. Bot. 2006, 58, 106–113. [Google Scholar] [CrossRef]
  18. Taylor, S.H.; Ripley, B.S.; Woodward, F.I.; Osborne, C.P. Drought limitation of photosynthesis differs between C3 and C4 grass species in a comparative experiment. Plant. Cell Environ. 2011, 34, 65–75. [Google Scholar] [CrossRef]
  19. Way, D.A.; Katul, G.G.; Manzoni, S.; Vico, G. Increasing water use efficiency along the C3 to C4 evolutionary pathway: A stomatal optimization perspective. J. Exp. Bot. 2014, 65, 3683–3693. [Google Scholar] [CrossRef] [Green Version]
  20. Hatfield, J.L.; Dold, C. Water-use efficiency: Advances and challenges in a changing climate. Front. Plant Sci. 2019, 10, 103. [Google Scholar] [CrossRef] [Green Version]
  21. Schrama, M.; Vandecasteele, B.; Carvalho, S.; Muylle, H.; van der Putten, W.H. Effects of first- and second-generation bioenergy crops on soil processes and legacy effects on a subsequent crop. GCB Bioenergy 2016, 8, 136–147. [Google Scholar] [CrossRef] [Green Version]
  22. Sheng, X.; Sun, L.; Huang, Z.; He, L.; Zhang, W.; Chen, Z. Promotion of growth and Cu accumulation of bio-energy crop (Zea mays) by bacteria: Implications for energy plant biomass production and phytoremediation. J. Environ. Manag. 2012, 103, 58–64. [Google Scholar] [CrossRef] [PubMed]
  23. Heshmat, K.; Asgari Lajayer, B.; Shakiba, M.R.; Astatkie, T. Assessment of physiological traits of common bean cultivars in response to water stress and molybdenum levels. J. Plant Nutr. 2020, 44, 366–372. [Google Scholar] [CrossRef]
  24. Sharma, S.; Sharma, J.; Soni, V.; Kalaji, H.M.; Elsheery, N.I. Waterlogging tolerance: A review on regulative morpho-physiological homeostasis of crop plants. J. Water L. Dev. 2021, 49, 16–28. [Google Scholar] [CrossRef]
  25. Silva, M.d.A.; Pincelli, R.P.; Barbosa, M.d.A. Water stress effects on chlorophyll fluorescence and chlorophyll content in sugarcane cultivars with contrasting tolerance. Biosci. J. 2018, 34, 75–87. [Google Scholar] [CrossRef]
  26. Xu, Q.; Ma, X.; Lv, T.; Bai, M.; Wang, Z.; Niu, J. Effects of Water Stress on Fluorescence Parameters and Photosynthetic Characteristics of Drip Irrigation in Rice. Water 2020, 12, 289. [Google Scholar] [CrossRef] [Green Version]
  27. Khadem Moghadam, N.; Motesharezadeh, B.; Maali-Amiri, R.; Asgari Lajayer, B.; Astatkie, T. Effects of potassium and zinc on physiology and chlorophyll fluorescence of two cultivars of canola grown under salinity stress. Arab. J. Geosci. 2020, 13, 1–8. [Google Scholar] [CrossRef]
  28. Horaczek, T.; Dąbrowski, P.; Kalaji, H.M.; Baczewska-Dąbrowska, A.H.; Pietkiewicz, S.; Stępień, W.; Gozdowski, D. JIP-test as a tool for early detection of the macronutrients deficiencin miscanthus plants. Photosynthetica 2020, 58, 507–517. [Google Scholar] [CrossRef] [Green Version]
  29. Kalaji, H.M.; Oukarroum, A.; Alexandrov, V.; Kouzmanova, M.; Brestic, M.; Zivcak, M.; Samborska, I.A.; Cetner, M.D.; Allakhverdiev, S.I.; Goltsev, V. Identification of nutrient deficiency in maize and tomato plants by invivo chlorophyll a fluorescence measurements. Plant Physiol. Biochem. 2014, 81, 16–25. [Google Scholar] [CrossRef]
