Sign in to use this feature.

Years

Between: -

Subjects

remove_circle_outline
remove_circle_outline
remove_circle_outline
remove_circle_outline
remove_circle_outline
remove_circle_outline
remove_circle_outline
remove_circle_outline
remove_circle_outline

Journals

remove_circle_outline
remove_circle_outline
remove_circle_outline
remove_circle_outline
remove_circle_outline
remove_circle_outline
remove_circle_outline
remove_circle_outline
remove_circle_outline
remove_circle_outline
remove_circle_outline
remove_circle_outline

Article Types

Countries / Regions

remove_circle_outline
remove_circle_outline
remove_circle_outline
remove_circle_outline

Search Results (1,508)

Search Parameters:
Keywords = enriched oxygen

Order results
Result details
Results per page
Select all
Export citation of selected articles as:
16 pages, 4437 KB  
Article
High-Altitude Extreme Environments Drive Convergent Evolution of Skin Microbiota in Humans and Horses
by Yuwei Zhang, Manyu Zhang, Zhengge Zhao, Yunjuan Peng, Feilong Deng, Hui Jiang, Meimei Zhang, Bo Song, Jae Kyeom Kim, Jeong Hoon Pan, Jianmin Chai and Ying Li
Microorganisms 2026, 14(1), 57; https://doi.org/10.3390/microorganisms14010057 (registering DOI) - 26 Dec 2025
Abstract
Unique skin microbial communities have been shaped by the harsh climatic conditions in high-altitude areas, such as intense ultraviolet radiation and low oxygen concentration. However, it is unknown whether high altitude contributes to shaping common microbiota inhabiting the skin across different mammals. The [...] Read more.
Unique skin microbial communities have been shaped by the harsh climatic conditions in high-altitude areas, such as intense ultraviolet radiation and low oxygen concentration. However, it is unknown whether high altitude contributes to shaping common microbiota inhabiting the skin across different mammals. The skin microbial communities of humans and horses living in high-altitude (Tibetan) and low-altitude areas were analyzed using full-length 16S rRNA sequencing technology. Alpha diversity differed between high- and low-altitude groups (p < 0.01). Skin microbial community composition also differed between high- and low-altitude areas (p < 0.05). Some of the common taxa present in the skin of humans and horses in high-altitude areas were identified as extreme microorganisms capable of adapting to the harsh high-altitude environment. Five bacterial taxa, including the genera Sphingomonas, Brevundimonas, and Kocuria, as well as the species Acinetobacter guillouiae and Arboricoccus pini, were significantly enriched (p < 0.01) on the skin of both humans and horses in high-altitude areas. Meanwhile, some taxa enriched on the skin surface at the same altitude showed preferences for mammalian species. Acinetobacter johnsonii, Anaerococcus nagyae, and Anaerococcus octavius were significantly enriched (p < 0.05) in the skin of humans at both high and low altitudes, whereas Acinetobacter pseudolwoffii and Armatimonas rosea, Archangium gephyra and Acinetobacter lwoffii were significantly enriched (p < 0.05) in the skin of horses at both high and low altitudes. In the network analyses, a positive correlation (p < 0.01) was shown between the skin taxa enriched in high-altitude areas and each other, while a negative correlation (p < 0.01) was found between the skin microorganisms enriched in high-altitude areas and those enriched in low-altitude areas. Overall, our findings indicate that high-altitude extreme environments drive convergent evolution of skin microbiota across mammals, reflecting the joint effects of environmental selection and host-related filtering on community assembly. This cross-species comparison provides a framework for understanding skin microbiome responses to extreme environments in plateau mammals. Full article
(This article belongs to the Section Microbiomes)
Show Figures

