Sign in to use this feature.

Years

Between: -

Subjects

remove_circle_outline
remove_circle_outline
remove_circle_outline
remove_circle_outline
remove_circle_outline
remove_circle_outline
remove_circle_outline
remove_circle_outline
remove_circle_outline

Journals

remove_circle_outline
remove_circle_outline
remove_circle_outline
remove_circle_outline
remove_circle_outline
remove_circle_outline
remove_circle_outline

Article Types

Countries / Regions

remove_circle_outline
remove_circle_outline

Search Results (225)

Search Parameters:
Keywords = distance-decay effect

Order results
Result details
Results per page
Select all
Export citation of selected articles as:
17 pages, 6770 KB  
Article
Effects of Multidimensional Factors on the Distance Decay of Bike-Sharing Access to Metro Stations
by Tingzhao Chen, Yuting Wang, Yanyan Chen, Haodong Sun and Xiqi Wang
Appl. Sci. 2025, 15(24), 13228; https://doi.org/10.3390/app152413228 - 17 Dec 2025
Abstract
The last kilometer connection problem of metro transit stations is the core factor to measure the connection efficiency and service quality. Establishing the spatiotemporal distribution pattern of the connection distance is conducive to clarifying the interaction mechanism between bike-sharing connections and urban space. [...] Read more.
The last kilometer connection problem of metro transit stations is the core factor to measure the connection efficiency and service quality. Establishing the spatiotemporal distribution pattern of the connection distance is conducive to clarifying the interaction mechanism between bike-sharing connections and urban space. This study focuses on the travel behavior of shared bicycle users accessing metro stations, aiming to reveal the access distance decay patterns and their relationship with influence factors. Finally, the random forest algorithm was used to explore the nonlinear relationship between the influencing factors and the connection decay distance, and to clarify the importance of the factors. Multiple linear regression was applied to examine the linear correlation between the distance decay coefficient and the factors influence. The geographically weighted regression was further employed to explore spatial variations in their effects. Finally, the random forest algorithm was used to rank the importance of the impact factors. The results indicate that proximity distance to metro stations, proximity distance to bus stops, and the number of bus routes serving the station area have significant negative correlations with the distance decay coefficient. Significant spatial heterogeneity was observed in the influence of each factor on the distance decay coefficient, based on the geographically weighted regression analysis. With a high goodness-of-fit (R2 = 0.8032), the Random Forest regression model furthermore quantified the relative importance of each factor influencing the distance decay coefficient. The findings can be directly applied to optimize the layout of shared bicycle parking, metro access facilities planning, and multi-modal transportation system design. Full article
(This article belongs to the Section Transportation and Future Mobility)
25 pages, 2788 KB  
Article
How Digital Technology Shapes the Spatial Evolution of Global Value Chains in Financial Services
by Xingyan Yu and Shihong Zeng
Sustainability 2025, 17(24), 11229; https://doi.org/10.3390/su172411229 - 15 Dec 2025
Abstract
Rapid advances in digital technologies are reshaping value creation and the trade landscape of global financial services, yet the channels through which they influence the spatial evolution of financial services global value chains (GVCs) remain insufficiently identified. Using a global panel of 52 [...] Read more.
Rapid advances in digital technologies are reshaping value creation and the trade landscape of global financial services, yet the channels through which they influence the spatial evolution of financial services global value chains (GVCs) remain insufficiently identified. Using a global panel of 52 countries over 2013–2021, we estimate a dynamic Spatial Durbin Model (SDM) to identify overall effects and quantify spatial spillovers and temporal dynamics. We then combine Geographically and Temporally Weighted Regression (GTWR) with spatial mediation models to examine heterogeneity and underlying mechanisms. Our findings show that digital technology significantly drives the spatial evolution of financial services GVCs. Its influence is dominated by spatial diffusion, exhibiting a dynamic pattern of a strong short-run boost followed by long-run reallocation. This dynamic effect is not homogeneous; rather, it reflects a pronounced dual-driver structure: the momentum is more robust when human capital and R&D output reinforce each other, whereas increases in innovation level alone are unlikely to translate into sustained impetus for spatial restructuring. Crucially, digital technologies reshape GVC geography through three core channels: attenuating distance decay, strengthening spatial proximity, and amplifying spatial heterogeneity. These forces deepen the domestic diffusion of knowledge, capital, and technology and extend their spillovers to neighboring and connected economies. The results provide robust empirical evidence on financial geography in the digital era and have clear implications for policies that facilitate cross-border financial services and strengthen regional coordination in support of the 2030 Agenda for Sustainable Development, particularly SDG 8 (financial inclusion) and SDG 10 (global financial governance). Full article
Show Figures

