Sign in to use this feature.

Years

Between: -

Subjects

remove_circle_outline
remove_circle_outline
remove_circle_outline
remove_circle_outline
remove_circle_outline
remove_circle_outline
remove_circle_outline
remove_circle_outline
remove_circle_outline

Journals

remove_circle_outline
remove_circle_outline
remove_circle_outline
remove_circle_outline
remove_circle_outline
remove_circle_outline

Article Types

Countries / Regions

remove_circle_outline
remove_circle_outline
remove_circle_outline
remove_circle_outline
remove_circle_outline
remove_circle_outline
remove_circle_outline

Search Results (1,088)

Search Parameters:
Keywords = flow and heat transfer characteristics

Order results
Result details
Results per page
Select all
Export citation of selected articles as:
21 pages, 16904 KB  
Article
Optimization and Predictive Correlation of Thermal-Hydraulic Performance for Transcritical Methane in an Airfoil-Fin Printed Circuit Heat Exchanger
by Changyu Sun, Xiaolin Ma, Yaxin Zhang, Lin Li, Jianzhong Yin and Tao Yang
Energies 2026, 19(2), 575; https://doi.org/10.3390/en19020575 - 22 Jan 2026
Viewed by 41
Abstract
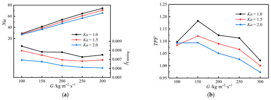
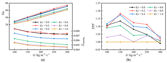
This study investigates the flow and heat transfer characteristics within a printed circuit heat exchanger (PCHE) equipped with airfoil fins. A numerical model of a counter-flow airfoil-fin PCHE was developed, using transcritical methane as the cold medium and a 50 wt% ethylene glycol [...] Read more.
This study investigates the flow and heat transfer characteristics within a printed circuit heat exchanger (PCHE) equipped with airfoil fins. A numerical model of a counter-flow airfoil-fin PCHE was developed, using transcritical methane as the cold medium and a 50 wt% ethylene glycol aqueous solution (50% EGWS) as the hot medium. The effects of the airfoil fin array longitudinal staggering ratio (Ks), transverse pitch ratio (Kb), and longitudinal pitch ratio (Ka) on the thermal-hydraulic performance of the PCHE were systematically analyzed using the thermal performance factor (TPF) for comprehensive evaluation. The optimal configuration was determined to be Ks = 0.2, Kb = 0.5, and Ka = 1.0, achieving a TPF up to 1.18 times higher than that of the baseline structure (Ks = 1.0). The analysis highlights that aggressive heat transfer enhancement incurs a substantial pressure drop penalty; for instance, reducing Ka from 2.0 to 1.0 increases the Nusselt number (Nu) by approximately 13%, while simultaneously increasing the Fanning friction factor (fFanning) by 22%, indicating a significant pressure drop cost. The developed correlations exhibit deviations within ±10% of the simulated values over the Reynolds number (Re) range of 8000–25,000, providing a reliable tool for the optimized design of PCHEs. Full article
(This article belongs to the Section J1: Heat and Mass Transfer)
Show Figures

