Numerical Investigation of Heat Transfer and Flow Characteristics of Nano-Organic Working Fluid in a Smooth Tube
Abstract
1. Introduction
2. Methodology
2.1. Geometric Model
2.2. Mathematical Model
2.2.1. Governing Equations
2.2.2. Phase Change Model
2.2.3. Turbulence Model
2.3. Thermophysical Properties of Nanofluids
2.4. Boundary Conditions and Solution Approach
3. Data Processing and Model Validation
3.1. Data Processing
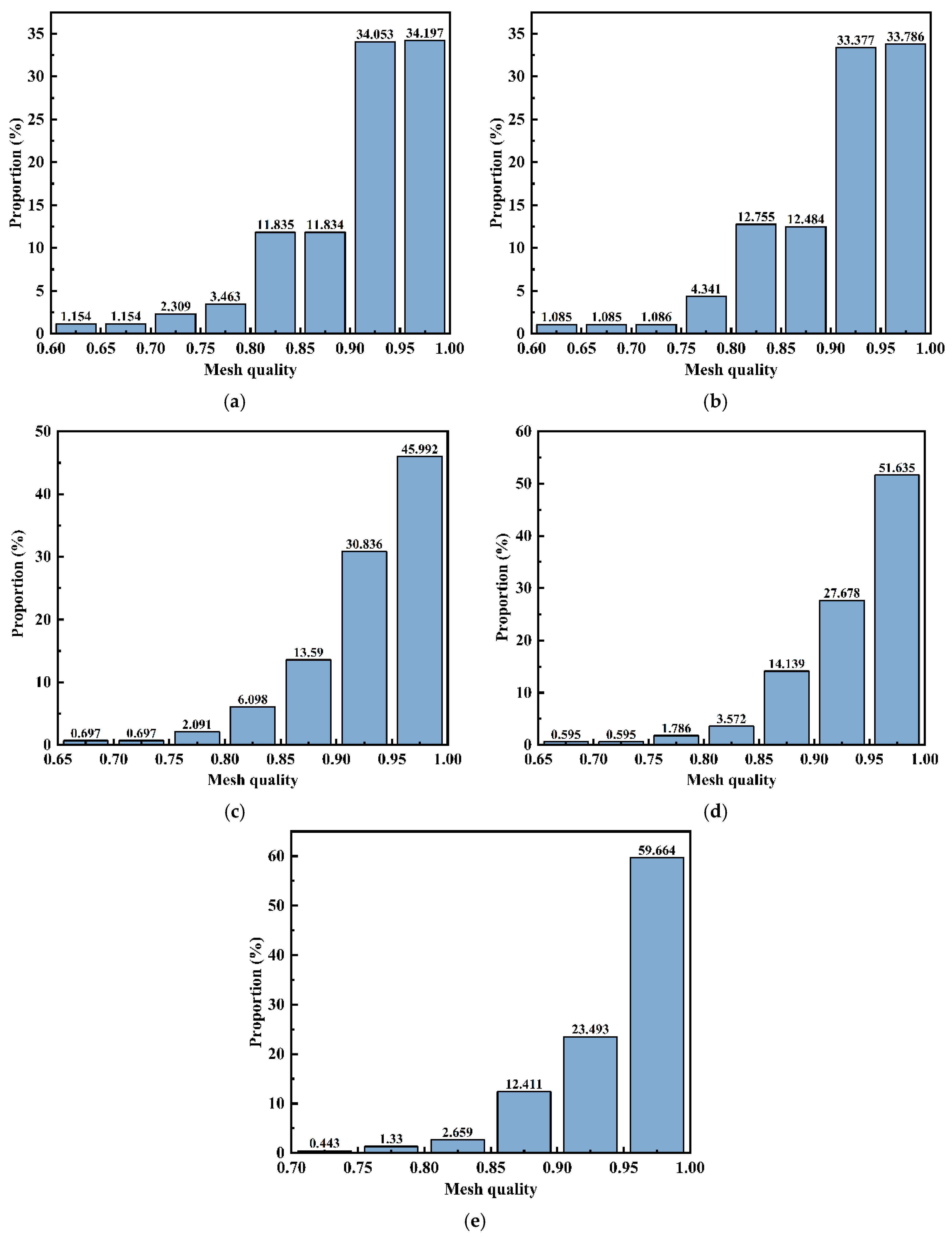
3.2. Grid Independence Validation
3.3. Model Feasibility Validation
4. Results and Discussion
4.1. Flow Field Distribution
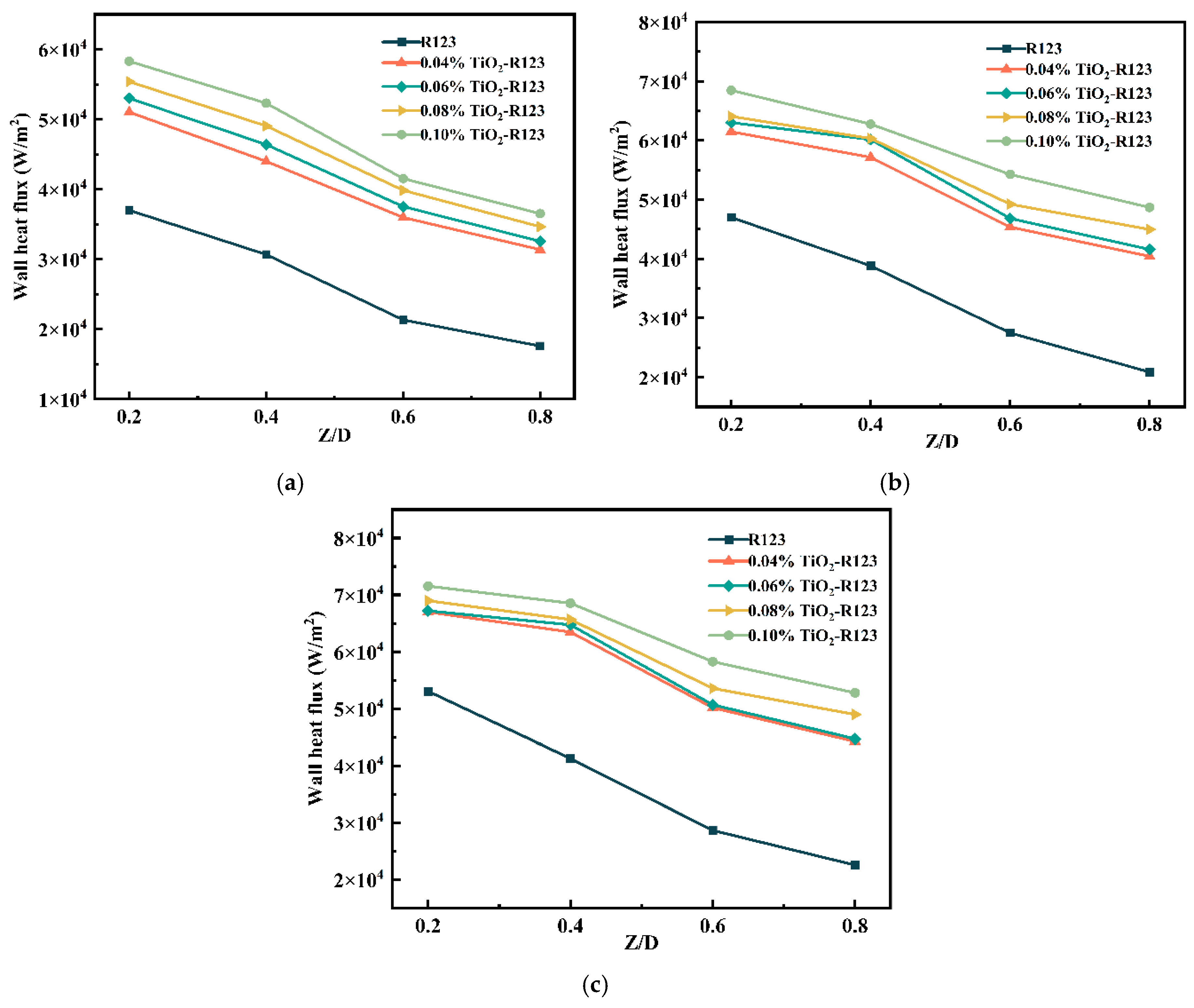
4.2. Flow Boiling Heat Transfer Analysis
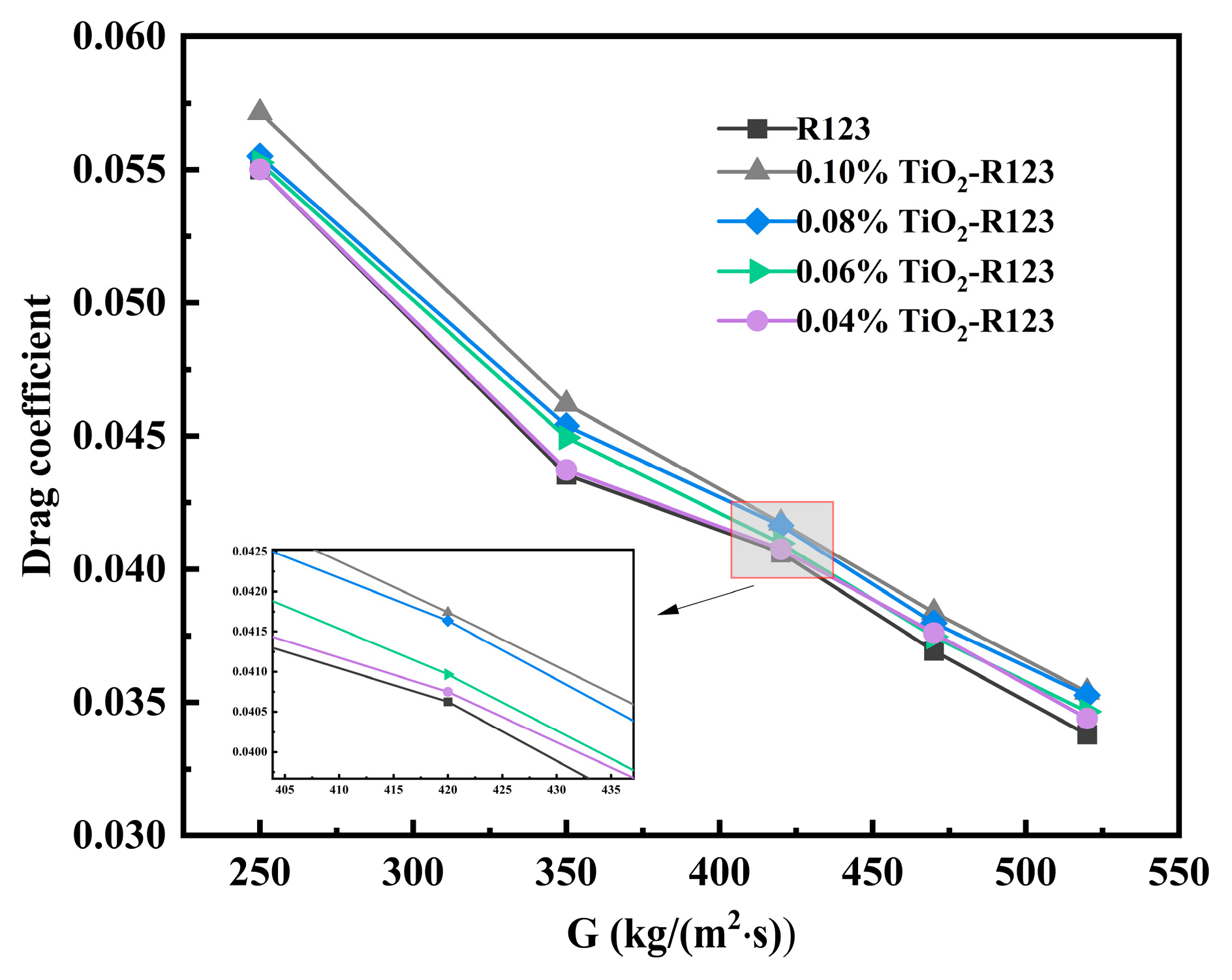
4.3. Flow Resistance Under Different Mass Fluxes
5. Conclusions
- Among the four working fluids (R123, 0.04 wt% TiO2/R123, 0.06 wt% TiO2/R123, and 0.1 wt% TiO2/R123), the temperature field distribution of 0.1 wt% TiO2/R123 exhibits the most pronounced variation, particularly near the pipe wall, where the maximum increase reaches 4.57%. Meanwhile, this fluid experiences the highest level of disturbance, significantly enhancing the heat transfer process.
