Sign in to use this feature.

Years

Between: -

Subjects

remove_circle_outline
remove_circle_outline
remove_circle_outline
remove_circle_outline
remove_circle_outline
remove_circle_outline
remove_circle_outline
remove_circle_outline
remove_circle_outline

Journals

remove_circle_outline
remove_circle_outline
remove_circle_outline
remove_circle_outline

Article Types

Countries / Regions

remove_circle_outline
remove_circle_outline
remove_circle_outline
remove_circle_outline
remove_circle_outline

Search Results (1,997)

Search Parameters:
Keywords = error compensation system

Order results
Result details
Results per page
Select all
Export citation of selected articles as:
16 pages, 2616 KB  
Article
Long-Range Source Localization in the Deep Sea Using Adaptive FDSL with a Few-Element Array
by Jingwen Yin, Haklim Ko and Hojun Lee
Sensors 2026, 26(5), 1495; https://doi.org/10.3390/s26051495 - 27 Feb 2026
Abstract
Matched Field Processing (MFP) suffers from environmental mismatch in deep-sea long-range source localization. Although Frequency Difference Matched Field Processing (FDMFP) improves mismatch tolerance, it fails due to caustic phase effects. Frequency Difference Source Localization (FDSL) effectively compensates for caustic phase errors by applying [...] Read more.
Matched Field Processing (MFP) suffers from environmental mismatch in deep-sea long-range source localization. Although Frequency Difference Matched Field Processing (FDMFP) improves mismatch tolerance, it fails due to caustic phase effects. Frequency Difference Source Localization (FDSL) effectively compensates for caustic phase errors by applying frequency-difference processing to both the measured field and the replica field. However, conventional FDSL typically relies on large-aperture arrays with numerous elements, resulting in high deployment costs and bulky systems. Furthermore, it exhibits limited resolution and elevated sidelobes. These limitations are exacerbated under reduced element counts and low signal-to-noise ratio (SNR) conditions. To improve performance under low SNR and small-array configurations, this paper proposes the FDSL-MVDR and FDSL-MUSIC methods by deriving adaptive weight vectors based on the frequency-difference covariance structure and redefining the ambiguity surface. Numerical simulations in a deep-sea Munk environment (source range 195 km, depth 1000 m) using a 15-element vertical line array demonstrate that the adaptive FDSL methods outperform conventional FDSL in terms of peak sharpness and sidelobe suppression. FDSL-MUSIC achieves approximately 100% localization success at SNR = −5 dB, a 4 dB improvement over conventional FDSL. Performance analyses under representative environmental mismatches indicate that the adaptive FDSL methods maintain robust localization performance and high-resolution characteristics in complex deep-sea environments. These results validate the feasibility of high-precision deep-sea localization using a few-element array. Full article
Show Figures

Figure 1

23 pages, 3588 KB  
Article
Laser-Tracker-Based Robot Pose Measurement Using PSD Spot Sensing and Multi-Sensor Fusion with Simulation Validation
by Suli Wang, Jing Yang and Xiaodan Sang
Micromachines 2026, 17(3), 290; https://doi.org/10.3390/mi17030290 - 26 Feb 2026
Abstract
Accurate measurement of robotic pose is indispensable for large-scale precision manufacturing and robotic calibration, particularly because traditional robotic kinematic models often fall short owing to environmental disturbances and structural uncertainties. Laser tracker systems offer high-precision, large-volume measurement capabilities and are therefore appealing as [...] Read more.
Accurate measurement of robotic pose is indispensable for large-scale precision manufacturing and robotic calibration, particularly because traditional robotic kinematic models often fall short owing to environmental disturbances and structural uncertainties. Laser tracker systems offer high-precision, large-volume measurement capabilities and are therefore appealing as external references for robot pose estimation; however, their practical efficacy is heavily reliant on optical tracking stability, sensor noise levels, and system robustness. This paper introduces a laser tracker-based framework for measuring robot pose, which integrates PSD-based optical spot sensing, multi-sensor fusion, and simulation-based system analysis. A prototype PSD sensing subsystem has been developed utilizing analog signal conditioning, high-speed A/D sampling, and FPGA-based centroid computation. Bench experiments validate the linearity, geometric sensitivity, and robustness of the PSD sensing chain under controlled spot translations and various ambient illumination conditions. Results demonstrate that the PSD response is nearly linear within a ±0.9 mm spot displacement and that the implementation of an interference optical filter significantly enhances measurement repeatability under background light. At the system level, a comprehensive simulation framework is established wherein PSD measurements are fused with inertial and encoder data via an extended Kalman filter. The simulations explore the effects of process noise tuning, time synchronization, systematic error sources, and control strategies on pose estimation accuracy. Ranging-related effects and error-compensation mechanisms are analyzed within the context of modeling and simulation, providing insights into the interferometric ranging principle underlying the complete laser tracker system. The validation of the prototype alongside simulation results demonstrates that PSD-based optical tracking, combined with multi-sensor fusion and layered error compensation, can effectively improve robustness and positional accuracy. The proposed framework offers valuable guidance for the development and phased validation of laser tracker-oriented robot pose measurement systems in complex industrial environments. Full article
(This article belongs to the Special Issue Micro/Nano Optical Devices and Sensing Technology)
Show Figures