Figure 1

24 pages, 6607 KB  
Article
Energy Transfer Characteristics of Surface Vortex Heat Flow Under Non-Isothermal Conditions Based on the Lattice Boltzmann Method
by Qing Yan, Lin Li and Yunfeng Tan
Processes 2026, 14(2), 378; https://doi.org/10.3390/pr14020378 - 21 Jan 2026
Viewed by 80
Abstract
During liquid drainage from intermediate vessels in various industrial processes such as continuous steel casting, aircraft fuel supply, and chemical separation, free-surface vortices commonly occur. The formation and evolution of these vortices not only entrain surface slag and gas, but also lead to [...] Read more.
During liquid drainage from intermediate vessels in various industrial processes such as continuous steel casting, aircraft fuel supply, and chemical separation, free-surface vortices commonly occur. The formation and evolution of these vortices not only entrain surface slag and gas, but also lead to deterioration of downstream product quality and abnormal equipment operation. The vortex evolution process exhibits notable three-dimensional unsteadiness, multi-scale turbulence, and dynamic gas–liquid interfacial changes, accompanied by strong coupling effects between temperature gradients and flow field structures. Traditional macroscopic numerical models show clear limitations in accurately capturing these complex physical mechanisms. To address these challenges, this study developed a mesoscopic numerical model for gas-liquid two-phase vortex flow based on the lattice Boltzmann method. The model systematically reveals the dynamic behavior during vortex evolution and the multi-field coupling mechanism with the temperature field while providing an in-depth analysis of how initial perturbation velocity regulates vortex intensity and stability. The results indicate that vortex evolution begins near the bottom drain outlet, with the tangential velocity distribution conforming to the theoretical Rankine vortex model. The vortex core velocity during the critical penetration stage is significantly higher than that during the initial depression stage. An increase in the initial perturbation velocity not only enhances vortex intensity and induces low-frequency oscillations of the vortex core but also markedly promotes the global convective heat transfer process. With regard to the temperature field, an increase in fluid temperature reduces the viscosity coefficient, thereby weakening viscous dissipation effects, which accelerates vortex development and prolongs drainage time. Meanwhile, the vortex structure—through the induction of Taylor vortices and a spiral pumping effect—drives shear mixing and radial thermal diffusion between fluid regions at different temperatures, leading to dynamic reconstruction and homogenization of the temperature field. The outcomes of this study not only provide a solid theoretical foundation for understanding the generation, evolution, and heat transfer mechanisms of vortices under industrial thermal conditions, but also offer clear engineering guidance for practical production-enabling optimized operational parameters to suppress vortices and enhance drainage efficiency. Full article
(This article belongs to the Section Energy Systems)
26 pages, 7863 KB  
Article
Numerical Simulation and Structural Optimization of Flow and Heat Transfer of Flue Gas from Ascharite Ore Roasting in a CFB Desulfurization Reactor
by Mingjie Feng, Dedong Li, Shiwei Yu and Zhuo Wang
Energies 2026, 19(2), 485; https://doi.org/10.3390/en19020485 - 19 Jan 2026
Viewed by 102
Abstract
This study employs numerical simulation methods to systematically analyze the multiphase flow and heat transfer characteristics in a circulating fluidized bed flue gas desulfurization (CFB-FGD) reactor handling ascharite ore roasting flue gas. Based on the simulation results, key structural optimization strategies are proposed. [...] Read more.
This study employs numerical simulation methods to systematically analyze the multiphase flow and heat transfer characteristics in a circulating fluidized bed flue gas desulfurization (CFB-FGD) reactor handling ascharite ore roasting flue gas. Based on the simulation results, key structural optimization strategies are proposed. A three-dimensional mathematical model was developed based on the Fluent 19.1 platform, and the multiphase flow process was simulated using the Eulerian-Lagrangian method. The study examined the effects of venturi tube structure, atomized water nozzle installation height, and gas injection disruptor configuration on reactor performance. Optimization strategies for key structural components were systematically evaluated. The results show that the conventional inlet structure leads to significant non-uniformity in the velocity field. Targeted adjustments to the dimensions of venturi tubes at different positions markedly improve the velocity distribution uniformity. Reducing the atomized water nozzle installation height from 1.50 m to 0.75 m increased the temperature distribution uniformity index in the middle part of the straight pipe section by 5.5%. Moreover, a gas injection disruptor was installed in the upper part of the straight pipe section of the CFB-FGD reactor. Increasing the gas injection velocity from 15 m/s to 30 m/s increased the average residence time of desulfurization sorbents by 17.0%. This increase effectively enhances gas–solid mixing within the CFB-FGD reactor. The optimization strategies described above significantly reduced the extent of flow dead zones and low-temperature regions in the CFB-FGD reactor and improved flow conditions. This study provides important theoretical and technical support for the optimization and industrial application of CFB-FGD technology for ascharite ore roasting flue gas. Full article
(This article belongs to the Section B1: Energy and Climate Change)
Show Figures

