Sign in to use this feature.

Years

Between: -

Subjects

remove_circle_outline
remove_circle_outline
remove_circle_outline
remove_circle_outline
remove_circle_outline
remove_circle_outline
remove_circle_outline
remove_circle_outline
remove_circle_outline

Journals

remove_circle_outline
remove_circle_outline
remove_circle_outline
remove_circle_outline
remove_circle_outline
remove_circle_outline

Article Types

Countries / Regions

remove_circle_outline
remove_circle_outline
remove_circle_outline
remove_circle_outline

Search Results (253)

Search Parameters:
Keywords = connector type

Order results
Result details
Results per page
Select all
Export citation of selected articles as:
12 pages, 1027 KB  
Article
Design Method for Combined Shear Connectors in Steel–UHPC Composite Beams
by Jingnan Ding, Tiange Gao and Jinsong Zhu
Materials 2026, 19(8), 1498; https://doi.org/10.3390/ma19081498 - 9 Apr 2026
Viewed by 287
Abstract
Steel–UHPC composite beams are widely used in bridge engineering due to their high strength, durability, and suitability for prefabricated construction. However, the mechanical performance of shear connectors in UHPC differs significantly, and the uniform use of a single connector type along the beam [...] Read more.
Steel–UHPC composite beams are widely used in bridge engineering due to their high strength, durability, and suitability for prefabricated construction. However, the mechanical performance of shear connectors in UHPC differs significantly, and the uniform use of a single connector type along the beam span may result in a mismatch between connector mechanical characteristics and regional force demands, leading to suboptimal force transfer and inefficient utilization of connector capacity along the beam span. While previous studies have mainly focused on the local behavior of individual connectors, a system-level design strategy considering regional force demands is still limited. This study proposes a system-level design method for combined shear connectors in steel–UHPC composite beams, in which headed stud connectors and trapezoidal composite dowel connectors are arranged according to bending moment distribution and interface shear demand, thereby integrating connector mechanical characteristics with the spatial variation in internal forces along the beam span. The design procedure includes shear span division, longitudinal interface shear calculation, and resistance verification of different connector types. The method is applied to a practical steel–UHPC composite beam in a long-span approach bridge. Results show that headed studs provide reliable uplift resistance and ductile behavior in negative bending regions, whereas composite dowel connectors are shown to be more suitable for shear-dominated positive bending regions due to their higher shear capacity and stiffness. The combined system ensures effective composite action under different stress states and reduces total connector steel consumption compared with a stud-only layout. The proposed approach advances connector design toward performance-oriented and system-level structural optimization, providing a practical framework for connector arrangement in steel–UHPC composite beams. Full article
(This article belongs to the Section Metals and Alloys)
Show Figures

Figure 1

29 pages, 2072 KB  
Review
Research Advances in U-Shaped Steel−Concrete Composite Beams: State of the Art
by Qingli Lin, Fangliang Yu, Wenxiang Han, Long Zhang and Jinyan Wang
Buildings 2026, 16(5), 1040; https://doi.org/10.3390/buildings16051040 - 6 Mar 2026
Viewed by 410
Abstract
U-shaped steel−concrete composite beams (USCCBs) have been widely used in civil engineering due to their numerous advantages, including high load-bearing capacity, high rigidity, good ductility, short construction periods, and compatibility with the development of prefabricated buildings. In particular, USCCBs have been increasingly applied [...] Read more.
U-shaped steel−concrete composite beams (USCCBs) have been widely used in civil engineering due to their numerous advantages, including high load-bearing capacity, high rigidity, good ductility, short construction periods, and compatibility with the development of prefabricated buildings. In particular, USCCBs have been increasingly applied to super high-rise buildings and extra-large span bridges. Over the past decade or so, many new types of shear connectors and structural forms for USCCBs have been developed. Meanwhile, significant progress has been achieved in research on the flexural, shear, torsional, and fire-resistance performance of USCCBs, the seismic behavior of beam−column joints, and the strengthening of concrete beams with U-shaped steel casings. Nevertheless, challenges and limitations remain in both experimental research and practical applications. This paper presents a systematic review of recent research advances in USCCBs. Existing problems, development prospects, and future research priorities are comprehensively summarized and discussed, with the aim of further promoting the development and engineering application of USCCBs. Full article
(This article belongs to the Section Building Structures)
Show Figures