Figure 1

21 pages, 11976 KB  
Article
A Novel Rotating–Throwing Seed-Metering System Enabling Zero-Velocity and Damage-Free High-Speed Seeding
by Baochao Wang, Hanwen Zhang, Chenyuan Lu, Pengyi Wang, Fuan Li, Chuanchao Wang, Alim Pulatov, Shuqi Shang and Dongwei Wang
Agriculture 2026, 16(5), 503; https://doi.org/10.3390/agriculture16050503 - 25 Feb 2026
Abstract
Conventional pneumatic precision planters still face challenges in combining high-speed operation with accurate seed placement and embryo protection under zero-velocity seeding conditions. This study presents a dual-motor rotating–throwing seed-metering device that simultaneously overcomes these challenges. Instead of relying on conventional imprecise airflow to [...] Read more.
Conventional pneumatic precision planters still face challenges in combining high-speed operation with accurate seed placement and embryo protection under zero-velocity seeding conditions. This study presents a dual-motor rotating–throwing seed-metering device that simultaneously overcomes these challenges. Instead of relying on conventional imprecise airflow to generate initial velocity, seeds are accelerated and released by a motor-driven spoon with precisely defined kinematic profiles. By accurately controlling seed-throwing velocity and angle, the system compensates for the forward motion of the machine to achieve zero-velocity seeding and accurate landing point control across the full speed range. The elimination of seed tubes prevents frictional embryo damage, particularly benefiting fragile seeds such as cotton or peanuts. High-speed imaging (1000 fps) verified uniform initial seed ejection conditions, stable trajectories, and landing position errors below 1.5 cm at 7–13 km/h. The proposed electromechanical approach provides accurate metering, zero-velocity seeding, and seed protection under high-speed conditions, overcoming the inherent limitations of airflow-dependent systems and offering a robust alternative for precision agriculture. Compared with conventional pneumatic meters, the proposed system reduced seed landing variation by over 50%, demonstrating superior robustness under 7–13 km/h operation. Full article
(This article belongs to the Section Agricultural Technology)
Show Figures

