Sign in to use this feature.

Years

Between: -

Subjects

remove_circle_outline
remove_circle_outline
remove_circle_outline
remove_circle_outline
remove_circle_outline
remove_circle_outline
remove_circle_outline
remove_circle_outline
remove_circle_outline

Journals

remove_circle_outline
remove_circle_outline
remove_circle_outline
remove_circle_outline
remove_circle_outline
remove_circle_outline
remove_circle_outline
remove_circle_outline
remove_circle_outline
remove_circle_outline
remove_circle_outline
remove_circle_outline

Article Types

Countries / Regions

remove_circle_outline
remove_circle_outline
remove_circle_outline
remove_circle_outline
remove_circle_outline
remove_circle_outline

Search Results (1,101)

Search Parameters:
Keywords = electron-beam processing

Order results
Result details
Results per page
Select all
Export citation of selected articles as:
20 pages, 1420 KB  
Article
High-Level Synthesis (HLS)-Enabled Field-Programmable Gate Array (FPGA) Algorithms for Latency-Critical Plasma Diagnostics and Neural Trigger Prototyping in Next-Generation Energy Projects
by Radosław Cieszewski, Krzysztof Poźniak, Ryszard Romaniuk and Maciej Linczuk
Energies 2026, 19(4), 1091; https://doi.org/10.3390/en19041091 (registering DOI) - 21 Feb 2026
Abstract
Large-scale advanced energy systems, including fusion devices, high-power plasma sources, and accelerator-driven energy platforms, increasingly depend on real-time, hardware-level data processing for diagnostics, control, and protection. In such installations, ultra-low latency, deterministic throughput, and multi-decade operational lifetimes are not optional design goals but [...] Read more.
Large-scale advanced energy systems, including fusion devices, high-power plasma sources, and accelerator-driven energy platforms, increasingly depend on real-time, hardware-level data processing for diagnostics, control, and protection. In such installations, ultra-low latency, deterministic throughput, and multi-decade operational lifetimes are not optional design goals but strict system-level requirements. While similar timing constraints exist in high-energy physics infrastructures, energy applications place a stronger emphasis on long-term stability, maintainability, and reproducibility of digital signal processing pipelines. This work investigates whether high-level synthesis (HLS) provides a practical and sustainable design methodology for implementing both classical pattern-based and compact neural network (NN) trigger logic on Field-Programmable Gate Arrays (FPGAs) under realistic energy-system constraints. Using representative commercial toolchains (Intel HLS and hls4ml) as reference workflows, we demonstrate the capabilities of fixed-point, fully pipelined streaming architectures, while also identifying critical shortcomings of pragma-driven HLS approaches in terms of architecture transparency, long-term portability, and systematic multi-objective design-space exploration, all of which are crucial for long-lived energy projects and plasma diagnostic systems. These limitations directly motivate the development of a custom, vendor-agnostic, extensible HLS framework (PyHLS), specifically oriented toward deterministic latency, reproducibility, and physics-grade verification demands of advanced energy infrastructures. Gas Electron Multipliers (GEMs) are modern gaseous detectors increasingly employed in plasma diagnostics, radiation monitoring, and high-power energy experiments, where high rate capability, fine spatial resolution, and radiation tolerance are required. Their massively parallel signal structure and continuous data streams make GEMs a representative and demanding benchmark for FPGA-based real-time trigger and preprocessing systems in energy-related environments. The primary objective of this study is to establish a pragmatic technological baseline, demonstrating that contemporary HLS workflows can reliably support both template-based and neural inference-based trigger architectures within strict timing, resource, and power constraints typical for advanced energy installations. Furthermore, we outline a scalable development path toward multi-channel and two-dimensional (pixelated) GEM readout architectures, directly applicable to fusion diagnostics, plasma accelerators, beam–plasma interaction studies, and radiation-hard energy monitoring platforms. Although the proposed methodology remains fully transferable to large-scale physics trigger systems, its principal relevance is directed toward real-time diagnostics and protection layers in next-generation energy systems. Full article
Show Figures