Figure 1

16 pages, 4118 KB  
Article
Bacteria-Loaded Biochar for Cadmium Immobilization in Aqueous Solutions: Performance and Mechanisms
by Fanfan Ju, Yuyong Wu, Guilei Han, Dajin Liu, Yang Wang, Shaohua Zhang, Kai Yang, Chao Yang and Xinxin Zhao
Catalysts 2026, 16(1), 19; https://doi.org/10.3390/catal16010019 (registering DOI) - 26 Dec 2025
Abstract
The effective remediation of cadmium (Cd) pollution continues to pose a significant challenge in environmental science. Bacteria-loaded biochar (BLBC), a composite material synthesized by immobilizing functional microorganisms onto biochar, has emerged as a promising adsorbent for Cd due to its ability to simultaneously [...] Read more.
The effective remediation of cadmium (Cd) pollution continues to pose a significant challenge in environmental science. Bacteria-loaded biochar (BLBC), a composite material synthesized by immobilizing functional microorganisms onto biochar, has emerged as a promising adsorbent for Cd due to its ability to simultaneously facilitate adsorption and biodegradation. In this study, a manganese (Mn)-oxidizing bacterium (Priestia sp. Z-MLHA-1), isolated from a high-manganese mining area, was successfully used to prepare BLBC. The Cd(II) immobilization performance and underlying mechanisms were systematically investigated. The results showed that bacterial loading significantly optimized the pore structure of the biochar, increasing its specific surface area by 40% and enriching the diversity of surface functional groups. Adsorption experiments demonstrated a strong affinity of BLBC for Cd(II), with a maximum adsorption capacity of 44.17 mg/g. The adsorption behavior followed the Langmuir isotherm and pseudo-second-order kinetic models, indicating a monolayer process dominated by chemisorption. The primary immobilization mechanisms involved complexation with surface oxygen-containing functional groups (e.g., −COOH, −OH), ion exchange, and a synergistic effect between the biochar and the immobilized microorganisms. This material enables efficient Cd(II) removal under environmentally benign conditions, thereby providing a theoretical foundation and technical support for the development of green and sustainable remediation technologies for heavy metal-contaminated water. Full article
(This article belongs to the Section Environmental Catalysis)
Show Figures

Figure 1

17 pages, 1315 KB  
Article
Evolution of Microplastic Properties and Tetracycline Adsorption During Aging in Laboratory and Natural Environments
by Yunhang Wang, Qihong Miao, Qi An and Hongbo Fu
Atmosphere 2026, 17(1), 32; https://doi.org/10.3390/atmos17010032 (registering DOI) - 26 Dec 2025
Abstract
With the continuous rise in global plastic production and emissions, microplastics (MPs) have become ubiquitous across environmental compartments, including the atmosphere. Aging in natural settings substantially alters MP physicochemical properties and, in turn, their interactions with coexisting contaminants. Here, polyethylene (PE), polyethylene terephthalate [...] Read more.
With the continuous rise in global plastic production and emissions, microplastics (MPs) have become ubiquitous across environmental compartments, including the atmosphere. Aging in natural settings substantially alters MP physicochemical properties and, in turn, their interactions with coexisting contaminants. Here, polyethylene (PE), polyethylene terephthalate (PET), and polystyrene (PS) were subjected to ultraviolet (UV)-accelerated aging and natural exposure in marine intertidal zones, freshwater lakes, and the atmosphere, and changes in their properties and tetracycline (TC) adsorption were systematically compared. Aging intensity followed the order seawater > freshwater > air. Fourier-transform infrared spectroscopy showed the formation and enrichment of oxygen-containing functional groups, and naturally aged samples exhibited stronger oxidation signatures than those aged solely under UV irradiation. Adsorption kinetics indicated higher equilibrium capacities and rate constants for aged MPs; after 324 h of UV exposure in seawater, TC adsorption on PE, PS, and PET increased by 64.6%, 56.6%, and 64.0%, respectively. Mechanistic analysis suggests that surface roughening, oxygenated functional groups, and enhanced negative surface charge collectively promote TC adsorption, dominated by electrostatic interactions and hydrogen bonding. These findings not only elucidate how different aging pathways modulate the interactions between MPs and pollutants but also offer new insights into assessing the carrier potential of microplastics in environments such as the atmosphere and their adsorption of other contaminants. Full article
(This article belongs to the Special Issue Chemical Characterization of Urban Air Pollution)
Show Figures