Figure 1

16 pages, 1504 KB  
Article
Adaptive Trajectory Control of a Hydraulic Excavator Based on RBF Sliding-Mode Control Method
by Linyu Tao, Changchun Hua, Wei Ma, Gang Lu, Zhenhua Wei and Shijia Wei
Appl. Syst. Innov. 2026, 9(3), 48; https://doi.org/10.3390/asi9030048 - 25 Feb 2026
Abstract
In this paper, a nonlinear integral sliding-mode controller (SMC) based on a radial basis function (RBF) neural network is proposed to address the challenges of high nonlinearity, parameter uncertainty, and unmodeled dynamics in the electro-hydraulic servo system of a robotic excavator. The controller [...] Read more.
In this paper, a nonlinear integral sliding-mode controller (SMC) based on a radial basis function (RBF) neural network is proposed to address the challenges of high nonlinearity, parameter uncertainty, and unmodeled dynamics in the electro-hydraulic servo system of a robotic excavator. The controller design incorporates adaptive RBF neural networks to compensate for system perturbations and uncertain nonlinearities, while an integral sliding surface is employed to eliminate steady-state error. This approach not only compensates for uncertainties but also reduces the traditional SMC’s high dependency on precise system parameters. The mathematical model of the bucket electro-hydraulic servo system is established without linear approximation. Based on this model, the sliding-mode controller with RBF neural networks (SMC-RBF) is designed, and its asymptotic stability is proven using the Lyapunov method. Simulation and experimental results are compared with a traditional PID controller to verify the proposed controller’s superiority. The simulations show that the SMC-RBF controller meets the requirements for tracking performance and demonstrates robustness, improving sinusoidal tracking performance by 46% compared to the PID controller. Experimental results further demonstrate that the SMC-RBF controller improves the trajectory accuracy for a two-meter straight line by 52.46% in comparison to the traditional PID controller. Full article
22 pages, 2018 KB  
Article
ADOB: A Field-Friendly Control Framework for Reliable Robotic Systems via Complementary Integration of Robust and Adaptive Control
by Jangyeon Park, Kwanho Yu and Jungsu Choi
Sensors 2026, 26(5), 1443; https://doi.org/10.3390/s26051443 - 25 Feb 2026
Abstract
Practical robotic systems require control methods that remain reliable under limited computational resources, uncertain environments, and frequent changes in operating conditions. Although model-based control forms the foundation of high-performance robotics, real-world deployment is often hindered by model uncertainty, time-varying dynamics, and costly identification. [...] Read more.
Practical robotic systems require control methods that remain reliable under limited computational resources, uncertain environments, and frequent changes in operating conditions. Although model-based control forms the foundation of high-performance robotics, real-world deployment is often hindered by model uncertainty, time-varying dynamics, and costly identification. As a result, low-order and intuitive control schemes remain dominant, yet such approaches often fail to sustain consistent performance under disturbances and parameter variations. Robust and adaptive control provide representative paradigms to address this gap, where a Disturbance Observer (DOB) suppresses uncertainty through disturbance rejection and a Parameter Adaptation Algorithm (PAA) improves model fidelity through online identification. However, direct integration of a DOB and a PAA often introduces functional interference, including mutual masking between disturbance compensation and parameter estimation, which compromises closed-loop stability. This paper proposes an Adaptive Disturbance Observer (ADOB) that integrates a DOB with online parameter adaptation. The ADOB updates the nominal model of the DOB in real time using a Recursive Least Squares (RLS)-based PAA, while a dual-filtering structure separates disturbance rejection and parameter identification. Stability is analyzed using hyperstability theory, where a smoothing mechanism enforces the slowly varying parameter assumption. Experiments on a one-Degree-of-Freedom (DOF) electromagnetic actuator and a three-DOF robotic manipulator demonstrate reductions in model uncertainty and tracking error compared with a conventional DOB. Full article
(This article belongs to the Special Issue Dynamics and Control System Design for Robotics)
21 pages, 2975 KB  
Article
Misalignment-Induced Aberration Compensation for Off-Axis Reflective Telescopes Based on Fusion of Spot Images and Zernike Coefficients
by Wei Tang, Yujia Liu, Weihua Tang, Jie Fu, Siheng Tian and Yongmei Huang
Photonics 2026, 13(2), 212; https://doi.org/10.3390/photonics13020212 - 23 Feb 2026
Viewed by 94
Abstract
Off-axis reflective telescopes are prone to component misalignment due to external environmental factors and mechanical vibrations. This misalignment introduces low-order aberrations, which severely degrade imaging quality. Thus, active misalignment correction is crucial for maintaining the imaging performance of off-axis reflective telescopes. Current computer-aided [...] Read more.
Off-axis reflective telescopes are prone to component misalignment due to external environmental factors and mechanical vibrations. This misalignment introduces low-order aberrations, which severely degrade imaging quality. Thus, active misalignment correction is crucial for maintaining the imaging performance of off-axis reflective telescopes. Current computer-aided alignment technologies for optical systems mostly rely on wavefront sensors to acquire aberrations at multiple fixed fields of view (FOVs) or even the full FOV. This significantly increases system complexity and hinders practical engineering applications. To address this issue, this study first conducts sensitivity analysis of misaligned degrees of freedom (DOFs) using a mode truncation algorithm based on singular value decomposition (SVD). A compensation strategy is proposed to avoid the aberration coupling effect. Furthermore, two novel misalignment aberration compensation methods for off-axis reflective telescopes are presented. These methods require only a single focal spot image and eliminate the need for aberration detection and iterative calculations. One method directly solves component misalignment errors using a convolutional neural network (CNN) based on the system’s point spread function (PSF). To further improve compensation performance, an improved method fusing spot images and Zernike coefficients is proposed. In practical misalignment correction, both methods input a single acquired focal spot image into a well-trained model to obtain the misalignment compensation amount. Simulation experiments demonstrate that the improved method, which uses Zernike polynomial coefficients as an intermediate feature bridge, effectively establishes the mapping relationship between spot images and misalignment amounts. It achieves higher solution accuracy and better aberration compensation effect compared to the direct CNN method. This verifies the necessity of extracting Zernike polynomial coefficient features from spot images. Comparative experiments with the traditional sensitivity matrix method show that the two proposed methods outperform the sensitivity matrix method in aberration compensation accuracy over a large misalignment range. Comprehensive simulation results confirm the feasibility and effectiveness of the proposed methods. They overcome the limitations of existing methods, such as complex structure, high cost, and low efficiency, to a certain extent. Full article
Show Figures

