Nanostructured Semiconductors for Enhanced Waste Heat-to-Electricity Conversion †
Abstract
1. Introduction
2. Nanostructured Semiconductors in Energy Harvesting
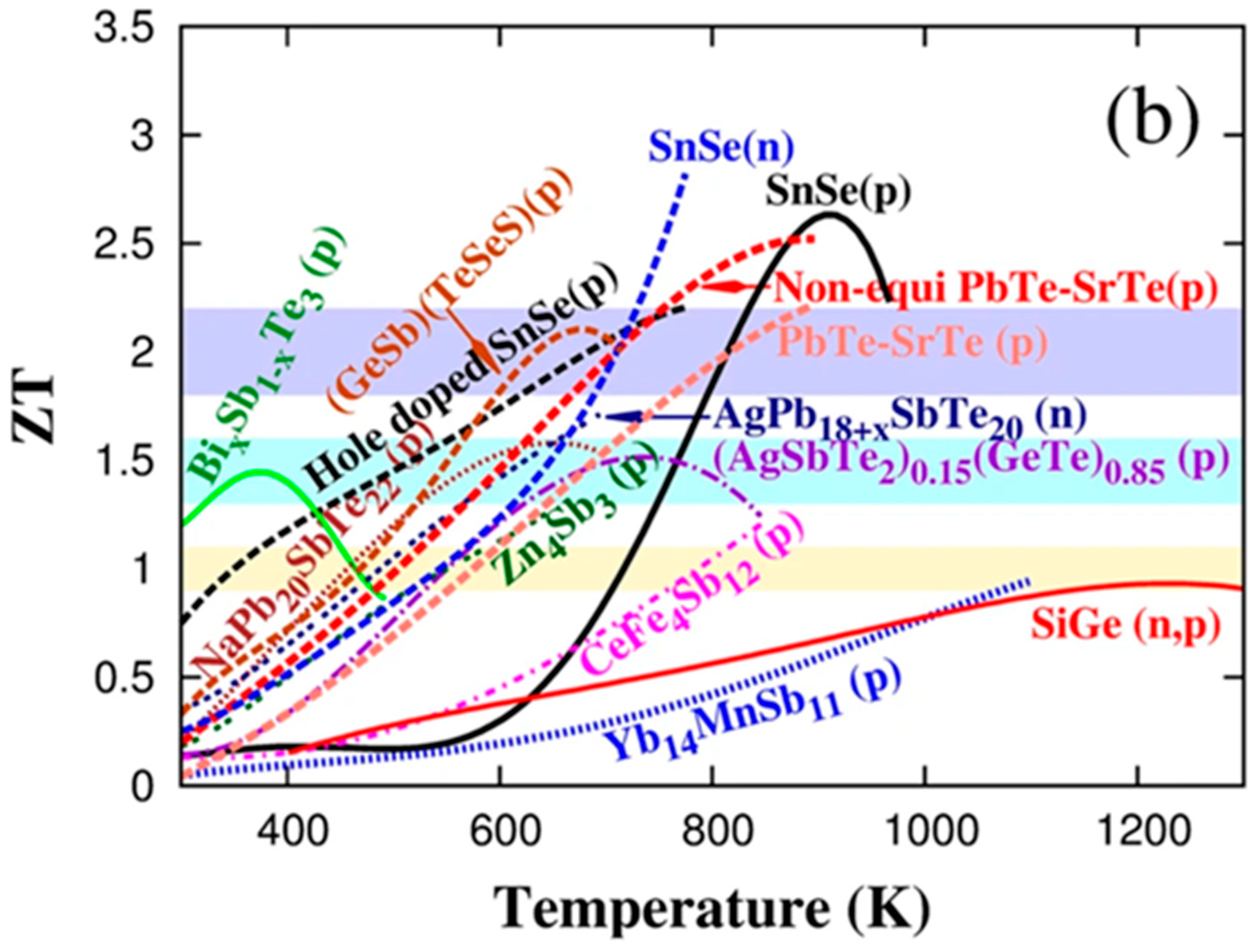
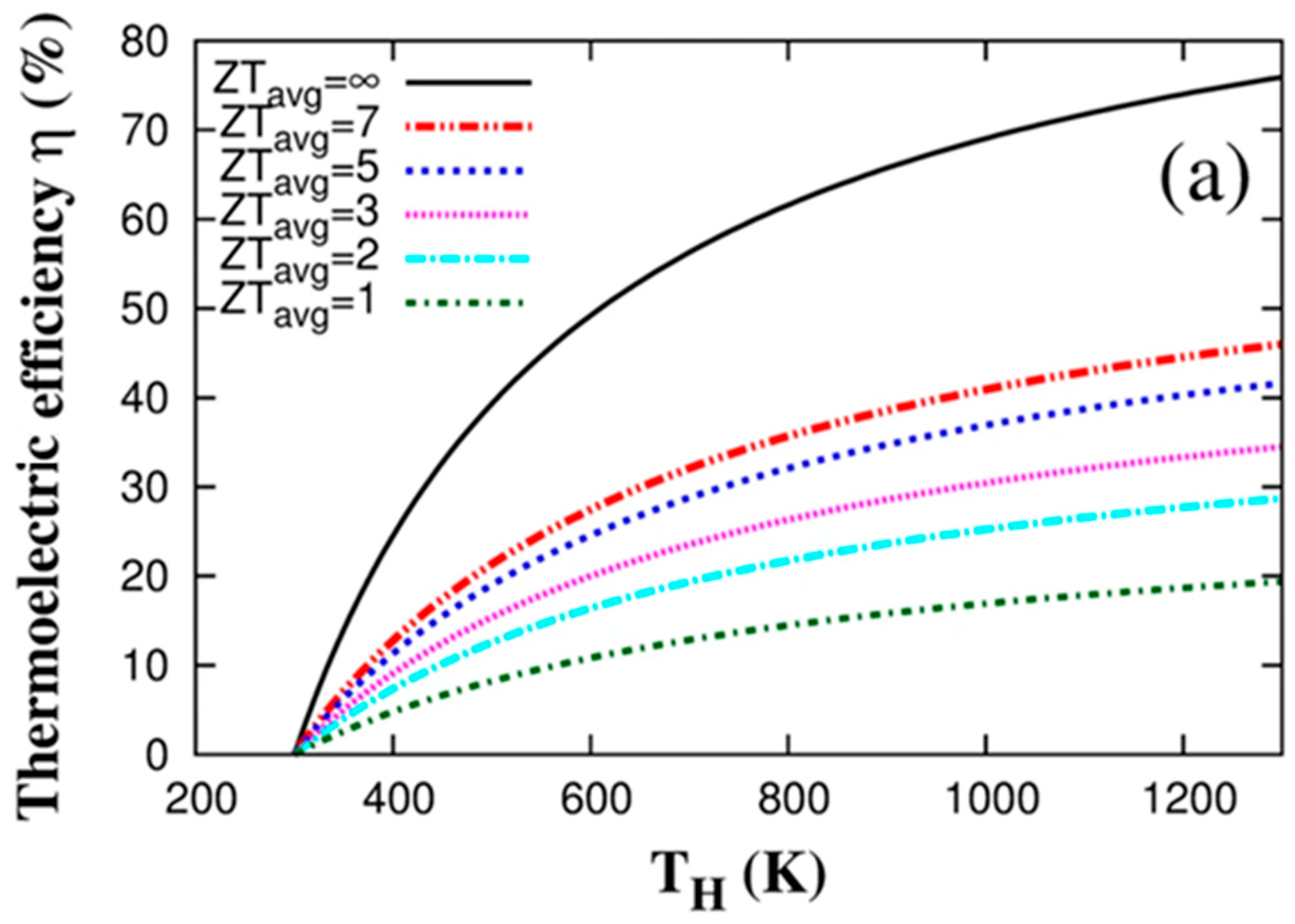
3. Thermoelectric Efficiency and ZT Evolution of Representative Materials Across Temperature Ranges
4. Comparative Analysis of Thermoelectric Performance in Representative Nanostructured Materials
5. Microstructural Analysis of Nanostructured BCFZY (BaCo0.4Fe0.4Zr0.1Y0.1O3-δ)
6. Recent Advances in Key Nanostructured Materials
7. Scalability and Fabrication of Nanostructured Semiconductors
8. Challenges of Nanostructured Semiconductors
9. Future Scope of Nanostructured Semiconductors in Energy Harvesting
10. Conclusions
Author Contributions
Funding
Institutional Review Board Statement
Informed Consent Statement
Data Availability Statement
Conflicts of Interest
References
- Zhuiykov, S. Nanostructured Semiconductors, 2nd ed.; Elsevier: Amsterdam, The Netherlands, 2018. [Google Scholar] [CrossRef]
- Al-Douri, Y.; Khan, M.M.; Jennings, J.R. Synthesis and optical properties of II–VI semiconductor quantum dots: A review. J. Mater. Sci. Mater. Electron. 2023, 34, 993. [Google Scholar] [CrossRef]
- Wada, O. Quantum dots and semiconductor nanostructures for photonic signal processing devices. In Proceedings of the Optics InfoBase Conference Papers, San Jose, CA, USA, 16–20 September 2007. [Google Scholar] [CrossRef]
- Yan, X.; Li, Y.; Zhang, X. Semiconductor nanowire heterodimensional structures toward advanced optoelectronic devices. Nanoscale Horiz. 2024, 10, 56–77. [Google Scholar] [CrossRef] [PubMed]
- Prakash, T. Review on nanostructured semiconductors for dye sensitized solar cells. Electron. Mater. Lett. 2012, 8, 231–243. [Google Scholar] [CrossRef]
- Concina, I.; Vomiero, A. Metal oxide semiconductors for dye- and quantum-dot-sensitized solar cells. Small 2015, 11, 1744–1774. [Google Scholar] [CrossRef]
- Sengül, H.; Theis, T.L. Life cycle inventory of semiconductor cadmium selenide quantum dots for environmental applications. In Nanotechnology Applications for Clean Water: Solutions for Improving Water Quality, 2nd ed.; William Andrew: Norwich, NY, USA, 2014; pp. 623–644. [Google Scholar] [CrossRef]
- Pathak, K.; Ahmad, M.Z.; Sahariah, J.J.; Sahariah, M.; Konwar, S.; Talukdar, B.; Das, A.; Borthakur, P.P.; Gogoi, A. Bioinspired nanocarriers for advanced drug delivery. Nano Express 2025, 6, 032001. [Google Scholar] [CrossRef]
- Chen, L.; Xiong, Z.; Liu, R.; Zhang, W. Bulk nanocomposites of thermoelectric materials. In Thermoelectrics and its Energy Harvesting: Materials, Preparation, and Characterization in Thermoelectrics; CRC Press: Boca Raton, FL, USA, 2018; pp. 3–1–3–18. [Google Scholar] [CrossRef]
- Chen, J.B.; Yousefi, H.; Nemr, C.R.; Gomis, S.; Atwal, R.; Labib, M.; Sargent, E.; Kelley, S.O. Nanostructured architectures for biomolecular detection inside and outside the cell. Adv. Funct. Mater. 2020, 30, 1907701. [Google Scholar] [CrossRef]
- Mishra, R.K.; Chianella, I.; Sarkar, J.; Yazdani Nezhad, H.; Goel, S. Nanostructured ZnO–CQD hybrid heterostructure nanocomposites: Synergistic engineering for sustainable design, functional properties, and high-performance applications. ChemNanoMat 2024, 10, e202400020. [Google Scholar] [CrossRef]
- Kim, M.R.; Xu, Z.; Chen, G.; Ma, D. Semiconductor and metallic core–shell nanostructures: Synthesis and applications in solar cells and catalysis. Chem.—Eur. J. 2014, 20, 11256–11275. [Google Scholar] [CrossRef] [PubMed]
- Queen, M.A.J.; Julit, Y.; Bright, K.C.; Dasan, A. An art of nanostructures in energy-efficient solar cell applications. In Green Technology and Smart Materials for Engineering Applications; Taylor & Francis: Abingdon, UK, 2025; pp. 174–187. [Google Scholar] [CrossRef]
- Jood, P.; Ohta, M.; Yamamoto, A.; Kanatzidis, M.G. Excessively doped PbTe with Ge-induced nanostructures enables high-efficiency thermoelectric modules. Joule 2018, 2, 1339–1355. [Google Scholar] [CrossRef]
- Peri, L.; Prete, D.; Demontis, V.; Zannier, V.; Rossi, F.; Sorba, L.; Beltram, F.; Rossella, F. Giant reduction of thermal conductivity and enhancement of thermoelectric performance in twinning superlattice InAsSb nanowires. Nano Energy 2022, 103, 107700. [Google Scholar] [CrossRef]
- Liu, M.; Ma, W. Enhanced thermoelectric performance of PbTe by embedding semiconducting nanoinclusions. Phys. Status Solidi (A) Appl. Mater. Sci. 2025, 222, 2500075. [Google Scholar] [CrossRef]