Figure 1

27 pages, 7563 KB  
Article
Research on the Elastic Stiffness of Stud–PBL Composite Shear Connectors in Composite Bridge Pylons
by Qinhe Li, Ronghui Wang, Yuyang Chen, Zhe Hu and Hengjie Zhao
Buildings 2026, 16(4), 720; https://doi.org/10.3390/buildings16040720 - 10 Feb 2026
Viewed by 345
Abstract
The application of steel–concrete composite structures in the pylons of long-span cable-stayed bridges can effectively address the issue of insufficient structural stiffness. Shear connectors are critical load-transfer components in steel–concrete composite segments, where they are typically arranged to ensure coordinated force transmission between [...] Read more.
The application of steel–concrete composite structures in the pylons of long-span cable-stayed bridges can effectively address the issue of insufficient structural stiffness. Shear connectors are critical load-transfer components in steel–concrete composite segments, where they are typically arranged to ensure coordinated force transmission between steel and concrete. The stud–PBL composite shear connector, as a novel type of connector, has been implemented in engineering practice. However, the collaborative load-bearing performance between studs and PBL connectors remains unclear. Most shear connectors operate within the elastic stage during service, making their elastic stiffness a key evaluation metric. Based on the Winkler elastic foundation beam theory, plane strain theory, and the spring series–parallel model, this study derives the elastic stiffness calculation formulas for stud shear connectors and PBL shear connectors, respectively. The primary focus of this study was the single-layer stud–PBL composite shear connector within the steel–concrete composite section of bridge pylons. Embedded push-out tests were designed and conducted, comprising three main categories and eight subcategories. The load–slip curves for the three types of shear connectors were generated, and the stiffness calculation formula for the stud–PBL composite shear connector was verified through finite element analysis. The comparative push-out tests and finite element simulations demonstrate that the theoretical formula proposed in this study can effectively analyze the elastic stiffness of three types of shear connectors. The elastic stiffness of composite shear connectors can be regarded as the superposition of the elastic stiffness of studs and PBL shear connectors. Compared with single shear connectors, composite shear connectors exhibit superior elastic stiffness and shear resistance, meeting the application requirements of steel–concrete composite bridge pylons. The research findings provide a theoretical basis for the optimal design of shear connectors in large-span cable-stayed bridge composite pylons. Furthermore, the established formula has broad applicability. Full article
(This article belongs to the Special Issue Innovative Design and Optimization of Steel Structures)
Show Figures