- At a fixed mass flux and dryness fraction, increasing the nanoparticle mass concentration enhances the heat transfer coefficient of the working fluid. When the mass flux is G = 250 kg/(m2·s), the boiling heat transfer coefficient for 0.1 wt% TiO2/R123 varies from 1430.11 to 2647.25 W/(m2·K), which represents a 23.2% increase compared to R123. When the nanoparticle mass concentration and dryness fraction are held constant, increasing the mass flow rate enhances the heat transfer coefficient. However, as the dryness fraction approaches around 0.7, this growth trend diminishes and may, in some cases, reverse into a decline.
- As the nanoparticle mass concentration increases, both the pressure drop and flow resistance coefficient of the nano-organic working fluid rise. For pure R123, the flow resistance coefficient ranges from 0.0337 to 0.055, whereas for 0.1 wt% TiO2/R123, it ranges from 0.0353 to 0.0571. Notably, when the nanoparticle mass concentration is 0.04%, the flow resistance coefficient of the nano-organic working fluid is nearly identical to that of pure R123.
Limitation and Future Work
Author Contributions
Funding
Data Availability Statement
Conflicts of Interest
Nomenclature
| Cp | specific heat capacity (J/(kg·K)) |
| D | diameter (m) |
| E | internal energy (J/kg) |
| f | flow resistance coefficient |
| F | external force (N) |
| g | gravitational acceleration (m/s2) |
| G | turbulent kinetic energy |
| hx | convective heat transfer coefficient (W/(m2·K)) |
| k | thermal conductivity (W/(m·K)); turbulent kinetic energy |
| L | length (m) |
| m | mass transfer rate from liquid to gas phase (kg/(m2·s)) |
| Nu | Nusselt number |
| q | heat flux (W/m2) |
| Re | Reynolds number |
| p | pressure (Pa) |
| Sh | Heat source (kg/(m3·s)) |
| kB | Boltzmann constant |
| x | Dryness fraction |
| Sk, Sε | custom source terms |
| t | time (s) |
| T | temperature (K) |
| v | average velocity (m/s) |
| Greek symbols | |
| α | volume fraction |
| β | parameter related to volume fraction |
| γ | relaxation time, parameter related to temperature and volume fraction |
| δ | turbulent Prandtl number |
| η | turbulent Prandtl number |
| λ | mean free path |
| κ | interfacial curvature |
| μ | dynamic viscosity |
| ε | dissipation rate |
| ρ | density |
| σ | surface tension coefficient (N/m) |
| ε | dissipation rate |
| τ | relaxation time (s) |
| ω | Mass fraction of nanoparticles |
| Φ | potential function |
| φ | volume fraction of nanoparticles |
| Subscripts | |
| avg | average |
| bf | Base fluid |
| exp | experiment |
| f | fluid |
| g | gas |
| in | inlet |
| l | liquid |
| np | nanoparticle |
| nf | nanofluid |
| out | outlet |
| s | solid |
| sat | saturation |
| simu | simulation |
| t | total |
| v | vapor |
| w | wall |
| Acronyms | |
| CFD | Computational Fluid Dynamics |
| CSF | Continuum Surface Force |
| LS | Level Set |
| MD | Molecular Dynamics |
| ORC | Organic Rankine Cycle |
| RSM | Reynolds Stress Model |
| SIMPLE | Semi-Implicit Method for Pressure-Linked Equations |
| VOF | Volume of Fluid |
References
- Fawaz, A.; Hua, Y.; Le Corre, S.; Fan, Y.; Luo, L. Topology optimization of heat exchangers: A review. Energy 2022, 252, 124053. [Google Scholar] [CrossRef]
- Zhang, J.; Zhu, X.; Mondejar, M.E.; Haglind, F. A review of heat transfer enhancement techniques in plate heat exchangers. Renew. Sustain. Energy Rev. 2019, 101, 305–328. [Google Scholar] [CrossRef]