- Sharma, P.K.; Senguttuvan, T.D.; Sharma, V.K.; Patro, P.; Chaudhary, S. Effect of bismuth doping and SiCnanodispersion on the thermoelectric properties of solution-processed PbTe. J. Alloys Compd. 2022, 915, 165390. [Google Scholar] [CrossRef]
- Henadeera, P.; Samaraweera, N.; Ranasinghe, C.; Wijewardane, A. Notable thermoelectric performance of laterally arranged Si nanowires: Constriction engineering as a promising pathway. Silicon 2025, 17, 1717–1727. [Google Scholar] [CrossRef]
- Lian, H.; Kumar, A.; Ocelík, V.; Baas, J.; Momand, J.; Kooi, B.J.; Blake, G.R. Controlling phase separation in thermoelectric Pb1−xGexTe to minimize thermal conductivity. J. Mater. Chem. A 2021, 9, 12340–12349. [Google Scholar] [CrossRef]
- Yan, X.; Bauer, E.; Rogl, P.; Bernardi, J.; Prokofiev, A.; Paschen, S. Thermoelectric properties and stability of nanocomposites type I clathrate Ba–Cu–Si with SiC. Z. Für Anorg. Und Allg. Chem. 2020, 646, 1055–1061. [Google Scholar] [CrossRef]
- Nandihalli, N.; Wijethunge, D.; Kim, K.; Kim, J.; Gayner, C. High efficient nanostructured PbSe0.5Te0.5 exhibiting broad figure-of-merit plateau. J. Alloys Compd. 2019, 785, 862–870. [Google Scholar] [CrossRef]
- Nikolaidou, K.; Sarang, S.; Ghosh, S. Nanostructured photovoltaics. Nano Futures 2019, 3, 012002. [Google Scholar] [CrossRef]
- Lee, S.-M.; Kwong, A.; Jung, D.; Faucher, J.; Biswas, R.; Shen, L.; Kang, D.; Lee, M.L.; Yoon, J. High performance ultrathin GaAs solar cells enabled with heterogeneously integrated dielectric periodic nanostructures. ACS Nano 2015, 9, 10356–10365. [Google Scholar] [CrossRef]
- Chauhan, S.K.; Chauhan, V. Innovative materials for solar cells, photocatalysis, and hydrogen storage in renewable energy systems. In Innovations in Next-Generation Energy Storage Solutions; IGI Global Scientific Publishing: Hershey, PA, USA, 2025; pp. 289–316. [Google Scholar] [CrossRef]
- Hogan, T.P.; Downey, A.; Short, J.; D’Angelo, J.; Wu, C.-I.; Quarez, E.; Androulakis, J.; Poudeu, P.F.P.; Sootsman, J.R.; Chung, D.-Y.; et al. Nanostructured thermoelectric materials and high-efficiency power-generation modules. J. Electron. Mater. 2007, 36, 704–710. [Google Scholar] [CrossRef]
- Wang, F.; Wu, X.; Li, C.; Zhu, Y.; Fu, L.; Wu, Y.; Liu, X. Nanostructured positive electrode materials for post-lithium ion batteries. Energy Environ. Sci. 2016, 9, 3570–3611. [Google Scholar] [CrossRef]
- Hemanth, N.R.; Mohili, R.D.; Patel, M.; Jadhav, A.H.; Lee, K.; Chaudhari, N.K. Metallic nanosponges for energy storage and conversion applications. J. Mater. Chem. A 2022, 10, 14221–14246. [Google Scholar] [CrossRef]
- Liu, J.; Cao, G.; Yang, Z.; Wang, D.; Dubois, D.; Zhou, X.; Graff, G.L.; Pederson, L.R.; Zhang, J.-G. Oriented nanostructures for energy conversion and storage. ChemSusChem 2008, 1, 676–697. [Google Scholar] [CrossRef]
- Beigh, N.T.; Mallick, D. Optimization of ZnO/Su-8 based photopatternable, piezoelectric nano-composites for mechanical energy harvesting applications. In Proceedings of the 21st International Conference on Solid-State Sensors, Actuators and Microsystems (TRANSDUCERS 2021), Orlando, FL, USA, 20–24 June 2021; pp. 875–879. [Google Scholar] [CrossRef]
- Adhikari, C. High-efficiency nanostructured materials for flexible and wearable energy harvesting technologies. EPJ Web Conf. 2025, 325, 01002. [Google Scholar] [CrossRef]
- Cook, B. Silicon–Germanium: The legacy lives on. Energies 2022, 15, 2957. [Google Scholar] [CrossRef]
- Shi, L.; Jiang, J.; Zhang, G.; Li, B. High thermoelectric figure of merit in silicon-germanium superlattice structured nanowires. Appl. Phys. Lett. 2012, 101, 233114. [Google Scholar] [CrossRef]
- Welch, R.; Gubisch, S.; LeBlanc, S. Nano/microstructures and thermoelectric properties of silicon germanium manufactured using laser powder bed fusion. J. Mater. Process. Technol. 2025, 337, 118749. [Google Scholar] [CrossRef]
- Gadea, G.; Pacios, M.; Morata, Á.; Tarancón, A. Silicon-based nanostructures for integrated thermoelectric generators. J. Phys. D Appl. Phys. 2018, 51, 423001. [Google Scholar] [CrossRef]
- Morozova, N.V.; Korobeinikov, I.V.; Abrosimov, N.V.; Ovsyannikov, S.V. Controlling the thermoelectric power of silicon-germanium alloys in different crystalline phases by applying high pressure. CrystEngComm 2020, 22, 5416–5435. [Google Scholar] [CrossRef]
- Gupta, S.; Batra, Y. Advancements in Ge-based thermoelectric materials for efficient waste heat energy conversion: A comprehensive review. Phys. Scr. 2025, 100, 012004. [Google Scholar] [CrossRef]
