Sign in to use this feature.

Years

Between: -

Subjects

remove_circle_outline
remove_circle_outline
remove_circle_outline
remove_circle_outline
remove_circle_outline
remove_circle_outline
remove_circle_outline
remove_circle_outline
remove_circle_outline

Journals

remove_circle_outline
remove_circle_outline
remove_circle_outline
remove_circle_outline
remove_circle_outline
remove_circle_outline
remove_circle_outline
remove_circle_outline
remove_circle_outline
remove_circle_outline
remove_circle_outline
remove_circle_outline
remove_circle_outline
remove_circle_outline
remove_circle_outline
remove_circle_outline
remove_circle_outline

Article Types

Countries / Regions

remove_circle_outline
remove_circle_outline
remove_circle_outline
remove_circle_outline
remove_circle_outline

Search Results (3,981)

Search Parameters:
Keywords = diffractive optics

Order results
Result details
Results per page
Select all
Export citation of selected articles as:
16 pages, 2727 KB  
Article
γ-Valerolactone Pulping as a Sustainable Route to Micro- and Nanofibrillated Cellulose from Sugarcane Bagasse
by Roxana Giselle González, Nanci Ehman, Fernando Esteban Felissia, María Evangelina Vallejos and María Cristina Area
Processes 2025, 13(12), 4065; https://doi.org/10.3390/pr13124065 - 16 Dec 2025
Abstract
The study explores γ-valerolactone (GVL) pulps as a sustainable approach to producing microfibrillated (MFC) and nanofibrillated (NFC) cellulose from sugarcane bagasse, a widely available agro-industrial by-product. Pulp was obtained by acid-catalyzed organosolv delignification with a GVL–water system. MFC was generated through a simple [...] Read more.
The study explores γ-valerolactone (GVL) pulps as a sustainable approach to producing microfibrillated (MFC) and nanofibrillated (NFC) cellulose from sugarcane bagasse, a widely available agro-industrial by-product. Pulp was obtained by acid-catalyzed organosolv delignification with a GVL–water system. MFC was generated through a simple disc refiner, while NFC was produced by TEMPO-mediated oxidation followed by mechanical treatment in a colloidal mill. NFC and MFC produced using the same methodology from a commercial sugarcane totally chlorine-free (TCF) soda–anthraquinone (soda–AQ) pulp served as a reference. Structural and physicochemical characterization involved optical transmittance, turbidity, conductimetry, X-ray diffraction, viscosity, FTIR, carboxyl content, cationic demand, degree of polymerization, and morphology by scanning electron microscopy (SEM). Results demonstrated that xylan and residual lignin contents influenced MFC formation, and the NFC showed properties comparable to those of the commercial pulp with fewer fibrillation passes. The study highlights GVL pulping as a greener, efficient alternative to conventional processes, opening new pathways for producing viscosity-controlled nanocellulose suspensions suitable for advanced applications. Full article
(This article belongs to the Special Issue Sustainable Nanocellulose Processes Toward New Products and Markets)
Show Figures

Figure 1

14 pages, 3483 KB  
Article
The Influence of Annealing on the Structural, Optical and Electrical Properties of Copper Selenite Nanocrystals Synthesized by the Chemical Deposition Method
by Gulnaz Sarsekhan, Abay Usseinov, Aiman Akylbekova, Abdirash Akilbekov, Alma Dauletbekova, Diana Junisbekova, Ainash Abdrakhmetova, Gulnara Aralbayeva, Leila Kassenova and Zein Baimukhanov
Crystals 2025, 15(12), 1060; https://doi.org/10.3390/cryst15121060 - 14 Dec 2025
Viewed by 100
Abstract
This work presents a study of copper selenite nanocrystals, obtained for the first time by chemical deposition (template synthesis) in a SiO2/Si track template, and investigates their properties. The obtained nanostructures were subjected to structural, optical, and electrical analysis. After deposition, [...] Read more.
This work presents a study of copper selenite nanocrystals, obtained for the first time by chemical deposition (template synthesis) in a SiO2/Si track template, and investigates their properties. The obtained nanostructures were subjected to structural, optical, and electrical analysis. After deposition, X-ray diffraction (XRD) analysis confirmed the formation of the orthorhombic phase CuSeO3. Subsequent annealing in a vacuum at 800 °C and 1000 °C led to successive phase transformations: to the monoclinic phase and, finally, to the triclinic polymorph of copper selenite. Photoluminescence (PL) analysis showed that the intensity and spectral position of the emission peaks vary depending on the crystal structure, which is associated with changes in defects and bandgap width as a result of heat treatment. Current–voltage characteristic (CVC) measurements showed that the phase composition significantly affects electrical conductivity. In particular, the transition to the triclinic phase after annealing at 1000 °C led to noticeable changes in optical and electrical properties compared to the initial material. Thus, a direct relationship has been established between heat treatment conditions, crystal structure, and functional properties of CuSeO3-based materials, opening up possibilities for their application in photonics and electronics. Full article
(This article belongs to the Special Issue Electronic Phenomena of Transition Metal Oxides Volume II)
Show Figures