Figure 1

31 pages, 19106 KB  
Article
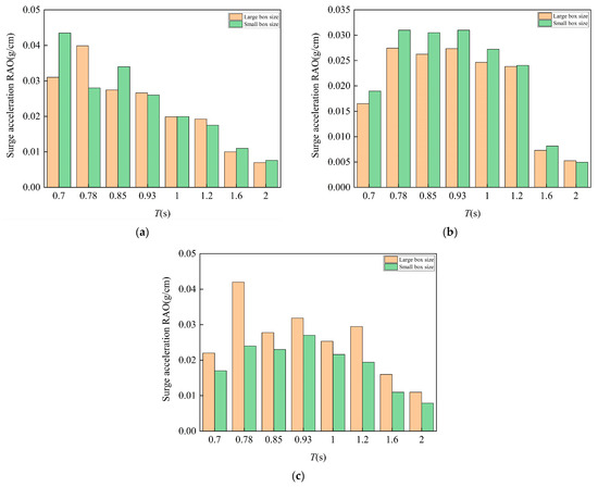
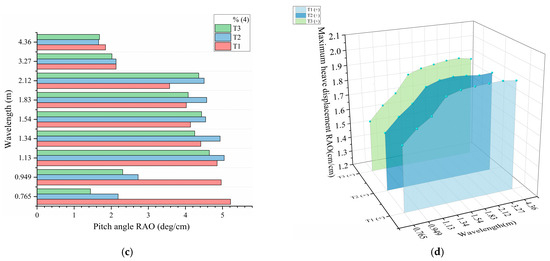
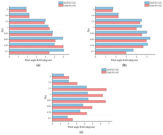
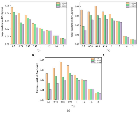
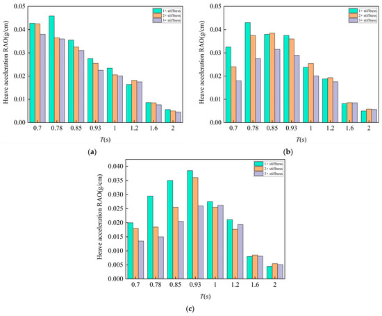
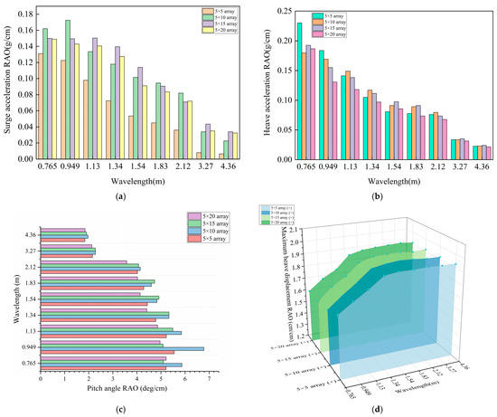
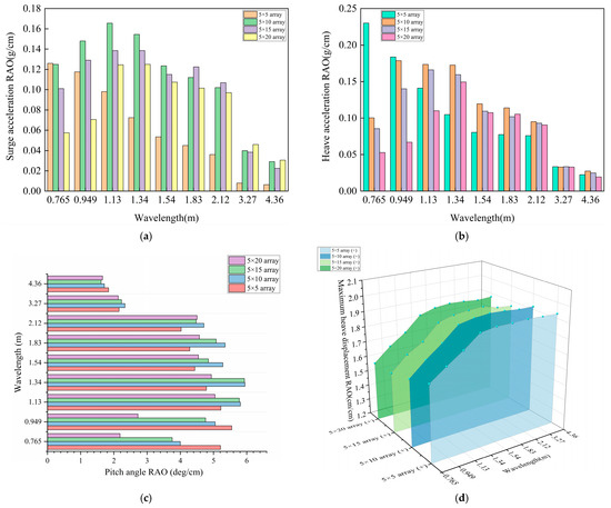
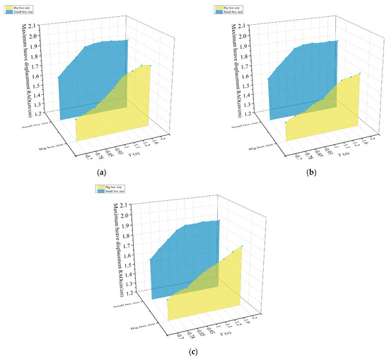
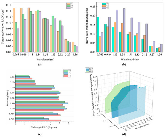
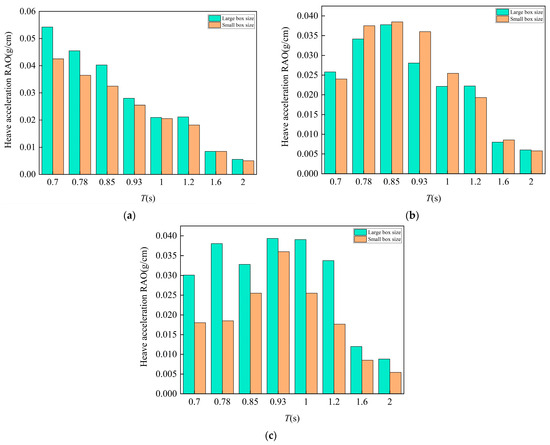
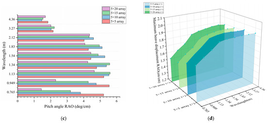
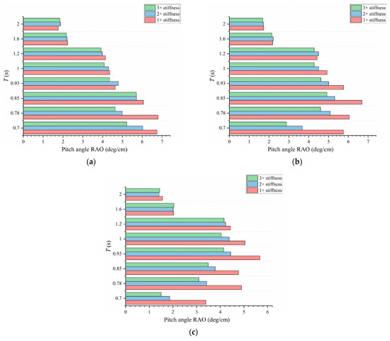
Experimental Study on Hydrodynamic Response Characteristics of a Novel Pontoon-Type Array Offshore Floating Photovoltaic Structure
by Guanhao Zhang, Jijian Lian, Jinliang Zhang, Xiaofeng Dong, Wenhe Lu, Peiyao Li, Nan Shao, Zhichuan Wu and Xinyi Li
J. Mar. Sci. Eng. 2026, 14(3), 322; https://doi.org/10.3390/jmse14030322 - 6 Feb 2026
Viewed by 537
Abstract
This study presents a series of hydrodynamic experiments on a novel pontoon-type offshore floating photovoltaic (OFPV) structure, designed to improve wave attenuation performance and platform stability in marine environments. Using a 1:14 Froude-scaled physical model capable of representing different connector stiffness levels, nine [...] Read more.
This study presents a series of hydrodynamic experiments on a novel pontoon-type offshore floating photovoltaic (OFPV) structure, designed to improve wave attenuation performance and platform stability in marine environments. Using a 1:14 Froude-scaled physical model capable of representing different connector stiffness levels, nine structural configurations were tested, covering four array scales, three stiffness levels, and two floater sizes. Experiments were conducted under regular wave conditions, with structural responses measured at three representative positions: wave-facing front (T1), mid-array (T2), and leeward side (T3). Recorded parameters included surge acceleration, heave acceleration, pitch angle, and heave displacement. Results show that increasing array scale consistently reduced motion amplitudes at all positions, with heave acceleration at T3 substantially decreased compared with the smallest array. Enhancing connector stiffness significantly suppressed dynamic motions, particularly downstream, while larger floaters notably reduced heave responses under short-period waves. Despite variations in magnitude, response trends with respect to wave period remained broadly consistent across configurations. These findings provide quantitative evidence and engineering guidance for optimizing array configuration, connector stiffness, and floater dimensions to enhance the hydrodynamic performance and operational reliability of large-scale offshore FPV platforms. Full article
(This article belongs to the Section Ocean Engineering)
Show Figures