Figure 1

29 pages, 25965 KB  
Article
Last-Mile or Overreach? Behavior-Validated Park Boundaries for Equitable Access: Evidence from Tianjin
by Lunsai Wu, Longhao Zhang, Shengbei Zhou, Lu Hou and Yike Hu
Land 2025, 14(12), 2364; https://doi.org/10.3390/land14122364 - 3 Dec 2025
Viewed by 266
Abstract
Urban park accessibility is often planned with fixed service radii, that is, circular walking catchments around each park defined by a maximum walking distance of about 1500 m, roughly a 15–20 min walk in this study, yet real visitation is uneven and dynamic, [...] Read more.
Urban park accessibility is often planned with fixed service radii, that is, circular walking catchments around each park defined by a maximum walking distance of about 1500 m, roughly a 15–20 min walk in this study, yet real visitation is uneven and dynamic, leaving persistent gaps between normative coverage and where people actually originate. We propose an interpretable discovery-to-parameter workflow that converts behavior evidence into localized accessibility and actionable planning guidance. Monthly Origin–Destination (OD) and heatmap samples are fused to construct visitation intensity on a 200 m grid and derive empirical park service boundaries. Multiscale Geographically Weighted Regression (MGWR) then quantifies spatial heterogeneity, and its local coefficients are embedded into the enhanced two-step floating catchment area (E2SFCA) model as location-specific supply weights and distance-decay bandwidths. Compared with network isochrones and uncalibrated E2SFCA, the MGWR–E2SFCA achieves higher Jaccard overlap and lower population-weighted error, while maintaining balanced coverage–precision across districts and day types. A Δ-surface lens decomposes gains into corridor correction and envelope contraction, revealing where conventional radii over- or under-serve residents. We further demonstrate an event-sensitivity switch, in which temporary adjustments of demand and decay parameters can accommodate short-term inflows during events such as festivals without contaminating the planning baseline. Together, the framework offers a transparent toolset for diagnosing mismatches between normative standards and observed use, prioritizing upgrades in under-served neighborhoods, and stress-testing park systems under recurring demand shocks. For land planning, it pinpoints where barriers to access should be reduced and where targeted connectivity improvements, public realm upgrades, and park capacity interventions can most effectively improve urban park accessibility. Full article
(This article belongs to the Section Land Planning and Landscape Architecture)
Show Figures

Figure 1

23 pages, 6731 KB  
Article
Research on the Infiltration Effect of Waterborne Polyurethane Cementitious Composite Slurry Penetration Grouting Under Vacuum Effect
by Chungang Zhang, Feng Huang, Yingguang Shi, Xiujun Sun and Guihe Wang
Polymers 2025, 17(23), 3205; https://doi.org/10.3390/polym17233205 - 1 Dec 2025
Viewed by 258
Abstract
To address the issue of restricted grout diffusion caused by seepage effects during grouting in sandy soil layers, this study proposes an optimised grouting method for water-based polyurethane-cement composite grout (WPU-CS) under vacuum-pressure synergy. By establishing a porous medium flow model based on [...] Read more.
To address the issue of restricted grout diffusion caused by seepage effects during grouting in sandy soil layers, this study proposes an optimised grouting method for water-based polyurethane-cement composite grout (WPU-CS) under vacuum-pressure synergy. By establishing a porous medium flow model based on the mass conservation equation and linear filtration law, the influence mechanism of cement particle seepage effects was quantitatively characterised. An orthogonal test (L9(34)) optimised the grout composition, determining the optimal parameter combination as the following: water-to-cement ratio 1.5:1, polyurethane-to-cement ratio 5~10%, magnesium aluminium silicate content 1%, and hydroxypropyl methylcellulose content 0.15%. Vacuum permeation grouting tests demonstrated that compared to pure cement slurry, WPU-CS reduced filter cake thickness by 80%, significantly suppressing the leaching effect (the volume fraction δ of cement particles exhibited exponential decay with increasing distance r from the grouting end, and the slurry front velocity gradually decreased). Concurrently, the porosity ϕ in the grouted zone showed a gradient distribution (with more pronounced porosity reduction near the grouting end). When vacuum pressure increased from −10 kPa to −30 kPa, slurry diffusion distance rose from 11 cm to 18 cm (63.6% increase). When grouting pressure increased from 20 kPa to 60 kPa, diffusion distance increased from 8 cm to 20 cm (150% increase). The study confirms that synergistic control using WPU-CS with moderate grouting pressure and high vacuum effectively balances seepage suppression and soil stability, providing an innovative solution for efficient sandy soil reinforcement. Full article
(This article belongs to the Section Polymer Applications)
Show Figures