Figure 1

17 pages, 5570 KB  
Article
Microstructure and Corrosion Characteristics of IN 625 Coating on Additively Manufactured 316L Stainless Steel in As-Fabricated Condition
by Prithwish Tarafder, Lingyin Meng, Tunji Adetayo Owoseni and Johan Moverare
Materials 2026, 19(4), 812; https://doi.org/10.3390/ma19040812 - 20 Feb 2026
Viewed by 45
Abstract
The microstructure and corrosion properties of electron beam powder bed fusion (EB-PBF)-fabricated 316L stainless steel are evaluated in the as-fabricated condition with and without the deposition of IN 625 coating. Different surface profiles were achieved by introducing layer thickness and a contour scan [...] Read more.
The microstructure and corrosion properties of electron beam powder bed fusion (EB-PBF)-fabricated 316L stainless steel are evaluated in the as-fabricated condition with and without the deposition of IN 625 coating. Different surface profiles were achieved by introducing layer thickness and a contour scan strategy as process variables. A potentiodynamic polarization test was used for corrosion testing, while state-of-the-art microstructural investigation techniques were employed to elucidate a possible link between the microstructure and corrosion properties of the samples. Results from this pilot study showed that the corrosion response was dictated by the combined effects of surface roughness, coating depth, coating morphology, and passive film characteristics. For specimens for which a contour scan strategy was not used, the coating hinted to an improved corrosion potential while it increased the corrosion rate for both layer thicknesses. On the contrary, for specimens where a contour scan was applied, as-fabricated samples trended towards better corrosion resistance than the coated samples. It is shown that the dross particles that are formed during EB-PBF processing influence the flattening mechanism of the coating, ultimately resulting in a coating deposit that is characterized by surface defects, microcracks, cavities, and incoherent splat boundaries. Full article
(This article belongs to the Section Metals and Alloys)
Show Figures

Figure 1

46 pages, 13351 KB  
Review
Patient-Specific Lattice Implants for Segmental Femoral and Tibial Reconstruction (Part 2): CT-Based Personalization, Design Workflows and Validation—A Review
by Mansoureh Rezapourian, Anooshe Sadat Mirhakimi, Tatevik Minasyan, Mahan Nematollahi and Irina Hussainova
Biomimetics 2026, 11(2), 145; https://doi.org/10.3390/biomimetics11020145 - 13 Feb 2026
Viewed by 276
Abstract
Patient-specific lattice implants (PSLIs) and modular porous scaffolds have emerged as promising solutions for treating diaphyseal segmental defects of the femur and tibia, particularly where conventional reconstruction methods fall short. This second part of our two-part review focuses on how current studies transform [...] Read more.
Patient-specific lattice implants (PSLIs) and modular porous scaffolds have emerged as promising solutions for treating diaphyseal segmental defects of the femur and tibia, particularly where conventional reconstruction methods fall short. This second part of our two-part review focuses on how current studies transform computed tomography (CT) and μCT datasets into architected lattice implants, as well as how these constructs are fabricated and numerically, mechanically, biologically, and clinically verified. We outline imaging pipelines, including Digital Imaging and Communications in Medicine (DICOM) acquisition, segmentation, contralateral mirroring, and Hounsfield Units (HU)–density–elasticity mapping, and show how these choices impact finite element (FE) models and print-ready geometries. Next, lattice design strategies and mixed-material concepts are compared and linked to specific additive manufacturing routes in metals, polymers, and bioceramics, such as laser powder bed fusion (LPBF), electron beam melting (EBM), fused deposition modeling (FDM), material jetting, and extrusion-based bioprinting. Methodological overviews of linear–elastic models and homogenized finite element (FE) models, along with bench-top mechanical tests, in vitro cell assays, in vivo animal studies, and early clinical series, are utilized to categorize the studies into four pathways: simulation (S), mechanical (E_mech), biological (E_bio), and validation (V). Based on the reviewed literature, we establish a general workflow for CT implants. We identify common gaps in the process, observe insufficient reporting of imaging and modeling details, note a lack of data on fatigue and remodeling, and recognize the limited size of clinical cohorts. Additionally, we provide practical recommendations for developing more standardized and scalable planning pipelines. Part 1 of this two-part review studied defect patterns, anatomical location, and fixation strategies for patient-specific lattice implants used in femoral and tibial segmental reconstruction, with emphasis on how defect morphology and subregional anatomy influence construct selection and mechanical behavior. It established a defect- and fixation-centered review that provides the clinical and anatomical context for the workflow and validation analysis presented in Part 2. Full article
(This article belongs to the Section Biomimetics of Materials and Structures)
16 pages, 2494 KB  
Article
Sub-Ablative Femtosecond Laser Modification of the Nonlinear Optical Response of Amorphous TiO2 Thin Films
by Victoria Atanassova, Georgi Yankov, Krum Shumanov, Stefan Karatodorov, Ilko Miloushev, Tihomir Tenev, Ekaterina Iordanova, Velichka Strijkova, Vesela Katrova and Ivan Zahariev
Coatings 2026, 16(2), 220; https://doi.org/10.3390/coatings16020220 - 8 Feb 2026
Viewed by 240
Abstract
Femtosecond laser processing has emerged as a promising post-deposition method for tailoring the properties of dielectric thin films, offering localized modification without thermal damage. This study investigates the effect of sub-ablative femtosecond laser irradiation on the nonlinear optical response of a TiO2 [...] Read more.
Femtosecond laser processing has emerged as a promising post-deposition method for tailoring the properties of dielectric thin films, offering localized modification without thermal damage. This study investigates the effect of sub-ablative femtosecond laser irradiation on the nonlinear optical response of a TiO2 single-layer coating deposited on soda-lime glass by electron-beam evaporation. The coating was modified using 35 fs pulses at 800 nm delivered at a repetition rate of 1 kHz and a fluence of 0.083 J/cm2 while varying the number of pulses per spot. The effective nonlinear refractive index (n2,eff) and effective nonlinear absorption coefficient (βeff) were measured using the z-scan technique with femtosecond excitation. The as-deposited TiO2 coating exhibited a negative effective nonlinear refractive index, signifying a self-defocusing nonlinear response, while femtosecond laser irradiation leads to pronounced changes in the effective nonlinear parameters. An increase in the magnitude of both effective nonlinear coefficients and a reversal of the sign of the effective nonlinear refractive index are experimentally observed after irradiation with higher pulse numbers. These findings provide experimental evidence that sub-ablative femtosecond laser processing can be used as a post-deposition tool to control the nonlinear optical response of TiO2 thin films. Full article
Show Figures

