Garnet Geochemistry of the Makeng-Yangshan Fe Skarn Belt, Southeast China: Implications for Contrasting Hydrothermal Systems and Metal Endowment
Abstract
1. Introduction
2. Geological Setting
3. Deposit Geology
3.1. Makeng Fe-Mo Skarn Deposit
3.2. Luoyang Fe Skarn Deposit
3.3. Yangshan Fe Skarn Deposit
4. Analytical Methodology
5. Results
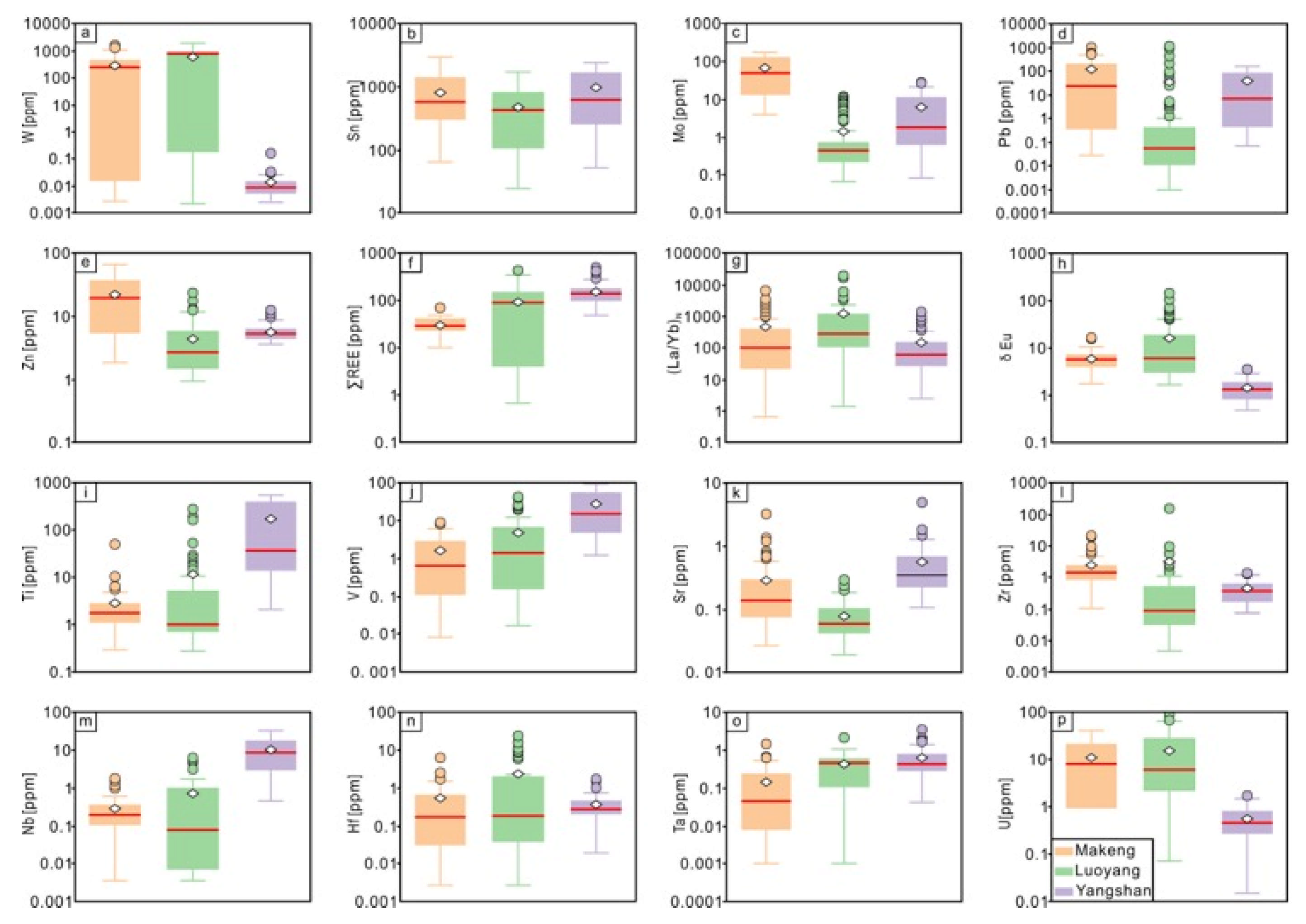
5.1. Ore-Forming Elements
5.2. Rare Earth Elements (REE)
5.3. Other Trace Elements
6. Discussion
6.1. Ore-Forming Conditions
6.2. The Sources of Ore-Forming Fluids
6.3. Mineralization Potential
6.3.1. Molybdenum
6.3.2. Tungsten
6.3.3. Tin
6.3.4. Lead-Zinc
7. Conclusions
Supplementary Materials
Author Contributions
Funding
Data Availability Statement
Acknowledgments
Conflicts of Interest
References
- Meinert, L.D.; Dipple, G.M.; Nicolescu, S. World Skarn Deposits. In 100 Anniversary Volume; Society of Economic Geologists: Littleton, CO, USA, 2005; pp. 299–336. [Google Scholar]
- Chang, Z.S.; Shu, Q.H.; Meinert, L.D. Chapter 6 Skarn Deposits of China. In Mineral Deposits of China; Chang, Z., Goldfarb, R.J., Eds.; Society of Economic Geologists: Littleton, CO, USA, 2019; pp. 189–234. [Google Scholar]
- Mao, J.; Ouyang, H.; Song, S.; Santosh, M.; Yuan, S.; Zhou, Z.; Zheng, W.; Liu, H.; Liu, P.; Cheng, Y.; et al. Chapter 10 Geology and Metallogeny of Tungsten and Tin Deposits in China. In Mineral Deposits of China; Chang, Z., Goldfarb, R.J., Eds.; Society of Economic Geologists: Littleton, CO, USA, 2019; pp. 411–482. [Google Scholar]
- Gaspar, M.; Knaack, C.; Meinert, L.D.; Moretti, R. REE in Skarn Systems: A LA-ICP-MS Study of Garnets from the Crown Jewel Gold Deposit. Geochim. Cosmochim. Acta 2008, 72, 185–205. [Google Scholar] [CrossRef]
- Shu, Q.; Chang, Z.; Mavrogenes, J. Fluid Compositions Reveal Fluid Nature, Metal Deposition Mechanisms, and Mineralization Potential: An Example at the Haobugao Zn-Pb Skarn, China. Geology 2021, 49, 473–477. [Google Scholar] [CrossRef]
- Shu, Q.; Deng, J. The Composition of Magmatic-Hydrothermal Fluids and Their Related Metal Mineralization. Sci. China Earth Sci. 2025, 68, 208–225. [Google Scholar] [CrossRef]
- Xing, B.; Liu, W.; Xie, G.; Xu, J.; Zheng, W.; Chen, L.; Rao, D.; Wang, H. Garnet Geochronology and Mineral Geochemistry of the Veliki Krivelj Porphyry-Skarn Cu Deposit, Eastern Serbia: Implications for Skarn Formation and Hydrothermal Fluid Evolution. Ore Geol. Rev. 2025, 186, 106841. [Google Scholar] [CrossRef]
- Zheng, W.; Liu, D.; Wu, X.; Sun, Y.; Xing, B. Geochemical Characteristics of Garnet and Vesuvianite in Shilu Cu-Mo Deposit in Western Guangdong and Their Constraints on the Evolution of Ore-Forming Fluids. J. Jilin Univ. 2025, 55, 1481–1505. [Google Scholar]