Figure 1

24 pages, 17103 KB  
Article
A Traffic Flow Forecasting Method Based on Transfer-Aware Spatio-Temporal Graph Attention Network
by Yan Zhou, Xiaodi Wang and Jipeng Jia
ISPRS Int. J. Geo-Inf. 2025, 14(12), 459; https://doi.org/10.3390/ijgi14120459 - 23 Nov 2025
Viewed by 530
Abstract
Forecasting traffic flow is essential for optimizing resource allocation and improving urban traffic management efficiency. Despite significant advances in deep learning-based approaches, existing models still face challenges in effectively capturing dynamic spatio-temporal dependencies due to the limited representation of node transmission capabilities and [...] Read more.
Forecasting traffic flow is essential for optimizing resource allocation and improving urban traffic management efficiency. Despite significant advances in deep learning-based approaches, existing models still face challenges in effectively capturing dynamic spatio-temporal dependencies due to the limited representation of node transmission capabilities and distance-sensitive interactions in road networks. This limitation restricts the ability to capture temporal dynamics in spatial dependencies within traffic flow. To address this challenge, this study proposes a Transfer-aware Spatio-Temporal Graph Attention Network with Long-Short Term Memory and Transformer module (TAGAT-LSTM-trans). The model constructs a transfer probability matrix to represent each node’s ability to transmit traffic characteristics and introduces a distance decay matrix to replace the traditional adjacency matrix, thereby offering a more accurate representation of spatial dependencies between nodes. The proposed model integrates a Graph Attention Network (GAT) to construct a TA-GAT module for capturing spatial features, while a gating network dynamically aggregates information across adjacent time steps. Temporal dependencies are modelled using LSTM and a Transformer encoder, with fully connected layers ensuring accurate forecasts. Experiments on real-world highway datasets show that TAGAT-LSTM-trans outperforms baseline models in spatio-temporal dependency modelling and traffic flow forecasting accuracy, validating the effectiveness of incorporating transmission awareness and distance decay mechanisms for dynamic traffic forecasting. Full article
Show Figures

Figure 1

19 pages, 1976 KB  
Article
GRADE: A Generalization Robustness Assessment via Distributional Evaluation for Remote Sensing Object Detection
by Decheng Wang, Yi Zhang, Baocun Bai, Xiao Yu, Xiangbo Shu and Yimian Dai
Remote Sens. 2025, 17(22), 3771; https://doi.org/10.3390/rs17223771 - 20 Nov 2025
Viewed by 407
Abstract
The performance of remote sensing object detectors often degrades severely when deployed in new operational environments due to covariate shift in the data distribution. Existing evaluation paradigms, which primarily rely on aggregate performance metrics such as mAP, generally lack the analytical depth to [...] Read more.
The performance of remote sensing object detectors often degrades severely when deployed in new operational environments due to covariate shift in the data distribution. Existing evaluation paradigms, which primarily rely on aggregate performance metrics such as mAP, generally lack the analytical depth to provide insights into the mechanisms behind such generalization failures. To fill this critical gap, we propose the GRADE (Generalization Robustness Assessment via Distributional Evaluation) framework, a multi-dimensional, systematic methodology for assessing model robustness. The framework quantifies shifts in background context and object-centric features through a hierarchical analysis of distributional divergence, utilizing Scene-level Fréchet Inception Distance (FID) and Instance-level FID, respectively. These divergence measures are systematically integrated with a standardized performance decay metric to form a unified, adaptively weighted Generalization Score (GS). This composite score serves not only as an evaluation tool but also as a powerful analytical tool, enabling the fine-grained attribution of performance loss to specific sources of domain shift—whether originating from scene variations or anomalies in object appearance. Compared to conventional single-dimensional evaluation methods, the GRADE framework offers enhanced interpretability, a standardized evaluation protocol, and reliable cross-model comparability, establishing a principled theoretical foundation for cross-domain generalization assessment. Extensive empirical validation on six mainstream remote sensing benchmark datasets and multiple state-of-the-art detection models demonstrates that the model rankings produced by the GRADE framework exhibit high fidelity to real-world performance, thereby effectively quantifying and explaining the cross-domain generalization penalty. Full article
Show Figures