Figure 1

25 pages, 4782 KB  
Article
Comprehensive Structural and Interfacial Characterization of Laser-Sliced SiC Wafers
by Hong Chen, Seul Lee, Minseung Kang, Hye Seon Youn, Seongwon Go, Eunsook Kang and Chae-Ryong Cho
Materials 2025, 18(24), 5615; https://doi.org/10.3390/ma18245615 - 14 Dec 2025
Viewed by 186
Abstract
Laser slicing has emerged as a promising low-kerf and low-damage technique for SiC wafer fabrication; however, its effects on the crystal integrity, near-surface modification, and charge-transport properties require further clarification. Here, a heavily N-doped 4° off-axis 4H-SiC wafer was sliced using an ultraviolet [...] Read more.
Laser slicing has emerged as a promising low-kerf and low-damage technique for SiC wafer fabrication; however, its effects on the crystal integrity, near-surface modification, and charge-transport properties require further clarification. Here, a heavily N-doped 4° off-axis 4H-SiC wafer was sliced using an ultraviolet (UV) picosecond laser, and both laser-irradiated and laser-sliced surfaces were comprehensively characterized. X-ray diffraction and pole figure measurements confirmed that the 4H stacking sequence and macroscopic crystal orientation were preserved after slicing. Raman spectroscopy, including analysis of the folded transverse-optical and longitudinal-optical phonon–plasmon coupled modes, enabled dielectric function fitting and determination of the plasmon frequency, yielding a free-carrier concentration of ~3.1 × 1018 cm−3. Hall measurements provided consistent carrier density, mobility, and resistivity, demonstrating that the laser slicing process did not degrade bulk electrical properties. Multi-scale Atomic Force Microscopy (AFM), Angle-Resolved X-Ray Photoelectron Spectroscopy (ARXPS), Secondary Ion Mass Spectrometry (SIMS), and Transmission Electron Microscopy (TEM)/Selected Area Electron Diffraction (SAED) analyses revealed the formation of a near-surface thin amorphous/polycrystalline modified layer and an oxygen-rich region, with significantly increased roughness and thicker modified layers on the hilly regions of the sliced surface. These results indicate that UV laser slicing maintains the intrinsic crystalline and electrical properties of 4H-SiC while introducing localized nanoscale surface damage that must be minimized by optimizing the slicing parameters and the subsequent surface-finishing processes. Full article
(This article belongs to the Section Advanced Materials Characterization)
Show Figures