- Alam, T.; Kim, M.H. A comprehensive review on single phase heat transfer enhancement techniques in heat exchanger applications. Renew. Sustain. Energy Rev. 2018, 81, 813–839. [Google Scholar] [CrossRef]
- Sun, Z.; Yao, Q.; Jin, H.; Xu, Y.; Hang, W.; Chen, H.; Li, K.; Shi, L.; Gu, J.; Zhang, Q.; et al. A novel in-situ sensor calibration method for building thermal systems based on virtual samples and autoencoder. Energy 2024, 297, 131314. [Google Scholar] [CrossRef]
- Sun, Z.; Yao, Q.; Shi, L.; Jin, H.; Xu, Y.; Yang, P.; Xiao, H.; Chen, D.; Zhao, P.; Shen, X. Virtual sample diffusion generation method guided by large language model-generated knowledge for enhancing information completeness and zero-shot fault diagnosis in building thermal systems. J. Zhejiang Univ. Sci. A 2025, 26, 895–916. [Google Scholar] [CrossRef]
- Sidik, N.A.C.; Adamu, I.M.; Jamil, M.M.; Kefayati, G.H.; Mamat, R.; Najafi, G. Recent progress on hybrid nanofluids in heat transfer applications: A comprehensive review. Int. Commun. Heat Mass Transf. 2016, 78, 68–79. [Google Scholar] [CrossRef]
- Sidik, N.A.C.; Jamil, M.M.; Japar, W.M.A.A.; Adamu, I.M. A review on preparation methods, stability and applications of hybrid nanofluids. Renew. Sustain. Energy Rev. 2017, 80, 1112–1122. [Google Scholar] [CrossRef]
- Mahian, O.; Bellos, E.; Markides, C.N.; Taylor, R.A.; Alagumalai, A.; Yang, L.; Qin, C.; Lee, B.J.; Ahmadi, G.; Safaei, M.R.; et al. Recent advances in using nanofluids in renewable energy systems and the environmental implications of their uptake. Nano Energy 2021, 86, 106069. [Google Scholar] [CrossRef]
- Li, J.; Zhang, X.; Xu, B.; Yuan, M. Nanofluid research and applications: A review. Int. Commun. Heat Mass Transf. 2021, 127, 105543. [Google Scholar] [CrossRef]
- Cui, W.; Bai, M.; Lv, J.; Zhang, L.; Li, G.; Xu, M. On the flow characteristics of nanofluids by experimental approach and molecular dynamics simulation. Exp. Therm. Fluid Sci. 2012, 39, 148–157. [Google Scholar] [CrossRef]
- Wang, Y.; Peng, Y.; Tao, Y.; Shi, L.; Liu, Q.; Ma, Y.; Tu, J.; Liu, X. Evaluation methods of thermo-hydraulic performance in nanofluids: A comprehensive review. Appl. Therm. Eng. 2023, 240, 121989. [Google Scholar] [CrossRef]
- Chandrasekar, M.; Suresh, S.; Senthilkumar, T. Mechanisms proposed through experimental investigations on thermophysical properties and forced convective heat transfer characteristics of various nanofluids—A review. Renew. Sustain. Energy Rev. 2012, 16, 3917–3938. [Google Scholar]
- Abbasi, S.; Zebarjad, S.M.; Baghban, S.H.N.; Youssefi, A. Statistical analysis of thermal conductivity of nanofluid containing decorated multi-walled carbon nanotubes with TiO2 nanoparticles. Bull. Mater. Sci. 2014, 37, 1439–1445. [Google Scholar] [CrossRef]
- Dombek, G.; Nadolny, Z.; Przybylek, P. The study of thermal properties of mineral oil and synthetic ester modified by nanoparticles TiO2 and C60. In Proceedings of the 2014 ICHVE International Conference on High Voltage Engineering and Application, Poznan, Poland, 8–11 September 2014; pp. 1–4. [Google Scholar]
- Xie, H.Q.; Chen, L.F. Mechanism of enhanced convective heat transfer coefficient of nanofluids. Acta Phys. Sin. 2009, 58, 2513–2517. [Google Scholar] [CrossRef]