Figure 1

16 pages, 2534 KB  
Article
A Mechanism–Data Hybrid Approach for Predicting Energy Consumption in CNC Machine Tools
by Guangchao Lu, Qin Shui, Guangjun Chen, Yingnan Zhu, Haiqin Cui and Yue Meng
Coatings 2026, 16(2), 265; https://doi.org/10.3390/coatings16020265 - 23 Feb 2026
Viewed by 212
Abstract
Accurate predictions of CNC machine tool energy consumption are crucial for sustainable manufacturing but remain challenging due to complex nonlinear dynamics. This paper proposes a mechanism–data hybrid framework combining physical modeling with an Attention–LSTM network. Unlike existing parallel hybrid models, this approach embeds [...] Read more.
Accurate predictions of CNC machine tool energy consumption are crucial for sustainable manufacturing but remain challenging due to complex nonlinear dynamics. This paper proposes a mechanism–data hybrid framework combining physical modeling with an Attention–LSTM network. Unlike existing parallel hybrid models, this approach embeds the mechanism model’s output as a strong prior into the neural network, explicitly guiding the learning of nonlinear residuals. First, a hierarchical decoupled mechanism model is constructed to establish the physical baseline of energy consumption. Second, an Attention–LSTM network is designed to compensate for dynamic errors caused by tool wear and thermal variations. Finally, experimental validation on a three-axis CNC milling machine demonstrates that the proposed method significantly outperforms meaningful baselines, achieving a Root Mean Square Error (RMSE) of 0.0610 and an R2 of 0.9936. The framework provides a robust, physically interpretable solution for energy monitoring in intelligent manufacturing systems. Full article
(This article belongs to the Section Surface Characterization, Deposition and Modification)
Show Figures