Figure 1

15 pages, 1819 KB  
Article
Development of a High-Sensitivity Humidity Sensor Using Fiber Bragg Grating Coated with LiCl@UIO-66-Doped Hydrogel
by Binxiaojun Liu, Zelin Gao, Runqi Yao, Liyun Ding and Xusheng Xia
Materials 2025, 18(24), 5587; https://doi.org/10.3390/ma18245587 - 12 Dec 2025
Viewed by 168
Abstract
Humidity monitoring is essential in industrial and scientific scenarios, yet remains challenging for compact EMI (electromagnetic interference)-immune sensors with high sensitivity and robust stability. A novel fiber Bragg grating (FBG) humidity sensor was developed, which incorporated LiCl@UIO-66 microfillers within a poly(N-isopropylacrylamide) (PNIPAM) hydrogel [...] Read more.
Humidity monitoring is essential in industrial and scientific scenarios, yet remains challenging for compact EMI (electromagnetic interference)-immune sensors with high sensitivity and robust stability. A novel fiber Bragg grating (FBG) humidity sensor was developed, which incorporated LiCl@UIO-66 microfillers within a poly(N-isopropylacrylamide) (PNIPAM) hydrogel matrix. Structural characterization using X-ray diffraction (XRD), scanning electron microscopy (SEM), energy-dispersive X-ray spectroscopy (EDS), and Fourier-transform infrared (FTIR) spectroscopy confirms that LiCl is confined or nanodispersed within intact UIO-66, and that interfacial ion–dipole/hydrogen-bonding exists between the composite and water. Systematic variation in coating time (30–720 min) reveals monotonic growth of the total wavelength shift with diminishing returns. A coating time of 4 h was found to yield a wavelength shift of approximately 0.38–0.40 nm, representing about 82% of the maximum shift observed at 12 h, while maintaining good quasi-linearity and favorable kinetics. Calibration demonstrates sensitivities of 6.7 pm/%RH for LiCl@UIO-66_33 and 10.6 pm/%RH for LiCl@UIO-66_51 over ~0–95%RH. Stepwise tests show response times t90 of ≈14 min for both composites, versus ≈30 min for UIO-66 and ≈55 min for neat PNIPAM. Long-term measurements on the 51 wt.% device are stable over the first ~20 days, with only slow drift thereafter, and repeated humidity cycling is reversible. The wavelength decreases monotonically during drying while settling time increases toward low RH. The synergy of hydrogel–MOF–salt underpins high sensitivity, accelerated transport, and practical stability, offering a scalable route to high-performance optical humidity sensing. Full article
(This article belongs to the Special Issue Reinforced Polymer Composites with Natural and Nano Fillers)
Show Figures

Figure 1

13 pages, 1090 KB  
Article
Diffractive Multifocal Lens Design Using Phase Retrieval
by Jiakai Lyu
Photonics 2025, 12(12), 1225; https://doi.org/10.3390/photonics12121225 - 12 Dec 2025
Viewed by 140
Abstract
A method to design diffractive multifocal lenses using phase retrieval was proposed. The phase-retrieval lens could achieve the desired diffraction efficiencies at the targeted foci while maintaining a continuous profile without abrupt steps. An example of an optimum triplicator provided an overall efficiency [...] Read more.
A method to design diffractive multifocal lenses using phase retrieval was proposed. The phase-retrieval lens could achieve the desired diffraction efficiencies at the targeted foci while maintaining a continuous profile without abrupt steps. An example of an optimum triplicator provided an overall efficiency of 92.59%, matching previously published findings. Another example of a trifocal design showed competitive performance against state-of-the-art methods, and a 5-foci design demonstrated the versatility of the method. With its merits, the proposed method can enhance the performance of multifocal intraocular lenses and cater to other applications requiring multifocality, such as optical tweezers. Full article
(This article belongs to the Special Issue Emerging Trends in Diffractive Optics and Metasurfaces)
Show Figures

Figure 1

17 pages, 3608 KB  
Article
Mechanochemically Synthesized Nanocrystalline Cu2ZnSnSe4 as a Multifunctional Material for Energy Conversion and Storage Applications
by Angel Agnes Johnrose, Devika Rajan Sajitha, Vengatesh Panneerselvam, Anandhi Sivaramalingam, Kamalan Kirubaharan Amirtharaj Mosas, Beauno Stephen and Shyju Thankaraj Salammal
Nanomaterials 2025, 15(24), 1866; https://doi.org/10.3390/nano15241866 - 12 Dec 2025
Viewed by 206
Abstract
Cu2ZnSnSe4 is a promising light-absorbing material for cost-effective and eco-friendly thin-film solar cells; however, its synthesis often leads to secondary phases that limit device efficiency. To overcome these challenges, we devised a straightforward and efficient method to obtain single-phase Cu [...] Read more.
Cu2ZnSnSe4 is a promising light-absorbing material for cost-effective and eco-friendly thin-film solar cells; however, its synthesis often leads to secondary phases that limit device efficiency. To overcome these challenges, we devised a straightforward and efficient method to obtain single-phase Cu2ZnSnSe4 nanocrystalline powders directly from the elements Cu, Zn, Sn, and Se via mechanochemical synthesis followed by vacuum annealing at 450 °C. Phase evolution monitored by X-ray diffraction (XRD) and Raman spectroscopy at two-hour milling intervals confirmed the formation of phase-pure kesterite Cu2ZnSnSe4 and enabled tracking of transient secondary phases. Raman spectra revealed the characteristic A1 vibrational modes of the kesterite structure, while XRD peaks and Rietveld refinement (χ2 ~ 1) validated single-phase formation with crystallite sizes of 10–15 nm and dislocation densities of 3.00–3.20 1015 lines/m2. Optical analysis showed a direct bandgap of ~1.1 eV, and estimated linear and nonlinear optical constants validate its potential for photovoltaic applications. Scanning electron microscopy (SEM) analysis showed uniformly distributed particles 50–60 nm, and energy dispersive X-ray (EDS) analysis confirmed a near-stoichiometric Cu:Zn:Sn:Se ratio of 2:1:1:4. X-ray photoelectron spectroscopy (XPS) identified the expected oxidation states (Cu+, Zn2+, Sn4+, and Se2−). Electrical characterization revealed p-type conductivity with a mobility (μ) of 2.09 cm2/Vs, sheet resistance (ρ) of 4.87 Ω cm, and carrier concentrations of 1.23 × 1019 cm−3. Galvanostatic charge–discharge testing (GCD) demonstrated an energy density of 2.872 Wh/kg−1 and a power density of 1083 W kg−1, highlighting the material’s additional potential for energy storage applications. Full article
(This article belongs to the Section Energy and Catalysis)
Show Figures