- Gan, Y.Y.; Ong, H.C.; Ling, T.C.; Zulkifli, N.W.M.; Wang, C.T.; Yang, Y.-C. Thermal conductivity optimization and entropy generation analysis of titanium dioxide nanofluid in evacuated tube solar collector. Appl. Therm. Eng. 2018, 145, 155–164. [Google Scholar] [CrossRef]
- Wei, M.S.; Shi, L.; Ma, C.C.; Noman, D.S. Simulations of waste heat recovery system using R123 and R245fa for heavy-duty diesel Engines. Adv. Mater. Res. 2013, 805, 1827–1835. [Google Scholar] [CrossRef]
- Sezer, N.; Atieh, M.A.; Koç, M. A comprehensive review on synthesis, stability, thermophysical properties, and characterization of nanofluids. Powder Technol. 2019, 344, 404–431. [Google Scholar] [CrossRef]
- Duangthongsuk, W.; Wongwises, S. Comparison of the effects of measured and computed thermophysical properties of nanofluids on heat transfer performance. Exp. Therm. Fluid Sci. 2010, 34, 616–624. [Google Scholar] [CrossRef]
- Qin, J.; Tao, Y.; Liu, Q.; Li, Z.; Zhu, Z.; He, N. Experimental and Theoretical Studies of Different Parameters on the Thermal Conductivity of Nanofluids. Micromachines 2023, 14, 964. [Google Scholar] [CrossRef]
- Cieśliński, J.T.; Lubocki, D.; Smolen, S. Impact of temperature and nanoparticle concentration on turbulent forced convective heat transfer of nanofluids. Energies 2022, 15, 7742. [Google Scholar] [CrossRef]
- Batmunkh, M.; Tanshen, M.R.; Nine, M.J.; Myekhlai, M.; Choi, H.; Chung, H.; Jeong, H. Thermal conductivity of TiO2 nanoparticles based aqueous nanofluids with an addition of a modified silver particle. Ind. Eng. Chem. Res. 2014, 53, 8445–8451. [Google Scholar] [CrossRef]
- Zhu, H.; Zhang, C.; Liu, S.; Tang, Y.; Yin, Y. Effects of nanoparticle clustering and alignment on thermal conductivities of Fe3O4 aqueous nanofluids. Appl. Phys. Lett. 2006, 89, 023122. [Google Scholar] [CrossRef]
- Li, Y.J.; Liu, C.J.; Guo, Z.Q.; Lv, Q.J.; Xie, F. Investigation on Thermal Conductivity of Low Concentration AlN/EG Nanofluids. Key Eng. Mater. 2013, 546, 112–116. [Google Scholar] [CrossRef]
- Ambreen, T.; Kim, M.H. Heat transfer and pressure drop correlations of nanofluids: A state of art review. Renew. Sustain. Energy Rev. 2018, 91, 564–583. [Google Scholar] [CrossRef]
- Sarkar, J.; Ghosh, P.; Adil, A. A review on hybrid nanofluids: Recent research, development and applications. Renew. Sustain. Energy Rev. 2015, 43, 164–177. [Google Scholar] [CrossRef]
- Murshed, S.M.S.; Estellé, P. A state of the art review on viscosity of nanofluids. Renew. Sustain. Energy Rev. 2017, 76, 1134–1152. [Google Scholar] [CrossRef]
- Agromayor, R.; Cabaleiro, D.; Pardinas, A.A.; Vallejo, J.P.; Fernandez-Seara, J.; Lugo, L. Heat transfer performance of functionalized graphene nanoplatelet aqueous nanofluids. Materials 2016, 9, 455. [Google Scholar] [CrossRef]
- Hojjat, M. Nanofluids as coolant in a shell and tube heat exchanger: ANN modeling and multi-objective optimization. Appl. Math. Comput. 2020, 365, 124710. [Google Scholar] [CrossRef]
- Esfe, M.H.; Saedodin, S.; Mahian, O.; Wongwises, S. Thermophysical properties, heat transfer and pressure drop of COOH-functionalized multi walled carbon nanotubes/water nanofluids. Int. Commun. Heat Mass Transf. 2014, 58, 176–183. [Google Scholar]
- Yang, Z.; Liu, S.; Wang, X.; Zhang, X. Combustion inhibition of cup-burner flame with C2HF3Cl2 and its kinetics mechanism investigation. Chem. Phys. Lett. 2023, 813, 140275. [Google Scholar]
