Sign in to use this feature.

Years

Between: -

Subjects

remove_circle_outline
remove_circle_outline
remove_circle_outline
remove_circle_outline
remove_circle_outline
remove_circle_outline

Journals

Article Types

Countries / Regions

Search Results (36)

Search Parameters:
Keywords = free fatty acid receptor (FFA) 2

Order results
Result details
Results per page
Select all
Export citation of selected articles as:
24 pages, 2429 KB  
Article
Protective Role of Ginsenoside F1-Enriched Extract (SGB121) in Metabolic Dysfunction-Associated Fatty Liver Disease (MAFLD)
by Bo Yoon Chang, In Kim, Hyungmin Park, Sunchang Kim and Sung Yeon Kim
Nutrients 2025, 17(23), 3693; https://doi.org/10.3390/nu17233693 - 25 Nov 2025
Viewed by 687
Abstract
Introduction/Objectives: Ginsenoside F1, a pharmacologically active saponin derived from Panax ginseng, exhibits diverse bioactivities, but its use is limited because it is difficult to purify and has high production costs. To overcome these challenges, a ginsenoside F1-enriched extract named SGB121 was developed. [...] Read more.
Introduction/Objectives: Ginsenoside F1, a pharmacologically active saponin derived from Panax ginseng, exhibits diverse bioactivities, but its use is limited because it is difficult to purify and has high production costs. To overcome these challenges, a ginsenoside F1-enriched extract named SGB121 was developed. This study aimed to evaluate the therapeutic efficacy of SGB121 in a high-fat, high-carbohydrate (HFHC) diet-induced metabolic dysfunction-associated fatty liver disease (MAFLD) mouse model and to elucidate its mechanism of action using F1-based cellular assays. Methods: Male C57BL/6 mice (6 weeks old) were fed an HFHC diet to induce MAFLD and were treated with SGB121. Hepatic lipid accumulation, oxidative stress markers, and metabolic parameters were analyzed. In parallel, human hepatocellular carcinoma (HepG2) cells exposed to free fatty acids (FFAs) were used to assess oxidative stress and lipid accumulation. Mechanistic studies were conducted using purified F1 to examine adenosine monophosphate-activated protein kinase (AMPK) activation and related pathways. Results: SGB121 reduced hepatic lipid accumulation, malondialdehyde (MDA) levels, and fasting insulin while restoring glutathione (GSH) content and improving the homeostasis model assessment of insulin resistance (HOMA-IR) in MAFLD mice. In FFA-treated HepG2 cells, both SGB121 and F1 decreased reactive oxygen species (ROS), suppressed sterol regulatory element-binding protein 1 (SREBP1), enhanced peroxisome proliferator-activated receptor-α (PPARα) and β-oxidation, and restored insulin receptor substrate (IRS)/protein kinase B (Akt)/glucose transporter 2 (GLUT2) signaling. Conclusions: SGB121 ameliorates MAFLD and related metabolic dysfunction through antioxidant, lipid-regulating, and insulin-sensitizing actions, highlighting its potential as a safe multifunctional nutraceutical for MAFLD management. Full article
Show Figures

Graphical abstract

20 pages, 4477 KB  
Article
Dapansutrile Regulates Mitochondrial Oxidative Stress and Reduces Hepatic Lipid Accumulation in Diabetic Mice
by Ying Wu and Jiaqiang Zhou
Curr. Issues Mol. Biol. 2025, 47(3), 148; https://doi.org/10.3390/cimb47030148 - 25 Feb 2025
Cited by 4 | Viewed by 1965
Abstract
(1) Background: Hepatic lipid accumulation is the initial factor in metabolic-associated fatty liver disease (MAFLD) in type 2 diabetics, leading to accelerated liver damage. The NOD-like receptor protein 3 (NLRP3) inflammasome plays a critical role in this process. Dapansutrile (DAPA) is a novel [...] Read more.
(1) Background: Hepatic lipid accumulation is the initial factor in metabolic-associated fatty liver disease (MAFLD) in type 2 diabetics, leading to accelerated liver damage. The NOD-like receptor protein 3 (NLRP3) inflammasome plays a critical role in this process. Dapansutrile (DAPA) is a novel NLRP3 inflammasome inhibitor; however, its effect on ectopic lipid accumulation in the liver remains unclear. This study aimed to investigate the therapeutic effect of DAPA on hepatic lipid accumulation in a diabetic mouse model and its potential mechanisms. (2) Methods: The effects of DAPA on hepatic ectopic lipid deposition and liver function under metabolic stress were evaluated in vivo using db/db and high-fat diet (HFD) + streptozotocin (STZ) mouse models. Additionally, the role and mechanism of DAPA in cellular lipid deposition, mitochondrial oxidative stress, and inflammation were assessed in HepG2 cells treated with free fatty acids (FFA) and DAPA. (3) Results: Our findings indicated that DAPA treatment improved glucose and lipid metabolism in diabetic mice, particularly addressing liver heterotopic lipid deposition and insulin resistance. DAPA treatment also ameliorated lipid accumulation and mitochondrial-related functions and inflammation in HepG2 cells through the NLRP3-Caspase-1 signaling axis. (4) Conclusions: Targeting NLRP3 with DAPA may represent a novel therapeutic approach for diabetes-related fatty liver diseases. Full article
(This article belongs to the Section Molecular Medicine)
Show Figures