Graphical abstract

17 pages, 10396 KB  
Article
Laser Powder Bed-Fused Scalmalloy®: Effect of Long Thermal Aging on Hardness and Electrical Conductivity
by Emanuele Ghio, Lorenzo Curti, Daniele Carosi, Alessandro Morri and Emanuela Cerri
Metals 2025, 15(12), 1364; https://doi.org/10.3390/met15121364 - 11 Dec 2025
Viewed by 185
Abstract
This study investigates the microstructural evolution, porosity characteristics, and mechanical behavior of LPBF-manufactured Scalmalloy®, which were investigated in the as-built conditions and after long-term exposure to direct aging of 275, 325, and 400 °C. Optical microscopy, and electron backscatter diffraction (EBSD) [...] Read more.
This study investigates the microstructural evolution, porosity characteristics, and mechanical behavior of LPBF-manufactured Scalmalloy®, which were investigated in the as-built conditions and after long-term exposure to direct aging of 275, 325, and 400 °C. Optical microscopy, and electron backscatter diffraction (EBSD) analyses were employed to examine the grain morphology, pore distribution, and defect characteristics. In the as-built state, the microstructure displayed the typical fish-scale melt pool morphology with columnar grains in the melt pool centers and fine equiaxed grains along their boundaries, combined with a small number of gas pores and lack-of-fusion defects. After direct aging, coarsening of grains was revealed, accompanied by partial spheroidization of pores, though the global density remained above 99.7%, ensuring structural integrity. Grain orientation analyses revealed a reduction in crystallographic texture and local misorientation after direct aging, suggesting stress relaxation and a more homogeneous microstructure. The hardness distribution reflected this transition: in the as-built state, higher hardness values were found at melt pool edges, while coarser central grains exhibited lower hardness. After direct aging, the hardness differences between these regions decreased, and the average hardness increased from (104 ± 7) HV0.025 to (170 ± 10) HV0.025 due to precipitation of Al3(Sc,Zr) phases. Long-term aging studies confirmed the stability of mechanical performance at 325 °C, whereas aging at 400 °C induced overaging and hardness loss due to precipitate coarsening. Electrical conductivities increased monotonically at all tested temperatures from ~11.7 MS/m, highlighting the interplay between solute depletion and precipitate evolution. Full article
(This article belongs to the Special Issue Recent Advances in Powder-Based Additive Manufacturing of Metals)
Show Figures