Graphical abstract

26 pages, 8645 KB  
Article
Surface Chemical and Structural Modifications of Barley Seeds Induced by Low-Temperature Oxygen and Nitrogen Plasma Treatments
by Faramarz S. Gard, Emilia B. Halac, Eleonora F. Espeleta, Paula N. Alderete, Brian E. Robertson, Ailin Glagovsky, Guadalupe Murga, Karina B. Balestrasse and Leandro Prevosto
Seeds 2026, 5(1), 2; https://doi.org/10.3390/seeds5010002 - 25 Dec 2025
Abstract
Low-temperature plasma treatments were applied to barley seeds using a dielectric barrier-stabilized corona discharge operated in ambient air enriched with oxygen or nitrogen to quantify surface chemical modifications and seed wettability. X-ray photoelectron spectroscopy showed that oxygen-enriched plasma produced the strongest oxidation, increasing [...] Read more.
Low-temperature plasma treatments were applied to barley seeds using a dielectric barrier-stabilized corona discharge operated in ambient air enriched with oxygen or nitrogen to quantify surface chemical modifications and seed wettability. X-ray photoelectron spectroscopy showed that oxygen-enriched plasma produced the strongest oxidation, increasing surface oxygen from 9 ± 5 at% (control) to 24 ± 5 at%, while reducing carbon from 88 ± 5 at% to 76 ± 5 at%. Nitrogen-enriched plasma induced more moderate changes (O: 13 ± 5 at%, C: 85 ± 5 at%) but resulted in clear nitrogen incorporation, with an enhanced N 1s amine/amide component at ~400.8 eV. The hydroxyl O 1s contribution increased from 70% (control) to 82% (oxygen) and 90% (nitrogen), indicating substantial surface hydroxylation. SEM-EDX showed only minor micrometer-scale composition changes and no detectable morphological damage. Raman and ATR-FTIR spectra confirmed that polysaccharide, protein, and lipid structures remained intact, with intensity variations reflecting increased hydrophilicity. Water imbibition kinetics fitted with the Peleg model demonstrated faster initial hydration after plasma exposure, with 1/k1 increasing from 20.25 ± 1.90 h−1 (control) to 36.70 ± 6.56 h−1 (oxygen) and 38.87 ± 7.57 h−1 (nitrogen), while 1/k2 remained nearly unchanged. Full article
Show Figures

Figure 1

22 pages, 12677 KB  
Article
Biomass-Haze PM2.5 from Northern Thailand Drives Genotype-Specific Oxidative Stress and Transcriptomic Remodeling in Non-Small-Cell Lung Cancer Cells
by Sakawwarin Prommana, Sitthisak Intarasit, Saruda Thongyim, Nuttipon Yabueng, Somporn Chantara, Pachara Sattayawat, Aussara Panya and Sahutchai Inwongwan
Toxics 2026, 14(1), 21; https://doi.org/10.3390/toxics14010021 - 25 Dec 2025
Viewed by 40
Abstract
Fine particulate matter (PM2.5) is a major air pollutant linked to lung cancer progression. In Southeast Asia, seasonal smoke-haze produces biomass-derived PM2.5, yet its acute effects on genetically diverse lung tumours remain unclear. We investigate how Chiang Mai haze-derived PM2.5 impacts oxidative stress [...] Read more.
Fine particulate matter (PM2.5) is a major air pollutant linked to lung cancer progression. In Southeast Asia, seasonal smoke-haze produces biomass-derived PM2.5, yet its acute effects on genetically diverse lung tumours remain unclear. We investigate how Chiang Mai haze-derived PM2.5 impacts oxidative stress and gene expression in three non-small-cell lung cancer (NSCLC) cell lines: A549 (KRAS-mutant), NCI-H1975 (EGFR-mutant), and NCI-H460 (KRAS/PIK3CA-mutant). Cells were exposed to PM2.5 (0–200 µg/mL) and assessed for viability (MTT), reactive oxygen species (ROS; H2O2, •OH) and malondialdehyde (MDA) levels, mitochondrial-associated fluorescence, and whole-transcriptome responses. Acute exposure caused dose- and time-dependent viability loss, with A549 and NCI-H1975 more sensitive than NCI-H460. ROS profiling normalized to viable cells revealed genotype-specific oxidative patterns: cumulative increases in A549, sharp reversible spikes in NCI-H1975, and modest changes in NCI-H460. MitoTracker intensity trended downward without significance, with subtle fluorescence changes and particulate uptake. RNA-seq identified robust induction of xenobiotic metabolism (CYP1A1, CYP1B1), oxidative/metabolic stress mediators (GDF15, TIPARP), and tumour-associated genes (FOSB, VGF), alongside repression of tumour suppressors (FAT1, LINC00472). Pathway enrichment analyses highlighted oxidative stress, IL-17, NF-κB, and immune checkpoint signaling. Together, biomass haze-derived PM2.5 from Northern Thailand drives genotype-dependent oxidative stress and transcriptional remodeling in NSCLC cells. Full article
Show Figures