  30. Mastalerczuk, G.; Borawska-Jarmulowicz, B.; Kalaji, H.M.; Dąbrowski, P.; Paderewski, J. Gas-exchange parameters and morphological features of festulolium (Festulolium braunii K. Richert A. Camus) in response to nitrogen dosage. Photosynthetica 2017, 55, 20–30. [Google Scholar] [CrossRef] [Green Version]
  31. Curran, P.J.; Dungan, J.L.; Gholz, H.L. Exploring the relationship between reflectance red edge and chlorophyll content in slash pine. Tree Physiol. 1990, 7, 33–48. [Google Scholar] [CrossRef]
  32. Moran, J.A.; Mitchell, A.K.; Goodmanson, G.; Stockburger, K.A. Differentiation among effects of nitrogen fertilization treatments on conifer seedlings by foliar reflectance: A comparison of methods. Tree Physiol. 2000, 20, 1113–1120. [Google Scholar] [CrossRef] [PubMed] [Green Version]
  33. Kalaji, H.M.; Dąbrowski, P.; Cetner, M.D.; Samborska, I.A.; Łukasik, I.; Brestic, M.; Zivcak, M.; Tomasz, H.; Mojski, J.; Kociel, H.; et al. A comparison between different chlorophyll content meters under nutrient deficiency conditions. J. Plant Nutr. 2017, 40, 1024–1034. [Google Scholar] [CrossRef]
  34. Kalaji, H.M.; Račková, L.; Paganová, V.; Swoczyna, T.; Rusinowski, S.; Sitko, K. Can chlorophyll-a fluorescence parameters be used as bio-indicators to distinguish between drought and salinity stress in Tilia cordata Mill? Environ. Exp. Bot. 2018, 152, 149–157. [Google Scholar] [CrossRef]
  35. Wu, Y.-w.; Li, Q.; Jin, R.; Chen, W.; Liu, X.-l.; Kong, F.-l.; Ke, Y.-p.; Shi, H.-c.; Yuan, J.-c. Effect of low-nitrogen stress on photosynthesis and chlorophyll fluorescence characteristics of maize cultivars with different low-nitrogen tolerances. J. Integr. Agric. 2019, 18, 1246–1256. [Google Scholar] [CrossRef]
  36. Faseela, P.; Sinisha, A.K.; Brestič, M.; Puthur, J.T. Chlorophyll a fluorescence parameters as indicators of a particular abiotic stress in rice. Photosynthetica 2019, 57, 293–300. [Google Scholar] [CrossRef] [Green Version]
  37. Anjos, L.; Gaistardo, C.; Deckers, J.; Dondeyne, S.; Eberhardt, E.; Gerasimova, M.; Harms, B.; Jones, A.; Krasilnikov, P.; Reinsch, T.; et al. World Reference Base for Soil Resources 2014 International Soil Classification System for Naming Soils and Creating Legends for Soil Maps; FAO: Rome, Italy, 2015. [Google Scholar]
  38. Borawska-Jarmulowicz, B.; Mastalerczuk, G.; Dąbrowski, P.; Kalaji, H.M.; Wytrazek, K. Improving tolerance in seedlings of some Polish varieties of Dactylis glomerata to water deficit by application of simulated drought during seed germination. Photosynthetica 2020, 58, 540–548. [Google Scholar] [CrossRef] [Green Version]
  39. Dąbrowski, P.; Baczewska-Dąbrowska, A.H.; Kalaji, H.M.; Goltsev, V.; Paunov, M.; Rapacz, M.; Wójcik-Jagła, M.; Pawluśkiewicz, B.; Bąba, W.; Brestic, M. Exploration of chlorophyll a fluorescence and plant gas exchange parameters as indicators of drought tolerance in perennial ryegrass. Sensors 2019, 19, 2736. [Google Scholar] [CrossRef] [Green Version]
  40. Walker, B.H.; Langridge, J.L. Modeling plant and soil water dynamics in semi-arid ecosystems with limited site data. Ecol. Modell. 1996, 87, 153–167. [Google Scholar] [CrossRef]