- Wang, Y.; Duan, D. REE Distribution Character in Skarn Garnet and Its Geological Implication. Acta Sci. Nat. Univ. Pekin. 2021, 57, 446–458. [Google Scholar]
- Mao, J.; Cheng, Y.; Chen, M.; Franco, P. Major Types and Time–Space Distribution of Mesozoic Ore Deposits in South China and Their Geodynamic Settings. Miner. Depos. 2013, 48, 267–294. [Google Scholar]
- Zheng, J.; Mao, J. Recognition of a ca. 130 Ma Makeng-Yangshan Iron Skarn Belt in the Southeastern China: Evidence from Garnet in Situ U–Pb Geochronology. Min. Depos. 2023, 58, 925–937. [Google Scholar] [CrossRef]
- Zhang, C. Geology and Geochemistry of Makeng Fe-Mo Deposit. Fujian. Ph.D. Thesis, China University of Geosciences, Beijing, China, 2012; pp. 1–188. (In Chinese). [Google Scholar]
- Zhang, D.; Wu, G.; Di, Y.; Wang, C.; Yao, J.; Zhang, Y.; Lu, L.; Yuan, Y.; Shi, J. Geochronology of Diagenesis and Mineralization of the Luoyang Iron Deposit in Zhangping City, Fujian Province and Its Geological Significanc. Earth Sci. 2012, 37, 1217–1231. [Google Scholar]
- Wang, S.; Vatuva, A.; Yi, J.; Zhang, D.; Yuan, Y.; Zhang, Y. Genetic Link between Mesozoic Magmatism and Makeng-Type Iron Polymetallic Deposits in the Central Cathaysia Block, Southeast China. J. Asian Earth Sci. 2024, 260, 105941. [Google Scholar] [CrossRef]
- Li, Z.; Zheng, J. Mineralogy, Fluid Evolution, and Ore-Forming Mechanism of the Early Cretaceous Yangshan Iron Skarn Deposit in the Makeng-Yangshan Region, SE China. J. Asian Earth Sci. 2025, 293, 106746. [Google Scholar] [CrossRef]
- Zhang, D.; Wu, G.; Di, Y.; Lü, L.; Yao, J. Evolution of tectonic stress field in southwestern Wuyishan Mountain area and relationship with mineralization. Geol. Bull. China 2011, 30, 505–513. [Google Scholar]
- Vatuva, A.; He, X.; Zhang, X.; Zhang, D.; Feng, H.; Yuan, Y.; Wang, S.; Yi, J.; Di, Y. Genesis of Makeng-Type Fe-Polymetallic Deposits in SE China: New Constraints by Geochronological and Isotopic Data from the Dapai–Makeng Metallogenic System. Geosci. Front. 2023, 14, 101614. [Google Scholar] [CrossRef]
- Charvet, J.; Shu, L.; Shi, Y.; Guo, L.; Faure, M. The Building of South China: Collision of Yangzi and Cathaysia Blocks, Problems and Tentative Answers. J. Southeast Asian Earth Sci. 1996, 13, 223–235. [Google Scholar] [CrossRef]
- Zhao, G.; Cawood, P.A. Precambrian Geology of China. Precambrian Res. 2012, 222–223, 13–54. [Google Scholar] [CrossRef]