Figure 1

29 pages, 5831 KB  
Article
Bending Capacity and Rotational Stiffness of Glued and Detachable Corner Joints in PMMA/ATH Solid-Surface Composites
by Boryana Petrova, Vassil Jivkov and Nikolay Yavorov
J. Compos. Sci. 2026, 10(2), 78; https://doi.org/10.3390/jcs10020078 - 2 Feb 2026
Viewed by 509
Abstract
Quantitative data on the bending capacity and rotational stiffness of corner joints made from acrylic solid-surface PMMA/ATH composites are limited, despite their widespread use in furniture and interior components. The study provides comparative bending moment and rotational-stiffness benchmarks for 18 PMMA/ATH corner-joint series, [...] Read more.
Quantitative data on the bending capacity and rotational stiffness of corner joints made from acrylic solid-surface PMMA/ATH composites are limited, despite their widespread use in furniture and interior components. The study provides comparative bending moment and rotational-stiffness benchmarks for 18 PMMA/ATH corner-joint series, using a stiffness-evaluation procedure tailored to corner-joint testing. L-type joints produced from two commercial PMMA/ATH materials (Kerrock and Corian) at 6- and 12-mm thickness were manufactured in 18 configurations, including glued butt, 45° mitre, reinforced mitre, rebate, groove variants, and detachable Minifix eccentric and Lamello Clamex connectors. Specimens were tested under arm-compression bending and maximum bending moment (Mmax), and joint rotational stiffness was derived. The best-glued solution was the 12 mm Kerrock 45° mitre with Mmax 186.21 N·m, whereas the strongest 6 mm joint reached 40 N·m. Reinforcing the 12 mm Kerrock mitre joint increased stiffness to 9521 N·m/rad but did not increase bending capacity relative to the non-reinforced mitre. Detachable joints formed a clearly distinct low-rigidity class with bending moments of 2.22–3.89 N·m and stiffness below 194 N·m/rad. Overall, thickness and joint geometry dominate both strength and stiffness, and the tested detachable connectors should be reserved for applications requiring disassembly rather than for load-bearing corners. Full article
(This article belongs to the Section Composites Applications)
Show Figures

Figure 1

51 pages, 7365 KB  
Review
Recent Advances in Underwater Energy Systems and Wireless Power Transfer for Autonomous Underwater Vehicle Charging
by Ramamurthi Sekar, Narayanamoorthi Rajamanickam, Hassan Z. Al Garni, Jamal Aldahmashi and Ahmed Emara
Energies 2026, 19(3), 708; https://doi.org/10.3390/en19030708 - 29 Jan 2026
Cited by 1 | Viewed by 897
Abstract
In recent years, the need for autonomous underwater vehicles (AUVs) for offshore infrastructure maintenance and oceanographic surveillance has been prominently increasing. Continuous monitoring and surveillance are the essential tasks the AUVs are designed to perform. However, the long endurance of the AUV is [...] Read more.
In recent years, the need for autonomous underwater vehicles (AUVs) for offshore infrastructure maintenance and oceanographic surveillance has been prominently increasing. Continuous monitoring and surveillance are the essential tasks the AUVs are designed to perform. However, the long endurance of the AUV is a challenging task due to the limited size and capacity of the onboard battery. The conventional way of recharging using battery swapping or a wet mate connector limits the autonomy of the AUV. Underwater wireless power transfer (UWPT) technology seems to be a suitable alternative for overcoming the above limitations, which can provide autonomy to the AUV charging process. However, designing a UWPT system has its limitations in the marine environment and requires enough engineering studies of the different modules of the system. Different investigations are proposed in the literature on the UWPT system, both at the system level and circuit level. This article provides an overview of the latest advancements in the UWPT system and discusses marine power sources, power converter topologies, compensation topologies, and different types of magnetic couplers. The article also discusses the engineering challenges in designing a UWPT system, including eddy current loss and biofouling. The article also summarizes current research trends, potential challenges in UWPT, and future technological developments from prototypes to practical products and offers recommendations for further progress. Full article
(This article belongs to the Special Issue Advances in Wireless Power Transfer Technologies and Applications)
Show Figures

Figure 1

25 pages, 4329 KB  
Article
Numerical Simulation and Experimental Study on Systematic Thermal Bridges of High-Performance Sandwich Insulation Wall Panels: Implications for Building Sustainability
by Yi Zhang, Qinqin Deng, Lixin Sun, Chu Zhao, Yu Zou and Weijun Li
Sustainability 2026, 18(3), 1308; https://doi.org/10.3390/su18031308 - 28 Jan 2026
Cited by 1 | Viewed by 394
Abstract
As a prevalent integrated structure-insulation system, sandwich insulation wall panels have emerged as a critical structural configuration for zero- and nearly zero-energy green buildings, owing to their high construction efficiency and superior thermal insulation performance which directly aligns with the core goals of [...] Read more.
As a prevalent integrated structure-insulation system, sandwich insulation wall panels have emerged as a critical structural configuration for zero- and nearly zero-energy green buildings, owing to their high construction efficiency and superior thermal insulation performance which directly aligns with the core goals of sustainability and sustainable energy utilization in the built environment. However, connectors penetrate the insulation layer and form systematic thermal bridges, which cause substantial heat loss and become a key bottleneck limiting further improvement in the overall thermal performance of wall systems. This study established three-dimensional numerical models of sandwich insulation wall panels with four typical connectors (fiber-reinforced polymers (FRPs), clamp-type stainless steel, plate-type stainless steel, and truss-type stainless steel) using Ansys Fluent 2021R1. The model reliability was verified by calibrated hot-box experiments, with relative errors between simulation and experimental results ranging from 2.1% to 16.1%. Systematic numerical simulations were then performed to investigate the effects of connector type, insulation material, climate zone, inner–outer temperature difference, connector quantity, and wall dimensions on the thermal bridge effect. The results indicated that FRP connectors caused the minimal heat flux increment (only 0.27%), followed by clamp-type stainless steel connectors (9.59%), while plate-type and truss-type stainless steel connectors led to significant increments (27.17% and 27.62%, respectively). The lower the heat transfer coefficient (K-value) of the wall was, the more prominent the connector-induced thermal bridge effect was. Within the typical temperature difference range, the heat flux increment of each connector remained stable, and polyurethane (PU) insulation exhibited a more significant inhibitory effect on thermal bridges than extruded polystyrene (XPS) under the same K-value. Linear fitting formulas for the relationship between wall K-value/temperature difference and the heat flux correction coefficient were derived, with high goodness-of-fit. The maximum impact of connectors on wall thermal performance did not exceed 30%. This study provides theoretical support and design references for the selection of connectors, material optimization, and thermal performance calculation of sandwich insulation wall panels, contributing to the promotion of energy-saving building envelope technologies. Full article
(This article belongs to the Section Green Building)
Show Figures