  41. Valladares, F.; Pearcy, R.W. Interactions between water stress, sun-shade acclimation, heat tolerance and photoinhibition in the sclerophyll Heteromeles arbutifolia. Plant Cell Environ. 1997, 20, 25–36. [Google Scholar] [CrossRef] [Green Version]
  42. Flexas, J.; Medrano, H. Drought-inhibition of photosynthesis in C3 plants: Stomatal and non-stomatal limitations revisited. Ann. Bot. 2002, 89, 183–189. [Google Scholar] [CrossRef] [Green Version]
  43. Shangguan, Z.P.; Shao, M.A.; Dyckmans, J. Nitrogen nutrition and water stress effects on leaf photosynthetic gas exchange and water use efficiency in winter wheat. Environ. Exp. Bot. 2000, 44, 141–149. [Google Scholar] [CrossRef]
  44. Kim, S.; Albrecht, K.; Sheaffer, C.; Lee, D.; Subramanian, S.; Owens, V. Biomass Production of Prairie Cordgrass (Spartina pectinata Link.) Using Urea and Kura Clover (Trifolium ambiguum Bieb.) as a Source of Nitrogen. Bioenergy Resour. 2020, 13, 1095–1107. [Google Scholar] [CrossRef]
  45. McDonald, A.J.S.; Davies, W.J. Keeping in Touch: Responses of the Whole Plant to Deficits in Water and Nitrogen Supply. In Advances in Botanical Research; Callow, J.A., Ed.; Academic Press Inc.: San Diego, CA, USA, 1996; Volume 22, pp. 229–300. [Google Scholar]
  46. Rascher, U.; Liebig, M.; Luttge, U. Evaluation of instant light-response curves of chlorophyll fluorescence parameters obtained with a portable chlorophyll fluorometer on site in the field. Plant Cell Environ. 2000, 23, 1397–1405. [Google Scholar] [CrossRef]
  47. Ciompi, S.; Gentili, E.; Guidi, L.; Soldatini, G.F. The effect of nitrogen deficiency on leaf gas exchange and chlorophyll fluorescence parameters in sunflower. Plant Sci. 1996, 118, 177–184. [Google Scholar] [CrossRef]
  48. Sugiharto, B.; Miyata, K.; Nakamoto, H.; Sasakawa, H.; Sugiyama, T. Regulation of expression of carbon-assimilating enzymes by nitrogen in maize leaf. Plant Physiol. 1990, 92, 963–969. [Google Scholar] [CrossRef] [PubMed] [Green Version]
  49. Jin, X.; Yang, G.; Tan, C.; Zhao, C. Effects of nitrogen stress on the photosynthetic CO2 assimilation, chlorophyll fluorescence, and sugar-nitrogen ratio in corn. Sci. Rep. 2015, 5, 1–9. [Google Scholar] [CrossRef] [PubMed] [Green Version]
  50. Nunes, M.A.; Ramalho, J.D.C.; Dias, M.A. Effect of Nitrogen Supply on the Photosynthetic Performance of Leaves from Coffee Plants Exposed to Bright Light. J. Exp. Bot. 1993, 44, 893–899. [Google Scholar] [CrossRef]
  51. Khamis, S.; Lamaze, T.; Lemoine, Y.; Foyer, C. Adaptation of the photosynthetic apparatus in maize leaves as a result of nitrogen limitation: Relationships between electron transport and carbon assimilation. Plant Physiol. 1990, 94, 1436–1443. [Google Scholar] [CrossRef] [Green Version]
  52. Lu, C.; Zhang, J. Photosynthetic CO2 assimilation, chlorophyll fluorescence and photoinhibition as affected by nitrogen deficiency in maize plants. Plant Sci. 2000, 151, 135–143. [Google Scholar] [CrossRef]
  53. Zlatev, Z.; Fernando, C.L. An overview on drought induced changes in plant growth, water relations and photosynthesis. Emir. J. Food Agric. 2012, 24, 57–72. [Google Scholar] [CrossRef] [Green Version]
