Sign in to use this feature.

Years

Between: -

Subjects

remove_circle_outline
remove_circle_outline
remove_circle_outline
remove_circle_outline
remove_circle_outline
remove_circle_outline
remove_circle_outline
remove_circle_outline
remove_circle_outline

Journals

remove_circle_outline
remove_circle_outline
remove_circle_outline
remove_circle_outline
remove_circle_outline
remove_circle_outline
remove_circle_outline
remove_circle_outline
remove_circle_outline
remove_circle_outline
remove_circle_outline
remove_circle_outline
remove_circle_outline

Article Types

Countries / Regions

remove_circle_outline
remove_circle_outline
remove_circle_outline
remove_circle_outline
remove_circle_outline

Search Results (1,241)

Search Parameters:
Keywords = driver heterogeneity

Order results
Result details
Results per page
Select all
Export citation of selected articles as:
30 pages, 2750 KB  
Article
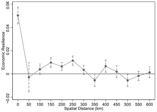
Does New-Type Consumption Enhance Urban Economic Resilience? Evidence from China’s Information Consumption Pilot Policy
by Ling Wang and Mingyao Wu
Sustainability 2025, 17(22), 10165; https://doi.org/10.3390/su172210165 (registering DOI) - 13 Nov 2025
Abstract
Against the backdrop of frequent internal and external shocks, as a core driver of the consumption segment in the digital economy, the impact mechanism and actual effectiveness of information consumption on urban economic resilience urgently require systematic exploration. Based on panel data of [...] Read more.
Against the backdrop of frequent internal and external shocks, as a core driver of the consumption segment in the digital economy, the impact mechanism and actual effectiveness of information consumption on urban economic resilience urgently require systematic exploration. Based on panel data of 280 prefecture-level cities in China from 2010 to 2022, this study treats the information consumption pilot policy as a quasi-natural experiment and employs a multi-period Difference-in-Differences (DID) method to empirically examine the policy’s impact on urban economic resilience and its internal mechanisms. The results show that the information consumption pilot policy significantly enhances urban economic resilience, with a policy effect coefficient of 0.084, and this conclusion remains robust after multiple robustness tests. Mechanistic analysis indicates that the policy indirectly strengthens urban economic resilience by promoting consumption growth, stimulating technological innovation, and improving human capital. Meanwhile, the level of digital infrastructure plays a positive moderating role in the policy effect. Heterogeneity analysis finds that the policy has a more pronounced effect of enhancing economic resilience on cities with larger population sizes, higher economic density, and non-resource-dependent characteristics. Further extended research confirms that the information consumption pilot policy exhibits a significant spatial spillover effect on urban economic resilience, and this spillover effect presents a phased characteristic of “resource homogeneous competition → positive synergistic driving → cross-regional resource siphoning → spatial attenuation of the effect” with changes in geographical distance. Full article
Show Figures

Figure 1

22 pages, 16635 KB  
Article
Trade-Offs and Synergies and Ecosystem Service Bundles of Long-Term Ecosystem Services in Xiong’an New Area, China
by Guangming Zhang, Jiafan Li, Yajie Zhang, Jinsong Liang and Panyue Zhang
Sustainability 2025, 17(22), 10146; https://doi.org/10.3390/su172210146 - 13 Nov 2025
Abstract
Understanding interactions among ecosystem services (ESs) is vital for ecological conservation and governance. As a newly established national-level New Area in China, Xiong’an New Area holds significant ecological importance. This study first explores its long-term spatiotemporal changes in ESs using an “assessment-attribution-correlation-zoning” framework. [...] Read more.
Understanding interactions among ecosystem services (ESs) is vital for ecological conservation and governance. As a newly established national-level New Area in China, Xiong’an New Area holds significant ecological importance. This study first explores its long-term spatiotemporal changes in ESs using an “assessment-attribution-correlation-zoning” framework. Results show that net primary productivity (NPP) remained stable from 1990 to 2023; soil conservation (SC) and habitat quality (HQ) improved from 2018 to 2023; carbon storage (CS) declined significantly from 2010 to 2015; and water yield (WY) decreased continuously from 1990 to 2023. Rainfall was the key natural driver, while GDP and road network density were critical anthropogenic factors. Correlations among the five ESs weakened: synergies between soil conservation–water yield, soil conservation–carbon storage, soil conservation–habitat quality, water yield–carbon storage, and habitat quality–carbon storage diminished, and the water yield–habitat quality synergy turned into a trade-off. Spatial autocorrelation analysis revealed significant spatial heterogeneity in ESs. Carbon storage–habitat quality, carbon storage–soil conservation, habitat quality–soil conservation, net primary productivity–habitat quality, water yield–soil conservation, and net primary productivity–water yield showed low-low clustering; net primary productivity–carbon storage, net primary productivity–soil conservation, and water yield–habitat quality exhibited low-high clustering; and water yield–carbon storage showed high-high clustering. Finally, ESs were classified into six bundles via self-organizing maps, with the carbon–ecology maintenance bundle being the largest. These findings provide a basis for scientific ecosystem management and sustainable development in Xiong’an. Full article
(This article belongs to the Section Sustainable Urban and Rural Development)
Show Figures