Figure 1

15 pages, 475 KB  
Article
Unveiling Sudden Transitions Between Classical and Quantum Decoherence in the Hyperfine Structure of Hydrogen Atoms
by Kamal Berrada and Smail Bougouffa
Entropy 2025, 27(11), 1161; https://doi.org/10.3390/e27111161 - 15 Nov 2025
Viewed by 426
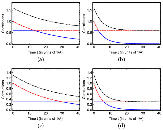
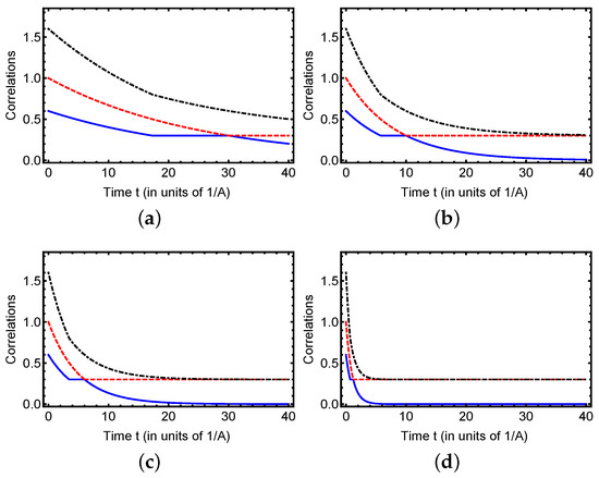
Abstract
This paper investigates the dynamics of quantum and classical geometric correlations in the hyperfine structure of the hydrogen atom under pure dephasing noise, focusing on the interplay between entangled initial states and environmental effects. We employ the Lindblad master equation to model dephasing, [...] Read more.
This paper investigates the dynamics of quantum and classical geometric correlations in the hyperfine structure of the hydrogen atom under pure dephasing noise, focusing on the interplay between entangled initial states and environmental effects. We employ the Lindblad master equation to model dephasing, deriving differential equations for the density matrix elements to capture the evolution of the system. The study explores various entangled initial states, characterized by parameters a1, a2, and a3, and their impact on correlation dynamics under different dephasing rates Γ. A trace distance approach is utilized to quantify classical and quantum geometric correlations, offering comparative insights into their behavior. Numerical analysis reveals a transition point where classical and quantum correlations equalize, followed by distinct decay and stabilization phases, influenced by initial coherence along the z-axis. Our results reveal a universal sudden transition from classical to quantum decoherence, consistent with observations in other open quantum systems. They highlight how initial state preparation and dephasing strength critically influence the stability of quantum and classical correlations, with direct implications for quantum metrology and the development of noise-resilient quantum technologies. By focusing on the hyperfine structure of hydrogen, this study addresses a timely and relevant problem, bridging fundamental quantum theory with experimentally accessible atomic systems and emerging quantum applications. Full article
(This article belongs to the Special Issue Quantum Information and Quantum Computation)
Show Figures