  54. Wu, F.Z.; Bao, W.K.; Li, F.L.; Wu, N. Effects of water stress and nitrogen supply on leaf gas exchange and fluorescence parameters of Sophora davidii seedlings. Photosynthetica 2008, 46, 40–48. [Google Scholar] [CrossRef]
  55. Lu, C.; Zhang, J. Effects of water stress on photosystem II photochemistry and its thermostability in wheat plants. J. Exp. Bot. 1999, 50, 1199–1206. [Google Scholar] [CrossRef]
  56. Hura, T.; Grzesiak, S.; Hura, K.; Thiemt, E.; Tokarz, K.; Wȩdzony, M. Physiological and biochemical tools useful in drought-tolerance detection in genotypes of winter triticale: Accumulation of ferulic acid correlates with drought tolerance. Ann. Bot. 2007, 100, 767–775. [Google Scholar] [CrossRef] [Green Version]
  57. Paknejad, F.; Nasri, M.; Moghadam, H.R.T.; Zahedi, H.; Alahmadi, M.J. Effects of drought stress on chlorophyll fluorescence parameters, chlorophyll content and grain yield of wheat cultivars. J. Biol. Sci. 2007, 7, 841–847. [Google Scholar] [CrossRef]
  58. Bouchenak, F.; Henri, P.; Benrebiha, F.Z.; Rey, P. Differential responses to salinity of two Atriplex halimus populations in relation to organic solutes and antioxidant systems involving thiol reductases. J. Plant Physiol. 2012, 169, 1445–1453. [Google Scholar] [CrossRef]
  59. Clarke, A.K.; Hurry, V.M.; Gustafsson, P.; Öquist, G. Two functionally distinct forms of the photosystem II reaction-center protein D1 in the cyanobacterium Synechococcus sp. PCC 7942. Proc. Natl. Acad. Sci. USA 1993, 90, 11985–11989. [Google Scholar] [CrossRef] [Green Version]
  60. Fracheboud, Y.; Haldimann, P.; Leipner, J.; Stamp, P. Chlorophyll fluorescence as a selection tool for cold tolerance of photosynthesis in maize (Zea mays L.). J. Exp. Bot. 1999, 50, 1533–1540. [Google Scholar] [CrossRef]
  61. Coste, S.; Baraloto, C.; Leroy, C.; Marcon, É.; Renaud, A.; Richardson, A.D.; Roggy, J.C.; Schimann, H.; Uddling, J.; Hérault, B. Assessing foliar chlorophyll contents with the SPAD-502 chlorophyll meter: A calibration test with thirteen tree species of tropical rainforest in French Guiana. Ann. For. Sci. 2010, 67, 607. [Google Scholar] [CrossRef] [Green Version]
  62. Boe, A.; Owens, V.; Gonzalez-Hernandez, J.; Stein, J.; Lee, D.K.; Koo, B.C. Morphology and biomass production of prairie cordgrass on marginal lands. GCB Bioenergy 2009, 1, 240–250. [Google Scholar] [CrossRef]
  63. Heaton, E.A.; Voigt, T.B.; Long, S.P. A quantitative review comparing the yields of two candidate C4 perennial biomass crops in relation to nitrogen, temperature and water. Biomass Bioenergy 2004, 27, 21–30. [Google Scholar] [CrossRef]
  64. Kering, M.K.; Biermacher, J.T.; Butler, T.J.; Mosali, J.; Guretzky, J.A. Biomass Yield and Nutrient Responses of Switchgrass to Phosphorus Application. Bioenergy Res. 2012, 5, 71–78. [Google Scholar] [CrossRef] [Green Version]
  65. Arundale, R.A.; Dohleman, F.G.; Voigt, T.B.; Long, S.P. Nitrogen Fertilization Does Significantly Increase Yields of Stands of Miscanthus × giganteus and Panicum virgatum in Multiyear Trials in Illinois. Bioenergia. Res. 2014, 7, 408–416. [Google Scholar] [CrossRef]
  66. Guo, J.; Thapa, S.; Voigt, T.; Owens, V.; Boe, A.; Lee, D.K. Biomass Yield and Feedstock Quality of Prairie Cordgrass in Response to Seeding Rate, Row Spacing, and Nitrogen Fertilization. Agron. J. 2017, 109, 2474–2485. [Google Scholar] [CrossRef]
