Climate Change and Ecological Restoration Synergies Shape Ecosystem Services on the Southeastern Tibetan Plateau
Abstract
1. Introduction
2. Materials and Methods
2.1. Study Area
2.2. Data Sources
2.3. Methods
2.3.1. Ecosystem Service Assessment Methods
- (1)
- Water Yield
- (2)
- Soil Conservation
- (3)
- Carbon Sequestration
- (4)
- Habitat Quality
2.3.2. Principal Component Analysis
2.3.3. Geo-Detector Model
2.3.4. Geographically Weighted Regression (GWR)
2.3.5. Model Accuracy Verification
3. Results
3.1. Spatial Heterogeneity and Spatiotemporal Variation of ESs
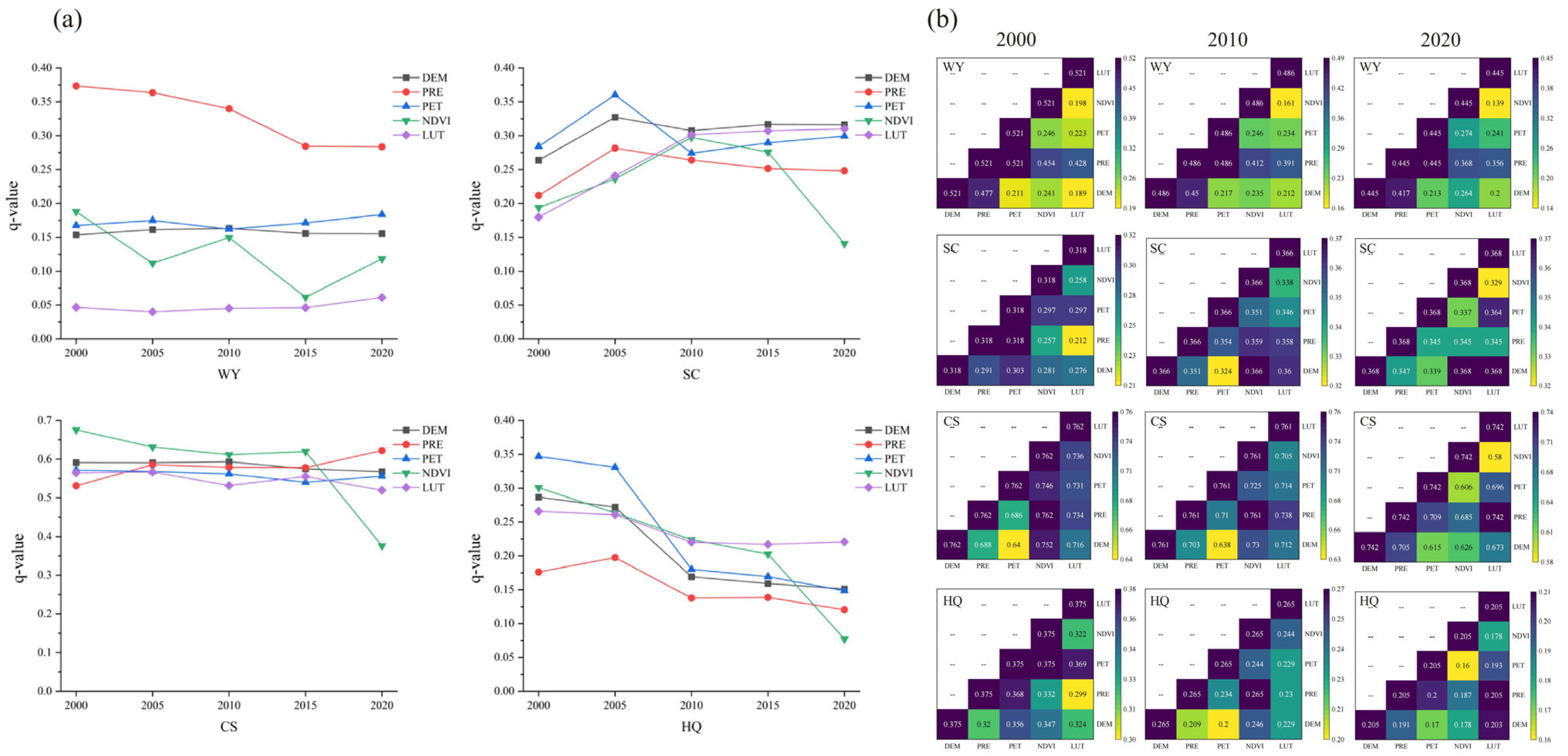
3.2. The Dominating Factors of ESs
3.3. The Driving Factors for Spatial ESs Heterogeneity
4. Discussion
4.1. Forest–Grassland Conversions Amplify ES Fluctuations in STP
4.2. The Necessity of Studying ES Drivers at Different Spatial Scales
4.3. Informing Policy for Sustaining ES Provision in STP
5. Conclusions
Author Contributions
Funding
Data Availability Statement
Acknowledgments
Conflicts of Interest
References
- Dee, L.E.; Miller, S.J.; Helmstedt, K.J. Quantifying disturbance effects on ecosystem services in a changing climate. Nat. Ecol. Evol. 2025, 9, 436–447. [Google Scholar] [CrossRef]
- Wu, J. Landscape sustainability science: Ecosystem services and human well-being in changing landscapes. Landsc. Ecol. 2013, 28, 999–1023. [Google Scholar] [CrossRef]
- Song, Q.F.; Niu, X.; Wang, B. Review on forest ecosystem services assessment based on big data. Chin. J. Ecol. 2015, 34, 2914. [Google Scholar]
- Wu, X.; Liu, S.; Zhao, S.; Hou, X.; Xu, J.; Dong, S.; Liu, G. Quantification and driving force analysis of ecosystem services supply, demand and balance in China. Sci. Total Environ. 2019, 652, 1375–1386. [Google Scholar] [CrossRef] [PubMed]
- Geijzendorffer, I.R.; Martín-López, B.; Roche, P.K. Improving the identification of mismatches in ecosystem services assessments. Ecol. Indic. 2015, 52, 320–331. [Google Scholar] [CrossRef]
- Rong, Y.; Luo, Y.; Zheng, L. Novel framework for identifying priority areas in ecological restoration: Integrating ecosystem service flows. Ecol. Front. 2025, 45, 1258–1269. [Google Scholar] [CrossRef]
- Huang, B.; Lu, F.; Wang, X. The impact of ecological restoration on ecosystem services change modulated by drought and rising CO2. Glob. Change Biol. 2023, 29, 5304–5320. [Google Scholar] [CrossRef]
- Dong, W.; Wu, X.; Zhang, J.J.; Zhang, Y.L.; Dang, H.; Lü, Y.H.; Wang, C.; Guo, J.Y. Spatiotemporal heterogeneity and driving factors of ecosystem service relationships and bundles in a typical agropastoral ecotone. Ecol. Indic. 2023, 156, 11107. [Google Scholar] [CrossRef]
- Costanza, R.; d’Arge, R.; de Groot, R.; Farber, S.; Grasso, M.; Hannon, B.; Limburg, K.; Naeem, S.; O’Neill, R.V.; Paruelo, J.; et al. The value of the world’s ecosystem services and natural capital. Nature 1997, 387, 253–260. [Google Scholar] [CrossRef]