Graphical abstract

24 pages, 5549 KB  
Article
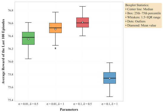
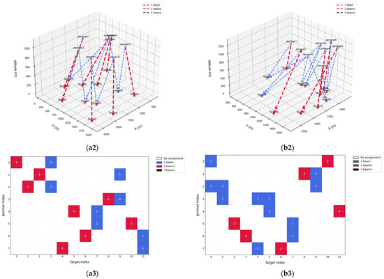
VAM-Enhanced Deep Reinforcement Learning for Cooperative Jamming Task Allocation
by Yulian Song, Xiaoshuai Li, Yang Pan, Hongwei Liu and Junan Yang
Symmetry 2026, 18(2), 295; https://doi.org/10.3390/sym18020295 - 5 Feb 2026
Viewed by 144
Abstract
This paper addresses the cooperative jamming task allocation problem for multiple jammers against multiple communication targets in dynamic electronic warfare environments. Traditional algorithms struggle with adaptability and slow decision-making. To overcome these limitations, we propose a deep reinforcement learning (DRL) method enhanced by [...] Read more.
This paper addresses the cooperative jamming task allocation problem for multiple jammers against multiple communication targets in dynamic electronic warfare environments. Traditional algorithms struggle with adaptability and slow decision-making. To overcome these limitations, we propose a deep reinforcement learning (DRL) method enhanced by an improved Vogel’s approximation method (VAM) pre-training strategy, where VAM incorporates situational matrices for initial allocation. The proposed approach aims to maximize the total jamming situational value by intelligently assigning optimal target combinations to each multi-beam jammer. Specifically, the model evaluates the situational value of each target by integrating factors including the distance, target firepower, and threat levels, while adhering to system constraints of both jamming and target platforms. To meet the real-time decision-making requirements in dynamic adversarial environments, we integrate VAM with the proximal policy optimization (PPO) algorithm, leveraging human knowledge to accelerate the training process of DRL. Simulation results demonstrate that the proposed algorithm improves both the training efficiency and decision-making timeliness of the jamming allocation model, achieving cumulative reward increases of 38.45% and 13.86% over the respective baselines, while ensuring target coverage and effectively avoiding redundant or excessive jamming. Full article
(This article belongs to the Special Issue Symmetry/Asymmetry in Optimization Algorithms and Systems Control)
Show Figures