  67. Weijde Van der, T.; Huxley, L.M.; Hawkins, S.; Sembiring, E.H.; Farrar, K.; Dolstra, O.; Visser, R.G.F.; Trindade, L.M. Impact of drought stress on growth and quality of miscanthus for biofuel production. GCB Bioenergy 2017, 9, 770–782. [Google Scholar] [CrossRef] [Green Version]
  68. Cosentino, S.; Patane, C.; Sanzone, E.; Copani, V.; Foti, S. Effects of soil water content and nitrogen supply on the productivity of Miscanthus × giganteus Greef et Deu. in a Mediterranean environment. Ind. Crops Prod. 2007, 25, 75–88. [Google Scholar] [CrossRef]
Figure 1. Physiological parameters of Miscanthus × giganteus dependent on treatment (0–IV) and date of measuring. The efficiency of excitation energy capture by open PSII reaction centers (Fv’/Fm’) measured on leaves from upper level (A), medium level (C) and lower level (E), and chlorophyll content index (CCI) measured on leaves from upper level (B), medium level (D) and lower level (F). Means marked by asterisk within one date differ significantly from treatment 0 (p < 0.05, n = 9).
Figure 1. Physiological parameters of Miscanthus × giganteus dependent on treatment (0–IV) and date of measuring. The efficiency of excitation energy capture by open PSII reaction centers (Fv’/Fm’) measured on leaves from upper level (A), medium level (C) and lower level (E), and chlorophyll content index (CCI) measured on leaves from upper level (B), medium level (D) and lower level (F). Means marked by asterisk within one date differ significantly from treatment 0 (p < 0.05, n = 9).
Sustainability 14 04512 g001
Figure 2. Physiological parameters of Miscanthus sacchariflorus dependent on treatment (0–IV) and date of measuring. The efficiency of excitation energy capture by open PSII reaction centers (Fv’/Fm’) measured on leaves from upper level (A), medium level (C) and lower level (E), and chlorophyll content index (CCI) measured on leaves from upper level (B), medium level (D) and lower level (F). Means marked by asterisk within one date differ significantly from treatment 0 (p < 0.05, n = 9).
Figure 2. Physiological parameters of Miscanthus sacchariflorus dependent on treatment (0–IV) and date of measuring. The efficiency of excitation energy capture by open PSII reaction centers (Fv’/Fm’) measured on leaves from upper level (A), medium level (C) and lower level (E), and chlorophyll content index (CCI) measured on leaves from upper level (B), medium level (D) and lower level (F). Means marked by asterisk within one date differ significantly from treatment 0 (p < 0.05, n = 9).
Sustainability 14 04512 g002
Figure 3. Physiological parameters of Miscanthus sinensis dependent on treatment (0–IV) and date of measuring. The efficiency of excitation energy capture by open PSII reaction centers (Fv’/Fm’) measured on leaves from upper level (A), medium level (C) and lower level (E), and chlorophyll content index (CCI) measured on leaves from upper level (B), medium level (D) and lower level (F). Means marked by asterisk within one date differ significantly from treatment 0 (p < 0.05, n = 9).
