Topic Editors

Prof. Dr. Shaorong Xie
School of Computer Engineering and Science, Shanghai University, Shanghai 200444, China
College of Intelligence Science and Technology, National University of Defense Technology, Changsha 410073, China
Prof. Dr. Wenxing Fu
Unmanned System Research Institute, Northwestern Polytechnical University, Xi’an 710072, China

International Conference on Autonomous Unmanned Systems (5th ICAUS 2025)

Abstract submission deadline
closed (31 October 2025)
Manuscript submission deadline
closed (31 December 2025)
Viewed by
18630

Topic Information

Dear Colleagues,

This topic offers a unique and attractive platform for scientists, engineers, and practitioners worldwide to present and share their recent research and innovative ideas in unmanned systems, robotics, automation, and intelligent systems. The aim of the topic is to stimulate researchers active in areas pertinent to intelligent unmanned systems. The topics of interest include, but are not limited to, the following:

  1. Unmanned aircraft systems;
  2. Unmanned ground systems;
  3. Unmanned surface/underwater systems;
  4. Space unmanned systems;
  5. Autonomous and cooperative control technology for unmanned systems;
  6. Intelligent environment-sensing technology for unmanned systems;
  7. Navigation and positioning technology for unmanned systems;
  8. Communications and networking technology for unmanned systems;
  9. Architecture, energy, and power technologies for unmanned systems;
  10. Payload technologies for unmanned systems;
  11. Task and effectiveness evaluation techniques for unmanned systems;
  12. Modeling and simulation technologies for unmanned systems;
  13. Intelligent information fusion and information processing in unmanned systems;
  14. Multi-agent collaborative theory and associated technologies;
  15. Brain–computer fusion and hybrid intelligence technology;
  16. Artificial intelligence algorithms and their application in unmanned systems;
  17. Bionic technology and its application in unmanned systems;
  18. Unmanned systems’ countermeasures technologies;
  19. Sociological theory and development of unmanned systems;
  20. Unmanned systems’ educational platform, mode and practice;
  21. New concepts in unmanned systems;
  22. Other relevant theories, methods, and techniques for unmanned systems.

Submitted papers will include, but are not limited to, extended versions of accepted conference papers in ICAUS 2025, which will be held on 17–19 October 2025 in Shanghai, China. The maximum percentage of overlap will be 30%. Authors must reference the corresponding conference papers. The authors of extended versions of the accepted conference papers in ICAUC 2025 will potentially enjoy a 20% discount on the Article Processing Charge.

Prof. Dr. Shaorong Xie
Prof. Dr. Yifeng Niu
Prof. Dr. Wenxing Fu
Topic Editors

Keywords

  • unmanned systems
  • robotics
  • automation
  • intelligent systems
  • artificial intelligence

Participating Journals

Journal Name Impact Factor CiteScore Launched Year First Decision (median) APC
Aerospace
aerospace
2.2 4.0 2014 22.9 Days CHF 2400
Automation
automation
2.0 4.1 2020 30.9 Days CHF 1200
Drones
drones
4.8 7.4 2017 20.8 Days CHF 2600
Electronics
electronics
2.6 6.1 2012 16.4 Days CHF 2400

Preprints.org is a multidisciplinary platform offering a preprint service designed to facilitate the early sharing of your research. It supports and empowers your research journey from the very beginning.

MDPI Topics is collaborating with Preprints.org and has established a direct connection between MDPI journals and the platform. Authors are encouraged to take advantage of this opportunity by posting their preprints at Preprints.org prior to publication:

  1. Share your research immediately: disseminate your ideas prior to publication and establish priority for your work.
  2. Safeguard your intellectual contribution: Protect your ideas with a time-stamped preprint that serves as proof of your research timeline.
  3. Boost visibility and impact: Increase the reach and influence of your research by making it accessible to a global audience.
  4. Gain early feedback: Receive valuable input and insights from peers before submitting to a journal.
  5. Ensure broad indexing: Web of Science (Preprint Citation Index), Google Scholar, Crossref, SHARE, PrePubMed, Scilit and Europe PMC.