Figure 1

20 pages, 6885 KB  
Article
Transient CFD Analysis of Combustion and Heat Transfer in a Coal-Fired Boiler Under Flexible Operation
by Chaoshuai Li, Zhecheng Zhang, Dongdong Feng, Yi Wang, Yongjie Wang, Yijun Zhao, Xin Guo and Shaozeng Sun
Energies 2026, 19(2), 478; https://doi.org/10.3390/en19020478 - 18 Jan 2026
Viewed by 193
Abstract
As a reliable peak-shaving power source, coal-fired boilers’ flexible operation technology has become a key support for achieving the low-carbon transition. To enhance the peak-shaving capacity of the boiler, it is urgent to explore the transient mechanisms of flow, combustion, and heat transfer [...] Read more.
As a reliable peak-shaving power source, coal-fired boilers’ flexible operation technology has become a key support for achieving the low-carbon transition. To enhance the peak-shaving capacity of the boiler, it is urgent to explore the transient mechanisms of flow, combustion, and heat transfer under dynamic conditions. In this study, the heat transfer characteristics of the burner under varying load conditions and the combustion characteristics in boilers under low and dynamic load conditions are investigated by CFD numerical simulation technology based on a 10 MW coal-fired test bench. The results indicate that at load rates of 2%/min and 4%/min, heat flux density remains mostly consistent across the upper wall of the furnace. At 6%/min, the heat flux near dense pulverized coal flow exceeds that near fresh coal flow. At 60% load, the flow fields are symmetrical, optimizing flame filling and distribution. As the load drops to 40%, the upper flow field begins to distort, and by 20% load, turbulence and uneven temperature distribution arise. At 20% load, the one-layer burner demonstrates superior flow field stabilization compared to the two-layer configuration, with particle concentration remaining lower near the wall above the burner but higher in the cold ash hopper, while high-temperature zones predominantly concentrate in the furnace center with minimal areas exceeding 1900 K. A boiler designed for concentration separation enhances airflow and decreases wall particle concentration at 20% load, resulting in a more uniform temperature distribution with high-temperature zones further from the walls. Full article
(This article belongs to the Special Issue Carbon Dioxide Capture, Utilization and Storage (CCUS): 3rd Edition)
Show Figures

Figure 1

26 pages, 5228 KB  
Article
Numerical Investigation of Heat Transfer and Flow Characteristics of Nano-Organic Working Fluid in a Smooth Tube
by Shilong Tian, Yinfang Jiang, Yuzhe Wu, Zhinan Liu, Hongyan Shang, Xingxing Wang and Yongqiang Feng
Energies 2026, 19(2), 469; https://doi.org/10.3390/en19020469 - 17 Jan 2026
Viewed by 168
Abstract
The heat transfer and flow characteristics of TiO2/R123 nano-organic working fluid are investigated and compared with that of R123. A three-dimensional numerical model of the smooth circular tube with a diameter of 10 mm and a length of 1 m is [...] Read more.
The heat transfer and flow characteristics of TiO2/R123 nano-organic working fluid are investigated and compared with that of R123. A three-dimensional numerical model of the smooth circular tube with a diameter of 10 mm and a length of 1 m is established, and the thermodynamic properties of the nano-organic working fluids are rectified with the volume of fluid model. The grid independence validation is conducted, and the simulation results from three models (the k-ε model, the realizable k-ε model, and the Reynolds Stress Model) are evaluated against experimental data. When using the TiO2/R123 nano-organic working fluid, the error between the simulation and experimental results is 6.1%. The flow field distribution is examined, and the effect of mass flux on heat transfer coefficient and pressure drop is discussed. Results demonstrated that the inclusion of TiO2 nanoparticles significantly enhances heat transfer performance. At a 0.1 wt% nanoparticle concentration, the heat transfer coefficient increases by 23.2%, reaching a range of 1430.11 to 2647.25 W/(m2·K), compared to pure R123. However, this improvement in heat transfer performance is accompanied by an increase in flow resistance, with the flow resistance coefficient rising from 0.0353 to 0.0571. Additionally, pressure drops increase by up to 18.7%. Full article
Show Figures

