Sign in to use this feature.

Years

Between: -

Subjects

remove_circle_outline
remove_circle_outline
remove_circle_outline
remove_circle_outline
remove_circle_outline
remove_circle_outline
remove_circle_outline
remove_circle_outline
remove_circle_outline

Journals

remove_circle_outline
remove_circle_outline
remove_circle_outline
remove_circle_outline
remove_circle_outline
remove_circle_outline

Article Types

Countries / Regions

remove_circle_outline
remove_circle_outline
remove_circle_outline
remove_circle_outline

Search Results (468)

Search Parameters:
Keywords = coffee bean

Order results
Result details
Results per page
Select all
Export citation of selected articles as:
34 pages, 8403 KB  
Article
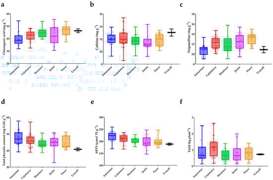
Morpho-Physicochemical, Bioactive, and Antioxidant Profiling of Peruvian Coffea arabica L. Germplasm Reveals Promising Accessions for Agronomic and Nutraceutical Breeding
by César Cueva-Carhuatanta, Ester Choque-Incaluque, Ronald Pio Carrera-Rojo, Jazmín Maravi Loyola, Marián Hermoza-Gutiérrez, Hector Cántaro-Segura, Elizabeth Fernandez-Huaytalla, Dina L. Gutiérrez-Reynoso, Fredy Quispe-Jacobo and Karina Ccapa-Ramirez
Plants 2026, 15(1), 13; https://doi.org/10.3390/plants15010013 (registering DOI) - 19 Dec 2025
Abstract
Coffee quality arises from the interaction among genotype, environment, and postharvest management, yet few large-scale studies jointly integrate agronomic, phytochemical, and processing traits. We characterized 150 Coffea arabica L. accessions from six Peruvian regions, evaluated in the INIA coffee germplasm collection, quantifying agro-morphological [...] Read more.
Coffee quality arises from the interaction among genotype, environment, and postharvest management, yet few large-scale studies jointly integrate agronomic, phytochemical, and processing traits. We characterized 150 Coffea arabica L. accessions from six Peruvian regions, evaluated in the INIA coffee germplasm collection, quantifying agro-morphological traits, colorimetric parameters in cherries and beans, fermentation indicators, bioactive compounds, and antioxidant activity. Correlation analyses showed that total phenolics (TPCs) and total flavonoids (TFCs) were strongly associated with antioxidant activity, whereas caffeine content (CAF) varied, largely independently. Several chromatic parameters in parchment and green coffee (a*, b*, C*) showed positive correlations with phenolic content and antioxidant activity (ABTS, DPPH, FRAP), while final fermentation pH (FPH) was negatively associated with these compounds, supporting both color metrics and pH as operational indicators of chemical quality. Principal component analysis disentangled a morphometric gradient from a functional (phenolic–antioxidant) gradient, indicating that bean size and antioxidant potential can be improved in a semi-independent manner. Hierarchical clustering identified complementary ideotypes, and a multi-trait selection index highlighted promising accessions—PER1002197 (Cajamarca), PER1002222 (Cajamarca), PER1002288 (Pasco), and PER1002184 (Cajamarca)—that combine high phenolic/antioxidant levels, favorable chlorogenic acid (CGA)/trigonelline (TGN) profiles, contrasting (high/low) caffeine, and competitive yield (YPP)/bean size. These accessions represent promising candidates for breeding climate-smart and nutraceutical-oriented coffee. Full article
(This article belongs to the Section Plant Physiology and Metabolism)
Show Figures

Graphical abstract

24 pages, 3501 KB  
Article
Low-Quality Coffee Beans Used as a Novel Biomass Source of Cellulose Nanocrystals: Extraction and Application in Sustainable Packaging
by Graziela dos Santos Paulino, Júlia Santos Pereira, Clara Suprani Marques, Kyssila Vitória Reis Vitalino, Victor G. L. Souza, Ananda Pereira Aguilar, Lucas Filipe Almeida, Taíla Veloso de Oliveira, Andréa de Oliveira Barros Ribon, Sukarno Olavo Ferreira, Eveline Teixeira Caixeta Moura, Deusanilde de Jesus Silva and Tiago Antônio de Oliveira Mendes
Resources 2025, 14(12), 191; https://doi.org/10.3390/resources14120191 - 18 Dec 2025
Abstract
Most polymeric plastics used as food packaging are obtained from petroleum or made with non-biodegradable synthetic molecules, which slowly degrade and leach into the environment, resulting in the accumulation of microplastics along the trophic chains. To mitigate these impacts, biodegradable packaging derived from [...] Read more.
Most polymeric plastics used as food packaging are obtained from petroleum or made with non-biodegradable synthetic molecules, which slowly degrade and leach into the environment, resulting in the accumulation of microplastics along the trophic chains. To mitigate these impacts, biodegradable packaging derived from agro-industrial biomass residues has emerged as a promising alternative. In this study, bio-based methylcellulose films reinforced with cellulose nanocrystals (CNCs) extracted from low-quality coffee beans were developed and fully characterized. The extracted CNCs presented a needle-like morphology, with an average height of 7.27 nm and a length of 221.34 nm, with 65.75% crystallinity, were stable at pH 7–8, and presented thermogravimetric mass loss of 8.0%. Methylcellulose films containing 0.6% w/w of CNC were produced by casting and characterized in terms of thermal, mechanical, and optical properties. Notably, the incorporation of CNCs resulted in significantly more flexible and less rigid films, as evidenced by the higher elongation at break (57.90%) and lower Young’s modulus (0.0015 GPa) compared to neat methylcellulose film. The tensile strength was not affected (p > 0.05). Additionally, the MCNC 0.6% films effectively blocked UV light in the 200–300 nm range without compromising transparency. Altogether, these findings underscore the MCNC 0.6% film as a flexible, biodegradable packaging material suitable for food industry application. Full article
Show Figures