Published Papers (13 papers)

Order results
Result details
Journals
Select all
Export citation of selected articles as:
27 pages, 5365 KB  
Article
Autonomous Maneuvering Decision-Making Method for Unmanned Aerial Vehicle Based on Soft Actor-Critic Algorithm
by Shiming Quan, Su Cao, Chang Wang and Huangchao Yu
Drones 2026, 10(1), 35; https://doi.org/10.3390/drones10010035 - 6 Jan 2026
Viewed by 760
Abstract
Focusing on continuous action space methods for autonomous maneuvering decision making in 1v1 unmanned aerial vehicle scenarios, this paper first establishes a UAV kinematic model and a decision-making framework under the Markov Decision Process. Second, a continuous control strategy based on the Soft [...] Read more.
Focusing on continuous action space methods for autonomous maneuvering decision making in 1v1 unmanned aerial vehicle scenarios, this paper first establishes a UAV kinematic model and a decision-making framework under the Markov Decision Process. Second, a continuous control strategy based on the Soft Actor-Critic (SAC) reinforcement learning algorithm is developed to generate precise maneuvering commands. Then, a multi-dimensional situation-coupled reward function is designed, introducing a Health Point (HP) metric to assess situational advantages and simulate cumulative effects quantitatively. Finally, extensive simulations in a custom Gym environment validate the effectiveness of the proposed method and its robustness under both ideal and noisy observation conditions. Full article
Show Figures

Figure 1

15 pages, 4002 KB  
Article
LiDAR–Visual–Inertial Multi-UGV Collaborative SLAM Framework
by Hongyu Wei, Pingfan Wu, Xutong Zhang, Jianyong Zheng, Jianzheng Zhang and Kun Wei
Drones 2026, 10(1), 31; https://doi.org/10.3390/drones10010031 - 5 Jan 2026
Viewed by 2019
Abstract
The collaborative execution of tasks by multiple Unmanned Ground Vehicles (UGVs) has become a development trend in the field of unmanned systems. Existing collaborative Simultaneous Localization and Mapping (SLAM) frameworks mainly employ methods based on visual–inertial or LiDAR–inertial. However, the use of C-SLAM [...] Read more.
The collaborative execution of tasks by multiple Unmanned Ground Vehicles (UGVs) has become a development trend in the field of unmanned systems. Existing collaborative Simultaneous Localization and Mapping (SLAM) frameworks mainly employ methods based on visual–inertial or LiDAR–inertial. However, the use of C-SLAM based on these three types of sensors is relatively less common. Therefore, these systems cannot achieve robust and accurate global localization performance in real-world environments. In order to address this issue, a LiDAR–visual–inertial multi-UGV collaborative SLAM framework is proposed in this paper. The whole system is divided into three parts. The first part constructs a front-end odometry by integrating the raw information from LiDAR, visual, and inertial sensors, which provides the accurate initial pose estimation and local mapping of each UGV for the collaborative system. The second part utilizes the similarity of different local mappings to form a global mapping of the environment. The third part achieves global localization and mapping optimization for multi-UGV localization system. In order to verify the effectiveness of the proposed framework, a series of real-world experiments have been conducted. Over an average trajectory length of 237 m, the framework achieves a mean Absolute Pose Error (APE) of 1.49 m and Relative Pose Error (RPE) of 1.68° after the global optimization. The experimental results demonstrate that the proposed framework achieves superior collaborative localization and mapping performance, with the mean APE reduced by 5.4% and mean RPE reduced by 1.4% compared to other methods. Full article
Show Figures