Figure 1

59 pages, 10266 KB  
Review
Advancements in Synthetic Jet for Flow Control and Heat Transfer: A Comprehensive Review
by Jangyadatta Pasa, Md. Mahbub Alam, Venugopal Arumuru, Huaying Chen and Tinghai Cheng
Fluids 2026, 11(1), 22; https://doi.org/10.3390/fluids11010022 - 14 Jan 2026
Viewed by 142
Abstract
Synthetic jets, generated through the periodic suction and ejection of fluid without net mass addition, offer distinct benefits, such as compactness, ease of integration, and independence from external fluid sources. These characteristics make them well-suited for flow control and convective heat transfer applications. [...] Read more.
Synthetic jets, generated through the periodic suction and ejection of fluid without net mass addition, offer distinct benefits, such as compactness, ease of integration, and independence from external fluid sources. These characteristics make them well-suited for flow control and convective heat transfer applications. However, conventional single-actuator configurations are constrained by limited jet formation, narrow surface coverage, and diminished effectiveness in the far field. This review critically evaluates the key limitations and explores four advanced configurations developed to mitigate them: dual-cavity synthetic jets, single-actuator multi-orifice jets, coaxial synthetic jets, and synthetic jet arrays. Dual-cavity synthetic jets enhance volume flow rate and surface coverage by generating multiple vortices and enabling jet vectoring, though they remain constrained by downstream vortex diffusion. Single-actuator multi-orifice designs enhance near-field heat transfer through multiple interacting vortices, yet far-field performance remains an issue. Coaxial synthetic jets improve vortex dynamics and overall performance but face challenges at high Reynolds numbers. Synthetic jet arrays with independently controlled actuators offer the greatest potential, enabling jet vectoring and focusing to enhance entrainment, expand spanwise coverage, and improve far-field performance. By examining key limitations and technological advances, this review lays the foundation for expanded use of synthetic jets in practical engineering applications. Full article
(This article belongs to the Special Issue Feature Reviews for Fluids 2025–2026)
Show Figures

Figure 1

18 pages, 10340 KB  
Article
Numerical Study on Thermal–Flow Characteristics of Liquid Metal Blankets in a Magnetic Field
by Shuaibing Chang, Feng Li and Jiewen Deng
Magnetochemistry 2026, 12(1), 10; https://doi.org/10.3390/magnetochemistry12010010 - 13 Jan 2026
Viewed by 157
Abstract
The tokamak is a toroidal device that utilizes magnetic confinement to achieve controlled nuclear fusion. One of the major technical challenges hindering the development of this technology lies in effectively dissipating the generated heat. In this study, the inner blanket structure of a [...] Read more.
The tokamak is a toroidal device that utilizes magnetic confinement to achieve controlled nuclear fusion. One of the major technical challenges hindering the development of this technology lies in effectively dissipating the generated heat. In this study, the inner blanket structure of a tokamak is selected as the research object, and a multi–physics numerical model coupling magnetic field, temperature field, and flow field is established. The effects of background magnetic field strength, blanket channel width, and inlet velocity of the liquid metal coolant on the thermal–flow characteristics of the blanket were systematically investigated. The results indicate that compared with the L-shaped channel, the U-shaped channel reduces flow resistance in the turning region by 6%, exhibits a more uniform temperature distribution, and decreases the outlet–inlet temperature difference by 4%, thereby significantly enhancing the heat transfer efficiency. An increase in background magnetic field strength suppresses coolant flow but has only a limited impact on the temperature field. When the background magnetic field reaches a certain strength, the magnetic field has a certain hindering effect on the flow of the working fluid. Increasing the thickness of the blankets appropriately can alleviate the hindering effect of the magnetic field on the flow and improve the velocity distribution in the outlet area. Full article
Show Figures