Figure 1

20 pages, 1284 KB  
Article
Practical L1-Based Guidance and Neural Path-Following Control for Underactuated Ships with Backlash Hysteresis
by Chenfeng Huang, Bingyan Zhang, Haitong Xu and Meirong Wei
J. Mar. Sci. Eng. 2026, 14(4), 402; https://doi.org/10.3390/jmse14040402 - 22 Feb 2026
Viewed by 103
Abstract
The study addresses trajectory tracking control for underactuated vessels with uncertain backlash-type hysteresis. First, an improved practical L1-based guidance strategy is developed by embedding the L1 mechanism into the virtual ship framework to eliminate steering overshoot and yaw angle error accumulation, which can [...] Read more.
The study addresses trajectory tracking control for underactuated vessels with uncertain backlash-type hysteresis. First, an improved practical L1-based guidance strategy is developed by embedding the L1 mechanism into the virtual ship framework to eliminate steering overshoot and yaw angle error accumulation, which can facilitate the smooth turning of ships along waypoint-based paths with large curvature. Next, to mitigate control performance degradation induced by backlash-like hysteresis nonlinearity, an improved quadratic function is utilized to boost the closed-loop system’s convergence capability. Moreover, system model uncertainty-induced perturbations are compensated using the resilient neural damping method, which can simplify the structure and reduce the computation burden of the proposed controller. Utilizing Lyapunov-based approaches and the special Young’s inequality, uniformly ultimately bounded stability over a semi-global domain is established. Finally, numerical simulations are executed to validate the efficacy of the developed control architecture. Full article
(This article belongs to the Special Issue New Technologies in Autonomous Ship Navigation)
Show Figures

Figure 1

36 pages, 12005 KB  
Article
State-Extended MPC for Trajectory Tracking and Optimal Obstacle Avoidance in Multi-Point Suspension Systems
by Xiao Zhang, Yonglin Tian, Zainan Jiang, Zhigang Xu, Yinjin Sun and Xinlin Bai
Symmetry 2026, 18(2), 385; https://doi.org/10.3390/sym18020385 - 22 Feb 2026
Viewed by 175
Abstract
Ground-based three-dimensional motion testing of space manipulators typically relies on active suspension-based gravity compensation systems. The design of such systems faces two fundamental challenges: first, how multiple suspension winch units can precisely track the dynamic trajectories of the corresponding suspension interfaces on the [...] Read more.
Ground-based three-dimensional motion testing of space manipulators typically relies on active suspension-based gravity compensation systems. The design of such systems faces two fundamental challenges: first, how multiple suspension winch units can precisely track the dynamic trajectories of the corresponding suspension interfaces on the manipulator; and second, how to achieve optimal collision avoidance among the suspension mechanisms themselves during the tracking process. To address these challenges, this paper presents a multi-point suspension system endowed with kinematic redundancy for the trajectory tracking task, thereby ensuring precise tracking of the manipulator’s complex three-dimensional motions. The key innovation of this work lies in formulating the internal collision avoidance constraints as safety distance functions and integrating them into the system states. These are then combined with the trajectory-tracking states to construct a unified state-extended system model that exhibits typical underactuated characteristics. For this model, and under the concurrent influence of external disturbances from both the manipulator’s motion and the proximity to collision boundaries, a dedicated Model Predictive Controller (MPC) is designed. The results demonstrate that the proposed controller can generate an optimal coordinated collision-avoidance motion plan for the suspension winch units while maintaining precise trajectory tracking, thereby effectively solving the coordinated motion-planning problem for such complex underactuated systems. The proposed MPC achieves maximum tracking errors of 0.64 mm (X) and 0.13 mm (Z)—substantially lower than the 1.3 mm and 1.9 mm results listed in the comparative scheme—while delivering optimal collision avoidance, which is only suboptimally realized in the baseline. Full article
(This article belongs to the Section Engineering and Materials)
Show Figures