Figure 1

20 pages, 3106 KB  
Article
Shear Performance and Load–Slip Model of a Cross-Type FRP Rod Connector for Precast Concrete Sandwich Panels
by Ya Li, Weichen Xue and Jialin Yang
Buildings 2026, 16(1), 139; https://doi.org/10.3390/buildings16010139 - 27 Dec 2025
Viewed by 547
Abstract
A precast concrete sandwich panel (PCSP), consisting of inner and outer wythes, an insulation layer, and connectors, relies heavily on the shear behavior of these connectors, which governs the structural performance of the entire system. Owing to their low thermal conductivity, excellent durability, [...] Read more.
A precast concrete sandwich panel (PCSP), consisting of inner and outer wythes, an insulation layer, and connectors, relies heavily on the shear behavior of these connectors, which governs the structural performance of the entire system. Owing to their low thermal conductivity, excellent durability, and high strength, fiber-reinforced polymer (FRP) connectors offer strong potential for widespread application. This study introduces a novel cross-shaped FRP rod connector designed to provide improved anchorage performance, bidirectional shear resistance, and ease of installation. However, concern remains about the specific influence of embedment depth, outer-wythe thickness, and insulation-layer thickness on its shear performance. Moreover, no calculation model for shear capacity or shear–slip model has been established considering the shear-bending interaction within the connector. To evaluate its shear behavior, six groups of push-out tests were conducted, with key parameters including embedment depth, outer-wythe thickness, and insulation-layer thickness. The specimens exhibited two primary failure modes: connector fracture and concrete anchorage failure. The measured shear capacity per connector ranged from 5.63 kN to 14.19 kN, increasing with longer embedment depths, decreasing with increasing insulation thickness, and showing no clear dependence on outer-wythe thickness. Guided by test results and the Hashin failure criterion for composite materials, analytical formulas to estimate the shear capacity of FRP connectors were developed. The mean ratio of calculated to experimental values is 0.97, with a standard deviation of 0.06, indicating good agreement between the predicted and measured shear capacities. Furthermore, a theoretical shear–slip model was established. The correlation coefficients between the experimental and calculated load–slip curves for all specimens are greater than 0.98, indicating a high consistency in curve shape and variation trend. Full article
(This article belongs to the Special Issue The Latest Research on Building Materials and Structures)
Show Figures

Figure 1

22 pages, 7147 KB  
Article
Experimental Study on the Flexural Behavior of Steel–Concrete Composite Bridge Decks with Stud–PBL Shear Connectors
by Ruifeng Dou, Jun Zhao, Longhua Shi, Dongjie Weng, Ding Zhou and Wei Zhao
Buildings 2026, 16(1), 104; https://doi.org/10.3390/buildings16010104 - 25 Dec 2025
Cited by 1 | Viewed by 445
Abstract
To investigate the flexural behavior of steel–concrete composite bridge decks with stud–perfobond leist (PBL) shear connectors, two specimens were designed with the stud spacing as the main variable, and static bending tests were conducted. Additionally, refined finite element models were constructed for evaluating [...] Read more.
To investigate the flexural behavior of steel–concrete composite bridge decks with stud–perfobond leist (PBL) shear connectors, two specimens were designed with the stud spacing as the main variable, and static bending tests were conducted. Additionally, refined finite element models were constructed for evaluating the influence of shear connector types, concrete strength, stud diameter, stud height, and PBL hole diameter on the performance and flexural capacity of the structure. The results show that, under bending loads, the failure of the composite bridge deck is mainly concrete crushing and steel plate yielding. When the spacing of the stud decreases, both the flexural behavior of the composite bridge decks and the shear resistance at the steel–concrete interface are enhanced. The steel–concrete composite bridge decks with stud–PBL shear connectors showed higher overall flexural stiffness and flexural capacity than the steel–concrete composite bridge decks with single-type shear connectors. Concrete strength had a pronounced influence on the flexural capacity of the deck system, while the effects of stud diameter and height were minor. As the PBL hole diameter increased, the flexural capacity of the specimens exhibited a decreasing tendency. Full article
Show Figures