Figure 1

32 pages, 7548 KB  
Article
Research on the Flow and Heat Transfer Characteristics of a Molten Salt Globe Valve Based on an Electromagnetic Induction Heating System
by Shuxun Li, Xiaoya Wen, Bohao Zhang, Lingxia Yang, Yuhao Tian and Xiaoqi Meng
Actuators 2026, 15(1), 50; https://doi.org/10.3390/act15010050 - 13 Jan 2026
Viewed by 112
Abstract
To promote the transition to a cleaner energy structure and support the achievement of the “carbon peak and carbon neutrality” goals, concentrated solar power (CSP) technology has attracted increasing attention. The molten salt globe valve, as a key control component in CSP systems, [...] Read more.
To promote the transition to a cleaner energy structure and support the achievement of the “carbon peak and carbon neutrality” goals, concentrated solar power (CSP) technology has attracted increasing attention. The molten salt globe valve, as a key control component in CSP systems, faces significant challenges related to low-temperature salt crystallization and thermal stress control. This study proposes an active electromagnetic induction heating method based on a triangular double-helix cross-section coil to address issues such as molten salt blockage in the seal bellows and excessive thermal stress during heating. First, electromagnetic simulation comparisons show that the ohmic loss of the proposed coil is approximately 3.5 times and 1.8 times higher than that of conventional circular and rectangular coils, respectively, demonstrating superior heating uniformity and energy efficiency. Second, transient electromagnetic-thermal-fluid-structure multiphysics coupling analysis reveals that during heating, the temperature in the bellows seal region stabilizes above 543.15 K, exceeding the solidification point of the molten salt, while the whole valve reaches thermal stability within about 1000 s, effectively preventing local solidification. Finally, thermal stress analysis indicates that under a preheating condition of 473.15 K, the transient thermal shock stress on the valve body and bellows is reduced by 266.84% and 253.91%, respectively, compared with the non-preheating case, with peak stresses remaining below the allowable stress limit of the material, thereby significantly extending the service life of the valve. This research provides an effective solution for ensuring reliable operation of molten salt valves and improving the overall performance of CSP systems. Full article
(This article belongs to the Section Control Systems)
Show Figures

Figure 1

20 pages, 4094 KB  
Article
Theoretical and Experimental Studies of Permeate Fluxes in Double-Flow Direct-Contact Membrane Distillation (DCMD) Modules with Internal Recycle
by Chii-Dong Ho, Ching-Yu Li, Thiam Leng Chew and Yi-Ting Lin
Membranes 2026, 16(1), 37; https://doi.org/10.3390/membranes16010037 - 6 Jan 2026
Viewed by 309
Abstract
A new DCMD module design that introduces an insulation barrier of negligible thickness to divide the open duct of the hot-saline feed into two subchannels for dual-flow operation was investigated. This configuration enables one subchannel to operate in a cocurrent-flow mode and the [...] Read more.
A new DCMD module design that introduces an insulation barrier of negligible thickness to divide the open duct of the hot-saline feed into two subchannels for dual-flow operation was investigated. This configuration enables one subchannel to operate in a cocurrent-flow mode and the other in a countercurrent-flow recycling mode, thereby significantly enhancing the permeate flux. Theoretical and experimental investigations were conducted to develop modeling equations capable of predicting the permeate flux in DCMD modules. These studies demonstrated the technical feasibility of minimizing temperature polarization effects while improving flow characteristics to boost permeate flux. Results indicated that increasing both convective heat-transfer coefficients and residence time generally improved device performance. The dual-flow operation increased fluid velocity and extended residence time, leading to reduced heat-transfer resistance and enhanced heat-transfer efficiency. Theoretical predictions and experimental results consistently showed that the absorption flux improved by up to 40.77% under the double-flow operation with internal recycling configuration compared to a single-pass device of identical dimensions. The effects of inserting the insulation barrier on permeate flux enhancement, power consumption, and overall economic feasibility were also discussed. Full article
Show Figures