Figure 1

21 pages, 3678 KB  
Article
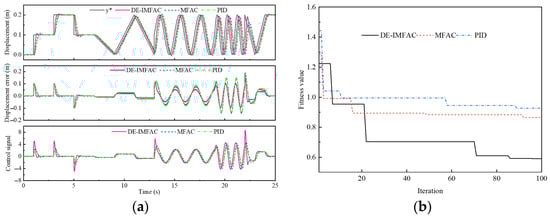
Dynamic Error Improved Model-Free Adaptive Control Method for Electro-Hydraulic Servo Actuators in Active Suspensions with Time Delay and Data Disturbances
by Hao Xiong, Dingxuan Zhao, Haiwu Zheng and Liqiang Zhao
Actuators 2026, 15(2), 130; https://doi.org/10.3390/act15020130 - 21 Feb 2026
Viewed by 124
Abstract
The Electro-Hydraulic Servo Actuator for Active Suspensions (ASEHSA) plays a decisive role in shaping the holistic performance of vehicle suspension systems through its dynamic response speed and control precision. However, achieving high-performance control of ASEHSA still faces challenges. On one hand, existing model-based [...] Read more.
The Electro-Hydraulic Servo Actuator for Active Suspensions (ASEHSA) plays a decisive role in shaping the holistic performance of vehicle suspension systems through its dynamic response speed and control precision. However, achieving high-performance control of ASEHSA still faces challenges. On one hand, existing model-based control methods are highly sensitive to parameter uncertainties and unmodeled nonlinear hydraulic dynamics, which can easily lead to reduced robustness in practical applications. On the other hand, traditional model-free strategies have limited time-delay compensation capabilities and often struggle to balance overshoot and settling time under delayed and disturbed conditions. To resolve this challenge, this study proposes an improved model-free adaptive control method that incorporates the differentiation of the tracking error (DE-IMFAC). Within the framework of traditional model-free adaptive control (MFAC), this approach reconfigures the time-delay term from an explicit form in the control law to implicit management, substantially mitigating the influence of time delays on system control performance. At the same time, by refining the performance criterion function and integrating a tracking error differentiation term together with dynamic weighting factors, the dynamic performance and adjustment flexibility of the controller are significantly enhanced. Additionally, by leveraging the characteristic equation of discrete autonomous systems and compression mapping theory, the BIBO stability of the DE-IMFAC control system and the monotonic convergence of the tracking error are rigorously established through theoretical analysis. Simulation and experimental results demonstrate that, compared with PID and traditional MFAC methods, DE-IMFAC significantly reduces integral absolute error, overshoot, settling time, and maximum position tracking error, while improving disturbance rejection capability. This approach does not depend on an accurate mathematical model of the ASEHSA system and maintains robust dynamic performance under complex operating environments characterized by time delays and data disturbances, providing a practical solution for ASEHSA and related industrial control systems. Full article
Show Figures

Figure 1

12 pages, 1268 KB  
Article
Improved Model Reference Adaptive Disturbance Suppression Control for Marine Canned Magnetic Bearings
by Jiawang Pan, Hao Jiang, Zhenzhong Su, Qi Liu and Yajian Li
Actuators 2026, 15(2), 129; https://doi.org/10.3390/act15020129 - 20 Feb 2026
Viewed by 158
Abstract
To overcome the limitations of conventional control strategies in simultaneously suppressing external sway disturbances and internal parameter variations—induced by strong eddy current effects in marine canned magnetic bearings (MBs)—this paper introduces an improved model reference adaptive control (MRAC) method. First, electromagnetic force and [...] Read more.
To overcome the limitations of conventional control strategies in simultaneously suppressing external sway disturbances and internal parameter variations—induced by strong eddy current effects in marine canned magnetic bearings (MBs)—this paper introduces an improved model reference adaptive control (MRAC) method. First, electromagnetic force and dynamic models of the marine canned MBs are developed, taking into account eddy current effects and oscillatory motion. On this basis, a state observer is designed to estimate the system’s unknown dynamics. A predictive error term is formulated to capture the combined influence of model uncertainties and external disturbances. An adaptive law is then applied to compensate for these unknown dynamics and external disturbances. Moreover, the stability of the marine canned MBs system under the proposed improved MRAC scheme is rigorously analyzed using Lyapunov stability theory. Simulation results confirm the effectiveness of the algorithm, showing that, compared with conventional PID control, the improved MRAC approach reduces rotor vibration by more than 53%, significantly strengthening the disturbance rejection performance of marine canned MBs. Full article
Show Figures