Figure 3. Physiological parameters of Miscanthus sinensis dependent on treatment (0–IV) and date of measuring. The efficiency of excitation energy capture by open PSII reaction centers (Fv’/Fm’) measured on leaves from upper level (A), medium level (C) and lower level (E), and chlorophyll content index (CCI) measured on leaves from upper level (B), medium level (D) and lower level (F). Means marked by asterisk within one date differ significantly from treatment 0 (p < 0.05, n = 9).
Sustainability 14 04512 g003
Figure 4. Physiological parameters of Spartina pectinate dependent on treatment (0–IV) and date of measuring. The efficiency of excitation energy capture by open PSII reaction centers (Fv’/Fm’) measured on leaves from upper level (A), medium level (C) and lower level (E), and chlorophyll content index (CCI) measured on leaves from upper level (B), medium level (D) and lower level (F). Means marked by asterisk within one date differ significantly from treatment 0 (p < 0.05, n = 9).
Figure 4. Physiological parameters of Spartina pectinate dependent on treatment (0–IV) and date of measuring. The efficiency of excitation energy capture by open PSII reaction centers (Fv’/Fm’) measured on leaves from upper level (A), medium level (C) and lower level (E), and chlorophyll content index (CCI) measured on leaves from upper level (B), medium level (D) and lower level (F). Means marked by asterisk within one date differ significantly from treatment 0 (p < 0.05, n = 9).
Sustainability 14 04512 g004
Figure 5. Morphological parameters of Miscanthus × giganteus dependent on treatment (0–IV). All means ± S.D. Means marked by asterisk (*) differ significantly from treatment 0 (p < 0.05, n = 3).
Figure 5. Morphological parameters of Miscanthus × giganteus dependent on treatment (0–IV). All means ± S.D. Means marked by asterisk (*) differ significantly from treatment 0 (p < 0.05, n = 3).
Sustainability 14 04512 g005
Figure 6. Morphological parameters of Miscanthus sacchariflorus dependent on treatment (0–IV). All means ± S.D. Means marked by asterisk (*) differ significantly from treatment 0 (p < 0.05, n = 3).
Figure 6. Morphological parameters of Miscanthus sacchariflorus dependent on treatment (0–IV). All means ± S.D. Means marked by asterisk (*) differ significantly from treatment 0 (p < 0.05, n = 3).
Sustainability 14 04512 g006
Figure 7. Morphological parameters of Miscanthus sinensis dependent on treatment (0–IV). All means ± S.D. Means marked by asterisk (*) differ significantly from treatment 0 (p < 0.05, n = 3).
Figure 7. Morphological parameters of Miscanthus sinensis dependent on treatment (0–IV). All means ± S.D. Means marked by asterisk (*) differ significantly from treatment 0 (p < 0.05, n = 3).
Sustainability 14 04512 g007
Figure 8. Morphological parameters of Spartina pectinate dependent on treatment (0–IV). All means ± S.D. Means marked by asterisk (*) differ significantly from treatment 0 (p < 0.05, n = 3).
Figure 8. Morphological parameters of Spartina pectinate dependent on treatment (0–IV). All means ± S.D. Means marked by asterisk (*) differ significantly from treatment 0 (p < 0.05, n = 3).
Sustainability 14 04512 g008
Figure 9. Principal component analysis (PCA) biplot for two-way classification of plant species and treatments. The efficiency of excitation energy capture by open PSII reaction centers (Fv’/Fm’) and chlorophyll content index (CCI) were measured on leaves from upper level, medium level and lower level.
Figure 9. Principal component analysis (PCA) biplot for two-way classification of plant species and treatments. The efficiency of excitation energy capture by open PSII reaction centers (Fv’/Fm’) and chlorophyll content index (CCI) were measured on leaves from upper level, medium level and lower level.
Sustainability 14 04512 g009
Table 1. Effect of grass species, fertilization treatment, water regime and plant level on chlorophyll content index (CCI).
Table 1. Effect of grass species, fertilization treatment, water regime and plant level on chlorophyll content index (CCI).