- Xing, B. Genesis of the Zn-Pb Polymetallic Deposits in Central Fujian, SE China: Examples from the Dingjiashan and Fengyan Deposits. Ph.D. Thesis, China University of Geosciences, Beijing, China, 2022; pp. 1–155. (In Chinese). [Google Scholar]
- Xing, B.; Mao, J.; Liu, H.; Xiao, X.; Jia, F.; Li, H.; Guo, S.; Li, H.; Huang, W. Porphyry Mo and Distal Zn-Pb Mineral System: An Example of the Fengyan Zn–Pb–Mo Deposit in Central Fujian, SE China. Ore Geol. Rev. 2022, 144, 104821. [Google Scholar] [CrossRef]
- Shang, Y.; Xing, B.; Xiao, X.; Li, H.; Zheng, W. Mineralization Process of the Fengyan Zn-Pb Skarn Deposit in the Fujian Province, Southeastern China: Insights from LA-ICP-MS Analysis of Fluid Inclusion. Ore Geol. Rev. 2025, 186, 106944. [Google Scholar] [CrossRef]
- Li, X. Cretaceous Magmatism and Lithospheric Extension in Southeast China. J. Asian Earth Sci. 2000, 18, 293–305. [Google Scholar] [CrossRef]
- Wang, J.; Li, Z. History of Neoproterozoic Rift Basins in South China: Implications for Rodinia Break-Up. Precambrian Res. 2003, 122, 141–158. [Google Scholar] [CrossRef]
- Mao, J.; Liu, P.; Goldfarb, R.J.; Goryachev, N.A.; Pirajno, F.; Zheng, W.; Zhou, M.; Zhao, C.; Xie, G.; Yuan, S.; et al. Cretaceous Large-Scale Metal Accumulation Triggered by Post-Subductional Large-Scale Extension, East Asia. Ore Geol. Rev. 2021, 136, 104270. [Google Scholar] [CrossRef]
- Liu, W.; Nigel, J.C.; Cristiana, L.C.; Liu, Y.; Qiu, X.; Chen, Y. Mineralogy of Tin-Sulfides in the Zijinshan Porphyry–Epithermal System, Fujian Province, China. Ore Geol. Rev. 2016, 72, 682–698. [Google Scholar] [CrossRef]
- Zhou, X.; Sun, T.; Shen, W.; Shu, L.; Niu, Y. Petrogenesis of Mesozoic Granitoids and Volcanic Rocks in South China: A Response to Tectonic Evolution. Episodes 2006, 29, 26–33. [Google Scholar] [CrossRef]
- Chu, Y.; Lin, W.; Faure, M.; Xue, Z.; Ji, W.; Feng, Z. Cretaceous Episodic Extension in the South China Block, East Asia: Evidence From the Yuechengling Massif of Central South China. Tectonics 2019, 38, 3675–3702. [Google Scholar] [CrossRef]
- Zhang, Z.; Zhang, C. Skarn mineral characteristics and zonation of the Makeng Fe-Mo deposit in Fujian Province. Acta Petrol. Sin. 2014, 30, 1339–1354. [Google Scholar]
- Wang, S.; Zhang, D.; Wu, G.; Vatuva, A.; Di, Y.; Yan, P.; Feng, H.; Ma, S. Late Paleozoic to Mesozoic Extension in Southwestern Fujian Province, South China: Geochemical, Geochronological and Hf Isotopic Constraints from Basic-Intermediate Dykes. Geosci. Front. 2017, 8, 529–540. [Google Scholar] [CrossRef]
- Hong, L.P. The Geological Features and Genesis of Yangshan Iron Deposit, Dehua County, Fujian Province. Master’s Thesis, China University of Geosciences, Beijing, China, 2015; pp. 1–75. (In Chinese). [Google Scholar]