Figure 1

22 pages, 17156 KB  
Article
Effects of Enterococcus faecalis Supplementation on Growth Performance, Hepatic Lipid Metabolism, and mRNA Expression of Lipid Metabolism Genes and Intestinal Flora in Geese
by Siyu Sun, Yujie Zhao, Zhen Pang, Baoxia Wan, Jiaqi Wang, Zhenyu Wu and Qiuju Wang
Animals 2025, 15(2), 268; https://doi.org/10.3390/ani15020268 - 18 Jan 2025
Cited by 3 | Viewed by 2990
Abstract
The effects of Enterococcus faecalis (E. faecalis) at a concentration of 1.0 × 108 CFU/mL on growth performance, hepatic lipid metabolism, and mRNA expression related to lipid metabolism, intestinal morphology, and intestinal flora were investigated in geese. A total of [...] Read more.
The effects of Enterococcus faecalis (E. faecalis) at a concentration of 1.0 × 108 CFU/mL on growth performance, hepatic lipid metabolism, and mRNA expression related to lipid metabolism, intestinal morphology, and intestinal flora were investigated in geese. A total of 60 male geese, aged 30 days and of similar weight, were randomly assigned to 2 groups. Each group was divided into six replicates, with five geese per replicate. During the 45-day experiment, the control group received a basal diet, while the experimental group was provided with the same basal diet supplemented with E. faecalis in drinking water at a concentration of 1.0 × 108 CFU/mL. E. faecalis significantly increased the half-eviscerated weight of geese and improved ileal intestinal morphology (p < 0.05). Serum triglyceride (TG) levels were significantly reduced on day 5, while serum total cholesterol (TC) and low-density lipoprotein cholesterol (LDL-C) levels were significantly decreased on day 25 (p < 0.05). By day 45, serum TG and free fatty acid (FFA) levels were also significantly reduced (p < 0.05). Additionally, E. faecalis significantly increased the HDL/LDL ratio and serum high-density lipoprotein cholesterol (HDL-C) levels (p < 0.05). Serum insulin levels were significantly elevated on day 25, and glucagon-like peptide-1 (GLP-1) levels were significantly increased on day 45 (p < 0.05). On day 25 of the trial, hepatic TG levels, FFA levels, and Oil Red O-stained areas in the liver were significantly reduced (p < 0.05), accompanied by significantly decreased mRNA expression of hepatic acetyl-CoA carboxylase (ACCA) (p < 0.05). Conversely, the mRNA expression levels of fatty acid synthase (FASN), farnesoid X receptor (FXR), sterol regulatory element-binding protein 1 (SREBP-1), and peroxisome proliferator-activated receptor-α (PPARα) were significantly elevated (p < 0.05). A 16S rRNA diversity analysis of ileal contents on day 25 revealed significant differences in intestinal flora composition between the control and E. faecalis groups. The 16S rRNA data demonstrated a strong correlation between microbial communities and lipid-related physiological and biochemical indicators (p < 0.05). In conclusion, E. faecalis supplementation promoted fatty acid oxidation, reduced blood lipid levels, alleviated hepatic lipid accumulation, and improved ileal morphology and intestinal flora diversity, thereby enhancing growth performance and lipid metabolism in geese. These findings suggest that E. faecalis is a promising probiotic candidate for development as a feed additive. Full article
(This article belongs to the Special Issue Feed Ingredients and Additives for Swine and Poultry)
Show Figures

Figure 1

9 pages, 460 KB  
Article
An Increasing Triglyceride–Glucose Index Is Associated with a Pro-Inflammatory and Pro-Oxidant Phenotype
by Beverley Adams-Huet and Ishwarlal Jialal
J. Clin. Med. 2024, 13(13), 3941; https://doi.org/10.3390/jcm13133941 - 5 Jul 2024
Cited by 19 | Viewed by 2908
Abstract
Background/Objectives: Insulin resistance is crucial in the pathogenesis of Metabolic Syndrome (MetS), type 2 diabetes mellitus (T2DM) and premature atherosclerotic cardiovascular disease (ASCVD). The triglyceride–glucose index (TyG index), a validated measure of insulin resistance, also predicts MetS, T2DM, the severity of albuminuria and [...] Read more.
Background/Objectives: Insulin resistance is crucial in the pathogenesis of Metabolic Syndrome (MetS), type 2 diabetes mellitus (T2DM) and premature atherosclerotic cardiovascular disease (ASCVD). The triglyceride–glucose index (TyG index), a validated measure of insulin resistance, also predicts MetS, T2DM, the severity of albuminuria and ASCVD. There are scant data providing mechanistic insights into these sequalae. Accordingly, we investigated the relationship between the TyG index and biomarkers of inflammation, oxidative stress, free fatty acid (FFA) levels and adipokine dysregulation in a cohort comprising both controls and patients with nascent MetS. Methods: Participants (n = 102) included 59 patients with MetS and 43 controls. People with diabetes, ASCVD, smoking and macro-inflammation were excluded. Fasting blood was obtained for both plasma and monocyte isolation. Results: Receiver Operating Characteristic (ROC) curve analysis revealed that the TyG index was an excellent predictor of MetS with an area under the curve of 0.87, and it correlated with both hepatic and adipose tissue insulin resistance. Both serum RBP-4 levels and non-HDL cholesterol increased significantly over tertiles of the TyG index. Based on the TyG index tertiles and/or correlations, oxidized LDL, nitrotyrosine, C-reactive protein, endotoxin, chemerin, interleukin-6 levels and monocyte toll-like receptor (TLR)-4 and TLR-2 and their cellular signaling were significantly associated with the TyG index. Conclusions: Increased non-HDL-C and, most importantly, a pro-inflammatory and pro-oxidant state could be advanced as potential mechanisms explaining the increased risk for T2DM and ASCVD with an increasing TyG index. Full article
(This article belongs to the Topic Metabolic Syndrome, Biomarkers and Lifestyles)
Show Figures