- Gupta, S.; Sharma, M.; Batra, Y. Advancement of germanium-based thermoelectric materials: A bibliometric and network analysis. Phys. Scr. 2024, 99, 105051. [Google Scholar] [CrossRef]
- Latronico, G.; Asnaashari Eivari, H.; Mele, P.; Assadi, M.H.N. Insights into one-dimensional thermoelectric materials: A concise review of nanowires and nanotubes. Nanomaterials 2024, 14, 1272. [Google Scholar] [CrossRef]
- Dong, J.; Suwardi, A.; Tan, X.Y.; Jia, N.; Saglik, K.; Ji, R.; Wang, X.; Zhu, Q.; Xu, J.; Yan, Q. Challenges and opportunities in low-dimensional thermoelectric nanomaterials. Mater. Today 2023, 66, 137–157. [Google Scholar] [CrossRef]
- Xu, B.; Feng, T.; Li, Z.; Pantelides, S.T.; Wu, Y. Constructing highly porous thermoelectric monoliths with high-performance and improved portability from solution-synthesized shape-controlled nanocrystals. Nano Lett. 2018, 18, 4034–4039. [Google Scholar] [CrossRef] [PubMed]
- Neophytou, N.; Vargiamidis, V.; Foster, S.; Graziosi, P.; de Sousa Oliveira, L.; Chakraborty, D.; Li, Z.; Thesberg, M.; Kosina, H.; Bennett, N.; et al. Hierarchically nanostructured thermoelectric materials: Challenges and opportunities for improved power factors. Eur. Phys. J. B 2020, 93, 213. [Google Scholar] [CrossRef]
- Nakamura, Y.; Ishibe, T.; Taniguchi, T.; Terada, T.; Hosoda, R.; Sakane, S. Semiconductor nanostructure design for thermoelectric property control. Int. J. Nanosci. 2019, 18, 1940036. [Google Scholar] [CrossRef]
- Hu, H.; Sun, F.-H.; Dong, J.; Zhuang, H.-L.; Cai, B.; Pei, J.; Li, J.-F. Nanostructure engineering and performance enhancement in Fe2O3-dispersed Cu12Sb4S13 thermoelectric composites with earth-abundant elements. ACS Appl. Mater. Interfaces 2020, 12, 17852–17860. [Google Scholar] [CrossRef]
- Zhang, Y.; Wang, H.; Kräemer, S.; Shi, Y.; Zhang, F.; Snedaker, M.; Ding, K.; Moskovits, M.; Snyder, G.J.; Stucky, G.D. Surfactant-free synthesis of Bi2Te3–Te micro-nano heterostructure with enhanced thermoelectric figure of merit. ACS Nano 2011, 5, 3158–3165. [Google Scholar] [CrossRef]
- Bracht, H.; Eon, S.; Frieling, R.; Plech, A.; Issenmann, D.; Wolf, D.; Lundsgaard Hansen, J.; Nylandsted Larsen, A.; Ager, J.W., III; Haller, E.E. Thermal conductivity of isotopically controlled silicon nanostructures. New J. Phys. 2014, 16, 015021. [Google Scholar] [CrossRef]
- Zianni, X. Thermal conductivity engineering in width-modulated silicon nanowires and thermoelectric efficiency enhancement. J. Phys. D Appl. Phys. 2018, 51, 114003. [Google Scholar] [CrossRef]
- Kim, H.-J.; King, G.C.; Park, Y.; Lee, K.; Choi, S.H. Thermoelectric performance enhancement by surrounding crystalline semiconductors with metallic nanoparticles. In Proceedings of the 9th Annual International Energy Conversion Engineering Conference (IECEC 2011); AIAA: Reston, VA, USA, 2011. [Google Scholar] [CrossRef]
- Peng, Y.; Miao, L.; Li, C.; Huang, R.; Urushihara, D.; Asaka, T.; Nakatsuka, O.; Tanemura, S. Improved thermoelectric property of B-doped Si/Ge multilayered quantum dot films prepared by RF magnetron sputtering. Jpn. J. Appl. Phys. 2018, 57, 01AF03. [Google Scholar] [CrossRef]
- Khan, A.U.; Kobayashi, K.; Tang, D.-M.; Yamauchi, Y.; Hasegawa, K.; Mitome, M.; Xue, Y.; Jiang, B.; Tsuchiya, K.; Golberg, D.; et al. Nano-micro-porous skutterudites with 100% enhancement in ZT for high performance thermoelectricity. Nano Energy 2017, 31, 152–159. [Google Scholar] [CrossRef]
- Deng, Q.; Zhang, F.; Nan, P.; Zhang, Z.; Gan, L.; Chen, Z.; Ge, B.; Dong, H.; Mao, H.; Ang, R. Unique semi-coherent nanostructure advancing thermoelectrics of n-type PbSe. Adv. Funct. Mater. 2024, 34, 2310073. [Google Scholar] [CrossRef]
- Huo, L.-H.; Xie, G.-F. Mechanism of phonon scattering by under-coordinated atoms on surface. WuliXuebao/Acta Phys. Sin. 2019, 68, 086501. [Google Scholar] [CrossRef]
- Neogi, S.; Reparaz, J.S.; Pereira, L.F.C.; Graczykowski, B.; Wagner, M.R.; Sledzinska, M.; Shchepetov, A.; Prunnila, M.; Ahopelto, J.; Sotomayor-Torres, C.M.; et al. Tuning thermal transport in ultrathin silicon membranes by surface nanoscale engineering. ACS Nano 2015, 9, 3820–3828. [Google Scholar] [CrossRef]
- Aksamija, Z.; Knezevic, I. Thermoelectric properties of silicon nanostructures. In Proceedings of the 2010 10th IEEE Conference on Nanotechnology (NANO 2010), Ilsan, Republic of Korea, 17–20 August 2010; pp. 806–810. [Google Scholar] [CrossRef]