Figure 1

19 pages, 19526 KB  
Article
Coordinated Transcriptional and Metabolic Reprogramming Confers Heat Tolerance in Cucumber
by Hui Zhang, Yonggui Liang, Bihao Cao and Shuangshuang Yan
Agronomy 2026, 16(1), 52; https://doi.org/10.3390/agronomy16010052 - 24 Dec 2025
Viewed by 75
Abstract
Global warming has intensified frequency and severity of extreme heat events, critically threatening cucumber (Cucumis sativus L.) production worldwide. To elucidate the mechanisms underlying heat tolerance, a comparative study was conducted between a heat-tolerant cultivar (N24) and a heat-sensitive cultivar (G30) under [...] Read more.
Global warming has intensified frequency and severity of extreme heat events, critically threatening cucumber (Cucumis sativus L.) production worldwide. To elucidate the mechanisms underlying heat tolerance, a comparative study was conducted between a heat-tolerant cultivar (N24) and a heat-sensitive cultivar (G30) under 43 °C stress. Using a combination of RNA sequencing and widely targeted metabolomics, we found that genotype N24 exhibited superior phenotypic at ability, characterized by reduced leaf wilting, lower membrane lipid peroxidation, and more stable reactive oxygen species (ROS) homeostasis. Genotype N24 exhibited superior phenotypic stability, characterized by reduced leaf wilting, lower membrane lipid peroxidation, and more stable reactive oxygen species (ROS) homeostasis. Transcriptomic profiling showed genes associated with photosynthesis and thylakoid membrane function were upregulated in N24, while hormone signaling pathways was enriched in G30. 93 N24-specific and 83 G30-specific differentially expressed genes were identified, including transcription factors such as HSF, bHLH, and bZIP. Widely targeted metabolomics further demonstrated that specific protective metabolite, such as 3-methyluric acid was accumulated and showed the ABC transporter pathway was also significant enriched in N24 plants. Integrated transcriptomic and metabolomic analysis suggested that ABC transporters may enhanced thermotolerance by facilitating the transport and subcellular compartmentalization of antioxidant metabolites. Collectively, these findings indicated heat tolerance in cucumber involved a synergistic regulatory network encompassing photosynthesis maintenance, transcription factor activation, and ABC transporter-mediated metabolic reprogramming. This study provides novel insights and valuable genetic resources for breeding heat-resilient cucumber varieties in a warming climate. Full article
(This article belongs to the Section Horticultural and Floricultural Crops)
Show Figures

Figure 1

29 pages, 3252 KB  
Article
Metagenomic and Proxy Monitoring of Surfactant Degradation by Microbial Consortia from Oil-Contaminated Soil
by Morena India Mokoena, Rosina Nkuna and Tonderayi Sylvester Matambo
Appl. Microbiol. 2026, 6(1), 3; https://doi.org/10.3390/applmicrobiol6010003 - 24 Dec 2025
Viewed by 73
Abstract
Surfactants are harmful, persistent pollutants that are often found in contaminated soils, wastewater, and industrial effluents in complex mixes. Due to their chemical diversity and persistence, they present a bioremediation challenge. Using long-read shotgun metagenomics, 16S rRNA amplicon sequencing, PICRUSt2 functional prediction, and [...] Read more.
Surfactants are harmful, persistent pollutants that are often found in contaminated soils, wastewater, and industrial effluents in complex mixes. Due to their chemical diversity and persistence, they present a bioremediation challenge. Using long-read shotgun metagenomics, 16S rRNA amplicon sequencing, PICRUSt2 functional prediction, and physicochemical proxies (total organic carbon, dissolved oxygen, chemical oxygen demand, foaming activity, etc.), this study investigated the aerobic biodegradation of SDS, SLS, rhamnolipids, Triton X-100, and CTAB (individually/mixed, 4% w/v) by microbial consortia enriched from oil-contaminated soil for 14 days. Pseudomonadota was dominant (85–90%), with Pseudomonas (60%) driving SLS and SDS degradation, while Paraburkholderia and Bordetella were dominant in recalcitrant surfactant degradation. Among the surfactants, SLS, rhamnolipids, and the combination of all surfactants demonstrated higher degradation by virtue of total organic carbon reductions of 50%, 56%, and 50%, respectively, and a foaming activity decline of 45–64%. The combination of surfactants with CTAB showed a 21% reduction in TOC, most likely due to CTAB’s known bactericidal effects. PICRUSt2 showed differential enrichment in alkyl oxidation, sulfate ester hydrolysis, aromatic ring cleavage, and fatty acid/sulfur genes and pathways. This study establishes inexpensive, scalable proxy indicators for monitoring surfactant bioremediation when direct metabolite analysis is impractical. Full article
Show Figures