Figure 1

23 pages, 2884 KB  
Article
Esculeogenin A, a Glycan from Tomato, Alleviates Nonalcoholic Fatty Liver Disease in Rats through Hypolipidemic, Antioxidant, and Anti-Inflammatory Effects
by Jwharah M. Al Jadani, Nawal A. Albadr, Ghedeir M. Alshammari, Soheir A. Almasri, Farah Fayez Alfayez and Mohammed Abdo Yahya
Nutrients 2023, 15(22), 4755; https://doi.org/10.3390/nu15224755 - 11 Nov 2023
Cited by 7 | Viewed by 3142
Abstract
This study examined the preventative effects of esculeogenin A (ESGA), a newly discovered glycan from tomato, on liver damage and hepatic steatosis in high-fat-diet (HFD)-fed male rats. The animals were divided into six groups (each of eight rats): a control group fed a [...] Read more.
This study examined the preventative effects of esculeogenin A (ESGA), a newly discovered glycan from tomato, on liver damage and hepatic steatosis in high-fat-diet (HFD)-fed male rats. The animals were divided into six groups (each of eight rats): a control group fed a normal diet, control + ESGA (200 mg/kg), HFD, and HFD + ESAG in 3 doses (50, 100, and 200 mg/kg). Feeding and treatments were conducted for 12 weeks. Treatment with ESGA did not affect gains in the body or fat weight nor increases in fasting glucose, insulin, and HOMA-IR or serum levels of free fatty acids (FFAs), tumor-necrosis factor-α, and interleukin-6 (IL-6). On the contrary, it significantly reduced the serum levels of gamma-glutamyl transpeptidase (GGT), aspartate aminotransferase (AST), alanine aminotransferase (ALT), total triglycerides (TGs), cholesterol (CHOL), and low-density lipoprotein cholesterol (LDL-c) in the HFD-fed rats. In addition, it improved the liver structure, attenuating the increase in fat vacuoles; reduced levels of TGs and CHOL, and the mRNA levels of SREBP1 and acetyl CoA carboxylase (ACC); and upregulated the mRNA levels of proliferator-activated receptor α (PPARα) and carnitine palmitoyltransferase I (CPT I) in HFD-fed rats. These effects were concomitant with increases in the mRNA, cytoplasmic, and nuclear levels of nuclear factor erythroid 2-related factor 2 (Nrf2), glutathione (GSH), superoxide dismutase (SOD), catalase (CAT), and heme oxygenase-1 (HO); a reduction in the nuclear activity of nuclear factor-kappa beta (NF-κB); and inhibition of the activity of nuclear factor kappa B kinase subunit beta (IKKβ). All of these effects were dose-dependent effects in which a normal liver structure and normal levels of all measured parameters were seen in HFD + ESGA (200 mg/kg)-treated rats. In conclusion, ESGA prevents NAFLD in HFD-fed rats by attenuating hyperlipidemia, hepatic steatosis, oxidative stress, and inflammation by acting locally on Nrf2, NF-κB, SREBP1, and PPARα transcription factors. Full article
(This article belongs to the Section Carbohydrates)
Show Figures