Figure 1

21 pages, 10371 KB  
Article
Numerical Simulation of Gas-Liquid Two-Phase Flow in a Downhole Multistage Axial Compressor Under Different Inlet Conditions
by Mingchen Cao, Wei Pang, Huanle Liu, Shifan Su, Yufan Wang and Weihao Zhang
Energies 2026, 19(1), 275; https://doi.org/10.3390/en19010275 - 5 Jan 2026
Viewed by 281
Abstract
During natural gas field extraction, downhole compressors frequently encounter gas-liquid two-phase flow conditions, yet the internal flow characteristics and performance evolution mechanisms remain insufficiently understood. This paper investigates a small-scale, low-pressure-ratio five-stage axial compressor using a multiphase numerical simulation method based on the [...] Read more.
During natural gas field extraction, downhole compressors frequently encounter gas-liquid two-phase flow conditions, yet the internal flow characteristics and performance evolution mechanisms remain insufficiently understood. This paper investigates a small-scale, low-pressure-ratio five-stage axial compressor using a multiphase numerical simulation method based on the Euler-Lagrange framework. The study systematically examines the effects of different inlet pressures (0.1 MPa, 1 MPa, 8 MPa) and liquid mass fraction (0%, 5%, 10%) on its overall and stage-by-stage performance, droplet evolution, and flow field structure. The results indicate that the inlet pressure exerts a decisive influence on the overall efficiency trend of wet compression. The stage efficiency response displays a trend of an initial decrease in the front stages followed by an increase in the rear stages, showing significant variation under different inlet pressures. Flow field analysis reveals that increased inlet pressure intensifies droplet aerodynamic breakup, leading to higher flow losses in the compressor. Simultaneously, under high-pressure conditions, the cumulative cooling effect resulting from droplet heat transfer and evaporation effectively enhances the flow stability in the rear stages. This research elucidates the interstage interaction mechanisms of gas-liquid two-phase flow in low-pressure-ratio multistage compressors and highlights the competing influences of droplet breakup and evaporation effects on performance under different pressure conditions, providing a theoretical basis for the optimal design of downhole wet gas compression technology. Full article
Show Figures

Figure 1

20 pages, 9150 KB  
Article
Heat Transfer Enhancement and Flow Resistance Characteristics in a Tube with Alternating Corrugated-Smooth Segments
by Junwen Cheng, Jiahao Zhu, Xin Wen, Haodong Yu, Wei Lin, Zuqiang Xin and Jiuyang Yu
Inventions 2026, 11(1), 5; https://doi.org/10.3390/inventions11010005 - 5 Jan 2026
Viewed by 280
Abstract
To mitigate the inherent high flow resistance of conventional corrugated tubes, a novel design with alternating clockwise/counterclockwise corrugated segments separated by smooth sections is proposed. A 3D numerical model was developed to systematically evaluate the thermal-hydraulic performance of the novel tube against smooth [...] Read more.
To mitigate the inherent high flow resistance of conventional corrugated tubes, a novel design with alternating clockwise/counterclockwise corrugated segments separated by smooth sections is proposed. A 3D numerical model was developed to systematically evaluate the thermal-hydraulic performance of the novel tube against smooth and conventional corrugated tubes, with simulations conducted at Reynolds number (Re) = 9952–35,827. Results show both corrugated configurations enhanced heat transfer significantly relative to the smooth tube: the conventional tube had the highest Nusselt number (Nu) (1.76–1.79 times that of the smooth tube), while the novel tube achieved Nu = 1.61–1.65 times that of the smooth tube. Notably, the novel tube reduced flow resistance substantially—at Re = 35,827, its friction factor (f) was only 65.2% of the conventional tube’s. Parametric studies revealed that more corrugated segments improved heat transfer but increased pressure drop: the 72-12 configuration exhibited the best heat transfer, while the 72-2 configuration reduced f by 40.7%. The novel tube showed superior overall performance (Performance Evaluation Criterion (PEC) > 1.24 for all Re), as corrugated segments generated periodic vortices to disrupt the thermal boundary layer, while smooth segments enabled flow redevelopment and pressure recovery. This study provides valuable guidance for designing high-efficiency, low-resistance heat exchange elements. Full article
(This article belongs to the Special Issue Innovations and Inventions in Two-Phase Flow and Heat Transfer)
Show Figures