- OuYang, Z.Y.; Wang, R.S.; Zhao, J.Z. Ecosystem services and their economic valuation. Chin. J. Appl. Ecol. 1999, 10, 635–640. [Google Scholar]
- OuYang, Z.Y.; Wang, X.K.; Miao, H. A primary study on Chinese terrestrial ecosystem services and their ecological economic values. Acta Ecol. Sin. 1999, 19, 19–25. [Google Scholar]
- Xie, G.D.; Lu, C.X.; Leng, Y.F.; Zheng, D.; Li, S.C. Ecological assets valuation of the Tibetan Plateau. J. Nat. Resour. 2003, 18, 189–196. [Google Scholar]
- Wang, Y.Z.; Yu, H.R.; Lu, L. Spatiotemporal pattern and functional zoning of ecosystem services in the Yangtze River Delta region based on spatially constrained K-means. Acta Ecol. Sin. 2024, 44, 7087–7104. [Google Scholar]
- Zhou, D.L.; Yang, M.X.; Su, J.Y.; Bai, Y. Research progress in evaluating the value of watershed ecosystem services. J. Desert Res. 2024, 44, 149–164. [Google Scholar]
- Tran, D.X.; Pearson, D.; Palmer, A.; Lowry, J.; Gray, D.; Dominati, E.J. Quantifying spatial non-stationarity in the relationship between landscape structure and the provision of ecosystem services: An example in the New Zealand hill country. Sci. Total Environ. 2022, 808, 152126. [Google Scholar] [CrossRef] [PubMed]
- Degefu, M.A.; Argaw, M.; Feyisa, G.L.; Degefa, S. Dynamics of urban landscape nexus spatial dependence of ecosystem services in rapid agglomerate cities of Ethiopia. Sci. Total Environ. 2021, 798, 149192. [Google Scholar] [CrossRef] [PubMed]
- Ma, Z.Y.; Li, P.; Xiao, L. Identification of Key Areas for Ecological Restoration and Division of Restoration Zones in Qinghai Province. J. Soil Conserv. 2024, 38, 252–265. [Google Scholar]
- Xiao, J.Y.; Dai, J.J.; Fang, X.R. Multiple Scenario Simulation of Ecosystem Service Value in Xuzhou City Based on PLUS Model. China Land Sci. 2024, 38, 125–134. [Google Scholar]
- Lu, S.; Zhang, H.P.; Pei, X.S.; Wang, Y. Drivers of ecosystem service trade-off and synergy in long-term sequence. a case study of the extremely important ecosystem service function area in Wuhu City. Acta Ecol. Sin. 2024, 44, 1780–1790. [Google Scholar]
- Ding, Y.L.; Liu, L.M.; Liu, B.; Li, Y. Spatiotemporal evolution of ecosystem service value in Inner Mongolia Kubuqi Qixing Lake National Desert Park at a grid scale. J. Arid Land Resour. Environ. 2024, 38, 106–114. [Google Scholar]
- Bai, P.Z.; Xiao, D.C.; Bao, L.L.; Yao, Y.H. Biodiversity and conservation in the Tibetan Plateau. J. Geogr. Sci. 2002, 12, 135–143. [Google Scholar] [CrossRef]
- Tremblay, J.C.; Ainslie, P.N. Global and country-level estimates of human population at high altitude. PNAS 2021, 118, e2102463118. [Google Scholar] [CrossRef]
- Tang, Q.; Zhang, G.; Yao, T.; Wieland, M.; Liu, L.; Kaushik, S. Automatic extraction of glacial lakes from Landsat imagery using deep learning across the Third Pole region. Remote Sens. Environ. 2024, 315, 114413. [Google Scholar] [CrossRef]