Figure 1

13 pages, 1237 KB  
Article
Sustainable Solid Biofuel Production from Coffee Byproducts: Characterization and Pelletization of Husk and Parchment
by Shoraia Germani Winter, Antonio José Vinha Zanuncio, Amélia Guimarães Carvalho, Marcos Vinícius Ferreira, Olivia Pereira Lopes, Angélica de Cassia Oliveira Carneiro and Solange de Oliveira Araújo
Resources 2025, 14(12), 188; https://doi.org/10.3390/resources14120188 - 12 Dec 2025
Viewed by 218
Abstract
Brazil is the world’s largest coffee producer, resulting in the production of 1 kg of husk and 0.5 kg of parchment for every 1 kg of coffee beans. Given the large amount of biomass and the constant need for energy production, this study [...] Read more.
Brazil is the world’s largest coffee producer, resulting in the production of 1 kg of husk and 0.5 kg of parchment for every 1 kg of coffee beans. Given the large amount of biomass and the constant need for energy production, this study raises the possibility of using waste for pellet production. Samples of coffee husks and parchment were characterized by moisture content (dry basis), proximate analysis (volatile matter, ash and fixed carbon), calorific value, elemental analysis, and thermogravimetry, and the pellets were characterized by moisture content (dry basis), bulk density, energy density, mechanical durability, percentage of fines, and hardness. The results were compared with the ISO 17225-6. The parchment had a higher carbon, 49.5%, C/N 45.1%, and lignin 26.2% and lower ashes 2.8% and extractives 14.2%, resulting in higher calorific value, while coffee husks obtained 46.5%, 26.3%, 24.6%, 5.5%, and 34.3%, respectively. Pellets produced with parchment had a higher density 622 kg/m3 and lower moisture content 10.5%, resulting in higher energy density. The parchment pellets met all the parameters of the ISO 17225-6, while the coffee husk pellets did not meet the parameters for moisture, which is less than 15%, and bulk density, greather than 600 kg/m3. Both types of biomass showed potential for pellet production, with further studies needed on coffee husks. Full article
Show Figures

Figure 1

16 pages, 920 KB  
Article
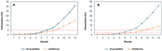
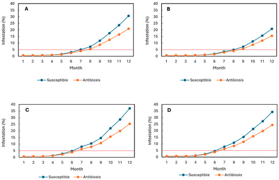
Climate-Resilient F3 Progenies of Coffea arabica: Agronomic Traits and Antibiosis to Hypothenemus hampei
by Diana Molina, Claudia Patricia Flórez-Ramos, Esther Cecilia Montoya, Rubén Medina and Pablo Benavides
Plants 2025, 14(24), 3744; https://doi.org/10.3390/plants14243744 - 9 Dec 2025
Viewed by 495
Abstract
Climate change is expected to reduce coffee yields and intensify infestations by Hypothenemus hampei, the most destructive coffee pest worldwide. Strengthening host plant resistance offers a sustainable approach to mitigate these impacts. This study aimed to characterize F3 progenies derived from [...] Read more.
Climate change is expected to reduce coffee yields and intensify infestations by Hypothenemus hampei, the most destructive coffee pest worldwide. Strengthening host plant resistance offers a sustainable approach to mitigate these impacts. This study aimed to characterize F3 progenies derived from crosses between Castillo®—a variety with high agronomic performance and resistance to Hemileia vastatrix—and Ethiopian Coffea arabica introductions exhibiting antibiosis to H. hampei for agronomic traits and, for the first time, modeled reductions in H. hampei infestation under projected climate change scenarios. Thirteen F3 progenies with medium plant stature, rust resistance, and high productivity were selected using a 6 × 7 lattice design. Antibiosis was quantified under controlled conditions by infesting individual coffee beans with a single female borer and validated under field conditions by artificially infesting productive branches with 100 females. Relative to the susceptible control, oviposition decreased by 18.0–25.8% under controlled conditions and by 24.1–69.8% in the field. To anticipate progeny performance under warmer conditions, simulation modeling integrating laboratory and field data under Neutral and El Niño scenarios for the Naranjal and Paraguaicito experimental stations, indicated that progenies exhibiting 34–55% reductions in oviposition would maintain infestation below the economic damage threshold (5%) throughout the eight-month fruit development period. Progenies with the highest antibiosis (55%) would reach the action threshold (2%) only in the seventh month. These findings demonstrate the potential of antibiosis-based resistance to reduce insecticide use and strengthen integrated pest management under projected climate change scenarios. Full article
(This article belongs to the Special Issue Management, Development, and Breeding of Coffea sp. Crop)
Show Figures