Figure 1

27 pages, 8729 KB  
Article
Anti-Disturbance for ST-VTOL UAV via Sliding Mode Control with Enhanced Observer
by Jiahui Zhang, Jinwu Xiang, Daochun Li, Gang Yang, Weicheng Di, Ligang Zhang and Zhan Tu
Drones 2025, 9(12), 843; https://doi.org/10.3390/drones9120843 - 8 Dec 2025
Cited by 1 | Viewed by 900
Abstract
As a classical disturbance observation method, the extended state observer (ESO) is commonly used in controllers for disturbance estimation and feedback control. However, the ESO relies mainly on input–output signals and does not fully utilize information from system derivatives and the system’s dynamic [...] Read more.
As a classical disturbance observation method, the extended state observer (ESO) is commonly used in controllers for disturbance estimation and feedback control. However, the ESO relies mainly on input–output signals and does not fully utilize information from system derivatives and the system’s dynamic structure. This underuse limits its effectiveness for vertical take-off and landing (VTOL) uncrewed aerial vehicles (UAVs). This limitation is especially problematic in small tailless VTOL UAVs (ST-VTOL UAVs). While these UAVs can switch modes and operate in confined spaces, they are highly susceptible to disturbances such as wind. To address this issue, this paper applies a novel disturbance rejection controller to an ST-VTOL UAV. Specifically, the controller replaces the traditional linear ESO with an enhanced state compensation function observer (SCFO) and integrates it with an equivalent sliding mode controller (ESMC). Simulation results demonstrate that the SCFO achieves substantially higher disturbance-estimation accuracy than both the classical ESO and its fal–function–enhanced variant. Flight experiments on the ST-VTOL UAV confirm that the proposed method reduces tracking error compared with a conventional PID controller and maintains stable hovering under external disturbances. Full article
Show Figures

Figure 1

21 pages, 6895 KB  
Article
An Innovative Multi-Scale Feature Fusion Network for Change Detection of Remote Sensing Images
by Shiqi Li, Junyu Wei, Shaojing Su, Zongqing Zhao, Weijia Gao, Zhendong Wang, Yongqi Li and Tao Ou
Electronics 2025, 14(23), 4628; https://doi.org/10.3390/electronics14234628 - 25 Nov 2025
Cited by 1 | Viewed by 789
Abstract
Change detection in remote sensing images is crucial for various applications such as military reconnaissance and urban management. However, traditional change detection methods suffer from low accuracy and complex operations. Meanwhile, existing deep learning approaches struggle to fully understand multi-scale semantic information, and [...] Read more.
Change detection in remote sensing images is crucial for various applications such as military reconnaissance and urban management. However, traditional change detection methods suffer from low accuracy and complex operations. Meanwhile, existing deep learning approaches struggle to fully understand multi-scale semantic information, and thus still face limitations in accuracy and generalization capability. To overcome these limitations, this paper proposed the MSTAN, which consists of a multi-scale Transformer encoder and a decoder centered on a four-layer ASFF module. The four-layer ASFF module dynamically learns spatially adaptive weights to capture multi-scale semantic information. Comparative experiments demonstrate that MSTAN achieves high-precision change detection. Cross-dataset evaluation experiments demonstrate that MSTAN possesses strong generalization ability. Ablation experiments confirm the effectiveness of the four-layer ASFF module in fusing multi-scale features. Complexity analysis quantifies the computational overhead of the four-layer ASFF module. These results highlight MSTAN’s powerful generalization capability and its promising potential for change detection tasks. Full article
Show Figures

Figure 1

19 pages, 875 KB  
Article
CogMUS: A Soar-Based Cognitive Framework for Mission Understanding in Multi-UAV Cooperative Operation
by Jiaxin Hu, Tao Wang, Hongrun Wang and Jingshuai Cao
Drones 2025, 9(12), 813; https://doi.org/10.3390/drones9120813 - 24 Nov 2025
Viewed by 933
Abstract
The cooperative operation of multiple Unmanned Aerial Vehicles (multi-UAV) is emerging as a pivotal trend in future complex autonomous systems. To enable accurate mission understanding and efficient collaboration among UAVs in complex, dynamic, and uncertain operational environments, this paper introduces CogMUS, a novel [...] Read more.
The cooperative operation of multiple Unmanned Aerial Vehicles (multi-UAV) is emerging as a pivotal trend in future complex autonomous systems. To enable accurate mission understanding and efficient collaboration among UAVs in complex, dynamic, and uncertain operational environments, this paper introduces CogMUS, a novel cooperative mission understanding framework based on the Soar cognitive architecture. We first construct a mission understanding framework for UAV operations centered around five typical mission categories. Building on this foundation, we design a distributed cognitive model where each UAV is equipped with a Soar agent. This model leverages the synergy of working memory (WM), long-term memory (LTM), and the decision cycle (DC) to achieve key functionalities, including hierarchical mission decomposition, dynamic task allocation, and proactive airspace conflict detection and resolution. Through comprehensive simulation experiments, we validate the performance of the proposed CogMUS framework across key metrics, including task understanding accuracy, cooperative efficiency, and overall task completion rate. The results demonstrate that CogMUS exhibits superior adaptability to diverse scenarios, as well as remarkable scalability and robustness. Full article
Show Figures