Figure 1

20 pages, 3683 KB  
Article
Auction- and Pheromone-Based Multi-UAV Cooperative Search and Rescue in Maritime Environments
by Wenqing Zhang, Gang Chen and Zhiwei Yang
Drones 2025, 9(11), 794; https://doi.org/10.3390/drones9110794 - 14 Nov 2025
Viewed by 476
Abstract
Unmanned aerial vehicles (UAVs) play an increasingly vital role in maritime search and rescue (SAR) because they can be deployed quickly, cover large ocean areas, and operate without exposing human crews to risk. Compared with single platforms, multi-UAV cooperation improves efficiency in locating [...] Read more.
Unmanned aerial vehicles (UAVs) play an increasingly vital role in maritime search and rescue (SAR) because they can be deployed quickly, cover large ocean areas, and operate without exposing human crews to risk. Compared with single platforms, multi-UAV cooperation improves efficiency in locating drifting targets influenced by wind and currents. However, existing allocation methods often focus only on immediate task benefits and neglect search history, leading to redundant revisits and lower overall efficiency. To address this problem, we propose a hybrid auction–pheromone framework for multi-UAV maritime SAR. The method combines an auction-based allocation strategy, which assigns tasks according to target probability, distance, and UAV workload, with a pheromone-guided mechanism that records visitation history through exponential decay to discourage repeated searches. A layered model is constructed, consisting of an airspace/weather constraint layer, a target probability layer, a pheromone layer, and a UAV motion layer. UAVs adopt A* path planning with a nearest-first policy, while a stagnation detector triggers dynamic reallocation when coverage slows. Simulation experiments verify the effectiveness of the proposed approach. Compared with auction-only and pheromone-only baselines, the hybrid method reduces the required steps by up to 27.1%, decreases the overlap ratio to 0.135–0.164, and increases the coverage speed by 64.7%. These results demonstrate that integrating explicit auctions with implicit pheromone memory significantly enhances scalability, robustness, and efficiency in multi-UAV maritime SAR. Future research will focus on dynamic drift modeling, real-world deployment, and heterogeneous UAV collaboration. Full article
Show Figures

Figure 1

16 pages, 9022 KB  
Article
Influence of Ground Conditions on Vibration Propagation and Response Under Accidental Impact Loads
by Jae-Kwang Ahn, Yong-Gook Lee, Sang-Rae Lee, Mintaek Yoo, Cheolwoo Park and Jae Sang Moon
Appl. Sci. 2025, 15(22), 12068; https://doi.org/10.3390/app152212068 - 13 Nov 2025
Viewed by 434
Abstract
Vibrations of unknown origin can cause fear and confusion when their sources are unrecognized. In modern construction environments, such vibrations may result not only from earthquakes but also from accidental impacts during industrial operations. However, due to the absence of established safety standards, [...] Read more.
Vibrations of unknown origin can cause fear and confusion when their sources are unrecognized. In modern construction environments, such vibrations may result not only from earthquakes but also from accidental impacts during industrial operations. However, due to the absence of established safety standards, evaluating and compensating for the effects of short-duration, high-intensity vibrations has remained difficult. This study investigates the characteristics of ground motions induced by accidental impact loads through finite element-based numerical simulations. The analyses identify key factors that control vibration propagation under various subsurface conditions. The results show that an impact load produces a single impulsive motion dominated by a vertical component, which decays exponentially with time. The amplitude of vibration increases with drop height and girder mass, confirming the relationship between potential energy and vibration intensity. The attenuation of peak particle velocity (PPV) follows a logarithmic pattern with distance, and the variation in attenuation depends on soil thickness and the presence of a weathered-rock layer. These results demonstrate that both the magnitude of impact and the ground composition control the amplitude, frequency content, and duration of impact-induced vibrations, providing a basis for assessing unmonitored accidental events. Full article
(This article belongs to the Special Issue Soil Dynamics and Earthquake Engineering)
Show Figures