- Li, Y.; Hasbagan, G.; Hu, G.Z.; Wan, Y.F.; Li, Y.E.; Baima, Y.Z.; Gao, Q.Z. Effects of warming on carbon exchange in an alpine steppe in the Tibetan plateau. Acta Ecol. Sin. 2019, 39, 2004–2012. [Google Scholar] [CrossRef]
- Immerzeel, W.W.; Van Beek, L.P.H.; Bierkens, M.F.P. Climate change will affect the Asian water towers. Science 2010, 328, 1382–1385. [Google Scholar] [CrossRef]
- Ma, X.L.; Guo, S.S.; Xu, Y.; Wei, Z.Q.; Gao, Z.T.; Yu, L.; Hou, J.L. Research on ecological security pattern construction in vulnerable ecological region. Acta Ecol. Sin. 2023, 43, 9500–9513. [Google Scholar]
- Wang, Q.X.; Cao, W.; Huang, L. Evolutionary characteristics and zoning of ecosystem functional stability on the Qinghai-Tibet Plateau. Acta Geogr. Sin. 2023, 78, 1104–1118. [Google Scholar]
- Liu, H.C.; Sun, Z.R.; Wu, J.Y.; Yu, H.; Yang, X.M.; Zhou, D.J. Evaluation of natural landscape aesthetic value and its spatial differentiation in Tibet from the perspective of ecosystem services. Prog. Geogr. 2023, 42, 1961–1972. [Google Scholar] [CrossRef]
- He, Q.Q.; Wang, J.W.; Bi, X.; Song, X.W. Temporal and spatial dynamics of water conservation in Shanxi Province (2005–2020): Patterns and influence analysis. Res. Environ. Sci. 2024, 37, 862–873. [Google Scholar]
- Qiao, Y.J.; Zhang, H.; Han, X.Y.; Liu, Q.F.; Liu, K.; Hu, M.T.; Pei, W.M. Exploring drivers of water conservation function variation in Heilongjiang Province from a geospatial perspective. Acta Ecol. Sin. 2023, 43, 27112721. [Google Scholar] [CrossRef]
- Budyko, M.I. The heat balance of the earth’s surface. Sov. Geogr. 1961, 2, 3–13. [Google Scholar] [CrossRef]
- Guo, Z.; Yan, Z.; Paerhati, M. Assessment of soil erosion and its driving factors in the Huaihe region using the InVEST-SDR model. Geocarto Int. 2023, 38, 2213208. [Google Scholar] [CrossRef]
- Hilou, M.; Hosseini, S.; Sharafati, A. Assessing sediment connectivity with the InVEST model and a structural approach: A case study. Catena 2025, 260, 14. [Google Scholar] [CrossRef]
- Mohammadyari, F.; Abdollahi, K.; Tavakoli, M. Modeling soil retention, erosion potential, and sedimentation risk using the invest sdr model. J. Env. Eng. Landsc. Manag. 2025, 33, 389–399. [Google Scholar] [CrossRef]
- Chen, W.; Sun, W.; Wu, Z. Microtopography-Guided precision restoration of sandy lands through UAV: A case study in Hunshandake Sandy Land, China. Catena 2024, 247, 108489. [Google Scholar] [CrossRef]
- Hao, M.Y.; Ren, Z.Y.; Sun, Y.J. The dynamic analysis of trade-off and synergy of ecosystem services in the Guanzhong Basin. Geogr. Res. 2017, 36, 592–602. [Google Scholar]
- Liu, Z.F.; Tang, L.N.; Qiu, Q.Y.; Xiao, L.S.; Xu, T.; Yang, L. Temporal and spatial changes in habitat quality based on land-use change in Fujian Province. Acta Ecol. Sin. 2017, 37, 4538–4548. [Google Scholar]
- Liu, C.F.; Wang, C.; Liu, L.C. Spatio-temporal variation on habitat quality and its mechanism within the transitional area of the Three Natural Zones: A case study in Yuzhong county. Geogr. Res. 2018, 37, 419–432. [Google Scholar]