Figure 1

15 pages, 842 KB  
Article
Hierarchical Decision Making-Based Intelligent Game Confrontation on UAV Swarm
by Guannan Chang, Siyuan Ren, Shuna Zhang and Xiaofeng Zhang
Aerospace 2025, 12(12), 1033; https://doi.org/10.3390/aerospace12121033 - 21 Nov 2025
Cited by 1 | Viewed by 1257
Abstract
To address the challenge of decision making in close-range air combat for fixed-wing unmanned air vehicle (UAV) swarms, this paper proposes a distributed Hierarchical Cooperative Soft Actor-Critic with maximum entropy (HC-SAC) framework. A top-level target decision-making and bottom-level maneuvering framework is designed to [...] Read more.
To address the challenge of decision making in close-range air combat for fixed-wing unmanned air vehicle (UAV) swarms, this paper proposes a distributed Hierarchical Cooperative Soft Actor-Critic with maximum entropy (HC-SAC) framework. A top-level target decision-making and bottom-level maneuvering framework is designed to resolve convergence issues in traditional multi-agent reinforcement learning, typically for long mission durations and complex state spaces. Friendly tactics are incorporated into top-level decisions to enhance coordination, with both offensive and defensive sub-policies balanced for swarm confrontations. These policies are trained using the Soft Actor-Critic (SAC) deep reinforcement learning algorithm with specific reward functions, and the effectiveness of this method is verified through 5v5 swarm game confrontation simulations. Full article
Show Figures

Figure 1

20 pages, 4372 KB  
Article
Cross-Subject Cognitive State Assessment for Unmanned System Operators Based on Brain Functional Connectivity
by Jun Chen, Fanzhou Zhao, Xinyu Zhang, Xiaoyu Hu and Kailun Ji
Drones 2025, 9(11), 808; https://doi.org/10.3390/drones9110808 - 19 Nov 2025
Viewed by 1025
Abstract
During the operation of Unmanned Aerial Vehicles (UAVs), the cognitive state of operators is prone to decline, posing a risk to task performance. However, many existing cognitive state assessment methods rely directly on raw electroencephalography (EEG) signals, yet exhibit limited robustness when applied [...] Read more.
During the operation of Unmanned Aerial Vehicles (UAVs), the cognitive state of operators is prone to decline, posing a risk to task performance. However, many existing cognitive state assessment methods rely directly on raw electroencephalography (EEG) signals, yet exhibit limited robustness when applied across different individuals. To address this limitation and leverage the spatial information and inter-electrode relationships effectively captured by brain functional connectivity networks, this paper proposes an assessment method based on functional connectivity networks. Data from ten participants under three cognitive states were used to train and test various models on a per-subject basis, where each participant’s data was partitioned into separate training and testing sets. The results demonstrate that the proposed method achieves a mean recognition accuracy of 98.76% with a variance of 0.0113, representing an improvement of at least 7.01% in accuracy and a reduction of at least 0.0191 in variance compared to conventional approaches. This approach facilitates timely cognitive state identification, thereby enhancing the reliability of human–machine interaction in unmanned systems. Full article
Show Figures