Figure 1

21 pages, 3370 KB  
Article
The Improvement of the Mathematical Model of a Calculable Voltage Standard with a Single Junction Thermal Voltage Converter
by Michał Pecyna, Krzysztof Kubiczek and Marian Kampik
Energies 2026, 19(1), 62; https://doi.org/10.3390/en19010062 - 22 Dec 2025
Viewed by 569
Abstract
This paper presents the modification and experimental validation of a mathematical model for a single junction thermal voltage converter (SJTC) designed for high-precision alternating current (AC) voltage transfer. The original model is severely constrained by two main issues: (1) computational instability above 50 [...] Read more.
This paper presents the modification and experimental validation of a mathematical model for a single junction thermal voltage converter (SJTC) designed for high-precision alternating current (AC) voltage transfer. The original model is severely constrained by two main issues: (1) computational instability above 50 MHz due to the limitations of the housing impedance approximation, and (2) insufficient accuracy above 1 MHz due to the neglect of high-frequency skin effect and magnetic core effects in the Dumet wire leads. Significant refinements are subsequently implemented to extend the calculable frequency range of the standard from 1 to 100 MHz. This required re-evaluation of the Dumet wire leads’ frequency-dependent resistance and inductance using finite element method (FEM) simulations, which accounted for the skin effect and the magnetic permeability of the FeNi42 core. Additionally, the housing impedance calculation is stabilized using a formulation based on scaled modified Bessel functions, and the electrical conductivity of the input N-type connector pin is explicitly modeled. The improved model is validated against a reference calorimetric thermal voltage converter (CTVC) using 3 and 5 V nominal voltage standards. The results indicated excellent agreement between the calculated and measured AC-direct current (DC) transfer differences up to 10 MHz. In the extended frequency regime, the model correctly predicted the transition to negative transfer differences observed above 2 MHz for the 5 V standard. The largest discrepancies between the measured and calculated values occurred at 100 MHz. The measured transfer difference reached −15,090 (µV/V) with an expanded uncertainty (k = 2) of 190 (µV/V), whereas the calculated value is −12,500 (µV/V) with an expanded uncertainty of 3900 (µV/V). Although the deviation between the model and measurement increased above 30 MHz, the results remained consistent within the expanded measurement uncertainties across the entire 10 kHz to 100 MHz range, demonstrating the model’s suitability for providing traceability in high-frequency voltage metrology. Full article
(This article belongs to the Special Issue Stationary Energy Storage Systems for Renewable Energies)
Show Figures

Figure 1

26 pages, 5054 KB  
Article
Energy-Based Design for the Seismic Improvement of Historic Churches by Nonlinear Modelling
by Nicola Longarini, Pietro Crespi, Luigi Cabras and Michele Santoro
Buildings 2026, 16(1), 12; https://doi.org/10.3390/buildings16010012 - 19 Dec 2025
Viewed by 396
Abstract
This study investigates the seismic retrofit of historic single-nave churches through the optimization of roof diaphragms designed to enhance energy dissipation. The proposed strategy introduces a deformable box-type diaphragm above the existing roof, composed of timber panels and steel connectors with a cover [...] Read more.
This study investigates the seismic retrofit of historic single-nave churches through the optimization of roof diaphragms designed to enhance energy dissipation. The proposed strategy introduces a deformable box-type diaphragm above the existing roof, composed of timber panels and steel connectors with a cover of steel stripes, where energy dissipation is concentrated in the connections. The retrofit design is guided by the estimation of Equivalent Damping Ratio (EDR) instead of the usually adopted resistance criterion, considering an energy-based approach to improve global seismic performance while preserving architectural integrity. In this way, the retrofitted configuration of the roof can be considered a damper. Three numerical phases are presented to assess the effectiveness of the equivalent damping-based intervention. In the first one, the seismic response of the initial non-retrofitted configuration is implemented using a 3D linear finite element model subjected to a response spectrum. Subsequently, nonlinear equivalent models subjected to spectrum-compatible accelerograms are implemented, simulating the possible retrofitted configurations of the roofs to detect the optimum damping and finding the corresponding roof diaphragm configuration. In the third one, the response of the detected retrofitted configuration is also evaluated by nonlinear 3D model subjected to accelerograms. The three phases with the relative numerical approaches are here applied to a case study, located in a high seismic hazard area. The results demonstrate that the EDR-based methodology can optimize the retrofitted roof diaphragm configuration; the nave transverse response is improved in comparison with that designed with the traditional approach, considering only the over-strength of the interventions. Comparisons about the approaches based on the EDR and the strength criteria are presented in terms of lateral displacements, in-plane shear acting on the roof diaphragm, and in-plane stresses on the façade. Full article
(This article belongs to the Special Issue Modeling and Testing the Performance of Masonry Structures)
Show Figures