Figure 1

15 pages, 2803 KB  
Article
Analysis of the Regulatory Effect of Semi-Solid Isothermal Treatment Time on Crystallization and Plasticity of Amorphous Composites
by Xinhua Huang, Guang Wang, Bin Chen, Chenghao Wei, Jintao Zhao, Longguang Wu, Qi Li and Yuejun Ouyang
Metals 2025, 15(12), 1363; https://doi.org/10.3390/met15121363 - 11 Dec 2025
Viewed by 89
Abstract
Ti48Zr27Cu6Nb5Be14 amorphous composites were prepared by copper mold suction casting to obtain as-cast specimens. Subsequently, the as-cast specimens were held at 900 °C for different durations (5, 10, 20, 30, and 40 min) and [...] Read more.
Ti48Zr27Cu6Nb5Be14 amorphous composites were prepared by copper mold suction casting to obtain as-cast specimens. Subsequently, the as-cast specimens were held at 900 °C for different durations (5, 10, 20, 30, and 40 min) and then water quenched to cool, yielding treated specimens. Room-temperature compression tests were conducted to characterize the mechanical properties of the materials before and after the treatment. X-ray diffraction (XRD), optical microscopy (OM), and scanning electron microscopy (SEM) were used to detect and observe the microstructure of the specimens (before and after treatment) as well as the morphology of the side surface of compressed fractured specimens. Results show that the as-cast specimens are amorphous matrix composites, with dendrites (identified as β-Ti) predominantly distributed in the amorphous matrix. When the treatment duration increased from 5 to 40 min, two key phenomena were observed. The dendrites gradually disappeared and evolved into curved crystals first; subsequently, the curved crystals transformed into elongated crystals. Finally, the elongated crystals evolved into short and thick rod-like crystals, which further transformed into near-spherical crystals or spherical crystals. Furthermore, as the treatment duration prolonged, the average equivalent size of the crystals increased continuously, reaching 23.1 μm. Additionally, the plasticity of the specimens first increased, reached a maximum value of 16.2% when held for 30 min, and then decreased. Full article
(This article belongs to the Special Issue Research Progress of Crystal in Metallic Materials)
Show Figures

Figure 1

31 pages, 8797 KB  
Article
Influence of the Nd3+ Dopant Content in Bi3TeBO9 Powders on Their Optical Nonlinearity
by Maciej Chrunik, Alexej Bubnov, Roman Minikayev, Anastasiia Lysak, Damian Włodarczyk, Marek Nowicki, Adrian Chlanda, Marta Michalska-Domańska, Barbara Szczęśniak and Mateusz Gratzke
Materials 2025, 18(24), 5545; https://doi.org/10.3390/ma18245545 - 10 Dec 2025
Viewed by 144
Abstract
Second harmonic generation measurements for neodymium-doped bismuth–tellurium borate (Bi3TeBO9:Nd3+) powders are shown for the first time. Using undoped and low-content Nd3+-doped samples associated with the strongest nonlinear optical response, studies of temperature-dependent second-harmonic generation near [...] Read more.
Second harmonic generation measurements for neodymium-doped bismuth–tellurium borate (Bi3TeBO9:Nd3+) powders are shown for the first time. Using undoped and low-content Nd3+-doped samples associated with the strongest nonlinear optical response, studies of temperature-dependent second-harmonic generation near the absorption edge were conducted. Spectroscopic measurements of the investigated powders revealed characteristic Nd3+ absorption bands and helped to estimate the corresponding energy band gaps for the chosen samples. The influence of low Nd3+-content on the absorption edge shift, as well as on the enhancement of second-harmonic generation and its temperature attenuation, is discussed. Temperature-dependent X-ray diffraction measurements enabled researchers to calculate the thermal expansion coefficients for undoped and Nd3+-doped Bi3TeBO9 and to assess the impact of this phenomenon on its acentricity. Thermogravimetric studies demonstrated the absence of phase transitions for the chosen samples up to their incongruent melting points. Energy Dispersive X-ray Spectroscopy measurements verified the uniformity of Nd3+ distribution in doped Bi3TeBO9 powders. The suitability of polycrystalline Bi3TeBO9:Nd3+ as media for the self-frequency doubling devices for potential optoelectronic and biomedical applications was assessed. The finest fractions of deagglomerated and suspended powders were extracted and demonstrated near-nanostructural morphology of separated particles, as revealed by means of atomic force microscopy. Full article
(This article belongs to the Special Issue Physico-Chemical Modification of Materials for Biomedical Application)
Show Figures