Figure 1

23 pages, 1551 KB  
Review
Recent Advances in nccRCC Classification and Therapeutic Approaches
by Hewei Wang, Yiyuan Chang, Kaiyan Wang and Rong Liu
Cells 2025, 14(22), 1781; https://doi.org/10.3390/cells14221781 - 13 Nov 2025
Abstract
Non-clear cell renal cell carcinoma (nccRCC) constitutes a biologically diverse category of renal malignancies. The 2022 WHO classification framework has significantly evolved to incorporate molecularly defined entities alongside traditional histologic subtypes, reflecting the growing recognition of distinct pathogenic drivers. Current therapeutic paradigms for [...] Read more.
Non-clear cell renal cell carcinoma (nccRCC) constitutes a biologically diverse category of renal malignancies. The 2022 WHO classification framework has significantly evolved to incorporate molecularly defined entities alongside traditional histologic subtypes, reflecting the growing recognition of distinct pathogenic drivers. Current therapeutic paradigms for advanced disease remain suboptimal, with treatment strategies often extrapolated from clear cell renal cell carcinoma (ccRCC). In this review, we highlight transformative multi-omics approaches to address nccRCC’s profound heterogeneity, which enables molecular stratification beyond conventional pathology, identifying novel subtypes characterized by unique immune microenvironment features, metabolic profiles, and genomic instability patterns. This molecular reclassification provides a foundational framework for precision oncology, facilitating patient selection for targeted therapies and immunomodulatory strategies. Advancements in multi-omics subtyping represent a pivotal shift toward biologically guided clinical management and underscore the imperative for biomarker-driven therapeutic development in nccRCC. Full article
Show Figures

Figure 1

19 pages, 3954 KB  
Article
Characteristics of Long-Term Soil Respiration Variability in a Temperate Deciduous Broadleaf Forest
by Minyoung Lee, Dongmin Seo, Jeongsoo Park, Hoyeon Won and Jaeseok Lee
Forests 2025, 16(11), 1720; https://doi.org/10.3390/f16111720 - 12 Nov 2025
Abstract
As climate change accelerates, environmental factors are expected to fluctuate as well. To gain insight into soil respiration (Rs) dynamics, it is essential to conduct long-term measurements of Rs alongside environmental variations. To this end, we examined Rs associated with environmental variables from [...] Read more.
As climate change accelerates, environmental factors are expected to fluctuate as well. To gain insight into soil respiration (Rs) dynamics, it is essential to conduct long-term measurements of Rs alongside environmental variations. To this end, we examined Rs associated with environmental variables from 2018 to 2024 at a site located on Mt. Jeombong, which is situated in a temperate deciduous broadleaf forest. The interannual variation in Rs was not explained by soil temperature but was primarily associated with rainfall regimes. The mean Rs for April–November was substantially different during the study period and was strongly correlated with cumulative rainfall at all measurement points (R2 = 0.68–0.94). These variations were largely attributed to changes in autotrophic respiration (Ra). Furthermore, Rs differed significantly between nearby measurement points (p < 0.05), despite their proximity within a 100 m by 100 m plot, apparently reflecting point-level differences in responses of Rs to environmental drivers that were likely modulated by uneven litter accumulation. Overall, at our site located in temperate deciduous forests, Rs primarily fluctuates as a result of rainfall variation, and Rs variations are strongly influenced by the heterogeneity in the litter deposition. Full article
(This article belongs to the Special Issue The Role of Forests in Carbon Cycles, Sequestration, and Storage)
Show Figures