- Zhang, X.; Wang, X.; Yuan, P.; Ling, Z.; Bian, X.; Wang, J.; Tian, H.; Shu, G. Experimental study on the comparative performance of R1233zd (E) and R123 for organic rankine cycle for engine waste heat recovery. Int. J. Green Energy 2024, 21, 3305–3312. [Google Scholar] [CrossRef]
- Feng, Y.; Zhang, Q.; Liu, Y.; Liang, H.-J.; Lu, Y.-Y.; He, Z.-X.; Wang, Q. Experimental investigation on stability and evaluation of nanorefrigerant applied on organic Rankine cycle system. Appl. Therm. Eng. 2024, 236, 121683. [Google Scholar] [CrossRef]
- Sundar, L.S.; Ramana, E.V.; Singh, M.K.; Sousa, A.C. Thermal conductivity and viscosity of stabilized ethylene glycol and water mixture Al2O3 nanofluids for heat transfer applications: An experimental study. Int. Commun. Heat Mass Transf. 2014, 56, 86–95. [Google Scholar] [CrossRef]
- Soltani, O.; Akbari, M. Effects of temperature and particles concentration on the dynamic viscosity of MgO-MWCNT/ethylene glycol hybrid nanofluid: Experimental study. Phys. E Low-Dimens. Syst. Nanostruct 2016, 84, 564–570. [Google Scholar] [CrossRef]
- Li, H.; Wang, L.; He, Y.; Hu, Y.; Zhu, J.; Jiang, B. Experimental investigation of thermal conductivity and viscosity of ethylene glycol based ZnO nanofluids. Appl. Therm. Eng. 2015, 88, 363–368. [Google Scholar] [CrossRef]
- Feng, Y.; Shi, R.J.; Liu, Y.Z.; Wang, X.; Wu, X.Z.; Huang, X.L.; He, Z.X.; Hung, T.-C. Flow and heat transfer characteristics of nano-organic working fluid during evaporation for organic Rankine cycle. Appl. Therm. Eng. 2023, 218, 119310. [Google Scholar] [CrossRef]
- Jiang, F.; Zhu, J.; Xin, G. Experimental investigation on Al2O3-R123 nanorefrigerant heat transfer performances in evaporator based on organic Rankine cycle. Int. J. Heat Mass Transf. 2018, 127, 145–153. [Google Scholar] [CrossRef]
- Khan, K.; Su, C.W.; Rehman, A.U.; Ullah, R. Is technological innovation a driver of renewable energy? Technol. Soc. 2022, 70, 102044. [Google Scholar] [CrossRef]
- Wijesooriya, K.; Mohotti, D.; Lee, C.-K.; Mendis, P. A technical review of computational fluid dynamics (CFD) applications on wind design of tall buildings and structures: Past, present and future. J. Build. Eng. 2023, 74, 106828. [Google Scholar] [CrossRef]
- Wang, M.; Wang, Y.; Tian, W.; Qiu, S.; Su, G. Recent progress of CFD applications in PWR thermal hydraulics study and future directions. Ann. Nucl. Energy 2021, 150, 107836. [Google Scholar] [CrossRef]
- Moghadassi, A.; Ghomi, E.; Parvizian, F. A numerical study of water based Al2O3 and Al2O3–Cu hybrid nanofluid effect on forced convective heat transfer. Int. J. Therm. Sci. 2015, 92, 50–57. [Google Scholar] [CrossRef]
- Li, L.; Gu, Z.; Xu, W.; Tan, Y.; Fan, X.; Tan, D. Mixing mass transfer mechanism and dynamic control of gas-liquid-solid multiphase flow based on VOF-DEM coupling. Energy 2023, 272, 127015. [Google Scholar] [CrossRef]
- Rashidi, S.; Akar, S.; Bovand, M.; Ellahi, R. Volume of fluid model to simulate the nanofluid flow and entropy generation in a single slope solar still. Renew. Energy 2018, 115, 400–410. [Google Scholar] [CrossRef]
- Hirt, C.W.; Nichols, B.D. Volume of fluid (VOF) method for the dynamics of free boundaries. J. Comput. Phys. 1981, 39, 201–225. [Google Scholar] [CrossRef]
- Xin, C.; Lu, L.; Liu, X. Numerical analysis on thermal characteristics of transpiration cooling with coolant phase change. J. Therm. Anal. Calorim. 2018, 131, 1747–1755. [Google Scholar] [CrossRef]