- Oxandale, S.W.; Reinke, C.; Das, S.R.; El-Kady, I. Enhanced thermoelectric performance via quantum confinement in a metal oxide semiconductor field effect transistor for thermal management. Commun. Mater. 2023, 4, 85. [Google Scholar] [CrossRef]
- Hong, S.; Park, J.; Jeon, S.G.; Kim, K.; Park, S.H.; Shin, H.S.; Kim, B.; Jeon, S.; Song, J.Y. Monolithic Bi1.5Sb0.5Te3 ternary alloys with a periodic 3D nanostructure for enhancing thermoelectric performance. J. Mater. Chem. C 2017, 5, 8974–8980. [Google Scholar] [CrossRef]
- Mohamadi, M.; Mehrabian, M.A.; Raisi, A. Numerical study of thermal conductivity reduction in nanolayered Si-Ge structures by solving the equation of phonon radiative transfer. J. Serbian Soc. Comput. Mech. 2017, 11, 29–45. [Google Scholar] [CrossRef]
- Li, S.; Xin, C.; Liu, X.; Feng, Y.; Liu, Y.; Zheng, J.; Liu, F.; Huang, Q.; Qiu, Y.; He, J.; et al. 2D hetero-nanosheets to enable ultralow thermal conductivity by all scale phonon scattering for highly thermoelectric performance. Nano Energy 2016, 30, 780–789. [Google Scholar] [CrossRef]
- Lee, H.; Vashaee, D.; Wang, X.; Wang, D.; Joshi, G.; Ren, Z.; Zhu, G.; Bux, S.; Gogna, P.; Fleurial, J.-P.; et al. Thermoelectric Transport In Silicon Germanium Nanocomposite. In International Mechanical Engineering Congress and Exposition; ASME International Mechanical Engineering Congress and Exposition, Proceedings: New York, NY, USA, 2009; Volume 13, pp. 1151–1156. [Google Scholar] [CrossRef]
- Bux, S.K.; Blair, R.G.; Gogna, P.K.; Lee, H.; Chen, G.; Dresselhaus, M.S.; Kaner, R.B.; Fleurial, J.-P. Nanostructured bulk silicon as an effective thermoelectric material. Adv. Funct. Mater. 2009, 19, 2445–2452. [Google Scholar] [CrossRef]
- Kovalenko, M.V.; Spokoyny, B.; Lee, J.-S.; Scheele, M.; Weber, A.; Perera, S.; Landry, D.; Talapin, D.V. Semiconductor nanocrystals functionalized with antimony telluride Zintl ions for nanostructured thermoelectrics. J. Am. Chem. Soc. 2010, 132, 6686–6695. [Google Scholar] [CrossRef]
- Tayebi, L.; Zamanipour, Z.; Mozafari, M.; Norouzzadeh, P.; Krasinski, J.S.; Ede, K.F.; Vashaee, D. Thermal and thermoelectric properties of nanostructured versus crystalline SiGe. In Proceedings of the 2012 IEEE Green Technologies Conference, Tulsa, OK, USA, 19–20 April 2012. [Google Scholar] [CrossRef]
- Channegowda, M.; Mulla, R.; Nagaraj, Y.; Lokesh, S.; Nayak, S.; Mudhulu, S.; Rastogi, C.K.; Dunnill, C.W.; Rajan, H.K.; Khosla, A. Comprehensive insights into synthesis, structural features, and thermoelectric properties of high-performance inorganic chalcogenide nanomaterials for conversion of waste heat to electricity. ACS Appl. Energy Mater. 2022, 5, 7913–7943. [Google Scholar] [CrossRef]
- Hao, S.; Dravid, V.P.; Kanatzidis, M.G.; Wolverton, C. Computational strategies for design and discovery of nanostructured thermoelectrics. npj Comput. Mater. 2019, 5, 58. [Google Scholar] [CrossRef]
- Singh, R.; Dogra, S.; Dixit, S.; Vatin, N.I.; Bhardwaj, R.; Sundramoorthy, A.K.; Perera, H.C.S.; Patole, S.P.; Mishra, R.K.; Arya, S. Advancements in thermoelectric materials for efficient waste heat recovery and renewable energy generation. Hybrid Adv. 2024, 5, 100176. [Google Scholar] [CrossRef]
- Ginting, D.; Lin, C.-C.; Rhyee, J.-S. Synergetic approach for superior thermoelectric performance in PbTe-PbSe-PbS quaternary alloys and composites. Energies 2019, 13, 72. [Google Scholar] [CrossRef]
- Hendricks, T.; Caillat, T.; Mori, T. Keynote review of latest advances in thermoelectric generation materials, devices, and technologies 2022. Energies 2022, 15, 7307. [Google Scholar] [CrossRef]
- Tan, G.; Zhao, L.-D.; Kanatzidis, M.G. Rationally designing high-performance bulk thermoelectric materials. Chem. Rev. 2016, 116, 12123–12149. [Google Scholar] [CrossRef]
- Sinnarasa, I.; Thimont, Y.; Presmanes, L.; Barnabé, A.; Tailhades, P. Determination of modified figure of merit validity for thermoelectric thin films with heat transfer model: Case of CuCrO2:Mg deposited on fused silica. J. Appl. Phys. 2018, 124, 165306. [Google Scholar] [CrossRef]
- Ren, G.; Lan, J.; Zeng, C.; Liu, Y.; Zhan, B.; Butt, S.; Lin, Y.-H.; Nan, C.-W. High performance oxides-based thermoelectric materials. JOM 2015, 67, 211–221. [Google Scholar] [CrossRef]
- Gruen, D.M. The potential of nano structured carbons as high efficiency, high temperature thermoelectric materials for power generation. In Proceedings of the 2006 6th IEEE Conference on Nanotechnology, IEEE-NANO 2006, Cincinnati, OH, USA, 17–20 July 2006; Volume 1, p. 206. [Google Scholar] [CrossRef]