Figure 1

20 pages, 53741 KB  
Article
NRF2 Deficiency Attenuates Diabetic Kidney Disease in Db/Db Mice via Down-Regulation of Angiotensinogen, SGLT2, CD36, and FABP4 Expression and Lipid Accumulation in Renal Proximal Tubular Cells
by Ke Su, Shui-Ling Zhao, Wen-Xia Yang, Chao-Sheng Lo, Isabelle Chenier, Min-Chun Liao, Yu-Chao Pang, Jun-Zheng Peng, Kana N. Miyata, Jean-Francois Cailhier, Jean Ethier, Jean-Baptiste Lattouf, Janos G. Filep, Julie R. Ingelfinger, Shao-Ling Zhang and John S. D. Chan
Antioxidants 2023, 12(9), 1715; https://doi.org/10.3390/antiox12091715 - 4 Sep 2023
Cited by 20 | Viewed by 3540
Abstract
The role(s) of nuclear factor erythroid 2-related factor 2 (NRF2) in diabetic kidney disease (DKD) is/are controversial. We hypothesized that Nrf2 deficiency in type 2 diabetes (T2D) db/db mice (db/dbNrf2 knockout (KO)) attenuates DKD progression through the down-regulation of angiotensinogen (AGT), sodium-glucose [...] Read more.
The role(s) of nuclear factor erythroid 2-related factor 2 (NRF2) in diabetic kidney disease (DKD) is/are controversial. We hypothesized that Nrf2 deficiency in type 2 diabetes (T2D) db/db mice (db/dbNrf2 knockout (KO)) attenuates DKD progression through the down-regulation of angiotensinogen (AGT), sodium-glucose cotransporter-2 (SGLT2), scavenger receptor CD36, and fatty -acid-binding protein 4 (FABP4), and lipid accumulation in renal proximal tubular cells (RPTCs). Db/dbNrf2 KO mice were studied at 16 weeks of age. Human RPTCs (HK2) with NRF2 KO via CRISPR-Cas9 genome editing and kidneys from patients with or without T2D were examined. Compared with db/db mice, db/dbNrf2 KO mice had lower systolic blood pressure, fasting blood glucose, kidney hypertrophy, glomerular filtration rate, urinary albumin/creatinine ratio, tubular lipid droplet accumulation, and decreased expression of AGT, SGLT2, CD36, and FABP4 in RPTCs. Male and female mice had similar results. NRF2 KO attenuated the stimulatory effect of the Nrf2 activator, oltipraz, on AGT, SGLT2, and CD36 expression and high-glucose/free fatty acid (FFA)-stimulated lipid accumulation in HK2. Kidneys from T2D patients exhibited markedly higher levels of CD36 and FABP4 in RPTCs than kidneys from non-diabetic patients. These data suggest that NRF2 exacerbates DKD through the stimulation of AGT, SGLT2, CD36, and FABP4 expression and lipid accumulation in RPTCs of T2D. Full article
(This article belongs to the Special Issue Nrf2 in Kidney Injury and Physiology)
Show Figures

Figure 1

12 pages, 7175 KB  
Article
Denosumab Attenuates Glucolipotoxicity-Induced β-Cell Dysfunction and Apoptosis by Attenuating RANK/RANKL Signals
by Sheng-Chieh Lin, Sing-Hua Tsou, Chien-Yin Kuo, Wei-Liang Chen, Kuan-Wen Wu, Chih-Li Lin and Chien-Ning Huang
Int. J. Mol. Sci. 2023, 24(12), 10289; https://doi.org/10.3390/ijms241210289 - 17 Jun 2023
Cited by 14 | Viewed by 2994
Abstract
Obesity is strongly associated with insulin sensitivity in type 2 diabetes (T2D), mainly because free fatty acids (FFAs) are released from excess fat tissue. Long-term exposure to high levels of FFAs and glucose leads to glucolipotoxicity, causing damage to pancreatic β-cells, thus accelerating [...] Read more.
Obesity is strongly associated with insulin sensitivity in type 2 diabetes (T2D), mainly because free fatty acids (FFAs) are released from excess fat tissue. Long-term exposure to high levels of FFAs and glucose leads to glucolipotoxicity, causing damage to pancreatic β-cells, thus accelerating the progression of T2D. Therefore, the prevention of β-cell dysfunction and apoptosis is essential to prevent the development of T2D. Unfortunately, there are currently no specific clinical strategies for protecting β-cells, highlighting the need for effective therapies or preventive approaches to improve the survival of β-cells in T2D. Interestingly, recent studies have shown that the monoclonal antibody denosumab (DMB), used in osteoporosis, displays a positive effect on blood glucose regulation in patients with T2D. DMB acts as an osteoprotegerin (OPG) by inhibiting the receptor activator of the NF-κB ligand (RANKL), preventing the maturation and function of osteoclasts. However, the exact mechanism by which the RANK/RANKL signal affects glucose homeostasis has not been fully explained. The present study used human 1.4 × 107 β-cells to simulate the T2D metabolic condition of high glucose and free fatty acids (FFAs), and it investigated the ability of DMB to protect β-cells from glucolipotoxicity. Our results show that DMB effectively attenuated the cell dysfunction and apoptosis caused by high glucose and FFAs in β-cells. This may be caused by blocking the RANK/RANKL pathway that reduced mammalian sterile 20-like kinase 1 (MST1) activation and indirectly increased pancreatic and duodenal homeobox 1 (PDX-1) expression. Furthermore, the increase in inflammatory cytokines and ROS caused by the RANK/RANKL signal also played an important role in glucolipotoxicity-induced cytotoxicity, and DMB can also protect β-cells by reducing the mechanisms mentioned above. These findings provide detailed molecular mechanisms for the future development of DMB as a potential protective agent of β-cells. Full article
Show Figures