Figure 1

11 pages, 4531 KB  
Article
Enhanced Flexible Vacuum-Ultraviolet Photodetectors Based on Hexagonal Boron Nitride Nanosheets via Al Nanoparticles
by Youwei Chen, Jiaxing Li, Qiang Li, Wannian Fang, Haifeng Liu, Ziyan Lin, Tao Wang and Feng Yun
Nanomaterials 2026, 16(3), 187; https://doi.org/10.3390/nano16030187 - 30 Jan 2026
Viewed by 333
Abstract
This work reports an enhanced flexible vacuum-ultraviolet (VUV) photodetector on a polyimide (PI) substrate based on hexagonal boron nitride nanosheets (BNNSs) with Al nanoparticles (Al NPs). The BNNS film were prepared via liquid-phase exfoliation combined with a self-assembly process, and size-controllable Al NPs [...] Read more.
This work reports an enhanced flexible vacuum-ultraviolet (VUV) photodetector on a polyimide (PI) substrate based on hexagonal boron nitride nanosheets (BNNSs) with Al nanoparticles (Al NPs). The BNNS film were prepared via liquid-phase exfoliation combined with a self-assembly process, and size-controllable Al NPs were constructed on the BNNS’s surface by electron-beam evaporation followed by thermal annealing. When the Al film thickness was 15 nm, the annealed Al NPs exhibited a pronounced enhancement of photoelectric effects at a wavelength of 185 nm. Combined with finite-difference time-domain (FDTD) simulations, it was confirmed that the localized surface plasmon resonance (LSPR) generated by Al NPs significantly enhanced the local electromagnetic field and effectively coupled into the interior of BNNSs. These exhibited a strong plasmon-enhanced absorption effect and thereby improved light absorption and carrier generation efficiency. The flexible photodetector based on this structure showed an increase in the photo-to-dark current ratio from 110.17 to 527.79 under a bias voltage of 20 V, while maintaining fast response and recovery times of 79.79 ms and 82.38 ms, respectively. In addition, the device demonstrated good stability under multiple bending angles and cyclic bending conditions, highlighting its potential applications in flexible solar-blind VUV photo ultraviolet. Full article
Show Figures

Figure 1

26 pages, 40179 KB  
Article
Electron Beam Remelting for Enhancing Thermally Sprayed Coatings: A Case Study on Self-Fluxing NiCrBSi Powders with Tungsten Carbide
by Piotr Śliwiński, Mateusz Kopyściański, Andrzej N. Wieczorek, Paweł Pogorzelski, Wojciech Szymański and Krzysztof Szymański
Coatings 2026, 16(2), 175; https://doi.org/10.3390/coatings16020175 - 30 Jan 2026
Viewed by 280
Abstract
Thermally sprayed, self-fluxing NiCrBSi-based coatings, subsequently flame-remelted, exhibit notable abrasion and corrosion resistance. While flame remelting facilitates the formation of a homogeneous, pore-free microstructure and promotes adhesion to the substrate, it suffers from low processing efficiency and introduces considerable thermal loads into the [...] Read more.
Thermally sprayed, self-fluxing NiCrBSi-based coatings, subsequently flame-remelted, exhibit notable abrasion and corrosion resistance. While flame remelting facilitates the formation of a homogeneous, pore-free microstructure and promotes adhesion to the substrate, it suffers from low processing efficiency and introduces considerable thermal loads into the material. In contrast, electron beam remelting (EBR) offers enhanced efficiency, reduced heat input, and the potential to achieve metallurgical bonding with the substrate. This study investigates the influence of EBR parameters on the microstructure, hardness, and elemental distribution of NiCrBSi-based coatings. Four powder compositions—with and without tungsten or tungsten carbide (WC) additives—were deposited via thermal spraying and subjected to EBR. The resulting coatings were analyzed using light and scanning electron microscopy (SEM), energy-dispersive X-ray spectroscopy (EDS), and Vickers microhardness testing. The optimized EBR process yielded dense, crack- and pore-free coatings with uniform elemental distribution and effective metallurgical bonding. Maximum matrix hardness values up to 881 HV0.1 were achieved, confirming the efficacy of EBR in enhancing the structural and mechanical integrity of thermally sprayed NiCrBSi coatings. It was also found that the addition of different reinforcement phases to the NiCrBSi matrix can significantly affect the overall microstructure and properties of the matrix itself. Full article
(This article belongs to the Special Issue Advanced Coatings for Alloy Protection and Performance Enhancement)
Show Figures