Figure 1

18 pages, 1288 KB  
Article
Automated UAV Object Detector Design Using Large Language Model-Guided Architecture Search
by Fei Kong, Xiaohan Shan, Yanwei Hu and Jianmin Li
Drones 2025, 9(11), 803; https://doi.org/10.3390/drones9110803 - 18 Nov 2025
Cited by 2 | Viewed by 1538
Abstract
Neural Architecture Search (NAS) is critical for developing efficient and robust perception models for UAV and drone-based applications, where real-time small object detection and computational constraints are major challenges. Existing NAS methods, including recent approaches leveraging large language models (LLMs), often suffer from [...] Read more.
Neural Architecture Search (NAS) is critical for developing efficient and robust perception models for UAV and drone-based applications, where real-time small object detection and computational constraints are major challenges. Existing NAS methods, including recent approaches leveraging large language models (LLMs), often suffer from static resource allocation and ambiguous architecture generation, limiting their effectiveness in dynamic aerial scenarios. In this study, we propose PhaseNAS, an adaptive LLM-driven NAS framework designed for drone perception tasks. PhaseNAS dynamically adjusts LLM capacity across exploration and refinement phases, and introduces a structured template language to bridge natural language prompts with executable model code. We also develop a zero-shot detection score for rapid screening of candidate YOLO-based architectures without full training. Experiments on NAS-Bench-Macro, CIFAR-10/100, COCO, and VisDrone2019 demonstrate that PhaseNAS consistently discovers superior architectures, reducing search time by up to 86% while improving accuracy and resource efficiency. On UAV detection benchmarks, PhaseNAS yields YOLOv8 variants with higher mAP and reduced computational cost, highlighting its suitability for real-time onboard deployment. These results indicate that PhaseNAS offers a practical and generalizable solution for autonomous AI model design in next-generation UAV systems. Full article
Show Figures

Figure 1

19 pages, 3299 KB  
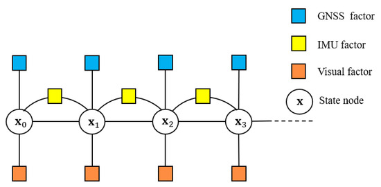
Article
GPLVINS: Tightly Coupled GNSS-Visual-Inertial Fusion for Consistent State Estimation with Point and Line Features for Unmanned Aerial Vehicles
by Xinyu Chen, Shuaixin Li, Ruifeng Lu and Xiaozhou Zhu
Drones 2025, 9(11), 801; https://doi.org/10.3390/drones9110801 - 17 Nov 2025
Cited by 1 | Viewed by 1723
Abstract
The employment of linear features to enhance the positioning precision and robustness of point-based VIO (visual-inertial odometry) has attracted mounting attention, especially for UAV (unmanned aerial vehicle) applications where reliable 6-DoF pose estimation is critical for autonomous navigation, mission execution, and safety. This [...] Read more.
The employment of linear features to enhance the positioning precision and robustness of point-based VIO (visual-inertial odometry) has attracted mounting attention, especially for UAV (unmanned aerial vehicle) applications where reliable 6-DoF pose estimation is critical for autonomous navigation, mission execution, and safety. This paper presents GPLVINS—GNSS (global navigation satellite system)-point-line-visual-inertial navigation system—a UAV-tailored enhancement of the nonlinear optimization-based GVINS (GNSS-visual-inertial navigation system). Unlike GVINS, which struggles with feature extraction in weak-texture environments and depends entirely on point features, GPLVINS innovatively integrates line features into its state optimization framework to enhance robustness and accuracy. While existing studies adopt the LSD (line segment detector) algorithm for line feature extraction, this approach often generates numerous short line segments in real-world scenes. Such an outcome not only increases computational costs but also degrades pose estimation performance. In order to address this issue, the present study proposes an NMS (non-maximum suppression) strategy for the refinement of LSD. The line reprojection residual is then formulated as the distance between point and line, which is incorporated into the nonlinear optimization process. Experimental validations on open-source datasets and self-collected UAV datasets across indoor, outdoor, and indoor–outdoor transition scenarios demonstrate that GPLVINS exhibits superior positioning performance and enhanced robustness for UAVs in environments with feature degradation or drastic lighting intensity variations. Full article
Show Figures