Figure 1

52 pages, 9766 KB  
Article
Vegetation Phenological Responses to Multi-Factor Climate Forcing on the Tibetan Plateau: Nonlinear and Spatially Heterogeneous Mechanisms
by Liuxing Xu, Ruicheng Xu and Wenfu Peng
Land 2025, 14(11), 2238; https://doi.org/10.3390/land14112238 - 12 Nov 2025
Abstract
The Tibetan Plateau is a globally critical climate-sensitive and ecologically fragile region. Vegetation phenology serves as a key indicator of ecosystem responses to climate change and simultaneously influences regional carbon cycling, water regulation, and ecological security. However, systematic quantitative assessments of phenological responses [...] Read more.
The Tibetan Plateau is a globally critical climate-sensitive and ecologically fragile region. Vegetation phenology serves as a key indicator of ecosystem responses to climate change and simultaneously influences regional carbon cycling, water regulation, and ecological security. However, systematic quantitative assessments of phenological responses under the combined effects of multiple climate factors remain limited. This study integrates multi-source remote sensing data (MODIS MCD12Q2) and ERA5-Land meteorological data from 2001 to 2023, leveraging the Google Earth Engine (GEE) cloud platform to extract key phenological metrics, including the start (SOS) and end (EOS) of the growing season, and growing season length (GSL). Sen’s slope estimation, Mann–Kendall trend tests, and partial correlation analyses were applied to quantify the independent effects and spatial heterogeneity of temperature, precipitation, solar radiation, and evapotranspiration (ET) on GSL. Results indicate that: (1) GSL on the Tibetan Plateau has significantly increased, averaging 0.24 days per year (Sen’s slope +0.183 days/yr, Z = 3.21, p < 0.001; linear regression +0.253 days/yr, decadal trend 2.53 days, p = 0.0007), primarily driven by earlier spring onset (SOS: Sen’s slope −0.183 days/yr, Z = −3.85, p < 0.001), while autumn dormancy (EOS) showed limited delay (Sen’s slope +0.051 days/yr, Z = 0.78, p = 0.435). (2) GSL changes exhibit pronounced spatial heterogeneity and ecosystem-specific responses: southeastern warm–wet regions display the strongest responses, with temperature as the dominant driver (mean partial correlation coefficient 0.62); in high–cold arid regions, warming substantially extends GSL (Z = 3.8, p < 0.001), whereas in warm–wet regions, growth may be constrained by water stress (Z = −2.3, p < 0.05). Grasslands (Z = 3.6, p < 0.001) and urban areas (Z = 3.2, p < 0.01) show the largest GSL extension, while evergreen forests and wetlands remain relatively stable, reflecting both the “climate sentinel” role of sensitive ecosystems and the carbon sequestration value of stable ecosystems. (3) Multi-factor interactions are complex and nonlinear; temperature, precipitation, radiation, and ET interact significantly, and extreme climate events may induce lagged effects, with clear thresholds and spatial dependence. (4) The use of GEE enables large-scale, multi-year, pixel-level GSL analysis, providing high-precision evidence for phenological quantification and critical parameters for carbon cycle modeling, ecosystem service assessment, and adaptive management. Overall, this study systematically reveals the lengthening and asymmetric patterns of GSL on the Tibetan Plateau, elucidates diverse land cover and climate responses, advances understanding of high-altitude ecosystem adaptability and climate resilience, and provides scientific guidance for regional ecological protection, sustainable management, and future phenology prediction. Full article
Show Figures