Figure 1

21 pages, 6263 KB  
Article
An Analysis of Notch Toughness of Electron Beam Powder Bed Fused (EB-PBF) Ti-6Al-4V in Relation to Build Orientation and Mechanical Properties
by Mohammad Sayem Bin Abdullah, Vidit Tambi, Aditya Koneru, Dwayne Arola and Mamidala Ramulu
Materials 2026, 19(3), 524; https://doi.org/10.3390/ma19030524 - 28 Jan 2026
Viewed by 311
Abstract
A comprehensive analysis of the notch toughness of Electron Beam Powder Bed Fused (EB-PBF) Ti-6Al-4V was conducted, which focused on the influence of build orientation and correlations with key mechanical properties. Horizontal and vertical specimens were fabricated with optimized process parameters and reused [...] Read more.
A comprehensive analysis of the notch toughness of Electron Beam Powder Bed Fused (EB-PBF) Ti-6Al-4V was conducted, which focused on the influence of build orientation and correlations with key mechanical properties. Horizontal and vertical specimens were fabricated with optimized process parameters and reused powder. The microhardness and microstructure of the metal were examined and both profilometry and scanning electron microscopy were used in evaluating the fracture surfaces. Results showed that the metal with vertical build orientation absorbed ~46% higher impact energy than the horizontal orientation due to crack propagation perpendicular to the prior-β grains, lower microhardness, and greater ductility. The importance of ductility to the vertical specimens was evidenced by greater shear lip width (~51%) and height (~35%), greater shear lip length (~18%), and higher roughness of the fracture surface (~15%). Shear width measurements showed the highest correlation with absorbed impact energy. Overall, results show that the notch toughness of EB-PBF Ti-6Al-4V is dependent on the build orientation due to differences in microstructure and the bulk mechanical properties. The notch toughness is well correlated with tensile properties as well. Lastly, a framework for relating the notch toughness in dynamic loading and quasi-static fracture toughness for EB-PBF Ti-6Al-4V is proposed. Full article
(This article belongs to the Section Manufacturing Processes and Systems)
Show Figures

Graphical abstract

20 pages, 3651 KB  
Article
Sensitivity Analysis of Process Parameters on Deposition Quality and Multi-Objective Prediction in Ion-Assisted Electron Beam Evaporation of Ta2O5 Films
by Yaowei Wei, Jianchong Li, Wenze Ma, Hongqin Lei, Fei Zhang, Zhenfei Luo, Henan Liu, Xianghui Huang, Linjie Zhao and Mingjun Chen
Micromachines 2026, 17(2), 166; https://doi.org/10.3390/mi17020166 - 27 Jan 2026
Viewed by 218
Abstract
Tantalum pentoxide (Ta2O5) films deposited on fused silica substrates are critical components of high-power laser systems. Ion-assisted electron beam evaporation (IAD-EBE) is the mainstream technique for fabricating Ta2O5 films. However, it commonly requires extensive experimental efforts [...] Read more.
Tantalum pentoxide (Ta2O5) films deposited on fused silica substrates are critical components of high-power laser systems. Ion-assisted electron beam evaporation (IAD-EBE) is the mainstream technique for fabricating Ta2O5 films. However, it commonly requires extensive experimental efforts for deposition quality optimization, while each coating cycle is extremely time-consuming. To solve this issue, this work establishes a dataset targeting the surface roughness (Rq) and refractive index (n) of Ta2O5 films using atomic force microscopy, as well as ellipsometer and deposition experiments. Influence of assisting ion source beam voltage (V)/current (I) and Ar (Q1)/O2 (Q2) flow rate on the n and Rq of Ta2O5 films are analyzed. Combining energy-field mechanism analysis with a Bayesian optimization approach (PI-BO), both deposition quality prediction and feature analysis of process parameters are achieved. The determination coefficient/mean absolute error for the prediction models of n and Rq reach 0.927/0.013 nm and 0.821/0.049 nm, respectively. Based on sensitivity analysis, the weight factors of V, I, Q1, and Q2 affecting n/Rq of Ta2O5 films are determined to be 0.616/0.274, 0.199/0.144, 0.113/0.582, and 0.072/0.000. V and Q2 are identified as the core factors for regulating deposition quality. The optimal ranges for V and Q2 are 600~700 V and 70~80 sccm, respectively. This study proposes a PI-BO method for predicting Rq and n of Ta2O5 films under small-data conditions, while determining the preferred parameter ranges and their sensitivity weight factors. These findings provide effective theoretical support and technical guidance for IAD-EBE strategy design and optimization of optical films in high-power laser systems. Full article
(This article belongs to the Special Issue Advances in Digital Manufacturing and Nano Fabrication)
Show Figures