- dos Santos-Gómez, L.; Zamudio-García, J.; Porras-Vázquez, J.M.; Losilla, E.R.; Marrero-López, D. Nanostructured BaCo0.4Fe0.4Zr0.1Y0.1O3-δ Cathodes with Different Microstructural Architectures. Nanomaterials 2020, 10, 1055. [Google Scholar] [CrossRef]
- Sojo-Gordillo, J.M.; Kaur, Y.; Pacios-Pujadó, M.; de Vito, G.; Tachikawa, S.; Morata, A.; Zardo, I. Thermoelectric properties of stressed p-doped polycrystalline silicon hollow nanotubes. In Proceedings of the ASME 2024 7th International Conference on Micro/Nanoscale Heat and Mass Transfer (MNHMT 2024), Nottingham, UK, 5–7 August 2024. [Google Scholar] [CrossRef]
- Rowe, M.P.; Zhou, L.Q.; Banerjee, D.; Zhang, M. Improvement of the thermoelectric figure-of-merit of a doped telluride nanocomposite by combining phonon scattering with grain boundary-modifying Zn-containing nanostructures. J. Electron. Mater. 2015, 44, 425–430. [Google Scholar] [CrossRef]
- Lee, D.; Kim, I.H.; Jeong, Y.J. Stirring-assisted hydrothermal synthesis on Sb2Te3 nanostructures for thermoelectric energy conversion. J. Electron. Mater. 2025, 54, 4478–4484. [Google Scholar] [CrossRef]
- Capello, C.R.; Masci, A.; Dimaggio, E.; Pennelli, G. Nanostructured silicon for high-efficient and cost-effective heat recovery through thermoelectric conversion. In Proceedings of the IEEE Conference on Nanotechnology, Gijon, Spain, 8–11 July 2024; pp. 175–179. [Google Scholar] [CrossRef]
- Wu, Y.; Chen, Z.; Zhang, P.; Liu, W.; Liu, D.; Ming, T. Multi-factor design of radioisotope thermoelectric generators: An extensive review. Appl. Therm. Eng. 2025, 280, 128045. [Google Scholar] [CrossRef]
- Fu, Y.; Zhang, Q.; Hu, Z.; Jiang, M.; Huang, A.; Ai, X.; Wan, S.; Reith, H.; Wang, L.; Nielsch, K.; et al. Mg3(Bi,Sb)2-based thermoelectric modules for efficient and reliable waste-heat utilization up to 750 K. Energy Environ. Sci. 2022, 15, 3265–3274. [Google Scholar] [CrossRef]
- Lesage, F.J.; Sempels, É.V.; Lalande-Bertrand, N. A study on heat transfer enhancement using flow channel inserts for thermoelectric power generation. Energy Convers. Manag. 2013, 75, 532–541. [Google Scholar] [CrossRef]
- Chandel, R.; Singh Chandel, S.; Prasad, D.; Prakash Dwivedi, R. Review on thermoelectric systems for enhancing photovoltaic power generation. Sustain. Energy Technol. Assess. 2022, 53, 102585. [Google Scholar] [CrossRef]
- Dallan, B.S.; Schumann, J.; Lesage, F.J. Performance evaluation of a photoelectric-thermoelectric cogeneration hybrid system. Sol. Energy 2015, 118, 276–285. [Google Scholar] [CrossRef]
- Jovanovic, V.; Ghamaty, S.; Bass, J.C.; Krommenhoek, D. Novel nano-structured high-performance thermoelectric materials and devices. In ASME 2011 International Mechanical Engineering Congress and Exposition, IMECE 2011; ASME: New York, NY, USA, 2011; Volume 11, pp. 375–384. [Google Scholar] [CrossRef]
- Mahajan, S.B.; Pierce, R.D.; Stevens, R.J. Characterizing high temperature thermoelectric modules. In ASME International Mechanical Engineering Congress and Exposition, Proceedings (IMECE); ASME: New York, NY, USA, 2013; Volume 6A. [Google Scholar] [CrossRef]
- Sandoz-Rosado, E.; Stevens, R. Robust finite element model for the design of thermoelectric modules. J. Electron. Mater. 2010, 39, 1848–1855. [Google Scholar] [CrossRef]
- Lv, S.; Qian, Z.; Hu, D.; Li, X.; He, W. A comprehensive review of strategies and approaches for enhancing the performance of thermoelectric module. Energies 2020, 13, 3142. [Google Scholar] [CrossRef]
- Lemine, A.S.; Bhadra, J.; Al-Thani, N.J.; Ahmad, Z. Promising transparent and flexible thermoelectric modules based on p-type CuI thin films-A review. Energy Rep. 2022, 8, 11607–11637. [Google Scholar] [CrossRef]
- Murmu, P.P.; Kennedy, J. Energy harvesting from ambient heat sources using thermoelectric generator—A modelling study. Mater. Today Proc. 2023, in press. [Google Scholar] [CrossRef]
- Sanin-Villa, D. Recent developments in thermoelectric generation: A review. Sustainability 2022, 14, 16821. [Google Scholar] [CrossRef]
- Ivanova, L.D. Thermoelectric materials for different temperature levels. Semiconductors 2017, 51, 909–912. [Google Scholar] [CrossRef]
- Ramadan, R.; Martín-Palma, R.J. The impact of nanostructured silicon and hybrid materials on the thermoelectric performance of thermoelectric devices: Review. Energies 2022, 15, 5363. [Google Scholar] [CrossRef]
- Holder, C.F.; Rugen, E.E.; Anderson, M.E. Comparative growth mechanism study for two thermoelectric compounds. Nanomater. Energy 2014, 3, 206–214. [Google Scholar] [CrossRef]