Figure 1

21 pages, 23269 KB  
Article
Wavelet-Guided Zero-Reference Diffusion for Unsupervised Low-Light Image Enhancement
by Yuting Peng, Xiaojun Guo, Mengxi Xu, Bing Ding, Bei Sun and Shaojing Su
Electronics 2025, 14(22), 4460; https://doi.org/10.3390/electronics14224460 - 16 Nov 2025
Viewed by 1365
Abstract
Low-light image enhancement (LLIE) remains a challenging task due to the scarcity of paired training data and the complex signal-dependent noise inherent in low-light scenes. To address these issues, this paper proposes a fully unsupervised framework named Wavelet-Guided Zero-Reference Diffusion (WZD) for natural [...] Read more.
Low-light image enhancement (LLIE) remains a challenging task due to the scarcity of paired training data and the complex signal-dependent noise inherent in low-light scenes. To address these issues, this paper proposes a fully unsupervised framework named Wavelet-Guided Zero-Reference Diffusion (WZD) for natural low-light image restoration. WZD leverages an ImageNet-pre-trained diffusion prior and a multi-scale representation of the Discrete Wavelet Transform (DWT) to restore natural illumination from a single dark image. Specifically, the input low-light image is first processed by a Practical Exposure Corrector (PEC) to provide an initial robust luminance baseline. It is then converted from the RGB to the YCbCr color space. The Y channels of the input image and the current diffusion estimate are decomposed into four orthogonal sub-bands—LL, LH, HL, and HH—and fused via learnable, step-wise weights while preserving structural integrity. An exposure control loss and a detail consistency loss are jointly employed to suppress over/under-exposure and preserve high-frequency details. Unlike recent approaches that rely on complex supervised training or lack physical guidance, our method integrates wavelet guidance with a zero-reference learning framework, incorporates the PEC module as a physical prior, and achieves significant improvements in detail preservation and noise suppression without requiring paired training data. Comprehensive experiments on the LOL-v1, LOL-v2, and LSRW datasets demonstrate that WZD achieves a superior or competitive performance, surpassing all referenced unsupervised methods. Ablation studies confirm the critical roles of the PEC prior, YCbCr conversion, wavelet-guided fusion, and the joint loss function. WZD also enhances the performance of downstream tasks, verifying its practical value. Full article
Show Figures

Figure 1

20 pages, 3683 KB  
Article
Auction- and Pheromone-Based Multi-UAV Cooperative Search and Rescue in Maritime Environments
by Wenqing Zhang, Gang Chen and Zhiwei Yang
Drones 2025, 9(11), 794; https://doi.org/10.3390/drones9110794 - 14 Nov 2025
Cited by 3 | Viewed by 1087
Abstract
Unmanned aerial vehicles (UAVs) play an increasingly vital role in maritime search and rescue (SAR) because they can be deployed quickly, cover large ocean areas, and operate without exposing human crews to risk. Compared with single platforms, multi-UAV cooperation improves efficiency in locating [...] Read more.
Unmanned aerial vehicles (UAVs) play an increasingly vital role in maritime search and rescue (SAR) because they can be deployed quickly, cover large ocean areas, and operate without exposing human crews to risk. Compared with single platforms, multi-UAV cooperation improves efficiency in locating drifting targets influenced by wind and currents. However, existing allocation methods often focus only on immediate task benefits and neglect search history, leading to redundant revisits and lower overall efficiency. To address this problem, we propose a hybrid auction–pheromone framework for multi-UAV maritime SAR. The method combines an auction-based allocation strategy, which assigns tasks according to target probability, distance, and UAV workload, with a pheromone-guided mechanism that records visitation history through exponential decay to discourage repeated searches. A layered model is constructed, consisting of an airspace/weather constraint layer, a target probability layer, a pheromone layer, and a UAV motion layer. UAVs adopt A* path planning with a nearest-first policy, while a stagnation detector triggers dynamic reallocation when coverage slows. Simulation experiments verify the effectiveness of the proposed approach. Compared with auction-only and pheromone-only baselines, the hybrid method reduces the required steps by up to 27.1%, decreases the overlap ratio to 0.135–0.164, and increases the coverage speed by 64.7%. These results demonstrate that integrating explicit auctions with implicit pheromone memory significantly enhances scalability, robustness, and efficiency in multi-UAV maritime SAR. Future research will focus on dynamic drift modeling, real-world deployment, and heterogeneous UAV collaboration. Full article
Show Figures