Figure 1

15 pages, 3850 KB  
Article
The Influence of Electron Beam Treatment on the Structure and Properties of the Surface Layer of the Composite Material AlMg3-5SiC
by Shunqi Mei, Roman Mikheev, Pavel Bykov, Igor Kalashnikov, Lubov Kobeleva, Andrey Sliva and Egor Terentyev
Lubricants 2026, 14(2), 50; https://doi.org/10.3390/lubricants14020050 - 25 Jan 2026
Viewed by 290
Abstract
The influence of electron beam treatment parameters (electron gun speed, electron beam current, scanning frequency, and sweep type) on the structure and properties of the surface layer of the composite material AlMg3-5SiC has been investigated. Composite specimens of AlMg3 alloy reinforced with [...] Read more.
The influence of electron beam treatment parameters (electron gun speed, electron beam current, scanning frequency, and sweep type) on the structure and properties of the surface layer of the composite material AlMg3-5SiC has been investigated. Composite specimens of AlMg3 alloy reinforced with 5 wt.% silicon carbide particles were manufactured via the stir casting process. Experimentally, processing modes with heat input from 120 to 240 J/mm yield a modified layer thickness from 74 to 1705 µm. Heat input should not exceed 150 J/mm to ensure a smooth and defect-free surface layer. The macro- and microstructure were examined using optical microscopy. Brinell hardness was measured. Friction and wear tests were performed under dry sliding friction conditions using the “bushing on plate” scheme. This evaluated the tribological properties of the composite material in its original cast state and after modifying treatment. Due to the matrix alloy structure refinement by 5–10 times, the surface layer’s hardness increases by 11% after treatment. The modified specimens have superior tribological properties to the initial ones. Wear rate reduces by 17.5%, the average friction coefficient reduces by 32%, and the root mean squared error of the friction coefficient, which measures friction process stability, reduces by 50% at a specific load of 2.5 MPa. Therefore, the electron beam treatment process is a useful method for producing high-quality and uniform wear-resistant aluminum matrix composite surface layers. Full article
Show Figures

Figure 1

21 pages, 2035 KB  
Proceeding Paper
Nanostructured Semiconductors for Enhanced Waste Heat-to-Electricity Conversion
by Pabina Rani Boro, Rupam Deka, Pranjal Sarmah, Partha Protim Borthakur and Nayan Medhi
Mater. Proc. 2025, 25(1), 21; https://doi.org/10.3390/materproc2025025021 - 20 Jan 2026
Viewed by 334
Abstract
Nanostructured semiconductors have emerged as transformative materials for enhancing the efficiency of waste heat-to-electricity conversion through thermoelectric (TE) processes. By altering structural features at the nanoscale, these materials can simultaneously reduce lattice thermal conductivity and optimize electronic transport properties, thereby significantly improving the [...] Read more.
Nanostructured semiconductors have emerged as transformative materials for enhancing the efficiency of waste heat-to-electricity conversion through thermoelectric (TE) processes. By altering structural features at the nanoscale, these materials can simultaneously reduce lattice thermal conductivity and optimize electronic transport properties, thereby significantly improving the thermoelectric figure of merit (ZT). Recent studies have demonstrated that introducing periodic twin planes in III–V semiconductor nanowires can achieve a tenfold reduction in thermal conductivity while maintaining excellent electrical performance. Similarly, Pb1−xGexTe alloys, through controlled spinodal decomposition, form stable nanostructures that maintain low thermal conductivity even after thermal cycling, crucial for high-temperature applications. Enhancing electrical properties is another key advantage of nanostructuring. PbTe-based materials, when heavily doped and engineered with nanoscale inclusions, have achieved a ZT of approximately 1.9 and a thermoelectric efficiency of around 12% over a 590 K temperature difference. Single-walled carbon nanotubes (SWCNTs) also show strong correlations between their electronic structure and thermoelectric conductivity, highlighting their potential for next-generation devices. Two-dimensional silicon–germanium (SixGeγ) compounds offer ultra-low lattice thermal conductivity and high Seebeck coefficients, providing a promising pathway for future TE applications. Despite these advancements, challenges remain, particularly regarding scalability and integration into existing energy recovery systems. Techniques such as focused ion beam milling and solution-based synthesis of porous nanostructures are being developed to fabricate high-performance materials on a commercial scale. Moreover, integrating nanostructured semiconductors into real-world systems, such as automotive exhaust heat recovery units, requires improvements in material durability, fabrication efficiency, and device compatibility. In conclusion, nanostructured semiconductors offer a powerful route for enhancing waste heat-to-electricity conversion. Their ability to decouple electrical and thermal transport at the nanoscale opens new opportunities for high-efficiency, sustainable energy harvesting technologies. Continued research into scalable manufacturing techniques, material stability, and system integration is essential to fully unlock their potential for commercial thermoelectric applications. Full article
(This article belongs to the Proceedings of The 5th International Online Conference on Nanomaterials)
Show Figures