- Ikeda, T.; Ravi, V.; Collins, L.A.; Haile, S.M.; Snyder, G.J. Development of nanostructures in thermoelectric Pb-Te-Sb alloys. In Proceedings of the International Conference on Thermoelectrics (ICT), Vienna, Austria, 6–10 August 2006; pp. 172–175. [Google Scholar] [CrossRef]
- Xiao, F.; Hangarter, C.; Yoo, B.; Rheem, Y.; Lee, K.-H.; Myung, N.V. Recent progress in electrodeposition of thermoelectric thin films and nanostructures. Electrochim. Acta 2008, 53, 8103–8117. [Google Scholar] [CrossRef]
- Pérez-Page, M.; Yu, E.; Li, J.; Rahman, M.; Dryden, D.M.; Vidu, R.; Stroeve, P. Template-based syntheses for shape controlled nanostructures. Adv. Colloid Interface Sci. 2016, 234, 51–79. [Google Scholar] [CrossRef] [PubMed]
- Chen, L.; Xiong, Z.; Liu, R.; Zhang, W. Bulk nanocomposites of thermoelectric materials. In Modules, Systems, and Applications in Thermoelectrics; CRC Press: Boca Raton, FL, USA, 2012; pp. 3–1–3–18. [Google Scholar] [CrossRef]
- Kocevski, V.; Wolverton, C. Designing high-efficiency nanostructured two-phase Heusler thermoelectrics. Chem. Mater. 2017, 29, 9386–9398. [Google Scholar] [CrossRef]
- Zhang, G.; Yu, Q.; Li, X. Wet chemical synthesis and thermoelectric properties of V–VI one- and two-dimensional nanostructures. Dalton Trans. 2010, 39, 993–1004. [Google Scholar] [CrossRef]
- Sojo Gordillo, J.M.; Morata, A.; Duque Sierra, C.; Salleras, M.; Fonseca, L.; Tarancón, A. Recent advances in silicon-based nanostructures for thermoelectric applications. APL Mater. 2023, 11, 040702. [Google Scholar] [CrossRef]
- Lan, Y.; Wang, X.; Wang, C.; Zebarjadi, M. Organic/inorganic hybrid nanostructured materials for thermoelectric energy conversion. In Functional Organic and Hybrid Nanostructured Materials: Fabrication, Properties, and Applications; Wiley: Hoboken, NJ, USA, 2018; pp. 445–484. [Google Scholar] [CrossRef]
- Chryssikos, D.; Heigl, M.; Kounoupioti, E.; Neumeier, K.; Wieland, R.; Tornow, M. Scalable fabrication of metallic nanogaps using CMOS-based 10 nm spacer lithography. In Proceedings of the IEEE Conference on Nanotechnology, Palma de Mallorca, Spain, 4–8 July 2022; Volume 2022, pp. 234–237. [Google Scholar] [CrossRef]
- Zhou, Z.; Li, Z.; Zhang, W.; Bian, Y.; Qiu, X.; Huang, L.; Chen, M. Micro-nano additive manufacturing for advanced electronic packaging of singulated chips. Mater. Today Electron. 2025, 13, 100168. [Google Scholar] [CrossRef]
- Wei, J.; Wong, C.K. Physical and chemical nanolithography techniques: Challenges and prospects. Int. J. Nanosci. 2005, 4, 575–585. [Google Scholar] [CrossRef]
- Cakirlar, C.; Galderisi, G.; Beyer, C.; Simon, M.; Mikolajick, T.; Trommer, J. Challenges in electron beam lithography of silicon nanostructures. In Proceedings of the IEEE Conference on Nanotechnology, Palma de Mallorca, Spain, 4–8 July 2022; Volume 2022, pp. 207–210. [Google Scholar] [CrossRef]
- Ahmed, U.F.; Wyatt-Moon, G.S.; Flewitt, A.J. “Nano-in-nano” Schottky diodes fabricated by combining self-aligned nanogap patterning with bottom-up ZnO nanowire growth. ACS Appl. Electron. Mater. 2025, 7, 143–149. [Google Scholar] [CrossRef]
- Awan, T.I.; Irfan, M.; Ijaz, M.; Bashir, A.; Tehseen, A.; Afsheen, S. Fabricating Nanostructures. Chem. Nanomater. Fundam. Appl. 2020, 2020, 153–175. [Google Scholar] [CrossRef]
- Nakamura, Y. Nanostructure design for drastic reduction of thermal conductivity while preserving high electrical conductivity. Sci. Technol. Adv. Mater. 2018, 19, 31–43. [Google Scholar] [CrossRef]
- Sestoft, J.E.; Gejl, A.N.; Kanne, T.; Schlosser, R.D.; Ross, D.; Kjær, D.; Grove-Rasmussen, K.; Nygård, J. Scalable platform for nanocrystal-based quantum electronics. Adv. Funct. Mater. 2022, 32, 2112941. [Google Scholar] [CrossRef]
- Coulon, P.-M.; Damilano, B.; Alloing, B.; Chausse, P.; Walde, S.; Enslin, J.; Armstrong, R.; Vézian, S.; Hagedorn, S.; Wernicke, T.; et al. Displacement Talbot lithography for nano-engineering of III-nitride materials. Microsyst. Nanoeng. 2019, 5, 52. [Google Scholar] [CrossRef] [PubMed]
- Yu, J.S.; Ko, Y.H. Metal-oxide semiconductor nanostructures for energy and sensing applications. In Proceedings of SPIE-The International Society for Optical Engineering; SPIE: San Francisco, CA, USA, 2014; Volume 8987. [Google Scholar] [CrossRef]
- Park, Y.; Tikhomirov, G. Nanometer-precise DSA with DNA. In Proceedings of SPIE-The International Society for Optical Engineering; SPIE: San Francisco, CA, USA, 2025; Volume 13427. [Google Scholar] [CrossRef]