Graphical abstract

15 pages, 659 KB  
Review
The Gut Microbiome in Early-Onset Colorectal Cancer: Distinct Signatures, Targeted Prevention and Therapeutic Strategies
by Sara Lauricella, Francesco Brucchi, Roberto Cirocchi, Diletta Cassini and Marco Vitellaro
J. Pers. Med. 2025, 15(11), 552; https://doi.org/10.3390/jpm15110552 - 12 Nov 2025
Abstract
Background/Objectives: The incidence of early-onset colorectal cancer (EOCRC) is rising worldwide, although its biological and clinical features remain incompletely understood. Emerging evidence implicates gut microbial dysbiosis as a key driver of EOCRC pathogenesis, acting through complex interactions with host genetics, mucosal immunity, and [...] Read more.
Background/Objectives: The incidence of early-onset colorectal cancer (EOCRC) is rising worldwide, although its biological and clinical features remain incompletely understood. Emerging evidence implicates gut microbial dysbiosis as a key driver of EOCRC pathogenesis, acting through complex interactions with host genetics, mucosal immunity, and early-life exposures. This review synthesizes current evidence on EOCRC-specific microbial signatures, delineates host–microbiome interactions, and evaluates how these insights may inform precision prevention, early detection, and therapeutic strategies. Methods: A systematic literature search was conducted in PubMed, Scopus, and Web of Science up to August 2025, using combinations of “early-onset colorectal cancer,” “gut microbiome,” “dysbiosis,” and “host–microbiome interactions.” Both clinical and preclinical studies were included. Extracted data encompassed microbial composition, mechanistic insights, host-related factors, and microbiome-targeted interventions. Evidence was synthesized narratively to highlight consistent patterns, methodological limitations, and translational implications. Results: EOCRC is consistently associated with enrichment of pro-inflammatory and genotoxic taxa (e.g., Fusobacterium nucleatum, colibactin-producing Escherichia coli, enterotoxigenic Bacteroides fragilis) and depletion of short-chain fatty acid–producing commensals. Multi-omics analyses reveal distinct host–microbiome signatures influenced by germline predisposition, mucosal immunity, sex, and early-life exposures. However, substantial methodological heterogeneity persists. Collectively, these data point to candidate microbial biomarkers for early detection and support the rationale for microbiome-targeted preventive and adjunctive therapeutic approaches. Conclusions: EOCRC harbors unique microbial and host–environmental features that distinguish it from late-onset disease. Integrating host determinants with microbiome signatures provides a framework for precision prevention and tailored therapeutic strategies. Future priorities include harmonizing methodologies, validating microbial biomarkers in asymptomatic young adults, and rigorously testing microbiome-targeted interventions in clinical trials. Full article
(This article belongs to the Special Issue Personalized Medicine for Gastrointestinal Diseases)
Show Figures

Figure 1

25 pages, 11356 KB  
Article
Impact of Landscape Elements on Public Satisfaction in Beijing’s Urban Green Spaces Using Social Media and Expectation Confirmation Theory
by Ruiying Yang, Wenxin Kang, Yiwei Lu, Jiaqi Liu, Boya Wang and Zhicheng Liu
Sustainability 2025, 17(22), 10107; https://doi.org/10.3390/su172210107 - 12 Nov 2025
Abstract
A core challenge in urban green space (UGS) management lies in precisely identifying public demand heterogeneity toward landscape elements. Grounded in Expectation Confirmation Theory (ECT), this study aims to systematically identify the key landscape elements shaping public satisfaction and elucidate their driving mechanisms [...] Read more.
A core challenge in urban green space (UGS) management lies in precisely identifying public demand heterogeneity toward landscape elements. Grounded in Expectation Confirmation Theory (ECT), this study aims to systematically identify the key landscape elements shaping public satisfaction and elucidate their driving mechanisms to inform UGS planning. Using 107 UGS in central Beijing as case studies, this study first retrieved 712,969 social media data (SMD) from multiple online platforms. A landscape element lexicon derived from these data was then integrated with the Bidirectional Encoder Representations from Transformers (BERT) model to assess public attention and satisfaction toward the natural, cultural, and artificial attributes of UGS, achieving an accuracy of 84.4%. Finally, spatial variations and the effects of different landscape elements on public satisfaction were analyzed using GIS-based visualization, K-means clustering, and multiple linear regression. Key findings reveal the following: (1) satisfaction follows a “core-periphery” gradient, peaking in heritage-rich City Wall Parks (>0.63) and plunging in green belts due to imbalanced element configurations (~0.04); (2) naturally dominant green spaces contribute most to satisfaction, while a nonlinear relationship exists between element dominance and satisfaction: strong features enhance perception, balanced patterns mask issues; (3) regression analysis confirms natural elements (vegetation β = 0.280, water β = 0.173) as core satisfaction drivers, whereas artificial facilities (e.g., service infrastructure β = 0.112, p > 0.05) exhibit a high frequency but low satisfaction paradox. These insights culminate in a practical implementation framework for policymakers: first, establish a data-driven monitoring system to flag high-frequency, low-satisfaction facilities; second, prioritize budgeting for enhancing natural elements and contextualizing cultural elements; and finally, implement site-specific optimization based on primary UGS functions to counteract green space homogenization in high-density cities. Full article
Show Figures