Figure 1

22 pages, 13714 KB  
Article
Numerical Simulation of Flow-Field Characteristics of a Submerged Pre-Mixed Abrasive Water Jet Impinging on a Wall
by Jinfa Guan, Jimiao Duan, Peili Zhang, Sichen He, Shiming Chen, Jian Wang and Jun Xiao
Processes 2025, 13(11), 3647; https://doi.org/10.3390/pr13113647 - 11 Nov 2025
Viewed by 361
Abstract
To investigate the flow-field characteristics of a submerged pre-mixed abrasive water jet impinging on a wall, a physical model of the conical–cylindrical nozzle and computation domain of a submerged pre-mixed abrasive-water-jet flow field were established. Based on the software of FLUENT 2022R2, numerical [...] Read more.
To investigate the flow-field characteristics of a submerged pre-mixed abrasive water jet impinging on a wall, a physical model of the conical–cylindrical nozzle and computation domain of a submerged pre-mixed abrasive-water-jet flow field were established. Based on the software of FLUENT 2022R2, numerical simulation of the solid–liquid two-phase flow characteristics of the submerged pre-mixed abrasive water jet impinging on a wall was conducted using the DPM particle trajectory model and the realizable kε turbulence model. The simulation results indicate that a “water cushion layer” forms when the submerged pre-mixed abrasive water jet impinges on a wall. Tilting the nozzle appropriately facilitates the rapid dispersion of water and abrasive particles, which is beneficial for cutting. The axial-jet velocity increases rapidly in the convergent section of the nozzle, continues to accelerate over a certain distance after entering the cylindrical section, reaches its maximum value inside the nozzle, and then decelerates to a steady value before exiting the nozzle. In addition, the standoff distance has minimal impact on the flow-field characteristic inside the nozzle. When impinging on a wall surface, rapid decay of axial-jet velocity generates significant stagnation pressure. The stagnation pressure decreases with increasing standoff distance for different standoff-distance models. Considering the effects of standoff distance on jet velocity and abrasive particle dynamics, a standoff distance of 5 mm is determined to be optimal for submerged pre-mixed abrasive-water-jet pipe-cutting operations. When the submergence depth is less than 100 m, its effect on the flow-field characteristics of a submerged pre-mixed abrasive water jet impinging on a wall surface remains minimal. For underwater oil pipelines operating at depths not exceeding 100 m, the influence of submergence depth can be disregarded during cutting operations. Full article
(This article belongs to the Special Issue Numerical Simulation of Oil and Gas Storage and Transportation)
Show Figures

Figure 1

22 pages, 2727 KB  
Article
Field Measurement and 2.5D FE Analysis of Ground Vibrations Induced by High-Speed Train Moving on Embankment and Cutting
by Junwei Bi, Guangyun Gao, Zhaoyang Chen, Jiyan Zhang, Juan Chen and Yuhan Li
Buildings 2025, 15(22), 4034; https://doi.org/10.3390/buildings15224034 - 8 Nov 2025
Viewed by 353
Abstract
Field measurements of ground vibrations were conducted along the Paris–Brussels high-speed railway (HSR) to systematically analyze vibration characteristics generated by embankment and cutting sections. Utilizing the 2.5D finite element method (FEM), numerical models were developed for both earthworks to evaluate the influences of [...] Read more.
Field measurements of ground vibrations were conducted along the Paris–Brussels high-speed railway (HSR) to systematically analyze vibration characteristics generated by embankment and cutting sections. Utilizing the 2.5D finite element method (FEM), numerical models were developed for both earthworks to evaluate the influences of design parameters on ground vibration responses. Results demonstrate that train axle load dominates vibration amplitude in the near-track zone, while the superposition effect of adjacent wheelsets and bogies becomes predominant at larger distances. Vibration energy attenuates progressively with increasing distance from the track, with medium- and high-frequency components decaying more rapidly than low-frequency components. The dominant vibration frequency is determined by the fundamental train-loading frequency (f1), which increases with train speed. Distinct attenuation patterns are identified between earthwork types: embankments exhibit a two-stage attenuation process, whereas cuttings undergo three stages, including a vibration rebound phenomenon at the slope crest. Furthermore, greater embankment height or cutting depth reduces ground vibrations, but beyond a critical threshold, further increases yield negligible benefits. A higher elastic modulus of the embankment material correlates with reduced vibrations, and steeper cutting slopes, while ensuring slope stability, contribute to additional mitigation. Full article
(This article belongs to the Special Issue Soil–Structure Interactions for Civil Infrastructure)
Show Figures