Figure 1

21 pages, 4404 KB  
Article
Effect of Fluidized Bed Drying on the Physicochemical, Functional, and Morpho-Structural Properties of Starch from Avocado cv. Breda By-Product
by Anna Emanuelle S. Tomé, Yann B. Camilo, Newton Carlos Santos, Priscylla P. D. Rosendo, Elizabeth A. de Oliveira, Jéssica G. Matias, Sinthya K. Q. Morais, Thaisa A. S. Gusmão, Rennan P. de Gusmão, Josivanda P. Gomes and Ana P. T. Rocha
Processes 2026, 14(1), 122; https://doi.org/10.3390/pr14010122 - 29 Dec 2025
Viewed by 272
Abstract
Fluidized bed drying has been widely applied in the food industry due to its high heat and mass transfer rates. In this study, the impact of drying temperatures (50, 60, 70 and 80 °C) in a fluidized bed on the physicochemical, functional, morpho-structural, [...] Read more.
Fluidized bed drying has been widely applied in the food industry due to its high heat and mass transfer rates. In this study, the impact of drying temperatures (50, 60, 70 and 80 °C) in a fluidized bed on the physicochemical, functional, morpho-structural, and thermal properties of avocado seed starch was evaluated. The process yield for all temperatures ranged from 52.3 to 58.5% (p > 0.05), with a starch content of 59.20–60.9 g/100 g, amylose content of 28.85–31.84 g/100 g, and amylopectin content of 29.13–30.37 g/100 g. Additionally, all samples showed high water, milk, and oil absorption capacity (>90%), low solubility (5.22–8.35%), good flow characteristics, and swelling power greater than 50%. There was also a greater release of water (syneresis) after 168 h of storage, regardless of the drying temperature, which likewise did not influence the texture parameters. The granules had a smooth surface, without cracks or cavities, predominantly oval and partially rounded, being classified as type B. In the FT-IR analysis, no new functional groups were observed, only a reduction in peak intensity with increasing drying temperature. Finally, the thermal properties indicated high conclusion temperatures (>130 °C), with gelatinization enthalpy in the range of 14.18 to 15.49 J/g, reflecting its thermal resistance and structural integrity under heat conditions. These results demonstrated that fluidized bed drying is an alternative technique for drying avocado seed starch pastes. Full article
Show Figures

Graphical abstract

19 pages, 7095 KB  
Review
Experimental Research Progress on Gas–Liquid Flow and Heat Transfer Characteristics in Micro Pulsating Heat Pipes
by Jun Chen, Hao Tian, Wanli Xu, Huangdong Guo, Chao Wang, Jincheng Gu and Yichao Cao
Micromachines 2026, 17(1), 37; https://doi.org/10.3390/mi17010037 - 29 Dec 2025
Viewed by 462
Abstract
As the power density of microelectronic devices and components continues to increase, thermal management has become a critical bottleneck limiting their performance and reliability. With its advantages of effective heat dissipation, no need for external power, and good safety, the micro pulsating heat [...] Read more.
As the power density of microelectronic devices and components continues to increase, thermal management has become a critical bottleneck limiting their performance and reliability. With its advantages of effective heat dissipation, no need for external power, and good safety, the micro pulsating heat pipe (MPHP) exhibits unique application advantages and enormous development potential when compared to other cutting-edge thermal management solutions, such as embedded microchannel cooling technology, which has complicated manufacturing processes and is prone to leakage, or thermoelectric material cooling technology, which is limited by material efficiency and self-heating. However, a pulsating heat pipe (PHP) is vulnerable to the combined impacts of several elements (scale effects, wall effects, and interfacial effects) at the micro-scale, which can lead to highly variable heat transfer characteristics and complex two-phase flow behavior. There are still few thorough experimental reviews on this subject, despite the fact that many researchers have concentrated on the MPHP and carried out in-depth experimental investigations on their flow and heat transmission mechanisms. In order to provide strong theoretical support for optimizing the design of the MPHP cooling devices, this paper reviews previous experimental research on the MPHP with the goal of thoroughly clarifying the mechanisms of gas–liquid two-phase flow and heat/mass transfer within them. The definition of MPHP is first explained, along with its internal energy transmission principles and structural features. The motion states of gas–liquid two-phase working fluids in the MPHP from previous experimental investigations are then thoroughly examined, highlighting their distinctive flow patterns and evolution mechanisms. Lastly, the variations in thermal performance between different kinds of MPHPs are examined, along with the factors that affect them. Full article
Show Figures