Figure 1

18 pages, 4699 KB  
Article
The Superoxide dismutase (SOD) Gene Family in Litchi (Litchi chinensis Sonn.): Identification, Classification, and Expression Responses in Leaves Under Abiotic Stresses
by Chao Fan, Jie Yang, Rong Chen and Wei Liu
Antioxidants 2026, 15(1), 14; https://doi.org/10.3390/antiox15010014 - 22 Dec 2025
Viewed by 209
Abstract
Superoxide dismutase (SOD) serves as a critical enzyme that is involved in plant development and abiotic stresses by effectively detoxifying reactive oxygen species (ROS). Though the SOD gene family has been reported across various plant species, its specific members and functional roles in [...] Read more.
Superoxide dismutase (SOD) serves as a critical enzyme that is involved in plant development and abiotic stresses by effectively detoxifying reactive oxygen species (ROS). Though the SOD gene family has been reported across various plant species, its specific members and functional roles in litchi (Litchi chinensis Sonn.) remain poorly understood. In this study, a total of seven SOD (christened LcSOD) genes were identified from the litchi genome and classified into three groups across six chromosomes. Notably, genes from the same evolutionary branch had more similar structures and motif distributions. The LcSOD genes were confirmed to have a stronger collinearity with dicotyledons than with monocotyledons. Cis-acting elements analysis indicated that the LcSOD gene family was deeply involved in orchestrating growth, development, and responses to multiple phytohormones and diverse stresses. Expression patterns of the LcSOD genes across different tissues revealed universal and specific expressions. In leaves, expression levels of the LcSOD genes were induced by cold, heat, drought, and salt stresses, and transcript levels correlated positively with concomitant changes in key physiological parameters under the same conditions. In addition, the LcSOD genes were characterized for their physicochemical properties, subcellular localizations, secondary and tertiary structures, gene ontology (GO) annotations, and protein-protein interactions. Our findings offer comprehensive insights into the LcSOD gene family, enriching genetic resources. They provide a framework for functional characterization and the development of stress-resistant cultivars, driving both basic research and applied breeding programs in litchi. Full article
Show Figures

Figure 1

18 pages, 8206 KB  
Article
Structural–Material Coupling Enabling Broadband Absorption for a Graphene Aerogel All-Medium Metamaterial Absorber
by Kemeng Yan, Yuhui Ren, Jiaxuan Zhang, Man Song, Xuhui Du, Meijiao Lu, Dingfan Wu, Yiqing Li and Jiangni Yun
Nanomaterials 2026, 16(1), 18; https://doi.org/10.3390/nano16010018 - 22 Dec 2025
Viewed by 227
Abstract
All-medium metamaterial absorbers (MMAs) have attracted considerable attention for ultra-broadband electromagnetic wave (EMW) absorption. Herein, a lightweight graphene aerogel (GA) was synthesized through a low-temperature, atmospheric-pressure reduction route. Benefiting from its 3D porous network, enriched oxygen-containing functional groups, and improved graphitization, the GA [...] Read more.
All-medium metamaterial absorbers (MMAs) have attracted considerable attention for ultra-broadband electromagnetic wave (EMW) absorption. Herein, a lightweight graphene aerogel (GA) was synthesized through a low-temperature, atmospheric-pressure reduction route. Benefiting from its 3D porous network, enriched oxygen-containing functional groups, and improved graphitization, the GA offers diverse intrinsic attenuation pathways and a limited effective absorption bandwidth (EAB) of only 6.46 GHz (11.54–18.00 GHz at 1.95 mm). To clarify its attenuation mechanism, nonlinear least-squares fitting was used to quantitatively separate electrical loss contributions. Compared with graphene, the GA shows markedly superior attenuation capability, making it a more suitable medium for MMA design. Guided by equivalent circuit modeling, a stacked frustum-configured GA-based MMA (GA-MMA) was developed, where structure-induced resonances compensate for the intrinsic absence of magnetic components in the GA, thereby substantially broadening its absorption range. The GA-MMA achieves an EAB of 40.7 GHz (9.1–49.8 GHz, reflection loss < −10 dB) and maintains stable absorption under incident angles up to ± 70°. Radar cross-section simulations further indicate its potential in electromagnetic interference mitigation, human health protection, and defense information security. This work provides a feasible route for constructing ultralight and broadband MMAs by coupling electrical loss with structural effects. Full article
(This article belongs to the Special Issue Harvesting Electromagnetic Fields with Nanomaterials)
Show Figures