Date of Measurement
4 June25 June8 July23 July7 August27 August10 September24 SeptemberMean
Plant Species
Spartina pectinata11.94 b12.11 c9.18 b,c9.42 b8.45 c7.67 b5.02 b5.57 a,b8.65 c
Miscanthus × giganteus16.10 c10.83 a,b9.86 c7.46 a6.25 b5.91 a4.14 a3.30 a8.02 b
Miscanthus sacchariflorus9.95 a8.50 a7.74 a6.57 a6.05 a,b6.50 a5.52 b7.52 b7.25 a
Miscanthus sinensis14.89 c10.25 b8.48 a,b7.11 a5.52 a5.71 a4.25 a3.82 a7.52 a,b
Water Regime and Fertilization Treatments
013.18 a,b9.38 b7.90 b6.77 b5.89 b5.55 a4.09 a,b4.67 a7.25 b
I11.23 a7.31 a5.90 a5.33 a4.79 a4.88 a3.89 a4.10 a5.90 a
II14.51 b12.30 c10.83 c8.97 c7.41 b7.27 b5.78 d6.13 a9.17 d
III13.15 a,b10.65 b9.54 c8.12 c7.12 b7.09 b5.08 c,d4.91 a8.18 c
IV13.87 b12.32 c9.82 c8.92 c7.61 b7.39 b4.83 b,c5.55 a8.79 c,d
Level of Plant
upper (B)9.84 a6.56 a6.15 a5.92 a5.77 a6.05 a5.20 b5.25 a6.32 a
medium (D)17.11 c12.81 b10.77 c7.66 b6.82 b6.90 b5.29 b4.83 a9.05 b
lower (F)12.55 b11.87 b9.51 b9.37 c7.15 b6.41 a,b3.71 a5.15 a8.20 b
Means in the same column with different letters differ significantly (p < 0.05).
Table 2. Effect of grass species, fertilization treatment, water regime and plant level on photosynthetic efficiency of plants.
Table 2. Effect of grass species, fertilization treatment, water regime and plant level on photosynthetic efficiency of plants.
Date of Measurement
4 June25 June8 July23 July7 August27 August10 September24 SeptemberMean
Plant Species
Spartina pectinata0.712 b0.698 b0.742 b0.767 b0.768 d0.767 b0.781 b0.749 a0.748 c
Miscanthus × giganteus0.715 b0.645 a0.709 b0.761 b0.751 c0.738 a0.766 ab0.747 a0.729 b
Miscanthus sacchariflorus0.631 a0.702 b0.596 a0.711 a0.706 a0.737 a0.723 a0.720 a0.686 a
Miscanthus sinensis0.624 a0.700 b0.721 b0.750 b0.736 b0.742 a0.728 a0.738 a0.717 b
Water Regime and Fertilization Treatments
00.65 a0.673 a0.701 a0.743 a0.734 a0.744 a0.718 a0.734 a0.710 a
I0.691 a0.704 a0.698 a0.757 a0.739 a,b0.745 a0.761 a0.730 a0.721 a
II0.680 a0.691 a0.677 a0.733 a0.745 a,b0.746 a0.758 a0.738 a0.720 a
III0.671 a0.691 a0.693 a0.752 a0.738 a,b0.750 a0.757 a0.742 a0.722 a
IV0.669 a0.685 a0.716 a0.764 a0.763 b0.756 a0.769 a0.759 a0.719 a
Level of Plant
upper (A)0.633 a0.701 a0.694 a0.741 a0.741 a0.749 a0.711 a0.726 a0.707 a
medium (C)0.671 a,b0.677 a0.691 a0.752 a0.739 a0.748 a0.765 b0.744 a0.721 b
lower (E)0.696 b0.694 a0.696 a0.746 a0.742 a0.746 a0.756 a,b0.739 a0.726 b
Means in the same column with different letters differ significantly (p < 0.05).