Figure 1

18 pages, 4902 KB  
Article
Numerical Research on Flow Heat Transfer and Fouling Deposition Characteristics of Shark-Skin Bionic Structure Tube
by Muzhen Li, Xinwen Zhao, Hongguang Xiao, Jichen Sun, Shuhai Yuan and Xiaoya Liu
Processes 2026, 14(1), 79; https://doi.org/10.3390/pr14010079 - 25 Dec 2025
Viewed by 318
Abstract
Shell-and-tube heat exchangers serve as critical energy conversion equipment in marine nuclear power systems, where their thermal performance directly determines operational safety and reliability. This study proposes a kind of shark-skin bionic structure tube to enhance compactness and power density. Key findings are: [...] Read more.
Shell-and-tube heat exchangers serve as critical energy conversion equipment in marine nuclear power systems, where their thermal performance directly determines operational safety and reliability. This study proposes a kind of shark-skin bionic structure tube to enhance compactness and power density. Key findings are: (1) The microstructures induce intensive secondary flows and helical vortices, substantially disrupting the thermal boundary layer and amplifying near-wall perturbations. Maximum enhancement reaches 56.7% in heat transfer coefficient and 33.1–58.3% in heat exchange capacity, with PEC consistently maintained at 1.25–1.30. (2) Fouling deposition significantly degrades heat transfer performance. The fouling layer is simplified using a homogenized model, where the thickness reaches 0.20 mm, the heat transfer capacity of the shark-skin bionic structure tube becomes essentially equivalent to that of a smooth tube, and the heat transfer enhancement effect is largely lost. (3) This study reveals the coupling mechanism between enhanced heat exchange and fouling deposition. On a macroscopic scale, the design and manufacturing of a shark-skin bionic structure tube are achieved, laying a theoretical and design foundation for the development of a new generation of marine heat exchangers with high anti-fouling performance. Full article
(This article belongs to the Section Energy Systems)
Show Figures

Figure 1

12 pages, 1378 KB  
Article
Research on Leakage Temperature Field of Open-Hole Wells by Distributed Fiber Optic
by Wenyuan Zhang, Zhiqiang Huang, Xiaobo He, Linjun Qiu, Jie Wu, Haiping Tang, Zhenbao Li and Zhe Jing
Processes 2026, 14(1), 74; https://doi.org/10.3390/pr14010074 - 25 Dec 2025
Viewed by 307
Abstract
To improve the identification accuracy of leakage layer location in an open-hole well with a distributed fiber optic temperature system, a transient temperature field heat transfer numerical calculation model for bare hole wellbore leakage process was established based on process of the distributed [...] Read more.
To improve the identification accuracy of leakage layer location in an open-hole well with a distributed fiber optic temperature system, a transient temperature field heat transfer numerical calculation model for bare hole wellbore leakage process was established based on process of the distributed fiber optic open-hole well temperature measurement technology, considering factors such as drilling fluid frictional pressure drop, casing section and bare hole section boundary conditions. The distributed fiber optic test data was compared with the calculation model, and the wellbore calculated temperature distribution was consistent with the test temperature curve, and the temperature characteristics of the leakage layer location were obvious, with a maximum error of less than 5.5%. The calculation results show that when using distributed fiber optic open-hole well leak detection, by extending the continuous injection time of drilling fluid to 30 min and increasing the injection flow rate of drilling fluid by 30 L/s, the temperature at the wellbore leak location reaches 2.7 °C and 6.6 °C, respectively, which can reduce the difficulty of identifying the leak location and improve the accuracy of leak location identification. However, after changing the type of drilling fluid, the calculated wellbore temperature distribution showed a difference of no more than 0.01 °C. When detecting the location of the leakage layer in open-hole wells with high temperature gradients, the temperature difference at the leakage layer is more pronounced, which can reduce the difficulty of leak location via distributed fiber optic system. Full article
(This article belongs to the Special Issue New Research on Oil and Gas Equipment and Technology, 2nd Edition)
Show Figures

Figure 1

Back to TopTop