- Füchsel, K.; Kroll, M.; Käsebier, T.; Otto, M.; Pertsch, T.; Kley, E.-B.; Wehrspohn, R.B.; Kaiser, N.; Tünnermann, A. Black silicon photovoltaics. In Proceedings of SPIE-The International Society for Optical Engineering; SPIE: San Francisco, CA, USA, 2012; Volume 8438. [Google Scholar] [CrossRef]
- Honsberg, C.B.; Barnett, A.M.; Kirkpatrick, D. Nanostructured solar cells for high efficiency photovoltaics. In Conference Record of the 2006 IEEE 4th World Conference on Photovoltaic Energy Conversion (WCPEC-4); IEEE: Piscataway, NJ, USA, 2006; Volume 2, pp. 2565–2568. [Google Scholar] [CrossRef]
- Zhou, H.; Qu, Y.; Zeid, T.; Duan, X. Towards highly efficient photocatalysts using semiconductor nanoarchitectures. Energy Environ. Sci. 2012, 5, 6732–6743. [Google Scholar] [CrossRef]
- Li, J.; Gai, Y.; Kang, J.; Li, S.-S.; Xia, J.-B. Doping mechanism in novel semiconductor materials. KexueTongbao/Chin. Sci. Bull. 2018, 63, 365–370. [Google Scholar] [CrossRef][Green Version]
- Tchernycheva, M.; Jacopin, G.; Piazza, V. Characterisation of semiconductor nanowires by electron beam induced microscopy and cathodoluminescence. In Fundamental Properties of Semiconductor Nanowires; Springer: Berlin/Heidelberg, Germany, 2020; pp. 251–288. [Google Scholar] [CrossRef]
- Ye, M.; Lv, M.; Chen, C.; Iocozzia, J.; Lin, C.; Lin, Z. Design, fabrication, and modification of cost-effective nanostructured TiO2 for solar energy applications. In Green Energy and Technology; Springer: Berlin/Heidelberg, Germany, 2014; pp. 9–54. [Google Scholar] [CrossRef]
- Rao, C.S.; Kumar, G.V.; Babu, V.A.; Chaitanya, G. Advances in hybrid nanocomposites for solar applications and photo catalysis: A comprehensive review. SSRG Int. J. Electr. Electron. Eng. 2025, 12, 143–154. [Google Scholar] [CrossRef]
- Yu, Y.; Wang, X. Semiconductor nanowires for energy harvesting. Semicond. Semimet. 2016, 94, 297–368. [Google Scholar] [CrossRef]
- Camargo, F.V.A.; Nagahara, T.; Ben-Shahar, Y.; Russo, M.; Banin, U.; Cerullo, G. Exciton relaxation pathways in CdSe nanorods revealed by two-dimensional electronic spectroscopy. In Proceedings of the 2019 Conference on Lasers and Electro-Optics Europe and European Quantum Electronics Conference (CLEO/Europe–EQEC), Munich, Germany, 23–27 June 2019. [Google Scholar] [CrossRef]
- Mao, S.S.; Shen, S.; Guo, L. Nanomaterials for renewable hydrogen production, storage and utilization. Prog. Nat. Sci. Mater. Int. 2012, 22, 522–534. [Google Scholar] [CrossRef]
- Mangaiyarkkarasi, J.; Shanthalakshmi Revathy, J. Nanostructural innovations: Powering the future of energy storage. In Design, Fabrication, and Significance of Advanced Nanostructured Materials; IGI Global Scientific Publishing: Hershey, PA, USA, 2024; pp. 51–74. [Google Scholar] [CrossRef]
- Elezz, M.A.; Aboeleneen, N.M.; Abd-ElMonem, N.M.; Sorour, F.H. A comprehensive review: Functional nanomaterials for renewable energy, Innovations, applications, and sustainable strategies. Next Mater. 2025, 9, 101001. [Google Scholar] [CrossRef]
- Mausam, K.; Nagabhooshanam, N.; Madhu, B.; Banoth, R.; Lavanya, V.U.P.; Rajendran, A.; Rajaram, A. Enhancing energy harvesting efficiency from ambient sources through advanced materials and nanotechnology. Glob. Nest J. 2025, 27, 1–12. [Google Scholar] [CrossRef]
- Bai, J.; Hao, M.; Han, X.; Zhou, P.; Yao, H.; Bian, L.; Yang, G.; Liang, J.; Laine, R.M.; Wang, F. Halloysite-derived hierarchical cobalt silicate hydroxide hollow nanorods assembled by nanosheets for highly efficient electrocatalytic oxygen evolution reaction. J. Mater. Sci. Technol. 2025, 216, 139–149. [Google Scholar] [CrossRef]
- Chowdhury, A.R.; Jaksik, J.; Hussain, I.; Longoria, R.; Faruque, O.; Cesano, F.; Scarano, D.; Parsons, J.; Uddin, M.J. Multicomponent nanostructured materials and interfaces for efficient piezoelectricity. Nano-Struct. Nano-Objects 2019, 17, 148–184. [Google Scholar] [CrossRef]
- Corrado, A.; Polini, W. Measurement of high flexibility components in composite material by touch probe and force sensing resistors. J. Manuf. Process. 2019, 45, 520–531. [Google Scholar] [CrossRef]
- Mishra, S.; Rajaboina, R.K.; Jho, Y.-D. Review on the hierarchical improvement of zinc sulfide-based nanogenerator systems and their various IoT applications. ACS Appl. Energy Mater. 2025, 8, 1918–1941. [Google Scholar] [CrossRef]
- Briscoe, J.; Dunn, S. Piezoelectric nanogenerators—A review of nanostructured piezoelectric energy harvesters. Nano Energy 2014, 14, 15–29. [Google Scholar] [CrossRef]