- Li, Z. Reserve Calculation of Deep Orebody in East Section of Yangshan Mine Area. Met. Mine 2003, 07, 6–8. (In Chinese) [Google Scholar]
- Jochum, K.P.; Weis, U.; Stoll, B.; Kuzmin, D.; Yang, Q.; Raczek, I.; Jacob, D.E.; Stracke, A.; Birbaum, K.; Frick, D.A.; et al. Determination of Reference Values for NIST SRM 610–617 Glasses Following ISO Guidelines. Geostand. Geoanal. Res. 2011, 35, 397–429. [Google Scholar] [CrossRef]
- Paton, C.; Hellstrom, J.; Paul, B.; Woodhead, J.; Hergt, J. Iolite: Freeware for the Visualisation and Processing of Mass Spectrometric Data. J. Anal. At. Spectrom. 2011, 26, 2508. [Google Scholar] [CrossRef]
- Petrus, J.A.; Joseph, A. VizualAge: A Novel Approach to Laser Ablation ICP–MS U–Pb Geochronology Data Reduction. Geostand. Geoanal. Res. 2012, 36, 247–270. [Google Scholar] [CrossRef]
- Vermeesch, P. IsoplotR: A Free and Open Toolbox for Geochronology. Geosci. Front. 2018, 9, 1479–1493. [Google Scholar] [CrossRef]
- Sun, S.; McDonough, W.F. Chemical and Isotopic Systematics of Oceanic Basalts: Implications for Mantle Composition and Processes. Geol. Soc. Spec. Publ. 1989, 42, 313–345. [Google Scholar] [CrossRef]
- Jamtveit, B.; Wogelius, R.A.; Fraser, D.G. Zonation Patterns of Skarn Garnets: Records of Hydrothermal System Evolution. Geology 1993, 21, 113. [Google Scholar] [CrossRef]
- Dziggel, A.; Wulff, K.; Kolb, J.; Meyer, F.M.; Lahaye, Y. Significance of Oscillatory and Bell-Shaped Growth Zoning in Hydrothermal Garnet: Evidence from the Navachab Gold Deposit, Namibia. Chem. Geol. 2009, 262, 262–276. [Google Scholar] [CrossRef]
- Zhai, D.; Liu, J.; Zhang, H.; Wang, J.; Su, L.; Yang, X.; Wu, S. Origin of Oscillatory Zoned Garnets from the Xieertala Fe–Zn Skarn Deposit, Northern China: In Situ LA–ICP-MS Evidence. Lithos 2014, 190–191, 279–291. [Google Scholar] [CrossRef]
- Smith, M.P.; Henderson, P.; Jeffries, T.E.R.; Long, J.; Williams, C.T. The Rare Earth Elements and Uranium in Garnets from the Beinn an Dubhaich Aureole, Skye, Scotland, UK: Constraints on Processes in a Dynamic Hydrothermal System. J. Petrol. 2004, 45, 457–484. [Google Scholar] [CrossRef]
- Yang, Y.-L.; Ni, P.; Pan, J.-Y.; Chi, Z.; Ding, J.-Y.; Wang, Q. Episodic Fluid Evolution in the Formation of the Large Scale Luoyang Fe Deposit, Fujian, Eastern China. Ore Geol. Rev. 2020, 120, 103412. [Google Scholar] [CrossRef]
- Yang, Y.-L.; Ni, P.; Pan, J.-Y.; Wang, G.-G.; Xu, Y.-F. Constraints on the Mineralization Processes of the Makeng Iron Deposit, Eastern China: Fluid Inclusion, H–O Isotope and Magnetite Trace Element Analysis. Ore Geol. Rev. 2017, 88, 791–808. [Google Scholar] [CrossRef]