Figure 1

40 pages, 6632 KB  
Article
Visual–Inertial Fusion Framework for Isolating Seated Human-Body Vibration in Dynamic Vehicular Environments
by Nova Eka Budiyanta, Azizur Rahman, Chi-Tsun Cheng, George Wu and Toh Yen Pang
Sensors 2026, 26(4), 1355; https://doi.org/10.3390/s26041355 - 20 Feb 2026
Viewed by 206
Abstract
Understanding how seat-induced whole-body vibration (WBV) is transmitted to and actively compensated by the human body is essential for accurately assessing discomfort, fatigue, and postural control in vehicle occupants. This study proposes a visual–inertial fusion framework utilizing IMU-RGB-D data to isolate seated human [...] Read more.
Understanding how seat-induced whole-body vibration (WBV) is transmitted to and actively compensated by the human body is essential for accurately assessing discomfort, fatigue, and postural control in vehicle occupants. This study proposes a visual–inertial fusion framework utilizing IMU-RGB-D data to isolate seated human body vibration in dynamic vehicular environments. In real-cabin monitoring systems, measured motion is a superposition of platform vibration, passive transmission through the body, active postural compensation, and camera jitter. Existing WBV and driver monitoring studies typically rely on single modality sensing, such as inertial or visual approaches, without decomposing these components or modelling camera vibration. The framework synchronized three IMUs with RGB-D landmarks. Seat, human body, and camera accelerations are separated, and body vibration velocity is derived from body–seat differential acceleration via band-pass filtering and spectral integration. The 3D landmarks enable rotational-translational Postural Compensation Index metrics, axis-wise energy distributions, and anthropometric consistency checks. The study is held in an in-service urban tram case. Torso vibration is dominated by 40% anteroposterior components, while head postural is predominantly > 50% lateral sway. Near static anthropometric evaluation was also studied, resulting in shoulder width errors that remain within ±10–20 mm. The results show that the framework can distinguish passive ride phases from strongly compensated phases, separate camera jitter from true body motion, and reveal anisotropic postural strategies, providing a structured basis for vibration and posture analysis in in-vehicle monitoring. Full article
Show Figures

Figure 1

21 pages, 3934 KB  
Article
Optimization of UWB Base Station Deployment for Formwork Scaffolds in Underground Construction with Sub-Meter Positioning Accuracy by Semi-Controlled Field Experiments
by Gang Yao, Lang Liu, Yang Yang, Xiaodong Cai, Xin Yang, Huiwen Hou, Mingpu Wang and Pengcheng Li
Sensors 2026, 26(4), 1340; https://doi.org/10.3390/s26041340 - 19 Feb 2026
Viewed by 193
Abstract
Fall-from-height fatalities in underground construction are closely associated with formwork scaffold operations, where dense steel members cause severe non-line-of-sight (NLOS) and multipath effects that degrade positioning performance. Although ultra-wideband (UWB) technology offers high theoretical ranging accuracy, its deployment-dependent performance in metal-rich scaffold environments [...] Read more.
Fall-from-height fatalities in underground construction are closely associated with formwork scaffold operations, where dense steel members cause severe non-line-of-sight (NLOS) and multipath effects that degrade positioning performance. Although ultra-wideband (UWB) technology offers high theoretical ranging accuracy, its deployment-dependent performance in metal-rich scaffold environments remains insufficiently quantified. This study focuses on physical deployment optimization rather than algorithmic compensation. A full-scale formwork scaffold was constructed, and a stepwise one-factor controlled experimental design was employed to quantify the effects of anchor height (H) and horizontal spacing (S) on 3D positioning accuracy. The results show that sub-meter accuracy can be achieved through appropriate deployment, with a minimum 3D RMSE of 0.317 m and over 80% of single-axis errors confined within a 0.2 m engineering-valid region. For this specific setup, the optimal S = 1.5 m correlates with the scaffold grid size (approximately 0.8 times the 1.8 m bay width). While we hypothesize this ratio dependency applies to other geometries, this remains a site-specific observation requiring future cross-validation. Further analysis indicates that this deployment balances vertical signal visibility and multipath suppression. In addition, while the Position Dilution of Precision (PDOP) metric reflects geometric sensitivity, it does not linearly correlate with actual positioning errors under coplanar UWB deployments. These findings provide a rigorous static error model, serving as a critical prerequisite for developing robust real-time safety monitoring systems in scaffold-intensive construction environments. Full article
(This article belongs to the Section Navigation and Positioning)
Show Figures