Figure 1

14 pages, 1909 KB  
Article
Role of S1PR1 in Modulating Airway Epithelial Responses to Pseudomonas aeruginosa in Cystic Fibrosis
by Cristina Cigana, Claudia Caslini, Alessandro Migliara, Beatriz Alcala’-Franco, Laura Veschetti, Nicola Ivan Lorè, Angelo Lombardo and Alessandra Bragonzi
Pathogens 2025, 14(11), 1146; https://doi.org/10.3390/pathogens14111146 - 12 Nov 2025
Viewed by 11
Abstract
Background: Pseudomonas aeruginosa infection is a major driver of morbidity and mortality in cystic fibrosis (CF), yet disease severity varies widely among people with CF (pwCF). This clinical heterogeneity suggests the involvement of host genetic modifiers beyond CFTR. We previously identified [...] Read more.
Background: Pseudomonas aeruginosa infection is a major driver of morbidity and mortality in cystic fibrosis (CF), yet disease severity varies widely among people with CF (pwCF). This clinical heterogeneity suggests the involvement of host genetic modifiers beyond CFTR. We previously identified sphingosine 1-phosphate receptor 1 (S1PR1) as a candidate gene associated with susceptibility to P. aeruginosa. Here, we investigated its role in modulating airway epithelial responses to infection. Methods: Using CRISPR/Cas9, we generated S1PR1-knockout bronchial epithelial cells with (IB3-1) and without (C38) CFTR mutations. We assessed cell viability, cytotoxicity, and interleukin-8 secretion following exposure to P. aeruginosa exoproducts. S1PR1 protein expression was evaluated in lung tissue from pwCF and non-CF individuals using immunohistochemistry. Results: S1PR1-mutant cells produced truncated, non-functional peptides. In CFTR-mutant cells, S1PR1 loss reduced viability, increased cytotoxicity, and significantly enhanced interleukin-8 production in response to P. aeruginosa exoproducts. These effects were not observed in CFTR-competent cells. Notably, S1PR1 protein levels were markedly lower in lung tissue from pwCF compared to non-CF individuals. Conclusions: S1PR1 deficiency exacerbates epithelial damage and inflammatory responses to P. aeruginosa in CF models. These findings highlight S1PR1 as a potential contributor to infection severity and a promising target for therapeutic strategies in pwCF. Full article
(This article belongs to the Special Issue The Host-Pathogen Interaction in Cystic Fibrosis)
Show Figures

Figure 1

25 pages, 4819 KB  
Article
An Interpretable Hybrid System Using Temporal Convolutional Network and Informer Model for Carbon Price Prediction
by Pei Du, Xuankai Zhang, Tingting Chen and Wendong Yang
Systems 2025, 13(11), 1011; https://doi.org/10.3390/systems13111011 - 12 Nov 2025
Viewed by 121
Abstract
Scientific, accurate, and interpretable carbon price forecasts provide critical support for addressing climate change, achieving low-carbon goals, and informing policy-making and corporate decision-making in energy and environmental markets. However, the existing studies mainly focus on deterministic forecasting, with obvious limitations in data feature [...] Read more.
Scientific, accurate, and interpretable carbon price forecasts provide critical support for addressing climate change, achieving low-carbon goals, and informing policy-making and corporate decision-making in energy and environmental markets. However, the existing studies mainly focus on deterministic forecasting, with obvious limitations in data feature diversity, model interpretability, and uncertainty quantification. To fill these gaps, this study constructs an interpretable hybrid system for carbon market price prediction by combining feature screening algorithms, deep learning models, and interpretable explanatory analysis methods. Specifically, this study first screens important variables from twenty-one multi-source structured and unstructured influencing factor datasets on five dimensions affecting carbon price using the Boruta algorithm. Immediately after that, this study proposes a hybrid architecture of bidirectional temporal convolutional network and Informer models, where a bidirectional temporal convolutional network is used to extract local spatio-temporal dependent features, while Informer captures long sequences of global features through the connectivity mechanism, thus realizing staged feature extraction. Then, to improve the interpretability of the model and quantify the uncertainty, this study introduces Shapley additive explanations to analyze the feature contribution in the prediction process, and the Monte Carlo dropout method is used to achieve interval prediction. Finally, the empirical results in China’s Guangdong and Shanghai carbon markets show that the proposed model significantly outperforms benchmark models, and the coverage probability of the obtained prediction intervals significantly outperforms the confidence level. The Shapley additive explanation analysis reveals regional heterogeneity drivers. In addition, the proposed model is also intensively validated in the European carbon market and the U.S. natural gas market, which also demonstrate an excellent prediction performance, indicating that the model has good robustness and applicability. Full article
Show Figures