- Bau, M. Rare-Earth Element Mobility during Hydrothermal and Metamorphic Fluid-Rock Interaction and the Significance of the Oxidation State of Europium. Chem. Geol. 1991, 93, 219–230. [Google Scholar] [CrossRef]
- Liu, L.; Zhou, T.; Zhang, D.; Liu, G.; Zhao, Z.; Sun, J.; White, N.C. Major and Trace Elements Analyses of Garnet from the Haobugao Zn-Fe-Sn Polymetallic Deposit, Northeast China: Implications for Skarn Formation and Hydrothermal Fluid Evolution. Ore Geol. Rev. 2021, 138, 104337. [Google Scholar] [CrossRef]
- Xu, J.; Cook, N.J.; Ciobanu, C.L.; Li, X.; Kontonikas-Charos, A.; Gilbert, S.; Lv, Y. Indium Distribution in Sphalerite from Sulfide–Oxide–Silicate Skarn Assemblages: A Case Study of the Dulong Zn–Sn–In Deposit, Southwest China. Miner. Depos. 2021, 56, 307–324. [Google Scholar] [CrossRef]
- Sverjensky, D.A. Europium Redox Equilibria in Aqueous Solution. Earth Planet. Sci. Lett. 1984, 67, 70–78. [Google Scholar] [CrossRef]
- Allen, D.E.; Seyfried, W.E. REE Controls in Ultramafic Hosted MOR Hydrothermal Systems: An Experimental Study at Elevated Temperature and Pressure. Geochim. Cosmochim. Acta 2005, 69, 675–683. [Google Scholar] [CrossRef]
- Shannon, R.D. Revised Effective Ionic Radii and Systematic Studies of Interatomic Distances in Halides and Chalcogenides. Acta Cryst. A 1976, 32, 751–767. [Google Scholar] [CrossRef]
- Douville, E.; Bienvenu, P.; Charlou, J.L.; Donval, J.P.; Fouquet, Y.; Appriou, P.; Gamo, T. Yttrium and Rare Earth Elements in Fluids from Various Deep-Sea Hydrothermal Systems. Geochim. Cosmochim. Acta 1999, 63, 627–643. [Google Scholar] [CrossRef]
- Bau, M.; Dulski, P. Comparing Yttrium and Rare Earths in Hydrothermal Fluids from the Mid-Atlantic Ridge: Implications for Y and REE Behaviour during near-Vent Mixing and for the YrHo Ratio of Proterozoic Seawater. Chem. Geol. 1999, 155, 77–90. [Google Scholar] [CrossRef]
- Bau, M.; Dulski, P. Comparative Study of Yttrium and Rare-Earth Element Behaviours in Fluorine-Rich Hydrothermal Fluids. Contrib. Mineral. Petrol. 1995, 119, 213–223. [Google Scholar] [CrossRef]
- Crowe, D.E.; Riciputi, L.R.; Bezenek, S.; Ignatiev, A. Oxygen Isotope and Trace Element Zoning in Hydrothermal Garnets: Windows into Large-Scale Fluid-Flow Behavior. Geology 2001, 29, 479. [Google Scholar] [CrossRef]
- D’Errico, M.E.; Lackey, J.S.; Surpless, B.E.; Loewy, S.L.; Wooden, J.L.; Barnes, J.D.; Strickland, A.; Valley, J.W. A Detailed Record of Shallow Hydrothermal Fluid Flow in the Sierra Nevada Magmatic Arc from Low-δ18O Skarn Garnets. Geology 2012, 40, 763–766. [Google Scholar] [CrossRef]