- Liu, Y.; Zhou, Y.; Du, Y.T. Study on the Spatio-Temporal Patterns of Habitat Quality and lts Terrain Gradient Effects of the Middle of the Yangtze River Economic Belt Based on InVEST Model. Resour. Environ. Yangtze Basin 2019, 28, 2429–2440. [Google Scholar]
- Abdul-Wahab, S.A.; Bakheit, C.S.; Al-Alawi, S.M. Principal component and multiple regression analysis in modelling of ground-level ozone and factors affecting its concentrations. Environ. Model. Softw. 2005, 20, 1263–1271. [Google Scholar] [CrossRef]
- Demšar, U.; Harris, P.; Brunsdon, C.; Fotheringham, A.S.; McLoone, S. Principal component analysis on spatial data: An overview. Ann. Assoc. Am. Geogr. 2013, 103, 106–128. [Google Scholar] [CrossRef]
- Wang, J.F.; Xu, C.D. Geodetector: Principle and prospective. Geogr. Res. 2017, 72, 116–134. [Google Scholar]
- Fotheringham, A.S. Geographically Weighted Regression: The Analysis of Spatially Varying Relationships; Wiley: Hoboken, NJ, USA, 2002. [Google Scholar]
- Brunsdon, C.; Fotheringham, A.S.; Charlton, M.E. Geographically weighted regression: A method for exploring spatial nonstationarity. Geogr. Anal. 1996, 28, 281–298. [Google Scholar] [CrossRef]
- Bruna, F.; Yu, D. Geographically weighted panel regression. In Proceedings of the XI Galician Congress Statistics and Operations Research, Santiago de Compostela, Spain, 4–6 November 2013; pp. 1–23. [Google Scholar]
- Dai, E.F.; Lu, R.R. Spatial distribution pattern and influencing factors of water yield services in Qinghai-Tibet Plateau from 2000 to 2020. J. Northwest Norm. Univ. (Nat. Sci.) 2024, 60, 1–11. [Google Scholar]
- Lian, X.H.; Qi, Y.; Wang, H.W.; Zhang, J.L.; Yang, R. Assessing Changes of Water Yield in Qinghai Lake Watershed of China. Water 2020, 12, 11. [Google Scholar] [CrossRef]
- Zhu, D.Z.; Chu, L.; Ma, S.; Wang, L.J.; Zhang, J.C. Tradeoff and Synergistic Relationship Among Ecosystem Services. Res. Soil Water Conserv. 2021, 28, 308–315. [Google Scholar]
- Lan, X.Y.; Ye, C.C.; Wang, Y.; Zeng, T.; Sun, J. Spatiotemporal Variation Characteristics and Its Driving Forces of Water Conservation Function on the Tibetan Plateau from 1995 to 2014. Acta Agrestia Sin. 2021, 29, 80–92. [Google Scholar]
- Liu, J.; Zhou, Y.; Wang, L.; Zuo, Q.; Li, Q.; He, N. Spatiotemporal Analysis and Multi-Scenario Prediction of Ecosystem Services Based on Land Use/Cover Change in a Mountain-Watershed Region China. Remote Sens. 2023, 15, 2759. [Google Scholar] [CrossRef]
- Li, Z.; Dong, L.; Xu, L.; Wang, L.; Yuan, Z. Evaluation of vegetation-wetland-soil ecological water retention capacity in the source region of the yangtze and yellow rivers (sryy). Watershed Ecol. Environ. 2025, 7, 260–273. [Google Scholar] [CrossRef]