- Hao, M.; Li, H.; Cui, L.; Liu, W.; Fang, B.; Liang, J.; Xie, X.; Wang, D. Higher photocatalytic removal of organic pollutants using pangolin-like composites made of 3–4 atomic layers of MoS2 nanosheets deposited on tourmaline. Environ. Chem. Lett 2021, 19, 3573–3582. [Google Scholar] [CrossRef]
- Tahir, M.B.; Abrar, M.; Tehseen, A.; Awan, T.I.; Bashir, A.; Nabi, G. Nanotechnology: The road ahead. In Chemistry of Nanomaterials: Fundamentals and Applications; Elsevier: Amsterdam, The Netherlands, 2020; pp. 289–308. [Google Scholar] [CrossRef]





| Property | Material | Thermal Conductivity | Electrical Conductivity | Seebeck Coefficient | Figure of Merit (ZT) |
|---|---|---|---|---|---|
| Low Thermal Conductivity | III–V Semiconductor Nanowires | Drastically reduced due to twinning superlattice [15] | Unaltered | Unaltered | Tenfold enhancement |
| High ZT | PbTe-based Thermoelectrics | Reduced by Ge nanoprecipitates [14] | Enhanced by Na doping | High | 1.9 at 805 K |
| Low Thermal Conductivity | SiGe Nanocomposites | Reduced due to phonon scattering [58] | Comparable to bulk | Enhanced | High |
| Low Thermal Conductivity | PbTe-GeTe Alloys | Reduced by spinodal decomposition [19] | Comparable to bulk | Enhanced | High |
| High ZT | PbTe0.5Se0.5 | Low due to nanostructures [21] | Low | High | 0.7 (400–600 K) |
| Low Thermal Conductivity | Nanostructured Bulk Si | Reduced by nanostructuring [59] | Limited degradation | Enhanced | 3.5× higher |
| High ZT | Bi2SbxTe3 Alloys | Reduced by nanostructuring [60] | Enhanced by Zintl ions | High | High |
| Low Thermal Conductivity | Nanostructured SiGe | Reduced due to grain boundary scattering [61] | Lower | Higher | High |
| High ZT | Metal Selenides and Tellurides | Reduced by nanostructuring [62] | Enhanced by doping/alloying | High | High |
| Low Thermal Conductivity | Nanostructured Ceramics | Reduced by grain growth prevention [19] | Comparable to bulk | Enhanced | High |
| Material System | ZT Value | Seebeck Coefficient (µV/K) | Thermal Conductivity (W/m·K) | Remarks |
|---|---|---|---|---|
| PbTe-based materials | ~1.9 | ~200 | ~2 | Mid-temperature performance; nanostructuring and band convergence [64,65] |
| GeTe | ~2.0 | ~220 | ~1.5 | Used in thermoelectric modules; phase tuning and doping [66] |
| Mg3(Sb,Bi)2 | ~2.0 | ~250 | ~1.2 | High ZT via electron filtering and alloy scattering [66] |
| SnSe (single crystal) | >2.0 | ~500 | ~0.4 | Record-low κ due to anharmonic bonding [67] |
| SiGe-based nanocomposites | ~1.3 | ~150 | ~2 | Interface and alloy scattering reduce thermal transport [58] |
| CuCrO2:Mg thin films | ~0.02 | ~60 | >5 | Demonstrates limitations in oxide thin films [68] |
| PbTe–PbSe–PbS quaternary | ~2.3 | ~250 | ~1.5 | Band convergence with nanoscale inclusions [65] |
| Oxide-based thermoelectrics | 0.1–0.4 | ~100 | 5–10 | Electrically resistive but thermally stable [69] |
| UNCD nanomaterials | ~10 (theoretical) | ~1000 | ~0.1 | Theoretical high ZT via extreme boundary scattering [70] |
Disclaimer/Publisher’s Note: The statements, opinions and data contained in all publications are solely those of the individual author(s) and contributor(s) and not of MDPI and/or the editor(s). MDPI and/or the editor(s) disclaim responsibility for any injury to people or property resulting from any ideas, methods, instructions or products referred to in the content. |
© 2026 by the authors. Licensee MDPI, Basel, Switzerland. This article is an open access article distributed under the terms and conditions of the Creative Commons Attribution (CC BY) license (https://creativecommons.org/licenses/by/4.0/).
Share and Cite
Boro, P.R.; Deka, R.; Sarmah, P.; Borthakur, P.P.; Medhi, N. Nanostructured Semiconductors for Enhanced Waste Heat-to-Electricity Conversion. Mater. Proc. 2025, 25, 21. https://doi.org/10.3390/materproc2025025021
Boro PR, Deka R, Sarmah P, Borthakur PP, Medhi N. Nanostructured Semiconductors for Enhanced Waste Heat-to-Electricity Conversion. Materials Proceedings. 2025; 25(1):21. https://doi.org/10.3390/materproc2025025021
Chicago/Turabian StyleBoro, Pabina Rani, Rupam Deka, Pranjal Sarmah, Partha Protim Borthakur, and Nayan Medhi. 2025. "Nanostructured Semiconductors for Enhanced Waste Heat-to-Electricity Conversion" Materials Proceedings 25, no. 1: 21. https://doi.org/10.3390/materproc2025025021
APA StyleBoro, P. R., Deka, R., Sarmah, P., Borthakur, P. P., & Medhi, N. (2025). Nanostructured Semiconductors for Enhanced Waste Heat-to-Electricity Conversion. Materials Proceedings, 25(1), 21. https://doi.org/10.3390/materproc2025025021