Figure 1

16 pages, 4776 KB  
Article
Modification of taC:H Films via λ = 266 nm Picosecond Pulsed Laser Irradiation
by Teodor I. Milenov, Desislava Karaivanova, Anna Dikovska, Dimitar A. Dimov, Ivalina Avramova, Kiril Mladenov Kirilov, Kaloyan Genkov and Stefan K. Kolev
Coatings 2026, 16(1), 67; https://doi.org/10.3390/coatings16010067 - 7 Jan 2026
Viewed by 669
Abstract
Hydrogenated tetrahedral amorphous carbon (ta-C:H) thin films were modified using 266 nm picosecond laser pulses to investigate structural transformations at low and moderate fluences. Nitrogen-doped hydrogenated tetrahedral amorphous carbon layers 20–40 nm thick were deposited on silicon (Si) and silicon dioxide on silicon [...] Read more.
Hydrogenated tetrahedral amorphous carbon (ta-C:H) thin films were modified using 266 nm picosecond laser pulses to investigate structural transformations at low and moderate fluences. Nitrogen-doped hydrogenated tetrahedral amorphous carbon layers 20–40 nm thick were deposited on silicon (Si) and silicon dioxide on silicon (SiO2/Si) substrates and irradiated with picosecond pulses at 0.5–1.6 J cm−2 using a raster-scanned beam. Structural changes in morphology, composition, and bonding were evaluated via optical microscopy, atomic force microscopy (AFM), scanning electron microscopy (SEM), X-ray photoelectron spectroscopy (XPS), and Raman spectroscopy. Even below 1.0 J cm−2, localized color shifts and slight swelling indicated early structural rearrangements without significant material removal. Above 1.0–1.2 J cm−2, the films were largely ablated, although a persistent 3–6 nm carbon layer remained on both substrate types. XPS showed an increase in sp2-bonded carbon by roughly 15%–20% in optimally modified regions, and Raman spectroscopy revealed defect-activated D-bands and the formation of multilayer defective graphene or reduced-graphene-oxide-like flakes at ablation boundaries. These results indicate that picosecond ultraviolet irradiation enables controllable graphitization and thinning of ta-C:H films while maintaining uniform processing over centimeter-scale areas, providing a route to thin, conductive, partially graphitized carbon coatings for optical and electronic applications. Full article
(This article belongs to the Section Laser Coatings)
Show Figures

Figure 1

40 pages, 4728 KB  
Review
Crystallographic Texture and Phase Transformation in Titanium Alloys Fabricated via Powder Bed Fusion Processes: A Comprehensive Review
by Rajesh Kannan Arasappan, Hafiz Muhammad Rehan Tariq, Ha-Seong Baek, Minki Kim and Tea-Sung Jun
Metals 2026, 16(1), 25; https://doi.org/10.3390/met16010025 - 26 Dec 2025
Viewed by 770
Abstract
Additive manufacturing (AM) of titanium alloys enables the production of complex, high-performance components, but the steep thermal gradients and rapid solidification involved make it challenging to control crystallographic texture and phase evolution. This review synthesizes the current understanding of how these thermal conditions [...] Read more.
Additive manufacturing (AM) of titanium alloys enables the production of complex, high-performance components, but the steep thermal gradients and rapid solidification involved make it challenging to control crystallographic texture and phase evolution. This review synthesizes the current understanding of how these thermal conditions influence grain morphology, texture intensity, and solid-state transformations in key alloys such as Ti-6Al-4V (Ti64), Ti-6Al-2Sn-4Zr-2Mo (Ti6242), Ti-5Al-5Mo-5V-3Cr (Ti5553), and metastable β-Ti systems processed by powder bed fusion-based processes (PBF) such as laser powder bed fusion (LPBF) and electron beam powder bed fusion (EBPBF/EBM). Emphasis is placed on mechanisms governing epitaxial columnar β-grain growth, α′ martensite formation, and the development of heterogeneous α/β distributions. The impact of processing variables on texture development and transformation kinetics is critically examined, alongside phase fractions. Across studies, AM-induced textures are consistently linked to mechanical anisotropy, with performance strongly dependent on build direction and alloy chemistry. Post-processing strategies, including tailored heat treatments and hot isostatic pressing (HIP), show clear potential to modify grain structure, reduce texture intensity, and stabilize desirable phase balances in titanium alloys. These insights highlight the emerging ability to deliberately engineer microstructures for reliable, application-specific properties in powder-based AM titanium alloys. Full article
Show Figures