- Ryan-Davis, J.; Lackey, J.S.; Gevedon, M.; Barnes, J.D.; Lee, C.-T.A.; Kitajima, K.; Valley, J.W. Andradite Skarn Garnet Records of Exceptionally Low δ18O Values within an Early Cretaceous Hydrothermal System, Sierra Nevada, CA. Contrib. Miner. Petrol. 2019, 174, 68. [Google Scholar] [CrossRef]
- Ji, Y.; Xie, G.; Romer, R.L.; Li, W.; Zhu, Q.; Fu, B. Scheelite Composition Fingerprints Pulsed Flow of Magmatic Fluid in the Fujiashan W Skarn Deposit, Eastern China. Am. Mineral. 2024, 109, 747–763. [Google Scholar] [CrossRef]
- Audétat, A. The Metal Content of Magmatic-Hydrothermal Fluids and Its Relationship to Mineralization Potential. Econ. Geol. 2019, 114, 1033–1056. [Google Scholar] [CrossRef]
- Xu, J.; Ciobanu, C.L.; Cook, N.J.; Zheng, Y.; Sun, X.; Wade, B.P. Skarn Formation and Trace Elements in Garnet and Associated Minerals from Zhibula Copper Deposit, Gangdese Belt, Southern Tibet. Lithos 2016, 262, 213–231. [Google Scholar] [CrossRef]
- Park, C.; Song, Y.; Kang, I.M.; Shim, J.; Chung, D.; Park, C.S. Metasomatic Changes during Periodic Fluid Flux Recorded in Grandite Garnet from the Weondong W-Skarn Deposit, South Korea. Chem. Geol. 2017, 451, 135–153. [Google Scholar] [CrossRef]
- Pan, J.-Y.; Ni, P.; Wang, R.-C. Comparison of Fluid Processes in Coexisting Wolframite and Quartz from a Giant Vein-Type Tungsten Deposit, South China: Insights from Detailed Petrography and LA-ICP-MS Analysis of Fluid Inclusions. Am. Mineral. 2019, 104, 1092–1116. [Google Scholar] [CrossRef]
- Chen, Y.-K.; Ni, P.; Pan, J.-Y.; Cui, J.-M. Tracing the Magmatic-Hydrothermal Evolution of the Xianghualing Tin-Polymetallic Skarn Deposit, South China: Insights from LA-ICP-MS Analysis of Fluid Inclusions. Miner. Depos. 2024, 59, 1553–1578. [Google Scholar] [CrossRef]
- Zhao, P.; Yuan, S.; Yuan, Y. Geochemical characteristics of garnet in the Huangshaping polymetallic deposit, southern Hunan: Implications for the genesis of Cu and W-Sn mineralization. Acta Petrol. Sin. 2018, 34, 2581–2597. [Google Scholar]
- Ding, T.; Ma, D.; Lu, J.; Zhang, R. Garnet and Scheelite as Indicators of Multi-Stage Tungsten Mineralization in the Huangshaping Deposit, Southern Hunan Province, China. Ore Geol. Rev. 2018, 94, 193–211. [Google Scholar] [CrossRef]
- Zhu, D.-P.; Li, H.; Algeo, T.J.; Jiang, W.-C.; Wang, C. The Prograde-to-Retrograde Evolution of the Huangshaping Skarn Deposit (Nanling Range, South China). Miner. Depos. 2021, 56, 1087–1110. [Google Scholar] [CrossRef]
- Liu, S.; Ye, L.; Liu, Y.; Long, H.; Wei, C.; Xiang, Z. Growth history of garnet from the Dulong Sn-Zn-In polymetallic deposit: Geochemical and U–Pb age constraints and their metallogenic significance. J. Geochem. Explor. 2025, 271, 107699. [Google Scholar] [CrossRef]