Graphical abstract

16 pages, 1225 KB  
Article
Synthesis and Evaluation of Hypoglycemic Activity of Structural Isomers of ((Benzyloxy)phenyl)propanoic Acid Bearing an Aminobornyl Moiety
by Sergey O. Kuranov, Darya A. Pon`kina, Yulia V. Meshkova, Mariya K. Marenina, Mikhail V. Khvostov, Olga A. Luzina, Tatiana G. Tolstikova and Nariman F. Salakhutdinov
Int. J. Mol. Sci. 2023, 24(9), 8022; https://doi.org/10.3390/ijms24098022 - 28 Apr 2023
Cited by 3 | Viewed by 2545
Abstract
Free fatty acid receptor-1 (FFAR1) agonists are promising candidates for therapy of type 2 diabetes because of their ability to normalize blood sugar levels during hyperglycemia without the risk of hypoglycemia. Previously, we synthesized compound QS-528, a FFA1 receptor agonist with a [...] Read more.
Free fatty acid receptor-1 (FFAR1) agonists are promising candidates for therapy of type 2 diabetes because of their ability to normalize blood sugar levels during hyperglycemia without the risk of hypoglycemia. Previously, we synthesized compound QS-528, a FFA1 receptor agonist with a hypoglycemic effect in C57BL/6NCrl mice. In the present work, structural analogs of QS-528 based on (hydroxyphenyl)propanoic acid bearing a bornyl fragment in its structure were synthesized. The seven novel compounds synthesized were structural isomers of compound QS-528, varying the positions of the substituents in the aromatic fragments as well as the configuration of the asymmetric center in the bornyl moiety. The studied compounds were shown to have the ability to activate FFAR1 at a concentration of 10 μM. The cytotoxicity of the compounds as well as their effect on glucose uptake in HepG2 cells were studied. The synthesized compounds were found to increase glucose uptake by cells and have no cytotoxic effect. Two compounds, based on the meta-substituted phenylpropanoic acid, 3-(3-(4-(((1R,2R,4R)-1,7,7-trimethylbicyclo-[2.2.1]heptan-2-ylamino)methyl)benzyloxy)phenyl)propanoic acid and 3-(3-(3-(((1R,2R,4R)-1,7,7-trimethylbicyclo [2.2.1]heptan-2-ylamino)methyl)benzyloxy)phenyl)propanoic acid, were shown to have a pronounced hypoglycemic effect in the oral glucose tolerance test with CD-1 mice. Full article
(This article belongs to the Special Issue Biosynthesis and Application of Natural Compound)
Show Figures

Figure 1

16 pages, 4489 KB  
Article
Muscle Cell Insulin Resistance Is Attenuated by Rosmarinic Acid: Elucidating the Mechanisms Involved
by Danja J. Den Hartogh, Filip Vlavcheski and Evangelia Tsiani
Int. J. Mol. Sci. 2023, 24(6), 5094; https://doi.org/10.3390/ijms24065094 - 7 Mar 2023
Cited by 16 | Viewed by 3554
Abstract
Obesity and elevated blood free fatty acid (FFA) levels lead to impaired insulin action causing insulin resistance in skeletal muscle, and contributing to the development of type 2 diabetes mellitus (T2DM). Mechanistically, insulin resistance is associated with increased serine phosphorylation of the insulin [...] Read more.
Obesity and elevated blood free fatty acid (FFA) levels lead to impaired insulin action causing insulin resistance in skeletal muscle, and contributing to the development of type 2 diabetes mellitus (T2DM). Mechanistically, insulin resistance is associated with increased serine phosphorylation of the insulin receptor substrate (IRS) mediated by serine/threonine kinases including mTOR and p70S6K. Evidence demonstrated that activation of the energy sensor AMP-activated protein kinase (AMPK) may be an attractive target to counteract insulin resistance. We reported previously that rosemary extract (RE) and the RE polyphenol carnosic acid (CA) activated AMPK and counteracted the FFA-induced insulin resistance in muscle cells. The effect of rosmarinic acid (RA), another polyphenolic constituent of RE, on FFA-induced muscle insulin resistance has never been examined and is the focus of the current study. Muscle cell (L6) exposure to FFA palmitate resulted in increased serine phosphorylation of IRS-1 and reduced insulin-mediated (i) Akt activation, (ii) GLUT4 glucose transporter translocation, and (iii) glucose uptake. Notably, RA treatment abolished these effects, and restored the insulin-stimulated glucose uptake. Palmitate treatment increased the phosphorylation/activation of mTOR and p70S6K, kinases known to be involved in insulin resistance and RA significantly reduced these effects. RA increased the phosphorylation of AMPK, even in the presence of palmitate. Our data indicate that RA has the potential to counteract the palmitate-induced insulin resistance in muscle cells, and further studies are required to explore its antidiabetic properties. Full article
(This article belongs to the Special Issue Hormone Signaling in Human Health and Diseases)
Show Figures