- Siavashi, M.; Jamali, M. Heat transfer and entropy generation analysis of turbulent flow of TiO2-water nanofluid inside annuli with different radius ratios using two-phase mixture model. Appl. Therm. Eng. 2016, 100, 1149–1160. [Google Scholar] [CrossRef]
- Abedini, E.; Behzadmehr, A.; Sarvari, S.; Mansouri, S. Numerical investigation of subcooled flow boiling of a nanofluid. Int. J. Therm. Sci. 2013, 64, 232–239. [Google Scholar] [CrossRef]
- Feng, Y.; Zhang, Q.; Song, J.; Liu, Y.; Xu, K.-J.; He, Z.-X.; Markides, C.N. Experimental investigation and development of heat transfer correlation for flow boiling of nanorefrigerants through horizontal tubes. Appl. Therm. Eng. 2025, 268, 125856. [Google Scholar] [CrossRef]














| Parameter | Value |
|---|---|
| Molecular Formula | CF3CHCl2 |
| Molecular Weight (g/mol) | 152.93 |
| Boiling Point (K) | 300.85 |
| Critical Temperature (K) | 456.7 |
| Critical Pressure (MPa) | 3.673 |
| Parameter | Value |
|---|---|
| Molecular Formula | TiO2 |
| Molecular Weight (g/mol) | 79.87 |
| Density (kg/m3) | 4260 |
| Standard Molar Entropy (J·mol−1·K−1) | −944.5 |
| Standard Molar Enthalpy of Fusion (J·mol−1·K−1) | 56.98 |
| Grid Group | Radial Node Distribution | Axial Node Distribution | Total Grid Number | hx,simu | hx,exp | Relative Deviation |
|---|---|---|---|---|---|---|
| 1 | 40 | 1001 | 693,000 | 4183.7 | 4404.76 | −5.02% |
| 2 | 43 | 1001 | 816,000 | 4186 | 4404.76 | −4.97% |
| 3 | 51 | 1001 | 1,148,000 | 4352.5 | 4404.76 | −1.19% |
| 4 | 53 | 1001 | 1,344,000 | 4332.2 | 4404.76 | −1.64% |
| 5 | 60 | 1001 | 1,805,000 | 4323.6 | 4404.76 | −1.84% |
| Turbulence Model | hx,simu | hx,exp | Relative Deviation |
|---|---|---|---|
| Realizable k-ε | 4314.906 | 4404.76 | −2.04% |
| RSM | 4181.087 | 4404.76 | −5.07% |
| SST k-ω | 4138.063 | 4404.76 | −6.05% |
Disclaimer/Publisher’s Note: The statements, opinions and data contained in all publications are solely those of the individual author(s) and contributor(s) and not of MDPI and/or the editor(s). MDPI and/or the editor(s) disclaim responsibility for any injury to people or property resulting from any ideas, methods, instructions or products referred to in the content. |
© 2026 by the authors. Licensee MDPI, Basel, Switzerland. This article is an open access article distributed under the terms and conditions of the Creative Commons Attribution (CC BY) license.
Share and Cite
Tian, S.; Jiang, Y.; Wu, Y.; Liu, Z.; Shang, H.; Wang, X.; Feng, Y. Numerical Investigation of Heat Transfer and Flow Characteristics of Nano-Organic Working Fluid in a Smooth Tube. Energies 2026, 19, 469. https://doi.org/10.3390/en19020469
Tian S, Jiang Y, Wu Y, Liu Z, Shang H, Wang X, Feng Y. Numerical Investigation of Heat Transfer and Flow Characteristics of Nano-Organic Working Fluid in a Smooth Tube. Energies. 2026; 19(2):469. https://doi.org/10.3390/en19020469
Chicago/Turabian StyleTian, Shilong, Yinfang Jiang, Yuzhe Wu, Zhinan Liu, Hongyan Shang, Xingxing Wang, and Yongqiang Feng. 2026. "Numerical Investigation of Heat Transfer and Flow Characteristics of Nano-Organic Working Fluid in a Smooth Tube" Energies 19, no. 2: 469. https://doi.org/10.3390/en19020469
APA StyleTian, S., Jiang, Y., Wu, Y., Liu, Z., Shang, H., Wang, X., & Feng, Y. (2026). Numerical Investigation of Heat Transfer and Flow Characteristics of Nano-Organic Working Fluid in a Smooth Tube. Energies, 19(2), 469. https://doi.org/10.3390/en19020469