- Li, H.R.; Ma, S.; Yin, Y.K.; Wang, L.J.; Jiang, J. Spatio-temporal Changes of Ecosystem Service Multi-functional Areas and Their Influencing Factors: A Case Study of the Qinghai-Tibet Plateau Ecological Shelter. J. Ecol. Rural. Environ. 2024, 40, 1038–1046. [Google Scholar]
- Chen, Y.; Xu, C.; Ma, K.; Hou, Q.; Yu, X. Responses of community traits and soil characteristics of Achnatherum inebrians-type degraded grassland to grazing systems in alpine meadows on the Qinghai-Tibet Plateau. Front. Plant Sci. 2023, 14, 1270304. [Google Scholar] [CrossRef] [PubMed]
- Zhang, A.; Li, X.; Zeng, F.; Jiang, Y.; Wang, R. Variation characteristics of different plant functional groups in alpine desert steppe of the Altun Mountains, northern Qinghai-Tibet Plateau. Front. Plant Sci. 2022, 13, 961692. [Google Scholar] [CrossRef] [PubMed]
- Liu, Y.J.; Yang, Q. Research Progress and Prospect of Degraded Grassland Restoration in Qinghai-Tibet Plateau. Chin. J. Grassl. 2023, 45, 131–143. [Google Scholar]
- Zhou, B.R.; Yuan, J.S.; Qiao, B.; Ma, H.L.; Shi, F.F.; Cao, X.Y.; Yan, Y.Q.; Sun, W.J. Research Progress on Climate and Cryosphere Changes in the Qinghai-Tibetan Plateau. Res. Environ. Sci. 2024, 37, 1885–1896. [Google Scholar]
- Liu, Q.W.; Gu, J.K.; Li, Q.L.; Li, W.C.; Xiang, S.J.; Tang, G.Y. Characteristics of Vegetation and Soil of Degraded Grasslands and Their Relationships in Xizang. Environ. Sci. 2024, 45, 5341–5350. [Google Scholar]
- Hao, J.Y.; Zhi, L.; Li, X.; Dong, S.K.; Li, W. Temporal and spatial variations and the relationships of land use pattern and ecosystem services in Qinghai-Tibet Plateau, China. Ying Yong Sheng Tai Xue Bao 2023, 34, 3053–3063. [Google Scholar]
- Delphin, S.; Escobedo, F.J.; Abd-Elrahman, A.; Cropper, W. Urbanization as a land use change driver of forest ecosystem services. Land Use Policy 2016, 54, 188–199. [Google Scholar] [CrossRef]
- Sun, G.; Caldwell, P.; Noormets, A.; McNulty, S.G.; Cohen, E.; Myers, J.M.; Domec, J.-C.; Treasure, E.; Mu, Q.Z.; Xiao, J.F. Upscaling key ecosystem functions across the conterminous United States by a water-centric ecosystem model. J. Geophys. Res. Biogeosci. 2011, 116, 1–16. [Google Scholar] [CrossRef]
- Feng, J.; Li, S.; Huang, C. Effects of climate change, land use/cover change, and interactions on ecosystem services in Jiulianshan National Nature Reserve of Jiangxi Province, China. J. For. Res. 2025, 36, 66. [Google Scholar] [CrossRef]
- Sheng, W.; Zhen, L.; Xiao, Y.; Hu, Y. Ecological and socioeconomic effects of ecological restoration in China’s Three Rivers Source Region. Sci. Total Environ. 2019, 650, 2307–2313. [Google Scholar] [CrossRef]
- Wu, C.; Lu, R.; Zhang, P.; Dai, E. Multilevel ecological compensation policy design based on ecosystem service flow: A case study of carbon sequestration services in the Qinghai-Tibet Plateau. Sci. Total Environ. 2024, 921, 171093. [Google Scholar] [CrossRef] [PubMed]
- Li, Y.; Zhao, Z.; Fu, B. Ecological restorations enhance ecosystem stability by improving ecological resilience in a typical basin of the Yangtze River, China. Geogr. Sustain. 2025, 6, 100357. [Google Scholar] [CrossRef]