Graphical abstract

17 pages, 5084 KB  
Article
Influence of Multilayer Architecture on the Structural, Optical, and Photoluminescence Properties of ZnO Thin Films
by Neha N. Malpure, Sumit R. Patil, Jaydeep V. Sali, Diego Pugliese, Rakesh A. Afre and Rajendra S. Khadayate
Photonics 2025, 12(12), 1219; https://doi.org/10.3390/photonics12121219 - 9 Dec 2025
Viewed by 179
Abstract
The present work systematically investigates the impact of multilayer architecture—specifically 5, 10, and 15 layers—on the structural, morphological, optical, and dielectric properties of zinc oxide (ZnO) thin films, aiming to tailor their characteristics for optoelectronic applications. The films were characterized using a comprehensive [...] Read more.
The present work systematically investigates the impact of multilayer architecture—specifically 5, 10, and 15 layers—on the structural, morphological, optical, and dielectric properties of zinc oxide (ZnO) thin films, aiming to tailor their characteristics for optoelectronic applications. The films were characterized using a comprehensive suite of techniques. X-ray diffraction (XRD) analysis of the 15-layer sample confirmed the formation of polycrystalline ZnO with a hexagonal wurtzite crystal structure, showing prominent (100), (002), and (101) diffraction peaks. Measurements indicated that the film thickness progressively increased from 43.81 nm for 5 layers to 80.68 nm for 15 layers. Concurrently, the surface roughness significantly decreased from 5.54 nm (5 layers) to 2.00 nm (15 layers) with increasing layer count, suggesting enhanced film quality and densification. Optical studies using ultraviolet–visible (UV-Vis) spectroscopy revealed an increase in absorbance and a corresponding decrease in transmittance in the UV-Vis spectrum as the film thickness increased. The calculated optical band gap showed a slight redshift, decreasing from 3.26 eV for the 5-layer film to 3.23 eV for the 15-layer film. Photoluminescence (PL) spectra exhibited characteristic near-band-edge UV emission, with the 5-layer film demonstrating the highest PL intensity. Furthermore, analysis of optical constants revealed that the refractive index, extinction coefficient, optical conductivity, and both the real and imaginary parts of the dielectric constant generally increased with an increasing number of layers, particularly in the visible region, while more nuanced and non-monotonic trends were observed in the UV range. These results underscore the significant influence of layer number on the physical properties of ZnO thin films, providing valuable insights for optimizing their performance in various optoelectronic devices. Full article
(This article belongs to the Special Issue Optical Thin Films: From Materials to Applications)
Show Figures

Figure 1

25 pages, 4745 KB  
Article
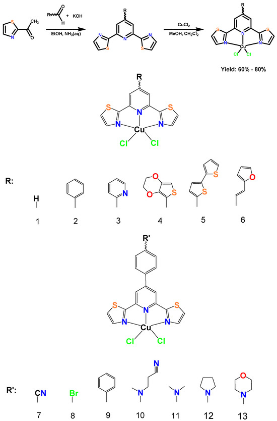
Copper(II) Complexes with 4-Substituted 2,6-Bis(thiazol-2-yl)pyridines—An Overview of Structural–Optical Relationships
by Anna Maria Maroń, Anna Świtlicka, Agata Szłapa-Kula, Katarzyna Choroba, Karol Erfurt, Mariola Siwy and Barbara Machura
Int. J. Mol. Sci. 2025, 26(24), 11868; https://doi.org/10.3390/ijms262411868 - 9 Dec 2025
Viewed by 203
Abstract
Copper(II) complexes with 2,2′:6′,2″-terpyridines (terpys) are promising candidates for anticancer therapy and catalysis. Their structural and optical properties can be tuned by modifying the terpy backbone, including a substitution at the 4′ position or the replacement of peripheral pyridines with thiazole [...] Read more.
Copper(II) complexes with 2,2′:6′,2″-terpyridines (terpys) are promising candidates for anticancer therapy and catalysis. Their structural and optical properties can be tuned by modifying the terpy backbone, including a substitution at the 4′ position or the replacement of peripheral pyridines with thiazole rings, forming 2,6-bis(thiazol-2-yl)pyridines (dtpys). dtpy-based copper(II) complexes (Cu-dtpys), despite their applicative potential, are barely characterized in the literature. Here, the series of Cu-dtpys (113) was synthesised and characterized by FT-IR, HRMS, X-ray diffraction, and UV-Vis spectroscopy. Their structural and optical features were compared to previously studied Cu-dtpys (1424) and their terpy analogues (Cu-terpy-1 ÷ Cu-terpy-24). The detailed analysis revealed that five-coordinate Cu-dtpys complexes adopt a square pyramidal geometry comparable to that of Cu-terpys complexes but with markedly smaller deviations from the ideal square pyramid. Compared with Cu-terpys, Cu–Clapical bonds are shorter, while Cu–Ncentral bonds are elongated. The Cu-dtpy systems usually present the longest wavelength of the lowest energy absorption band in comparison to Cuterpys. The analysis of the relationship between Hammett’s constant and wavelength of absorption indicates that the most promising from the photophysical point of view are compounds 46, 1013, 1617, and 22, for which a newly formed intraligand charge transfer band is formed. Full article
(This article belongs to the Section Physical Chemistry and Chemical Physics)
Show Figures