Figure 1

31 pages, 5270 KB  
Article
Multi-Serial Adaptive Bus Interface with Integrated Monitoring and Plug-And-Play Connectivity
by Marcel Tresanchez and Tomàs Pallejà
Sensors 2025, 25(24), 7638; https://doi.org/10.3390/s25247638 - 16 Dec 2025
Viewed by 895
Abstract
This work presents a complete multi-serial adaptive bus interface system compatible with the most widely used industrial serial communications standards: RS-232, RS-485, RS-422, and CAN. The proposed system automatically detects the connected serial interface type through analog line sensors and dynamically redirects the [...] Read more.
This work presents a complete multi-serial adaptive bus interface system compatible with the most widely used industrial serial communications standards: RS-232, RS-485, RS-422, and CAN. The proposed system automatically detects the connected serial interface type through analog line sensors and dynamically redirects the bus to the appropriate transceiver using a logical multiplexer. This approach aims to simplify the configuration of heterogeneous serial devices in complex and modular integration scenarios, such as body builders in industrial or vehicular systems. The hardware is designed as a scalable PCIe card-based device, allowing multiple adaptive bus interfaces to be integrated within a rack-based modular architecture. In addition, a single 5-pin plug-and-play connector is proposed by unifying the different bus signals of the transceivers, thereby simplifying cabling and deployment. Complementary implemented capabilities include baud rate auto-detection and supervision, as well as automatic direction-control functionality for RS-485 communication. Experimental validation demonstrated that the proposed system successfully detected and redirected all supported interfaces, achieving reliable connection and disconnection within an average time of 2.5 s. Furthermore, the integrated baud rate auto-detection algorithm accurately identified transmission speeds up to 1 Mbps in under 80 ms, while the automatic direction-control capability operated reliably at speeds up to 576,000 bps. Full article
(This article belongs to the Special Issue Joint Communication and Sensing in Vehicular Networks)
Show Figures

Figure 1

18 pages, 3295 KB  
Article
Synthetic Data Generation for AI-Based Quality Inspection of Laser Welds in Lithium-Ion Batteries
by Jonathan Zender, Stefan Maier, Alois Herkommer and Michael Layh
Sensors 2025, 25(23), 7301; https://doi.org/10.3390/s25237301 - 1 Dec 2025
Viewed by 930
Abstract
Manufacturing companies are increasingly confronted with critical challenges such as a shortage of skilled labor, rising production costs, and ever-stricter quality requirements. These challenges become particularly acute when defect types exhibit high visual variance, making consistent and accurate inspection difficult. Traditionally, visual inspection [...] Read more.
Manufacturing companies are increasingly confronted with critical challenges such as a shortage of skilled labor, rising production costs, and ever-stricter quality requirements. These challenges become particularly acute when defect types exhibit high visual variance, making consistent and accurate inspection difficult. Traditionally, visual inspection of high variance errors is performed manually by human operators—a process that is both costly and prone to errors. Consequently, there is a growing interest in replacing human inspection with AI-based visual quality control systems. However, the adoption of such systems is often hindered by limited access to training data, labor-intensive labeling processes, or the absence of real production data during early development stages. To address these challenges, this paper presents a methodology for training AI models using synthetically generated image data. The synthetic images are created using Physically Based Rendering, which enables precise control over rendering parameters and facilitates automated labeling. This approach allows for a systematic analysis of parameter importance and bypasses the need for large real training datasets. As a case study, the focus is on the inspection of laser welds in battery connectors for fully electric vehicles—a particularly demanding application due to the criticality of each weld. The results demonstrates the effectiveness of synthetic data in training robust AI models, thereby providing a scalable and efficient alternative to traditional data acquisition and labeling methods. The trained binary classifier reaches a precision of 0.94 with a recall of 0.98 solely trained on synthetic data and tested on real image data. Full article
Show Figures