Figure 1

28 pages, 6992 KB  
Article
Analysis of Thermally Induced Residual Stress in Resistance Welded PC/CF Composite to Aluminum
by Marcin Praski, Piotr Kowalczyk, Karolina Stankiewicz, Radosław Szumowski, Piotr Synaszko and Andrzej Leski
Materials 2025, 18(21), 4962; https://doi.org/10.3390/ma18214962 - 30 Oct 2025
Viewed by 581
Abstract
Thermoplastic composites are growing in popularity in the aerospace and automotive industries; they enable weldable and recyclable structures. Resistance welded hybrid thermoplastic and metal joints are attractive for rapid assembly, but the thermal mismatch between metals and polymers introduces residual stresses, which can [...] Read more.
Thermoplastic composites are growing in popularity in the aerospace and automotive industries; they enable weldable and recyclable structures. Resistance welded hybrid thermoplastic and metal joints are attractive for rapid assembly, but the thermal mismatch between metals and polymers introduces residual stresses, which can drive edge debonding and compromise durability. This study presents fabricated single-lap PC/CF–Al7075 coupons with measured mid-span bow resulting from welding, evaluated bond quality by step-heating thermography, and an evaluated framework for residual stress prediction using Ansys complemented by a bimetal analytical check. Three thermal cycles were examined with different temperature gradients (200, 220, 240 °C): the measured bow was 16.5 mm and remained constant, whereas analytical calculation increased with ΔT similarly to the FEM prediction. The current FEM under predicted the bow (Mean Absolute Percentage Error is 21%), showing stress contours that decay with distance from the bond and revealing pronounced peaks in both σxx and σzz components at weld edges, consistent with shear-lag theory. FEM returned edge-peaked peel rising from 43 to −64 MPa and σxx was up to 12% more compressive than analytical calculation; an effective CF/PC CTE of 1.5 × 10−6 K−1 reconciled curvature with test better than catalogue values. The temperature insensitive bow is attributed to polycarbonate flow/viscoelastic relaxation above Tg and hot relaxation in aluminum, with effects not represented in the elastic models. Edge peel and shear govern initiation risk. Full article
(This article belongs to the Section Advanced Composites)
Show Figures

Figure 1

30 pages, 46077 KB  
Article
Wind Farms Impacts on Land Surface Temperature and Its Driving Factors in an Arid Area of Xinjiang, China
by Hongnan Jiang, Mengyu Xie, Xu Li, Maohua Tian, Wangcai Cui and Doudou Hao
Sustainability 2025, 17(21), 9445; https://doi.org/10.3390/su17219445 - 24 Oct 2025
Viewed by 578
Abstract
Wind energy is vital for clean energy development in ecologically fragile arid regions. This study presents the first comprehensive analysis of wind farm impacts on land surface temperature (LST) in the extremely arid area of Xinjiang, China, using MODIS (2008–2022) and Landsat data. [...] Read more.
Wind energy is vital for clean energy development in ecologically fragile arid regions. This study presents the first comprehensive analysis of wind farm impacts on land surface temperature (LST) in the extremely arid area of Xinjiang, China, using MODIS (2008–2022) and Landsat data. Key findings include (1) pronounced nighttime warming in winter (up to 1.548 °C/15a) in densely turbine-populated areas, contrasting with autumn cooling; (2) Random Forest regression identifying wind speed, precipitation, NDVI, and snow cover as key drivers of LST changes; (3) enhanced post-construction warming, especially in summer nights in the Southeast Wind Zone; (4) significant thermal effects confirmed against non-affected areas, showing diurnal asymmetry and downwind warming; and (5) a distance–decay pattern of LST anomalies, strongest within 2–5 km of turbines yet detectable up to 20 km. These results reveal a unique spatial–seasonal complexity in LST changes induced by wind farms in arid regions, emphasizing the critical roles of topography and turbine density. This study underscores the necessity of integrating microclimate feedbacks into sustainable wind energy planning in arid environments. Full article
Show Figures