Figure 1

10 pages, 1083 KB  
Brief Report
Effect of Pemafibrate on Hemorheology in Patients with Hypertriglyceridemia and Aggravated Blood Fluidity Associated with Type 2 Diabetes or Metabolic Syndrome
by Tomohiro Iwakura, Takanori Yasu, Takashi Tomoe, Asuka Ueno, Takushi Sugiyama, Naoyuki Otani, Shinya Kawamoto and Hiroyuki Nakajima
J. Clin. Med. 2023, 12(4), 1481; https://doi.org/10.3390/jcm12041481 - 13 Feb 2023
Cited by 2 | Viewed by 2499
Abstract
Persistent high serum triglyceride (TG) and free fatty acid (FFA) levels, which are common in metabolic syndrome and type 2 diabetes, are risk factors for cardiovascular events because of exacerbated hemorheology. To explore the effects of pemafibrate, a selective peroxisome proliferator-activated receptor alpha [...] Read more.
Persistent high serum triglyceride (TG) and free fatty acid (FFA) levels, which are common in metabolic syndrome and type 2 diabetes, are risk factors for cardiovascular events because of exacerbated hemorheology. To explore the effects of pemafibrate, a selective peroxisome proliferator-activated receptor alpha modulator, on hemorheology, we performed a single-center, nonrandomized, controlled study in patients with type 2 diabetes (HbA1c 6–10%) or metabolic syndrome, with fasting TG levels of ≥ 150 mg/dL and a whole blood transit time of > 45 s on a microarray channel flow analyzer (MCFAN). Patients were divided into a study group, receiving 0.2 mg/day of pemafibrate (n = 50) for 16 weeks, and a non-pemafibrate control group (n = 46). Blood samples were drawn 8 and 16 weeks after entry to the study to evaluate whole blood transit time as a hemorheological parameter, leukocyte activity by MCFAN, and serum FFA levels. No serious adverse events were observed in either of the groups. After 16 weeks, the pemafibrate group showed a 38.6% reduction in triglycerides and a 50.7% reduction in remnant lipoproteins. Pemafibrate treatment did not significantly improve whole blood rheology or leukocyte activity in patients with type 2 diabetes mellitus or metabolic syndrome complicated by hypertriglyceridemia and exacerbated hemorheology. Full article
(This article belongs to the Section Cardiovascular Medicine)
Show Figures

Figure 1

16 pages, 3726 KB  
Article
Acupoint Catgut Embedding Improves Lipid Metabolism in Exercise-Induced Fatigue Rats via the PPAR Signaling Pathway
by Yue Song, Xiaoyu Shi, Zhenzhen Gao, Ran Li, Jiamin Tian, Xiaodong Cao, Bin Yang, Shihua Zhao and Ying Yang
Animals 2023, 13(4), 558; https://doi.org/10.3390/ani13040558 - 5 Feb 2023
Cited by 16 | Viewed by 4270
Abstract
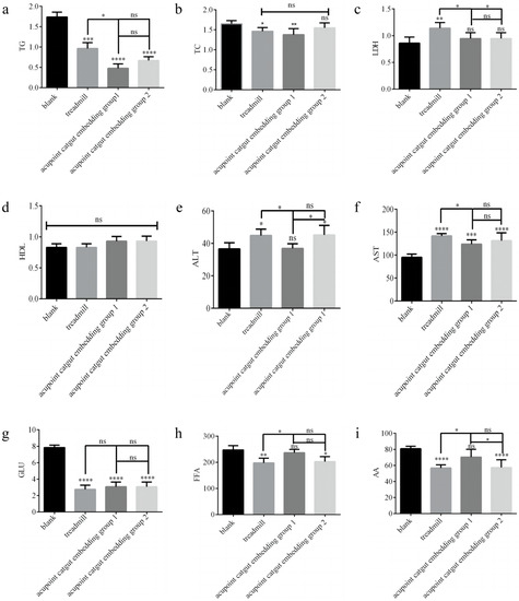
To improve the phenomenon of exercise-induced fatigue that often occurs during horse racing, we previously studied the improvement in exercise tolerance by acupoint catgut embedding preconditioning in an exercise-induced fatigue rat model. We found that acupoint catgut embedding pretreatment effectively improved animal exercise [...] Read more.
To improve the phenomenon of exercise-induced fatigue that often occurs during horse racing, we previously studied the improvement in exercise tolerance by acupoint catgut embedding preconditioning in an exercise-induced fatigue rat model. We found that acupoint catgut embedding pretreatment effectively improved animal exercise tolerance. Here, by combining transcriptomics and metabolomics, we aimed to explore the underlying mechanisms of this improvement. We used blood biochemical detection combined with ELISA to detect triglyceride (TG), total cholesterol (TC), lactate dehydrogenase (LDH), high-density lipoprotein (HDL), alanine transaminase (ALT), aspartate aminotransferase (AST), and glucose (GLU), arachidonic acid (AA), and free fatty acid (FFA) content and found that acupoint embedding can correct FFA, AA, TG, LDH, and AST in the blood. We used RT-qPCR to measure the expression of genes in tissue from the quadriceps femoris muscle. We found that solute carrier family 27 member 2 (Slc27a2), fatty acid binding protein 1 (Fabp1), apolipoprotein C3 (Apoc3), and lipoprotein lipase (Lpl) genes in the peroxisome proliferator-activated receptor (PPAR) signaling pathway were important. The regulation of lipid metabolism through the PPAR signaling pathway was important for improving the exercise endurance of rats in our exercise-induced fatigue model. Therefore, we conclude that acupoint catgut embedding can not only promote body fat decomposition and reduce lactic acid accumulation but also promote the repair of tissue damage and liver damage caused by exercise fatigue. Acupoint catgut embedding regulates the PPAR signaling pathway by upregulating Lpl expression and downregulating Slc27a2, Fabp1, and Apoc3 expression to further improve body fat metabolism. Full article
(This article belongs to the Section Animal Physiology)
Show Figures