Graphical abstract

13 pages, 1166 KB  
Communication
Potential Occurrence of Accessory Minerals in the Lower Mantle
by Oliver Tschauner
Minerals 2026, 16(1), 9; https://doi.org/10.3390/min16010009 - 22 Dec 2025
Viewed by 96
Abstract
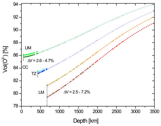
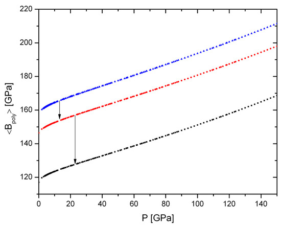
In a seminal paper V.M. Goldschmidt pointed out that, in terms of volume of the constituent ions, Earth’s crust and mantle are basically a packing of negatively charged oxygen ions bound together by the volumetrically barely significant cations. Here, this statement is revisited [...] Read more.
In a seminal paper V.M. Goldschmidt pointed out that, in terms of volume of the constituent ions, Earth’s crust and mantle are basically a packing of negatively charged oxygen ions bound together by the volumetrically barely significant cations. Here, this statement is revisited using modern assessments of mantle composition and pressure-dependent ionic radii. It is found that the transition to the lower mantle marks a reduction in the O2− crystal ionic volume percentage from 86 to less than 80%, significant enough to suggest an overall reduced compatibility of less abundant elements within the first few hundred km of depth below that transition from lower-mantle to upper-mantle rock. An equivalent drop across both, the 410- and 670 km mantle discontinuities occurs for large polyhedral sites, which are the potential hosts for incompatible elements. Accordingly, most large ionic lithophiles and rare earth elements in the lower mantle are highly enriched in one minor phase, davemaoite. It is proposed that those minor and trace elements that are less compatible with this mineral, such as some of the high-field strength elements, are concentrated in yet unknown accessory minerals that potentially affect geochemical signatures of deep mantle-derived igneous rocks. Full article
Show Figures

Figure 1

20 pages, 2342 KB  
Article
Reactivation and Nitrogen Removal Performance of Idle Anammox Sludge Enhanced by Rape Straw Biochar
by Qiang Chen, Yi Ding, Zhicheng Xu, Haibin Zhou, Ruoyu Zhang, Jiao Chen, Yixin Lu and Wenlai Xu
Water 2026, 18(1), 18; https://doi.org/10.3390/w18010018 - 20 Dec 2025
Viewed by 245
Abstract
Low reactivation efficiency of idle anaerobic ammonia oxidation (anammox) sludge hinders its reapplication. To address this issue, rape straw biochar (RSB) was added in the reactivation process of idle anammox sludge, and its effects on the nitrogen transformation and sludge characteristics were investigated, [...] Read more.
Low reactivation efficiency of idle anaerobic ammonia oxidation (anammox) sludge hinders its reapplication. To address this issue, rape straw biochar (RSB) was added in the reactivation process of idle anammox sludge, and its effects on the nitrogen transformation and sludge characteristics were investigated, and the mechanism of RSB to enhance the reactivation performance was explored. Results indicated that adding 5 g/L RSB for 35 days successfully reactivated anammox sludge that had been idle for 270 days. The reactivation time was reduced by 34% compared to the control without RSB. During the stable operation period, the average TN removal efficiency reached 90.6%, and the sludge exhibited higher activity. After completion of reactivation, the specific surface area, total pore volume, and average pore diameter of RSB decreased by 59.4%, 66.9%, and 55.2%, respectively, compared with that before reactivation, and the carbon–oxygen functional groups also changed. RSB not only provided a habitat for the enriched growth of nitrogen transforming functional flora but also possessed the potential to supply sufficient electron donors and acceptors for the nitrogen transforming process, which promoted the synergistic removal of nitrate by denitrification, resulting in an effective enhancement of reactivation efficiency and nitrogen removal performance. The addition of RSB provides a novel strategy to enhance the reactivation efficiency of idle anammox sludge, which is of positive significance in promoting its efficient reuse and stable operation. Full article
Show Figures