Figure 1

17 pages, 1732 KB  
Article
Adaptation Mechanisms of Understory Vegetation in Subtropical Plantations: Synergistic Drivers of Stand Spatial Structure and Soil Fertility
by Fenglin Zheng, Dehao Lu, Wenyi Ou, Sha Tan, Xiongjian Xu, Shucai Zeng and Lihua Xian
Plants 2025, 14(22), 3452; https://doi.org/10.3390/plants14223452 - 11 Nov 2025
Viewed by 123
Abstract
Understory vegetation plays a pivotal role in enhancing forest biodiversity, and its restoration is crucial for sustainable forest development, energy flow, and nutrient cycling. However, the dynamics of the biomass, diversity, and species composition of understory vegetation in plantations in south China, along [...] Read more.
Understory vegetation plays a pivotal role in enhancing forest biodiversity, and its restoration is crucial for sustainable forest development, energy flow, and nutrient cycling. However, the dynamics of the biomass, diversity, and species composition of understory vegetation in plantations in south China, along with their key drivers, remain poorly understood. This study investigated four mature plantation types (Pinus massoniana, Pinus caribaea, Cunninghamia lanceolata, and mixed Chinese fir–broadleaf forests) in south China through plot surveys, environmental factor measurements, and structural equation modeling (SEM) to explore the diversity, biomass allocation patterns, and driving mechanisms of understory vegetation. The results demonstrated the following. (1) The introduced Caribbean pine forests exhibited higher shrub biomass than native Masson pine forests, which was driven by their high canopy openness favoring light-demanding species (e.g., Melicope pteleifolia, IV = 33.93%), but their low mingling degree limited herb diversity. (2) Masson pine forests showed superior shrub diversity due to their random spatial distribution and higher soil total potassium (TK) content. (3) Mixed Chinese fir–broadleaf forests achieved 24.50–66.06% higher herb biomass compared to coniferous monocultures, supported by high mingling degree, random spatial configuration, and phosphorus-potassium-enriched soil, with concurrently improved herb diversity. SEM revealed that stand structure (DBH, density, mingling degree) directly drove shrub diversity by regulating light availability, while herb biomass was primarily governed by soil total phosphorus (TP) and pH. Canopy-induced light suppression negatively affected herb diversity. We recommend optimizing stand density and canopy structure through thinning and pruning to enhance light heterogeneity alongside supplementing slow-release P fertilizers in P-deficient stands. This study provides theoretical support for the multi-objective management of south China plantations, emphasizing the synergistic necessity of stand structure optimization and soil amendment. Full article
(This article belongs to the Collection Forest Environment and Ecology)
Show Figures

Figure 1

21 pages, 2010 KB  
Article
Study on the Spatial Characteristics and Influencing Factors of Night-Time Economic Forms from the Perspective of the Integration of Culture and Tourism
by Zichan Li, Shenghua Yu and Xiang Li
Sustainability 2025, 17(22), 10063; https://doi.org/10.3390/su172210063 - 11 Nov 2025
Viewed by 90
Abstract
As a driver of growth for the urban economy, the night-time economy plays an irreplaceable role in promoting the high-quality development of cities. However, research on the night-time economy within the context of cultural and tourism integration remains insufficient, particularly regarding its industrial [...] Read more.
As a driver of growth for the urban economy, the night-time economy plays an irreplaceable role in promoting the high-quality development of cities. However, research on the night-time economy within the context of cultural and tourism integration remains insufficient, particularly regarding its industrial and spatial characteristics and influencing factors. This study used a spatial analysis method to explore the spatial differentiation characteristics of the night-time economy, and Geodetector to explore the influencing factors of its spatial differentiation in the main urban area of Zunyi City. The results indicate that (1) night-time economic formats exhibit an overall central agglomeration pattern; (2) various formats generally show a spatial trend of “central concentration–peripheral dispersion”; (3) among the three administrative urban districts of Zunyi, Bozhou District and Huichuan District exhibit notably higher agglomeration levels of night-time economic activities, while Honghuagang District presents a relatively lower level of such agglomeration; and (4) economic, social, environmental, and transportation factors collectively shape the spatial heterogeneity of the night-time economy across the three districts, with GDP, residential density, and transportation accessibility standing out as the most influential determinants. The results are intended not only to facilitate the development of Zunyi City’s night-time economy and the prosperity of its tourism sector from the perspective of the integration of culture and tourism, but also to provide an empirical basis for the night-time economy development of this renowned historical and cultural city. Full article
(This article belongs to the Special Issue Sustainability and Innovation in Tourism and Hospitality Development)
Show Figures