Figure 1

16 pages, 2464 KB  
Article
Salvia plebeia R. Br. Water Extract Ameliorates Hepatic Steatosis in a Non-Alcoholic Fatty Liver Disease Model by Regulating the AMPK Pathway
by Subin Bae, Yoo-Hyun Lee, Jeongmin Lee, Jeongjin Park and Woojin Jun
Nutrients 2022, 14(24), 5379; https://doi.org/10.3390/nu14245379 - 18 Dec 2022
Cited by 6 | Viewed by 5791
Abstract
Salvia plebeia R. Br. (SP), grown from autumn to spring, is used as a medicinal herb from roots to leaves. This herb exhibits antioxidant activities and various physiological effect, including anti-asthma, immune-promoting, anti-obesity, and anti-cholesterol effects. However, the effectiveness of SP against non-alcoholic [...] Read more.
Salvia plebeia R. Br. (SP), grown from autumn to spring, is used as a medicinal herb from roots to leaves. This herb exhibits antioxidant activities and various physiological effect, including anti-asthma, immune-promoting, anti-obesity, and anti-cholesterol effects. However, the effectiveness of SP against non-alcoholic fatty liver disease (NAFLD) and the associated mechanism have not been elucidated. In this study, alleviation of NAFLD by SP was confirmed in a mouse model of hepatic steatosis induced by a high-fat diet and in HepG2 cells administered free fatty acids (FFA). In the experimental model, intrahepatic lipid accumulation was investigated using the AdipoRedTM assay, Oil Red O staining, biomarker analysis, and hematoxylin and eosin staining. Furthermore, glucose tolerance was examined based on the fasting glucose levels and oral glucose tolerance. The molecular mechanisms related to hepatic steatosis were determined based on marker mRNA levels. Blood FFAs were found to flow into the liver via the action of fatty acid translocase, cluster of differentiation 36, and fatty acid transporter proteins 2 and 5. Salvia plebeia R. Br. water extract (SPW) suppressed the FFAs inflow by regulating the expression of the above-mentioned proteins. Notably, modulating the expression of AMP-activated protein kinase (AMPK) and liver X receptor, which are involved in the regulation of lipid metabolism, stimulated peroxisome proliferator activated receptor α in the nucleus to induce the expression genes involved in β-oxidation and increase β-oxidation in the mitochondria. AMPK modulation also increased the expression of sterol regulatory element binding protein-1c, which activated lipid synthesis enzymes. As a consequence of these events, triglyceride synthesis was reduced and lipid accumulation in hepatocytes was alleviated. Overall, our findings suggested that SPW could ameliorate NAFLD by inhibiting hepatic steatosis through AMPK modulation. Full article
(This article belongs to the Section Phytochemicals and Human Health)
Show Figures

Graphical abstract

16 pages, 4343 KB  
Article
The Beneficial Effects of Two Polysaccharide Fractions from Sargassum fusiform against Diabetes Mellitus Accompanied by Dyslipidemia in Rats and Their Underlying Mechanisms
by Rui-Bo Jia, Juan Wu, Donghui Luo, Lianzhu Lin, Chong Chen, Chuqiao Xiao and Mouming Zhao
Foods 2022, 11(10), 1416; https://doi.org/10.3390/foods11101416 - 13 May 2022
Cited by 13 | Viewed by 3219
Abstract
The current study aimed to assess the anti-diabetic effects and potential mechanisms of two Sargassum fusiform polysaccharide fractions (SFPs, named SFP-1 and SFP-2). The carbohydrate-loading experiment revealed that SFP-2 could control postprandial hyperglycemia by inhibiting the activity of digestive enzymes in rats. The [...] Read more.
The current study aimed to assess the anti-diabetic effects and potential mechanisms of two Sargassum fusiform polysaccharide fractions (SFPs, named SFP-1 and SFP-2). The carbohydrate-loading experiment revealed that SFP-2 could control postprandial hyperglycemia by inhibiting the activity of digestive enzymes in rats. The analysis of diabetic symptoms and serum profiles indicated that SFPs could mitigate diabetes accompanied by dyslipidemia, and SFP-2 showed better regulatory effects on body weight, food intake and the levels of total cholesterol (TC), triglycerides (TG), low density lipoprotein-cholesterol (LDL-C) and free fatty acid (FFA) in diabetic rats. Intestinal bacterial analysis showed that SFP treatment could reshape the gut flora of diabetic rats, and SFP-2 possessed a greater regulatory effect on the growth of Lactobacillus and Blautia than SFP-1. RT-qPCR analysis revealed that SFPs could regulate the genes involved in the absorption and utilization of blood glucose, hepatic glucose production and lipid metabolism, and the effects of SFP-2 on the relative expressions of Protein kinase B (Akt), Glucose-6-phosphatase (G-6-Pase), Glucose transporter 2 (GLUT2), AMP-activated protein kinase-α (AMPKα), Peroxisome proliferator-activated receptor γ (PPARγ) and Cholesterol 7-alpha hydroxylase (CYP7A1) were greater than SFP-1. All above results indicated that SFPs could be exploited as functional foods or pharmaceutical supplements for the treatment of diabetes and its complications. Full article
(This article belongs to the Section Food Nutrition)
Show Figures