Figure 1

28 pages, 15672 KB  
Article
Lithium Enrichment Mechanisms in Geothermal Waters of Xiamen, Southeastern China, Revealed by SOM Classification and Hydrogeochemical Analysis
by Shuaichao Wei, Xiaoxue Yan, Ruoxi Yuan, Feng Liu, Guiling Wang, Long Li, Yong Fu and Wei Zhang
Sustainability 2025, 17(24), 11352; https://doi.org/10.3390/su172411352 - 18 Dec 2025
Viewed by 132
Abstract
Lithium (Li) is a critical metal element in geothermal systems, yet its enrichment mechanism in coastal geothermal waters remains poorly understood. This study focuses on the Xiamen coastal geothermal system, located in the South China granitic reservoir at the front of the Pacific [...] Read more.
Lithium (Li) is a critical metal element in geothermal systems, yet its enrichment mechanism in coastal geothermal waters remains poorly understood. This study focuses on the Xiamen coastal geothermal system, located in the South China granitic reservoir at the front of the Pacific subduction zone. Self-organizing map (SOM) classification, hydrogeochemical analysis, hydrogen–oxygen isotopic constraints, and a three end-member mass balance model were applied to identify the sources and enrichment mechanisms of Li. The geothermal waters are classified into two types: inland low-TDS (Cluster-1) and coastal high-TDS (Cluster-2). Isotopic data indicate a mixture of meteoric water and seawater as the recharge source. The model shows that seawater and groundwater mixing accounts for 2–45% of Li concentration, with over 55% derived from the rock end-member. The leaching of 0.002–0.187 kg of granite per liter of geothermal water explains the observed Li levels. Elevated temperature and low pH enhance Li+ release from silicate minerals, and reverse cation exchange further amplifies this process. A strong positive correlation between the CAI-II index and Li+ concentration reveals a synergistic effect of ion exchange in high-salinity environments. Overall, the results provide a quantitative framework for understanding Li enrichment and evaluating resource potential in coastal geothermal systems. Full article
(This article belongs to the Section Resources and Sustainable Utilization)
Show Figures

Figure 1

23 pages, 8038 KB  
Article
Transcriptomic Profiling of mRNA and lncRNA During the Developmental Transition from Spores to Mycelia in Penicillium digitatum
by Ting Zhou, Yajie Yang, Fei Wang, Linqian Liang, Ziqi Zhang, Heru Dong, Zhaocheng Jiang, Pengcheng Zhang and Tongfei Lai
Microorganisms 2025, 13(12), 2879; https://doi.org/10.3390/microorganisms13122879 - 18 Dec 2025
Viewed by 279
Abstract
The fungus Penicillium digitatum causes citrus green mold, a major postharvest disease. Understanding the molecular mechanisms underlying its development is crucial for devising effective control strategies. In this study, we performed a comprehensive transcriptomic analysis of P. digitatum across three key developmental stages: [...] Read more.
The fungus Penicillium digitatum causes citrus green mold, a major postharvest disease. Understanding the molecular mechanisms underlying its development is crucial for devising effective control strategies. In this study, we performed a comprehensive transcriptomic analysis of P. digitatum across three key developmental stages: spores, germinated spores, and mycelia. A total of 2175 novel mRNAs, 3957 novel long non-coding RNAs (lncRNAs), and 144 circular RNAs (circRNAs) were identified in P. digitatum. Genetic variation analysis revealed 12,396 Insertion-Ddeletion and 23,264 single nucleotide polymorphisms, with their prevalence decreasing as development progressed. The expression levels, temporal expression patterns and significant differences in mRNAs and lncRNAs across different developmental stages were also observed. Functional enrichment analysis of differentially expressed mRNAs and differentially expressed lncRNA target genes highlighted key biological processes and pathways associated with macromolecular metabolism, signal transduction, DNA replication, and reactive oxygen species scavenging. Additionally, differential expression analysis explored the potential interactions between differentially expressed lncRNAs and their target genes, as well as those between lncRNAs and circRNAs. Our findings provide valuable insights into the complex regulatory networks underpinning the development and pathogenicity of P. digitatum, offering a foundation for future research aimed at controlling green mold. Full article
(This article belongs to the Special Issue Exploring Foodborne Pathogens: From Molecular to Safety Perspectives)
Show Figures