- Dou, X.; Li, W.; He, Y. Assessing the future effectiveness of ecological protection and restoration by compiling ecological patterns & services indicators and multi-scenario simulation. Environ. Sustain. Indic. 2025, 28, 100939. [Google Scholar] [CrossRef]
- Willig, J.; Häublein, S.; Sorge, S. Information access, governance support and operational flexibility are needed to drive adaptation of European forests to global change. For. Policy Econ. 2025, 181, 103654. [Google Scholar] [CrossRef]
- Ma, Y.M.; Ma, W.Q.; Zhong, L.; Hu, Z.Y.; Li, M.S.; Zhu, Z.K.; Han, C.B.; Wang, B.B.; Liu, X. Monitoring and Modeling the Tibetan Plateau’s climate system and its impact on East Asia. Sci. Rep. 2017, 7, 44574. [Google Scholar] [CrossRef]
- Gao, P.C.; Gao, Y.F.; Ou, Y.; McJeon, H.; Zhang, X.D.; Ye, S.J.; Wang, Y.H.; Song, C.Q. Fulfilling global climate pledges can lead to major increase in forest land on Tibetan Plateau. iScience 2023, 26, 106364. [Google Scholar] [CrossRef]
- Guo, B.; Wei, C.X.; Yu, Y.; Liu, Y.F.; Li, J.L.; Meng, C.; Cai, Y.M. The dominant influencing factors of desertification changes in the source region of Yellow River: Climate change or human activity? Sci. Total Environ. 2022, 813, 152512. [Google Scholar] [CrossRef]
- Li, D.; Tian, P.P.; Luo, H.Y.; Hu, T.S.; Dong, B.; Cui, Y.L.; Khan, S.; Luo, Y.F. Impacts of land use and land cover changes on regional climate in the Lhasa River basin, Tibetan Plateau. Sci. Total Environ. 2020, 742, 140570. [Google Scholar] [CrossRef]
- Xiong, Y.; Mo, S.H.; Wu, H.P.; Qu, X.Y.; Liu, Y.Y.; Zhou, L. Influence of human activities and climate change on wetland landscape pattern-A review. Sci. Total Environ. 2023, 879, 163112. [Google Scholar] [CrossRef]







| Dataset | Data Type | Time | Spatial Resolution | Source Dataset | Data Source |
|---|---|---|---|---|---|
| Annual mean Precipitation | Raster | 2000–2020 | 1 km | Annual precipitation data at 1 km resolution in China (1982–2022) | National Earth System Science Data Center (http://gre.geodata.cn (accessed on 15 March 2024)) |
| Annual mean temperature | Raster | 2000–2020 | 1 km | Annual temperature data at 1 km resolution in China (1982–2022) | National Earth System Science Data Center (http://gre.geodata.cn (accessed on 12 May 2024)) |
| Potential evapotranspiration | Raster | 2000–2020 | 1 km | 1 km monthly potential evapotranspiration dataset for China (1901–2023) | National Tibetan Plateau Data Center (https://data.tpdc.ac.cn (accessed on 20 April 2024)) |
| Soil Data | Raster | - | 1 km | Harmonized World Soil Database version 1.1 (HWSD) | (https://www.fao.org/soils-portal/soil-survey/soil-maps-and-databases/harmonized-world-soil-database-v12/en/ (accessed on 22 April 2024)) |