Table 3. Effect of grass species and fertilization treatment on morphology parameters.
Table 3. Effect of grass species and fertilization treatment on morphology parameters.
Fresh Mass (kg per Pot)Dry Mass (kg per Pot)Stem Parameters
ShootsLeavesAbove-Ground MassShoots/LeavesShootsLeavesAbove-Ground MassShoots/LeavesLength (cm)Number (Pieces)Diameter (mm)
Plant Species
Spartina pectinata0.060 a0.093 b0.153 a0.64 a0.025 a0.070 b0.096 a0.36 a35.1 a29.4 c2.33 a
Miscanthus × giganteus0.110 c0.073 a0.184 b1.51 c0.034 b0.064 a0.098 a0.53 b78.9 b8.7 a7.04 d
Miscanthus sacchariflorus0.101 b,c0.078 a0.179 b1.29 b0.050 c0.066 a0.119 b0.76 c101.9 c28.1 c3.22 b
Miscanthus sinensis0.095 b0.076 a0.171 b1.25 b0.036 b0.064 a0.100 a0.56 b96.5 c15.5 b3.80 c
Water Regime and Fertilization Treatments
00.109 c0.084 b0.193 c1.30 c0.047 c0.069 c0.116 c0.68 d87.8 c21.4 b4.22 a
I0.095 b0.069 a0.164 b1.38 c0.036 b0.060 b0.097 b0.60 b105.1 d18.9 a4.14 a
II0.113 c0.106 c0.219 d1.07 b0.042 c0.086 d0.132 d0.49 a71.4 b25.5 b4.23 a
III0.076 a0.072 a0.148 a1.06 b0.030 a0.060 b0.090 b0.50 a71.7 b19.3 a4.03 a
IV0.067 a0.069 a0.135 a0.97 a0.027 a0.055 a0.082 a0.49 a54.4 a17.0 a3.88 a
Means in the same column with different letters differ significantly (p < 0.05).
Publisher’s Note: MDPI stays neutral with regard to jurisdictional claims in published maps and institutional affiliations.

Share and Cite

MDPI and ACS Style

Steinhoff-Wrześniewska, A.; Dąbrowski, P.; Paszkiewicz-Jasińska, A.; Wróbel, B.; Strzelczyk, M.; Helis, M.; Kalaji, M.H. Studying the Physiological Reactions of C4 Grasses in Order to Select Them for Cultivation on Marginal Lands. Sustainability 2022, 14, 4512. https://doi.org/10.3390/su14084512

AMA Style

Steinhoff-Wrześniewska A, Dąbrowski P, Paszkiewicz-Jasińska A, Wróbel B, Strzelczyk M, Helis M, Kalaji MH. Studying the Physiological Reactions of C4 Grasses in Order to Select Them for Cultivation on Marginal Lands. Sustainability. 2022; 14(8):4512. https://doi.org/10.3390/su14084512

Chicago/Turabian Style

Steinhoff-Wrześniewska, Aleksandra, Piotr Dąbrowski, Anna Paszkiewicz-Jasińska, Barbara Wróbel, Maria Strzelczyk, Marek Helis, and Mohamed Hazem Kalaji. 2022. "Studying the Physiological Reactions of C4 Grasses in Order to Select Them for Cultivation on Marginal Lands" Sustainability 14, no. 8: 4512. https://doi.org/10.3390/su14084512

APA Style

Steinhoff-Wrześniewska, A., Dąbrowski, P., Paszkiewicz-Jasińska, A., Wróbel, B., Strzelczyk, M., Helis, M., & Kalaji, M. H. (2022). Studying the Physiological Reactions of C4 Grasses in Order to Select Them for Cultivation on Marginal Lands. Sustainability, 14(8), 4512. https://doi.org/10.3390/su14084512

Note that from the first issue of 2016, this journal uses article numbers instead of page numbers. See further details here.

Article Metrics

Back to TopTop