Figure 1

17 pages, 7865 KB  
Article
Garnet Geochemistry of the Makeng-Yangshan Fe Skarn Belt, Southeast China: Implications for Contrasting Hydrothermal Systems and Metal Endowment
by Wanyi Feng, Shuting Lei, Bo Xing, Jing Xu and Haibo Yan
Minerals 2025, 15(12), 1325; https://doi.org/10.3390/min15121325 - 18 Dec 2025
Viewed by 168
Abstract
The Southwestern Fujian Region is one of the important Fe polymetallic metallogenic belts in China. The Makeng-Yangshan Fe skarn sub-belt within it contains several deposits that share a similar geological setting, mineralization age, and genetic type, yet exhibit significant differences in metal endowment. [...] Read more.
The Southwestern Fujian Region is one of the important Fe polymetallic metallogenic belts in China. The Makeng-Yangshan Fe skarn sub-belt within it contains several deposits that share a similar geological setting, mineralization age, and genetic type, yet exhibit significant differences in metal endowment. To investigate the poorly constrained factors responsible for these differences, this paper focused on the mineral chemistry of garnets associated with magnetite from the Makeng, Luoyang, and Yangshan Fe deposits within the sub-belt, employing in situ laser ablation-inductively coupled plasma-mass spectrometry (LA-ICP-MS) for trace element analysis. Our results reveal that garnet from all three deposits are andradite-dominated and features a chondrite-normalized REE fractionation pattern exhibiting enrichment in LREE relative to HREE, indicating crystallization from unified, mildly acidic fluids under high oxygen fugacity (fO2) conditions. However, both the Makeng and Luoyang garnets showed a strong positive Eu anomaly, whereas the Yangshan garnets displayed the weakest Eu anomaly among the three deposits, which can likely be attributed to the highest fO2 environment of the Yangshan deposit. Furthermore, garnet Y/Ho ratios and Y-ΣREE correlations demonstrate that the Makeng and Luoyang garnets crystallized in an open fluid system that were primarily of magmatic-hydrothermal origin with substantial external fluid (e.g., meteoric water) involvement, whereas the Yangshan garnet reflects a relatively closed fluid system that was predominantly of magmatic-hydrothermal origin with limited external fluid input. These geochemical differences have direct implications for exploration: the open-system Makeng deposit holds promise for Mo-W-Sn mineralization, as does the Luoyang deposit for W-Sn, whereas the closed-system Yangshan shows little potential for these metals. In addition, this study reveals that Pb and Zn concentrations in garnet are not reliable exploration indicators. Overall, these findings provide important mineralogical constraints on the factors controlling deposit scale and metal associations, thereby enhancing the understanding of regional metallogeny and guiding future mineral exploration. Full article
(This article belongs to the Special Issue Mineralization and Metallogeny of Iron Deposits)
Show Figures

Figure 1

40 pages, 8521 KB  
Systematic Review
Nutrient and Dissolved Oxygen (DO) Estimation Using Remote Sensing Techniques: A Literature Review
by Androniki Dimoudi, Christos Domenikiotis, Dimitris Vafidis, Giorgos Mallinis and Nikos Neofitou
Remote Sens. 2025, 17(24), 4044; https://doi.org/10.3390/rs17244044 - 16 Dec 2025
Viewed by 467
Abstract
Eutrophication has emerged as a critical threat to water quality degradation and ecosystem health on a global scale, calling for prompt management actions. Remote sensing enables the monitoring of eutrophication by detected changes in ocean color caused by fluctuations in chlorophyll a (chl [...] Read more.
Eutrophication has emerged as a critical threat to water quality degradation and ecosystem health on a global scale, calling for prompt management actions. Remote sensing enables the monitoring of eutrophication by detected changes in ocean color caused by fluctuations in chlorophyll a (chl a). Although chl a is a crucial indicator of phytoplankton biomass and nutrient overloading, it reflects the outcome of eutrophication rather than its cause. Nutrients, the primary “drivers” of eutrophication, are essential indicators for predicting the potential phytoplankton growth in water bodies, allowing adoption of effective preventive measures. Long-term monitoring of nutrients combined with multiple water quality indicators using remotely sensed data could lead to a more precise assessment of the trophic state. Retrieving non-optically active constituents, such as nutrients and DO, remains challenging due to their weak optical characteristics and low signal-to-noise ratios. This work is an attempt to review the current progress in the retrieval of un-ionized ammonia (NH3), ammonium (NH4+), ammoniacal nitrogen (AN), nitrite (NO2), nitrate (NO3), dissolved inorganic nitrogen (DIN), phosphate (PO43−), dissolved inorganic phosphorus (DIP), silicate (SiO2) and dissolved oxygen (DO) using remotely sensed data. Most studies refer to Case II highly nutrient-enriched water bodies. The commonly used spaceborne and airborne sensors, along with the selected spectral bands and band indices, per study area, are presented. There are two main model categories for predicting nutrient and DO concentration: empirical and artificial intelligence (AI). Comparative studies conducted in the same study area have shown that ML and NNs achieve higher prediction accuracy than empirical models under the same sample size. ML models often outperform NNs when training data are limited, as they are less prone to overfitting under small-sample conditions. The incorporation of a wider range of conditions (e.g., different trophic state, seasonality) into model training needs to be tested for model transferability. Full article
Show Figures

Figure 1

Back to TopTop