Figure 1

19 pages, 7230 KB  
Article
CFD-Based Estimation of Ship Waves in Shallow Waters
by Mingchen Ma, Ingoo Lee, Jungkeun Oh and Daewon Seo
J. Mar. Sci. Eng. 2025, 13(10), 1965; https://doi.org/10.3390/jmse13101965 - 14 Oct 2025
Viewed by 586
Abstract
This study examines the evolution characteristics of ship waves generated by large vessels in shallow waters. A CFD-based numerical wave tank, incorporating Torsvik’s ship wave theory, was developed using the VOF multiphase approach and the RNG k-ε turbulence model to capture free-surface evolution [...] Read more.
This study examines the evolution characteristics of ship waves generated by large vessels in shallow waters. A CFD-based numerical wave tank, incorporating Torsvik’s ship wave theory, was developed using the VOF multiphase approach and the RNG k-ε turbulence model to capture free-surface evolution and turbulence effects. Results indicate that wave heights vary significantly near the critical depth-based Froude number (Fh). Comparative analyses between CFD results for a Wigley hull and proposed empirical correction formulas show strong agreement in predicting maximum wave heights in transcritical and supercritical regimes, accurately capturing the nonlinear surge of wave amplitude in the transcritical range. Simulations of 2000-ton and 6000-ton class vessels further reveal that wave heights increase with Fh, peak in the transcritical regime, and subsequently decay. Lateral wave attenuation was also observed with increasing transverse distance, highlighting the role of vessel dimensions and bulbous bow structures in modulating wave propagation. These findings provide theoretical and practical references for risk assessment and navigational safety in shallow waterways. Full article
(This article belongs to the Section Ocean Engineering)
Show Figures

Figure 1

21 pages, 1922 KB  
Article
Real-Time Detection of LEO Satellite Orbit Maneuvers Based on Geometric Distance Difference
by Aoran Peng, Bobin Cui, Guanwen Huang, Le Wang, Haonan She, Dandan Song and Shi Du
Aerospace 2025, 12(10), 925; https://doi.org/10.3390/aerospace12100925 - 14 Oct 2025
Viewed by 1185
Abstract
Low Earth orbit (LEO) satellites, characterized by low altitudes, high velocities, and strong ground signal reception, have become an essential and dynamic component of modern global navigation satellite systems (GNSS). However, orbit decay induced by atmospheric drag poses persistent challenges to maintaining stable [...] Read more.
Low Earth orbit (LEO) satellites, characterized by low altitudes, high velocities, and strong ground signal reception, have become an essential and dynamic component of modern global navigation satellite systems (GNSS). However, orbit decay induced by atmospheric drag poses persistent challenges to maintaining stable trajectories. Frequent orbit maneuvers, though necessary to sustain nominal orbits, introduce significant difficulties for precise orbit determination (POD) and navigation augmentation, especially under complex operational conditions. Unlike most existing methods that rely on Two-Line Element (TLE) data—often affected by noise and limited accuracy—this study directly utilizes onboard GNSS observations in combination with real-time precise ephemerides. A novel time-series indicator is proposed, defined as the geometric root-mean-square (RMS) distance between reduced-dynamic and kinematic orbit solutions, which is highly responsive to orbit disturbances. To further enhance robustness, a sliding window-based adaptive thresholding mechanism is developed to dynamically adjust detection thresholds, maintaining sensitivity to maneuvers while suppressing false alarms. The proposed method was validated using eight representative maneuver events from the GRACE-FO satellites (May 2018–June 2022), successfully detecting seven of them. One extremely short-duration maneuver was missed due to the limited number of usable GNSS observations after quality-control filtering. To examine altitude-related applicability, two Sentinel-3A maneuvers were also analyzed, both successfully detected, confirming the method’s effectiveness at higher LEO altitudes. Since the thrust magnitudes and durations of the Sentinel-3A maneuvers are not publicly available, these cases primarily serve to verify applicability rather than to quantify sensitivity. Experimental results show that for GRACE-FO maneuvers, the proposed method achieves near-real-time responsiveness under long-duration, high-thrust conditions, with an average detection delay below 90 s. For Sentinel-3A, detections occurred approximately 7 s earlier than the reported maneuver epochs, a discrepancy attributed to the 30 s observation sampling interval rather than methodological bias. Comparative analysis with representative existing methods, presented in the discussion section, further demonstrates the advantages of the proposed approach in terms of sensitivity, timeliness, and adaptability. Overall, this study presents a practical, efficient, and scalable solution for real-time maneuver detection in LEO satellite missions, contributing to improved GNSS augmentation, space situational awareness, and autonomous orbit control. Full article
(This article belongs to the Special Issue Precise Orbit Determination of the Spacecraft)
Show Figures

Figure 1

Back to TopTop