Graphical abstract

22 pages, 14743 KB  
Article
Simulation and Reproduction of Direct Solar Radiation Utilizing Grating Anomalous Dispersion
by Junjie Yang, Jian Zhang, Bin Zhao, Lu Wang, Yu Zhang, Songzhou Yang, Da Xu, Taiyang Ren, Jingrui Sun and Guoyu Zhang
Sensors 2025, 25(24), 7474; https://doi.org/10.3390/s25247474 - 9 Dec 2025
Viewed by 258
Abstract
The technical challenge of balancing radiant illuminance and the angular diameter of the simulated sun remains unsolved, preventing the realization of a solar simulator with both a 32′ angular diameter and a solar constant irradiance. This paper proposes a direct solar radiation simulation [...] Read more.
The technical challenge of balancing radiant illuminance and the angular diameter of the simulated sun remains unsolved, preventing the realization of a solar simulator with both a 32′ angular diameter and a solar constant irradiance. This paper proposes a direct solar radiation simulation method using grating anomalous dispersion and a technological implementation scheme. This new architecture consists of a spectrally modulated optical engine, a diffractive combining system, and a multi-aperture imaging reconstruction system. We designed an optical system for simulating direct solar radiation, which achieves a high degree of reproducibility of natural direct solar radiation characteristics. The performance of this system was verified through simulation, with the results indicating that the solar direct radiation simulator achieves an angular diameter of 31.7′ while maintaining radiant illuminance above a solar constant. Additionally, the system spectral match to both the extraterrestrial (AM0G) and terrestrial global (AM1.5G) solar spectra, along with its uniformity, complies with an A+ grade. The studied direct solar radiation simulation is currently the only instrument capable of achieving a solar constant of an angular diameter less than 32′. This research revolutionizes the structure and principle of the traditional solar simulator, makes up for the deficiencies of the existing solar simulation technology, further improves the theoretical system of solar direct radiation simulation, and has far-reaching scientific significance for the development and application of solar simulation technology. Full article
(This article belongs to the Section Optical Sensors)
Show Figures

Figure 1

12 pages, 1648 KB  
Article
Influence of Niobium Content on the Chemical Composition, Microstructure, and Microhardness of Hardfacing Coatings Applied by SMAW
by Jaime Perez, Jesus Gutierrez, Jhon Olaya, Oscar Piamba and Americo Scotti
Materials 2025, 18(24), 5477; https://doi.org/10.3390/ma18245477 - 5 Dec 2025
Viewed by 215
Abstract
This study investigates the chemical composition, microstructural evolution, and mechanical behavior of hardfacing coatings produced by Shielded Metal Arc Welding (SMAW) using electrodes with varying niobium (Nb) contents (0%, 2%, 4%, 6%, and 8%), deposited at a constant current of 120 A and [...] Read more.
This study investigates the chemical composition, microstructural evolution, and mechanical behavior of hardfacing coatings produced by Shielded Metal Arc Welding (SMAW) using electrodes with varying niobium (Nb) contents (0%, 2%, 4%, 6%, and 8%), deposited at a constant current of 120 A and employing two- and three-layer configurations. Optical Emission Spectroscopy (OES) revealed a significant reduction in niobium transfer efficiency, with the Nb content in the coatings reaching up to 3.5 wt%, approximately 50% lower than in the electrodes. Chromium (Cr) content also decreased with increasing Nb additions due to the higher thermochemical affinity of niobium for oxygen, which promotes the formation of Nb oxides during welding. X-ray diffraction (XRD) analyses confirmed the presence of complex carbides, primarily NbC and M7C3-type Cr carbides, embedded in eutectic austenitic matrices. The incorporation of niobium promoted grain refinement and the precipitation of primary NbC carbides, particularly in multilayer coatings where dilution effects were reduced. Scanning Electron Microscopy (SEM) and Energy-Dispersive Spectroscopy (EDS) provided additional evidence, revealing an increased density of NbC particles and a concomitant reduction in CrC particle size with higher Nb contents. Microhardness testing showed a slight increase in hardness with increasing niobium, attributed to the higher intrinsic hardness and finer size of NbC particles. Overall, these findings highlight the role of niobium as an effective grain refiner and hard-phase promoter in SMAW-applied coatings, providing a foundation for optimizing wear-resistant overlays for demanding industrial environments. Full article
(This article belongs to the Special Issue Microstructural and Mechanical Characteristics of Welded Joints)
Show Figures