Figure 1

13 pages, 10011 KB  
Article
High-Accuracy Rocket Landing via Lossless Convexification
by Wei Xiao, Bei Hong, Junpeng Liu, Xiaofei Chang and Wenxing Fu
Aerospace 2025, 12(11), 1009; https://doi.org/10.3390/aerospace12111009 - 12 Nov 2025
Viewed by 1233
Abstract
With the development of rocket technology, achieving high-precision landing has become a key technical challenge in the field of aerospace. To cope with this challenge, we propose a lossless convexification algorithm based on the integral pseudospectral method in this paper. Firstly, for the [...] Read more.
With the development of rocket technology, achieving high-precision landing has become a key technical challenge in the field of aerospace. To cope with this challenge, we propose a lossless convexification algorithm based on the integral pseudospectral method in this paper. Firstly, for the fuel optimization problem, the continuous dynamic equations and constraints are discretized with high accuracy using an integral-type pseudospectral method. By constructing a global integration matrix at Legendre–Gauss nodes, the original complex continuous problem is effectively transformed into a discrete form that is more tractable for numerical optimization. Secondly, the non-convex constraints are transformed using the lossless convexification technique, thereby reformulating the original problem as a second-order cone programming (SOCP) problem. The effectiveness of the proposed algorithm is validated through numerical simulations, which demonstrate high landing accuracy, robustness, and fuel efficiency. These results highlight the algorithm’s high performance and strong potential for practical application in space missions. Full article
Show Figures

Figure 1

40 pages, 10740 KB  
Article
Structural Design of an Unmanned Aerial Underwater Vehicle with Coaxial Twin Propellers and the Numerical Simulation of the Cross-Domain Characteristics
by Jiancheng Wang, Yikun Feng, Guoqing Zhang, Qiqian Ge, Haobin Jin and Zhewei Zhang
Drones 2025, 9(11), 766; https://doi.org/10.3390/drones9110766 - 6 Nov 2025
Cited by 1 | Viewed by 1722
Abstract
This paper addresses the structural adaptability and dynamic stability challenges faced by unmanned aerial underwater vehicle (UAUV) during the transition between air and water. To overcome these issues, this paper innovatively proposes a UAUV that uses coaxial twin propellers for propulsion and conducts [...] Read more.
This paper addresses the structural adaptability and dynamic stability challenges faced by unmanned aerial underwater vehicle (UAUV) during the transition between air and water. To overcome these issues, this paper innovatively proposes a UAUV that uses coaxial twin propellers for propulsion and conducts a detailed overall structural design and subsystem design for it. Accurate prediction of the kinematic characteristics of UAUV during cross-domain motion is of great significance for the design of high-performance UAUVs. Therefore, a numerical simulation method for UAUV cross-domain motion based on the STAR CCM+ (version 202402) software, the volume of fluid (VOF) method, and the dynamic fluid body interaction (DFBI) module was established. The results showed that when the water-entry speed is small, as the water-entry angle increases, the UAUV’s movement trajectory will exhibit continuous undulating motion. Moreover, during the water-exit process, the smaller the water-exit speed and angle, the greater the change in attitude. The analysis of the dynamic characteristics of cavitation during the UAUV’s water-entry process reveals that the premature rupture of the cavities is detrimental to the UAUV’s movement along the initial entry direction. During the process of the UAUV’s exit from the water, the detachment of water adhering to the UAUV surface will cause certain disturbances to its attitude. The findings of this study provide key theoretical insights and technical references for optimizing the structural design of UAUVs. Full article
Show Figures

Figure 1

Back to TopTop