Figure 1

21 pages, 2709 KB  
Article
Adaptive Sliding Mode Control Based on a Peak-Suppression Extended State Observer for Angle Tracking in Steer-by-Wire Systems
by Guoqing Geng, Debang Sun, Jiantao Ma and Haoran Li
Actuators 2026, 15(2), 128; https://doi.org/10.3390/act15020128 - 19 Feb 2026
Viewed by 143
Abstract
To address the degradation of angle tracking performance in steer-by-wire (SBW) systems caused by external disturbances and parameter uncertainties, this paper proposes a composite control strategy integrating adaptive sliding mode control (ASMC) and a peak-suppression extended state observer (PSESO). Firstly, a novel sliding [...] Read more.
To address the degradation of angle tracking performance in steer-by-wire (SBW) systems caused by external disturbances and parameter uncertainties, this paper proposes a composite control strategy integrating adaptive sliding mode control (ASMC) and a peak-suppression extended state observer (PSESO). Firstly, a novel sliding mode reaching law is designed, which incorporates a dynamic adaptive gain function to achieve real-time adjustment of the control gain. This approach accelerates the reaching speed while effectively mitigating chattering. Secondly, to enhance the disturbance rejection capability of the system, a PSESO is developed to estimate the lumped disturbance in the SBW system in real time. By dynamically adjusting the observer bandwidth, the peak phenomenon in state estimation is suppressed, thereby avoiding saturation of the control signal. The disturbance estimate from the PSESO is then fed forward as a compensation term into the adaptive sliding mode (ASM) controller, forming a composite ASMC+PSESO controller that enables active compensation and suppression of disturbances. Finally, the proposed composite control strategy is validated through both simulations and experiments. Experimental results demonstrate that under sinusoidal signal tracking conditions, the proposed method reduces the maximum tracking error, the mean absolute error, and the integral absolute error by 64.4%, 74.2%, and 73.1%, respectively, compared to traditional sliding mode control (TSMC). These results fully underscore its superiority in angle tracking control and disturbance rejection for SBW systems. Full article
Show Figures

Figure 1

27 pages, 4676 KB  
Article
Prediction of the Temperature Rise and Thermal Error of Feed Systems Under Repeatable Operating Conditions Using a Superposition Method
by Jen-Hung Huang, An-Shik Yang, Yih-Chyun Hwang and Wen-Hsin Hsieh
Machines 2026, 14(2), 235; https://doi.org/10.3390/machines14020235 - 18 Feb 2026
Viewed by 160
Abstract
In precision machining, the feed system is a critical subsystem. However, it can generate considerable frictional heat during operation, causing the temperature of the ball screw feed system to rise and resulting in thermal expansion of the ball screw. This thermal expansion reduces [...] Read more.
In precision machining, the feed system is a critical subsystem. However, it can generate considerable frictional heat during operation, causing the temperature of the ball screw feed system to rise and resulting in thermal expansion of the ball screw. This thermal expansion reduces the machining accuracy of the final parts. To detect and compensate for the temperature and thermal error of the ball screw feed system in real time, rapidly assessing its temperature field is essential. Traditional methods such as the finite element method (FEM) provide high computational accuracy and have been extensively studied. However, their long computation process limits their application in real-time thermal error prediction. To address this, a feed drive superposition method (FDSM) is proposed herein to rapidly compute the temperature and thermal error of the ball screw feed system using the superposition principle. The FEM model divides the screw into 108 elements, each 10 mm long. The resulting temperature rise data for each element under each boundary condition are stored to form a screw temperature rise database. In practice, the actual machining conditions determine the boundary condition values. The corresponding temperature rise data are retrieved and superimposed to compute the complete screw temperature rise and thermal error. Crucially, the FDSM reduces the computation time from hours to less than 2 s—achieving an acceleration of over 3600-fold—while maintaining high accuracy. Across all three cases, the RMSE between the FDSM and FEM results is consistently below 1.2 μm, while comparison with experimental data yields an RMSE of 6.0 μm, demonstrating both its reliability and suitability for real-time thermal error compensation in ball screw feed systems. Full article
(This article belongs to the Section Advanced Manufacturing)
Show Figures

Figure 1

Back to TopTop