Figure 1

25 pages, 4285 KB  
Review
Basic Optics Underlying Current Intraocular Lenses
by Yengwoo Son, Seung Pil Bang and Choul Yong Park
J. Clin. Med. 2025, 14(23), 8608; https://doi.org/10.3390/jcm14238608 - 4 Dec 2025
Viewed by 390
Abstract
As surgeries using multifocal intraocular lenses (IOLs) to correct both cataracts and presbyopia have become common, it has become essential for clinicians to understand their basic optical characteristics to select the optimal lens for their patients. However, there are relatively few review articles [...] Read more.
As surgeries using multifocal intraocular lenses (IOLs) to correct both cataracts and presbyopia have become common, it has become essential for clinicians to understand their basic optical characteristics to select the optimal lens for their patients. However, there are relatively few review articles on optics that are directly useful to clinicians who perform surgery on patients. In this paper, we systematically review fundamental concepts, from the basic properties of light, geometric optics, and Gaussian approximation to lens performance metrics like the point spread function and modulation transfer function (MTF), and the clinical implications of spherical and chromatic aberrations. Based on these principles, the mechanisms of major multifocal technologies are explained. We also explore the refractive extended depth of focus lenses, which expand the range of focus by precisely controlling higher-order spherical aberrations. In contrast, diffractive lenses use diffractive kinoforms to split light into multiple foci, and they may also leverage higher diffraction orders to correct chromatic aberration. However, this multifocality involves an optical compromise, often resulting in a reduced overall MTF compared to monofocal IOLs and photic phenomena such as glare and halo. In conclusion, while multifocal IOLs are groundbreaking technology that significantly enhances quality of life by reducing spectacle dependence, this comes at the cost of sacrificing optimal image quality. Therefore, a thorough understanding of these optical principles by ophthalmologists is crucial for selecting the optimal lens according to each patient’s ocular condition and for managing postoperative outcomes. Full article
Show Figures

Figure 1

13 pages, 4146 KB  
Article
Laser Cladding of Iron Aluminide Coatings for Surface Protection in Soderberg Electrolytic Cells
by Alex Fukunaga Gomes, Henrique Correa dos Santos, Roberto Seno, Adriano Francisco, Nelson Batista de Lima, Gisele Fabiane Costa Almeida, Luis Reis, Marcos Massi and Antonio Augusto Couto
Metals 2025, 15(12), 1337; https://doi.org/10.3390/met15121337 - 4 Dec 2025
Viewed by 219
Abstract
In this work, iron aluminide coatings (FeAl and Fe3Al) were developed on carbon steel substrates using the laser cladding process with mixtures of elemental iron and aluminum powders, aiming at protecting anodic pins in Soderberg electrolytic cells against oxidation and corrosion [...] Read more.
In this work, iron aluminide coatings (FeAl and Fe3Al) were developed on carbon steel substrates using the laser cladding process with mixtures of elemental iron and aluminum powders, aiming at protecting anodic pins in Soderberg electrolytic cells against oxidation and corrosion at high temperatures. These components operate under atmospheres rich in CO2, alumina dust, and intense thermal cycles. The influence of processing parameters on the microstructure, phase formation, and mechanical properties of the coatings was investigated. X-ray diffraction confirmed the formation of the FeAl phase with a B2 ordered structure, while the expected D03 ordering in Fe3Al was not detected, likely due to crystallographic texture effects. Microstructural analysis, optical and scanning electron microscopy, revealed dense coatings with good metallurgical bonding to the substrate and low porosity, being the conditions of 3.5 kW with 3 mm/s resulted in the best quality coatings. The FeAl coatings exhibited microhardness values of approximately 400 HV, whereas the Fe3Al coatings showed values around 350 HV, indicating a significant improvement compared to the carbon steel substrate. These results demonstrate that laser cladding is an effective technique for producing iron aluminide coatings with potential application for corrosion and wear protection of anodic pins in Soderberg electrolytic cells. Full article
(This article belongs to the Special Issue Metallurgy, Surface Engineering and Corrosion of Metals and Alloys)
Show Figures

Figure 1

Back to TopTop