- Li, Y.; Liu, Z.; Shao, Y.; Liu, L.; Chen, K.; Zhao, H.; You, S.; He, M. Garnet Geochronology, Major and Trace Element Geochemistry of the Huanggangliang Fe-Sn Polymetallic Deposit, NE China. Ore Geol. Rev. 2024, 168, 106048. [Google Scholar] [CrossRef]
- Yu, F.; Shu, Q.; Niu, X.; Xing, K.; Li, L.; Lentz, D.R.; Zeng, Q.; Yang, W. Composition of Garnet from the Xianghualing Skarn Sn Deposit, South China: Its Petrogenetic Significance and Exploration Potential. Minerals 2020, 10, 456. [Google Scholar] [CrossRef]
- Su, H.-M.; Che, Y.-Y.; Liu, T.; Li, H.; Liu, L.; Jin, T.; He, S.-Y. Multiple Generations of Garnet and Their Genetic Significance in the Niukutou Cobalt-Rich Pb-Zn-(Fe) Skarn Deposit, East Kunlun Orogenic Belt, Western China. Ore Geol. Rev. 2024, 174, 106308. [Google Scholar] [CrossRef]








Disclaimer/Publisher’s Note: The statements, opinions and data contained in all publications are solely those of the individual author(s) and contributor(s) and not of MDPI and/or the editor(s). MDPI and/or the editor(s) disclaim responsibility for any injury to people or property resulting from any ideas, methods, instructions or products referred to in the content. |
© 2025 by the authors. Licensee MDPI, Basel, Switzerland. This article is an open access article distributed under the terms and conditions of the Creative Commons Attribution (CC BY) license (https://creativecommons.org/licenses/by/4.0/).
Share and Cite
Feng, W.; Lei, S.; Xing, B.; Xu, J.; Yan, H. Garnet Geochemistry of the Makeng-Yangshan Fe Skarn Belt, Southeast China: Implications for Contrasting Hydrothermal Systems and Metal Endowment. Minerals 2025, 15, 1325. https://doi.org/10.3390/min15121325
Feng W, Lei S, Xing B, Xu J, Yan H. Garnet Geochemistry of the Makeng-Yangshan Fe Skarn Belt, Southeast China: Implications for Contrasting Hydrothermal Systems and Metal Endowment. Minerals. 2025; 15(12):1325. https://doi.org/10.3390/min15121325
Chicago/Turabian StyleFeng, Wanyi, Shuting Lei, Bo Xing, Jing Xu, and Haibo Yan. 2025. "Garnet Geochemistry of the Makeng-Yangshan Fe Skarn Belt, Southeast China: Implications for Contrasting Hydrothermal Systems and Metal Endowment" Minerals 15, no. 12: 1325. https://doi.org/10.3390/min15121325
APA StyleFeng, W., Lei, S., Xing, B., Xu, J., & Yan, H. (2025). Garnet Geochemistry of the Makeng-Yangshan Fe Skarn Belt, Southeast China: Implications for Contrasting Hydrothermal Systems and Metal Endowment. Minerals, 15(12), 1325. https://doi.org/10.3390/min15121325