| Land use type | Raster | 2000–2020 | 1 km | China Multiperiod Land Use Land Cover Remote Sensing Monitoring Dataset (CNLUCC) | Resource and Environmental Science Data Center, Chinese Academy of Sciences. (https://www.resdc.cn/ (accessed on 12 May 2024)) |
| DEM | Raster | 2020 | 30 m | GDEMV3 | Geospatial Data Cloud. (https://www.gscloud.cn/ (accessed on 14 May 2024)) |
| NDVI | Raster | 2000–2020 | 1 km | MODIS Vegetation Index Products (MOD13A3); Global GIMMS NDVI3g v1 dataset (1981–2015) | Earthdata (https://search.earthdata.nasa.gov/search (accessed on 14 May 2024)) |
| NPP | Raster | 2000–2020 | 1 km | MODIS Vegetation Index Products (MOD13A3); Global | Earthdata (https://lpdaac.usgs.gov/products/mod17a3hgfv061/ (accessed on 18 May 2024)) |
| Drivers | Driver Factors | Unit | Driver Factors Code |
|---|---|---|---|
| Climate | Annual mean Precipitation | mm | PRE |
| Annual mean temperature | °C | TMP | |
| Potential evapotranspiration | m·s−3 | PET | |
| Vegetation | Normalized Difference Vegetation Index | / | NDVI |
| Topography | Digital Elevation Model | m | DEM |
| Slope | degree | SLOPE | |
| Socioeconomic | Gross domestic product density | People/km2 | GDP |
| Population density | 104 yuan·km−2 | PD | |
| Land use type | Land use type | / | LUT |
Disclaimer/Publisher’s Note: The statements, opinions and data contained in all publications are solely those of the individual author(s) and contributor(s) and not of MDPI and/or the editor(s). MDPI and/or the editor(s) disclaim responsibility for any injury to people or property resulting from any ideas, methods, instructions or products referred to in the content. |
© 2026 by the authors. Licensee MDPI, Basel, Switzerland. This article is an open access article distributed under the terms and conditions of the Creative Commons Attribution (CC BY) license.
Share and Cite
Chen, X.; Hong, Q.; Pang, D.; Zou, Q.; Wang, Y.; Liu, C.; Sun, X.; Zhu, S.; Zong, Y.; Zhang, X.; et al. Climate Change and Ecological Restoration Synergies Shape Ecosystem Services on the Southeastern Tibetan Plateau. Forests 2026, 17, 102. https://doi.org/10.3390/f17010102
Chen X, Hong Q, Pang D, Zou Q, Wang Y, Liu C, Sun X, Zhu S, Zong Y, Zhang X, et al. Climate Change and Ecological Restoration Synergies Shape Ecosystem Services on the Southeastern Tibetan Plateau. Forests. 2026; 17(1):102. https://doi.org/10.3390/f17010102
Chicago/Turabian StyleChen, Xiaofeng, Qian Hong, Dongyan Pang, Qinying Zou, Yanbing Wang, Chao Liu, Xiaohu Sun, Shu Zhu, Yixuan Zong, Xiao Zhang, and et al. 2026. "Climate Change and Ecological Restoration Synergies Shape Ecosystem Services on the Southeastern Tibetan Plateau" Forests 17, no. 1: 102. https://doi.org/10.3390/f17010102
APA StyleChen, X., Hong, Q., Pang, D., Zou, Q., Wang, Y., Liu, C., Sun, X., Zhu, S., Zong, Y., Zhang, X., & Zhang, J. (2026). Climate Change and Ecological Restoration Synergies Shape Ecosystem Services on the Southeastern Tibetan Plateau. Forests, 17(1), 102. https://doi.org/10.3390/f17010102