Figure 1

15 pages, 3169 KB  
Article
Comprehensive Investigation of the Commercial ELP-20 Electron-Beam Lithography Resist
by Meruert Qairat, Aliya Alzhanova, Mustakhim Pshikov, Renata Nemkayeva, Nazim Guseinov, Sergey Zaitsev and Mukhit Muratov
Micromachines 2026, 17(1), 4; https://doi.org/10.3390/mi17010004 - 19 Dec 2025
Viewed by 380
Abstract
A systematic experimental study of the positive-tone resist ELP-20 was conducted, covering its structural properties, film-formation behavior, and response to electron-beam exposure. Raman spectroscopy demonstrated the methacrylate nature of the resist and its spectral correspondence to poly(methyl methacrylate) PMMA, which enabled direct comparison [...] Read more.
A systematic experimental study of the positive-tone resist ELP-20 was conducted, covering its structural properties, film-formation behavior, and response to electron-beam exposure. Raman spectroscopy demonstrated the methacrylate nature of the resist and its spectral correspondence to poly(methyl methacrylate) PMMA, which enabled direct comparison both with PMMA itself and with existing methacrylate-based resists. Spin-coated films prepared from 3–11 wt.% solutions exhibited a robust power-law dependence of thickness on spin speed, h ∝ ω−0.48 ± 0.01, and showed high thickness uniformity. The concentration dependence of the film thickness at a fixed spin speed allowed identification of the polymer–coil overlap region and enabled estimation of the effective molecular weight of the polymer base, Meff = (25 ± 7) kg/mol. Lithographic characterization indicated a decrease in sensitivity with increasing electron energy, with a sensitivity of approximately 40 μC/cm2 at 25 keV. A depth-dependent dose-distribution model provided an energy-independent average contrast value of γ ≈ 1.67. The results present a coherent and systematic description of ELP-20 behavior under electron-beam exposure and establish a basis for its further use in lithographic processing. Full article
(This article belongs to the Section E:Engineering and Technology)
Show Figures

Figure 1

33 pages, 4350 KB  
Review
Laser Processing Methods in Precision Silicon Carbide Wafer Exfoliation: A Review
by Tuğrul Özel and Faik Derya Ince
J. Manuf. Mater. Process. 2026, 10(1), 2; https://doi.org/10.3390/jmmp10010002 - 19 Dec 2025
Cited by 1 | Viewed by 1218
Abstract
The rapid advancement of high-performance electronics has intensified the demand for wide-bandgap semiconductor materials capable of operating under high-power and high-temperature conditions. Among these, silicon carbide (SiC) has emerged as a leading candidate due to its superior thermal conductivity, chemical stability, and mechanical [...] Read more.
The rapid advancement of high-performance electronics has intensified the demand for wide-bandgap semiconductor materials capable of operating under high-power and high-temperature conditions. Among these, silicon carbide (SiC) has emerged as a leading candidate due to its superior thermal conductivity, chemical stability, and mechanical strength. However, the high cost and complexity of SiC wafer fabrication, particularly in slicing and exfoliation, remain significant barriers to its widespread adoption. Conventional methods such as wire sawing suffer from considerable kerf loss, surface damage, and residual stress, reducing material yield and compromising wafer quality. Additionally, techniques like smart-cut ion implantation, though capable of enabling thin-layer transfer, are limited by long thermal annealing durations and implantation-induced defects. To overcome these limitations, ultrafast laser-based processing methods, including laser slicing and stealth dicing (SD), have gained prominence as non-contact, high-precision alternatives for SiC wafer exfoliation. This review presents the current state of the art and recent advances in laser-based precision SiC wafer exfoliation processes. Laser slicing involves focusing femtosecond or picosecond pulses at a controlled depth parallel to the beam path, creating internal damage layers that facilitate kerf-free wafer separation. In contrast, stealth dicing employs laser-induced damage tracks perpendicular to the laser propagation direction for chip separation. These techniques significantly reduce material waste and enable precise control over wafer thickness. The review also reports that recent studies have further elucidated the mechanisms of laser–SiC interaction, revealing that femtosecond pulses offer high machining accuracy due to localized energy deposition, while picosecond lasers provide greater processing efficiency through multipoint refocusing but at the cost of increased amorphous defect formation. The review identifies multiphoton ionization, internal phase explosion, and thermal diffusion key phenomena that play critical roles in microcrack formation and structural modification during precision SiC wafer laser processing. Typical ultrafast-laser operating ranges include pulse durations from 120–450 fs (and up to 10 ps), pulse energies spanning 5–50 µJ, focal depths of 100–350 µm below the surface, scan speeds ranging from 0.05–10 mm/s, and track pitches commonly between 5–20 µm. In addition, the review provides quantitative anchors including representative wafer thicknesses (250–350 µm), typical laser-induced crack or modified-layer depths (10–40 µm and extending up to 400–488 µm for deep subsurface focusing), and slicing efficiencies derived from multi-layer scanning. The review concludes that these advancements, combined with ongoing progress in ultrafast laser technology, represent research opportunities and challenges in transformative shifts in SiC wafer fabrication, offering pathways to high-throughput, low-damage, and cost-effective production. This review highlights the comparative advantages of laser-based methods, identifies the research gaps, and outlines the challenges and opportunities for future research in laser processing for semiconductor applications. Full article
Show Figures

Figure 1

Back to TopTop