Figure 1

16 pages, 1962 KB  
Systematic Review
Comparative Outcomes of Direct Versus Connector-Assisted Peripheral Nerve Repair
by Edoardo Agosti, Marco Zeppieri, Tamara Ius, Sara Antonietti, Lorenzo Gelmini, Luca Denaro, Antonella Bonetti, Marco Maria Fontanella, Fulvia Ortolani and Pier Paolo Panciani
Biomedicines 2025, 13(12), 2954; https://doi.org/10.3390/biomedicines13122954 - 30 Nov 2025
Viewed by 870
Abstract
Background: Peripheral nerve injuries affect a significant proportion of patients with upper extremity trauma, with transections frequently requiring surgical intervention. While direct repair (DR) remains the historical standard, connector-assisted repair (CAR) has been proposed to improve functional outcomes by addressing limitations inherent to [...] Read more.
Background: Peripheral nerve injuries affect a significant proportion of patients with upper extremity trauma, with transections frequently requiring surgical intervention. While direct repair (DR) remains the historical standard, connector-assisted repair (CAR) has been proposed to improve functional outcomes by addressing limitations inherent to DR, such as fascicular misalignment and tension at the repair site. Objectives: The purpose of this systematic review is to evaluate and compare the clinical effectiveness and complication rates of DR versus CAR in upper extremity peripheral nerve injuries. Methods: A systematic search of the PubMed, Scopus, and Ovid MEDLINE databases was conducted for clinical studies published between January 1980 and August 2025 that reported sensory outcomes after DR or CAR for peripheral nerve injuries in the upper limb. Studies were included if sensory outcomes could be categorized using the Medical Research Council Classification (MRCC) scale. The primary outcome was the rate of meaningful sensory recovery (MR), defined as MRCC ≥ S3, with a secondary threshold of MRCC ≥ S3+. Secondary outcomes included postoperative neuroma formation, cold intolerance, pain scores, altered sensation, and revision rate. Statistical analysis was performed using two-sided Fisher exact tests and unpaired t-tests, with p < 0.05 considered significant. Results: A total of 441 patients (DR) and 338 (CAR) were included, with mean ages of 34.2 and 37.3 years and a male predominance (79.7% vs. 73.8%). Overall, 705 nerves in DR and 436 in CAR were treated, mainly digital (86.4% vs. 79.9%), followed by ulnar, median, and radial. Sensory nerves predominated (86.4% vs. 81.6%), with mixed nerves more frequent in CAR (22.5%). Most injuries were Grade I (73% vs. 72.1%), with similar rates of Grades II–III. In the CAR group, the most used conduit was collagen type I (58.3%). Sensory recovery (S3+ and S4) was higher in CAR (69.3%) than DR (50.8%), while DR showed lower two-point discrimination >15 mm. Motor recovery was limited, with better values in DR. DASH scores averaged 13.2 (DR) and 18.2 (CAR), with follow-up of 26 and 23.8 months. Complications were more frequent in DR for cold intolerance, altered sensation, and pain, whereas neuromas, revisions, and fistulas were higher in CAR. Conclusions: Connector-assisted repair demonstrates better sensory recovery and less cold intolerance than DR in small-gap upper-extremity nerve injuries but with higher post-interventional risks and costs. DR remains effective for closely approximated nerves. Randomized trials are warranted, as current evidence is heterogeneous and mostly observational. Full article
(This article belongs to the Section Molecular and Translational Medicine)
Show Figures

Figure 1

23 pages, 10702 KB  
Article
A Versatile SPH Approach for Modelling Very Flexible and Modularized Floating Structures in Moored Configurations
by Rafail Ioannou, Vasiliki Stratigaki, Eva Loukogeorgaki and Peter Troch
J. Mar. Sci. Eng. 2025, 13(12), 2283; https://doi.org/10.3390/jmse13122283 - 30 Nov 2025
Cited by 1 | Viewed by 779
Abstract
A variety of Offshore Floating Photovoltaics (OFPVs) applications rely on the capacity of their floating support structures displacing in the shape of surface waves to reduce extreme wave-induced loads exerted on their floating-mooring system. This wave-adaptive displacement behaviour is typically realized through two [...] Read more.
A variety of Offshore Floating Photovoltaics (OFPVs) applications rely on the capacity of their floating support structures displacing in the shape of surface waves to reduce extreme wave-induced loads exerted on their floating-mooring system. This wave-adaptive displacement behaviour is typically realized through two principal design approaches, either by employing slender and continuously deformable structures composed of highly elastic materials or by decomposing the structure into multiple floating rigid pontoons interconnected via flexible connectors. The hydrodynamic behaviour of these structures is commonly analyzed in the literature using potential flow theory, to characterize wave loading, whereas in order to deploy such OFPV prototypes in realistic marine environments, a high-fidelity numerical fluid–structure interaction model is required. Thus, a versatile three-dimensional numerical scheme is herein presented that is capable of handling non-linear fluid-flexible structure interactions for Very Flexible Floating Structures (VFFSs): Multibody Dynamics (MBD) for modularized floating structures and floating-mooring line interactions. In the present study, this is achieved by employing the Smoothed Particles Hydrodynamics (SPH) fluid model of DualSPHysics, coupled both with the MBD module of Project Chrono and the MoorDyn+ lumped-mass mooring model. The SPH-MBD coupling enables modelling of large and geometrically non-linear displacements of VFFS within an Applied Element Method (AEM) plate formulation, as well as rigid body dynamics of modularized configurations. Meanwhile, the SPH-MoorDyn+ captures the fully coupled three-dimensional response of floating-mooring and floating-floating dynamics, as it is employed to model both moorings and flexible interconnectors between bodies. The coupled SPH-based numerical scheme is herein validated against physical experiments, capturing the hydroelastic response of VFFS, rigid body hydrodynamics, mooring line dynamics, and flexible connector behaviour under wave loading. The demonstrated numerical methodology represents the first validated Computational Fluid Dynamics (CFD) application of moored VFFS in three-dimensional domains, while its robustness is further confirmed using modular floating systems, enabling OFPV engineers to comparatively assess these two types of wave-adaptive designs in a unified numerical framework. Full article
(This article belongs to the Section Ocean Engineering)
Show Figures

Figure 1

Back to TopTop