Figure 1

31 pages, 823 KB  
Article
Financial Sustainability in the Maritime Industry: Sub-Sectoral Evidence from an Emerging Economy
by Berk Yildiz, Ersin Acikgoz and Gulden Oner
Sustainability 2025, 17(22), 10046; https://doi.org/10.3390/su172210046 - 10 Nov 2025
Viewed by 166
Abstract
This study examines the determinants of financial sustainability in Turkish maritime industry by analyzing firm-level panel data from 190 ship and boat maintenance firms and 208 coastal shipping companies for the 2010–2022 period, comprising 5174 firm-year observations. Fixed-effects models with Driscoll–Kraay robust standard [...] Read more.
This study examines the determinants of financial sustainability in Turkish maritime industry by analyzing firm-level panel data from 190 ship and boat maintenance firms and 208 coastal shipping companies for the 2010–2022 period, comprising 5174 firm-year observations. Fixed-effects models with Driscoll–Kraay robust standard errors are employed to evaluate how asset structure, liquidity, and energy efficiency jointly affect firm profitability across subsectors, using the Operating Return on Assets (OROA) as the principal indicator of operational performance. The empirical results indicate substantial heterogeneity between maintenance and shipping firms. For maintenance firms, OROA shows a positive association with the Non-Current Assets to Total Assets ratio (NCATA) and the Economic Efficiency Ratio (EER) but a negative association with the Current Ratio (CR), suggesting that capital deepening and operational efficiency tend to correlate with stronger performance, whereas excess liquidity is associated with weaker outcomes. For shipping firms, OROA is positively associated with EER and Total Asset Turnover (TATR) but negatively associated with Fixed Asset Turnover (FATR) and CR, indicating relationships consistent with efficiency gains from energy management and asset utilization but linkages suggesting challenges from fleet aging and liquidity mismanagement. Overall, the findings suggest that the drivers of financial sustainability are associated with different structural conditions across maritime subsectors, highlighting the importance of targeted modernization, port efficiency, and energy-transition investment strategies. Full article
Show Figures

Figure 1

27 pages, 7691 KB  
Article
Seasonal Variations in the Mechanisms Linking the Built Environment and Metro Station Area Vitality in Cold Regions: A Case Study of Harbin
by Xiaolu Zhou and Jianfei Chen
Land 2025, 14(11), 2222; https://doi.org/10.3390/land14112222 - 10 Nov 2025
Viewed by 151
Abstract
As urbanization advances toward refined territorial spatial governance, integrating comprehensive transportation and spatial vitality has become essential for sustainable urban development. Transit-oriented development (TOD) plays a key role in linking transportation infrastructure with the coordinated evolution of territorial space. However, the interaction mechanisms [...] Read more.
As urbanization advances toward refined territorial spatial governance, integrating comprehensive transportation and spatial vitality has become essential for sustainable urban development. Transit-oriented development (TOD) plays a key role in linking transportation infrastructure with the coordinated evolution of territorial space. However, the interaction mechanisms between the built environment and metro station area vitality in cold-region cities remain underexplored, particularly in relation to seasonal differentiation. Taking Harbin as a representative cold-region metropolis, this study investigates how built environment factors shape metro station area vitality across seasons and how their spatial mechanisms differ between winter and summer. An indicator system based on the “5D” framework was established, and K-means clustering was applied to classify stations into four coordinated spatial types. A composite vitality index integrating transportation, social, and economic dimensions was constructed to assess seasonal variations. Spearman correlation and XGBoost models identified dominant drivers at the global level, while the MGWR model revealed spatial heterogeneity. The results indicate that POI density exerts the strongest influence on metro station area vitality, contributing 47.95% in winter and 47.27% in summer. Residential density plays a more decisive role during summer, accounting for 18.90%. In contrast, winter vitality depends more on transportation accessibility, with the distance to parking facilities contributing 11.59%. Core urban stations consistently maintain high vitality, while peripheral areas have weaker performances, especially during winter. These findings clarify seasonally adaptive mechanisms linking the built environment and spatial vitality, providing evidence for coordinated optimization of metro systems and land-use planning in cold-region cities. Full article
Show Figures