Figure 1

15 pages, 1431 KB  
Review
The Sensory Mechanisms of Nutrient-Induced GLP-1 Secretion
by Anna Pii Hjørne, Ida Marie Modvig and Jens Juul Holst
Metabolites 2022, 12(5), 420; https://doi.org/10.3390/metabo12050420 - 7 May 2022
Cited by 48 | Viewed by 9483
Abstract
The enteroendocrine system of the gut regulates energy homeostasis through the release of hormones. Of the gut-derived hormones, GLP-1 is particularly interesting, as analogs of the hormone have proven to be highly effective for the treatment of type 2 diabetes mellitus and obesity. [...] Read more.
The enteroendocrine system of the gut regulates energy homeostasis through the release of hormones. Of the gut-derived hormones, GLP-1 is particularly interesting, as analogs of the hormone have proven to be highly effective for the treatment of type 2 diabetes mellitus and obesity. Observations on increased levels of GLP-1 following gastric bypass surgery have enhanced the interest in endogenous hormone secretion and highlighted the potential of endogenous secretion in therapy. The macronutrients and their digestive products stimulate the secretion of GLP-1 through various mechanisms that we have only begun to understand. From findings obtained from different experimental models, we now have strong indications for a role for both Sodium-Glucose Transporter 1 (SGLT1) and the K+ATP channel in carbohydrate-induced GLP-1 secretion. For fat, the free fatty acid receptor FFA1 and the G-protein-coupled receptor GPR119 have been linked to GLP-1 secretion. For proteins, Peptide Transporter 1 (Pept1) and the Calcium-Sensing Receptor (CaSR) are thought to mediate the secretion. However, attempts at clinical application of these mechanisms have been unsuccessful, and more work is needed before we fully understand the mechanisms of nutrient-induced GLP-1 secretion. Full article
(This article belongs to the Special Issue The Role of Nutrient Sensors in Energy Metabolism)
Show Figures

Graphical abstract

10 pages, 3237 KB  
Review
Free Fatty Acid Receptors (FFARs) in Adipose: Physiological Role and Therapeutic Outlook
by Saeed Al Mahri, Shuja Shafi Malik, Maria Al Ibrahim, Esraa Haji, Ghida Dairi and Sameer Mohammad
Cells 2022, 11(4), 750; https://doi.org/10.3390/cells11040750 - 21 Feb 2022
Cited by 70 | Viewed by 8893
Abstract
Fatty acids (FFAs) are important biological molecules that serve as a major energy source and are key components of biological membranes. In addition, FFAs play important roles in metabolic regulation and contribute to the development and progression of metabolic disorders like diabetes. Recent [...] Read more.
Fatty acids (FFAs) are important biological molecules that serve as a major energy source and are key components of biological membranes. In addition, FFAs play important roles in metabolic regulation and contribute to the development and progression of metabolic disorders like diabetes. Recent studies have shown that FFAs can act as important ligands of G-protein-coupled receptors (GPCRs) on the surface of cells and impact key physiological processes. Free fatty acid-activated receptors include FFAR1 (GPR40), FFAR2 (GPR43), FFAR3 (GPR41), and FFAR4 (GPR120). FFAR2 and FFAR3 are activated by short-chain fatty acids like acetate, propionate, and butyrate, whereas FFAR1 and FFAR4 are activated by medium- and long-chain fatty acids like palmitate, oleate, linoleate, and others. FFARs have attracted considerable attention over the last few years and have become attractive pharmacological targets in the treatment of type 2 diabetes and metabolic syndrome. Several lines of evidence point to their importance in the regulation of whole-body metabolic homeostasis including adipose metabolism. Here, we summarize our current understanding of the physiological functions of FFAR isoforms in adipose biology and explore the prospect of FFAR-based therapies to treat patients with obesity and Type 2 diabetes. Full article
(This article belongs to the Special Issue Free Fatty Acids and Pathogenesis of Diabetes Mellitus)
Show Figures

Graphical abstract

Back to TopTop