Figure 1

16 pages, 1537 KB  
Article
Effects of the Center-Edge Gradient and Habitat Type on the Spatial Distribution of Plant Species Richness in Santiago, Chile
by Sergio A. Castro, Cristian Ray, Javier A. Figueroa, Mathías Alfaro, Fabiola Orrego and Pablo M. Vergara
Plants 2025, 14(22), 3433; https://doi.org/10.3390/plants14223433 - 10 Nov 2025
Viewed by 217
Abstract
Cities host a heterogeneous composition of native and exotic plants, yet the spatial distribution of plant richness and its drivers remain poorly understood. We evaluated the influence of the center-edge gradient, along the environmental gradient from the historic city center to the urban [...] Read more.
Cities host a heterogeneous composition of native and exotic plants, yet the spatial distribution of plant richness and its drivers remain poorly understood. We evaluated the influence of the center-edge gradient, along the environmental gradient from the historic city center to the urban edge, and habitat type, reflecting local conditions, on plant richness in Santiago, Chile. Sidewalks, parks, and vacant lots (n = 234 per habitat type) were randomly sampled across varying distances from the historic center and urban edge, recording neighborhood socioeconomic level and municipality. Four richness metrics were analyzed using generalized linear mixed models (GLMMs): total richness, richness by origin (native or exotic), and richness by life form (trees, shrubs, or herbs), considering habitat type, socioeconomic level, and distances as fixed effects and municipality as a random effect. We recorded 699 species (13% native and 87% exotic; 23% trees, 20% shrubs, and 56% herbs). Distances to the city center and urban edge had no significant effect, whereas habitat type emerged as the primary determinant: sidewalks exhibited higher total, native, and exotic richness with more trees and shrubs, whereas vacant lots were dominated by herbs. These patterns indicate that floristic richness is distributed in a mosaic, independent of urban gradients. Given the importance of Santiago’s Mediterranean region as a biodiversity hotspot, the low representation of native species is concerning. Increasing their presence and associated ecosystem services requires tailored interventions for each habitat type. Full article
(This article belongs to the Special Issue Plants for Biodiversity and Sustainable Cities)
Show Figures

Figure 1

23 pages, 20168 KB  
Article
Spatiotemporal Dynamics and Drivers of Agricultural Drought in the Huang-Huai-Hai Plain Based on Crop Water Stress Index and Spatial Machine Learning
by Xiao-Xia Hou, Yue Liu, Xia Zhang, Qingtao Ma and Guofei Shang
Remote Sens. 2025, 17(22), 3678; https://doi.org/10.3390/rs17223678 - 9 Nov 2025
Viewed by 348
Abstract
Agricultural drought poses a critical constraint to food security and regional sustainable development, particularly in the Huang-Huai-Hai Plain, a major grain-producing region characterized by high spatial heterogeneity in drought risk. Previous studies have demonstrated that the Crop Water Stress Index (CWSI) outperforms traditional [...] Read more.
Agricultural drought poses a critical constraint to food security and regional sustainable development, particularly in the Huang-Huai-Hai Plain, a major grain-producing region characterized by high spatial heterogeneity in drought risk. Previous studies have demonstrated that the Crop Water Stress Index (CWSI) outperforms traditional meteorological indices in detecting agricultural droughts in various regions. However, there is limited research specifically focusing on its spatiotemporal dynamics and the complex relationships with environmental factors, particularly in the Huang-Huai-Hai Plain. To fill this gap, this study first estimated CWSI using remote sensing evapotranspiration data and systematically assessed the spatiotemporal dynamics of agricultural drought in the Huang-Huai-Hai Plain from 2005 to 2020. Then, an integrated analytical framework that combines Local Indicators of Spatial Association (LISA) with Random Forest (RF) modeling has been proposed to identify primary environmental drivers. Results revealed a general downward trend in CWSI over the study period, with drought hotpots primarily concentrated in the central plains and along the eastern foothills of the Taihang Mountains. LISA identified four distinct spatial cluster types and revealed significant spatial associations between CWSI and six environmental variables. The major driving factors of CWSI included vegetation conditions (NDVI), land surface temperature (LST), rainfall, and temperature-related factors (SAT, DSR), with LST and SAT exhibiting the strongest correlations with CWSI in multiple regions. Among these, LST and SAT exhibited strong positive correlations with CWSI in multiple regions. By integrating spatial clustering and variable importance analysis, we found that agricultural drought patterns are shaped by interacting environmental factors, with region-specific dominant mechanisms. This study provides a novel analytical framework that bridges remote sensing, spatial statistics, and machine learning, offering valuable insights and tools for drought monitoring and attribution at regional scales. Full article
Show Figures

Figure 1

Back to TopTop