Graphical abstract

18 pages, 1071 KB  
Article
Taguchi-Based Optimization of Ultrasound-Assisted Valorization of Coffee Silver Skin for Increasing Phenolic Content: Antioxidant Activity, Physical Properties, and Energy Consumption Assessment
by Yu-Xuan Chen and Mohsen Gavahian
Processes 2025, 13(12), 3957; https://doi.org/10.3390/pr13123957 - 7 Dec 2025
Viewed by 307
Abstract
Coffee is among the trendy beverages; however, roasting coffee beans generates by-products such as coffee silver skin (CS). Although CS is rich in phenolic compounds with potential health benefits, there are limited reports on applying advanced optimization approaches combined with emerging food processing [...] Read more.
Coffee is among the trendy beverages; however, roasting coffee beans generates by-products such as coffee silver skin (CS). Although CS is rich in phenolic compounds with potential health benefits, there are limited reports on applying advanced optimization approaches combined with emerging food processing technologies for sustainable valorization of CS. This study aims to optimize the ultrasound extraction process of Taiwanese CS using the L9 (34) orthogonal Taguchi method, aiming at maximizing total phenolic content (TPC) while assessing total and specific energy consumption (TEC and SEC). The antioxidant activity of the extracts was also evaluated in relation to processing variables. Besides, variations in the extracts’ CIE color values and total soluble solids were assessed. Independent parameters were extraction time, sonication amplitude, ethanol concentration, and temperature. According to the results, optimized conditions (1 min, 50% amplitude, 80% ethanol, and 25 °C) yielded a TPC value of 7.45 mg GAE/g CS, with the lowest SEC of 0.0067 kWh/mg GAE/g. Antioxidant analysis showed a range of 0.634–1.283 mg/mL for 2,2-diphenyl-1-picrylhydrazyl (DPPH) radical scavenging ability, indicating Taguchi’s effectiveness in improving antioxidant activity. In addition, process optimization reduced TEC and SEC by 23.8 and 41.8%, respectively, contributing to green extraction and sustainable food production in line with sustainable development goals. It was found that selecting optimal parameters is crucial for maximizing the extraction of phenolic and enhancing antioxidant properties, while minimizing energy use. Future chemistry-focused studies can explore the interactions between individual phenolic compounds in CS extracts to further support the optimization of multi-parameter process design. Full article
Show Figures

Graphical abstract

23 pages, 3929 KB  
Article
Lipid Metabolism and Actin Cytoskeleton Regulation Underlie Yield and Disease Resistance in Two Coffea canephora Breeding Populations
by Ezekiel Ahn, Sunchung Park, Jishnu Bhatt, Seunghyun Lim and Lyndel W. Meinhardt
Plants 2025, 14(23), 3675; https://doi.org/10.3390/plants14233675 - 3 Dec 2025
Viewed by 280
Abstract
Distinct breeding populations of Coffea canephora often exhibit genetic divergence, yet the biological pathways underlying yield and leaf rust resistance in contrasting populations remain poorly understood. Here, we performed a comparative genomic analysis of two populations (Premature and Intermediate) to dissect the genetic [...] Read more.
Distinct breeding populations of Coffea canephora often exhibit genetic divergence, yet the biological pathways underlying yield and leaf rust resistance in contrasting populations remain poorly understood. Here, we performed a comparative genomic analysis of two populations (Premature and Intermediate) to dissect the genetic architecture of coffee bean production, green bean yield, and leaf rust incidence. By integrating single-SNP association, machine learning (Bootstrap Forest), and Gene Ontology (GO) pathway analysis, we found that the Premature population’s traits were linked to specialized metabolic pathways, particularly lipid modification and organelle lumen–associated processes. In contrast, the Intermediate population was governed by core cellular machinery, with significant enrichment for actin cytoskeleton regulation and salicylic acid signaling. These findings demonstrate that distinct breeding populations achieve agronomic success through fundamentally different biological strategies and provide a reusable resource of ranked SNP lists for targeted, population-aware breeding. Full article
Show Figures

Figure 1

19 pages, 1141 KB  
Article
Valorization of Green Arabica Coffee Coproducts for Mannanase Production and Carbohydrate Recovery
by Raquel Coldibelli Ribeiro, Leonardo João Bicalho de Moraes de Barros, Laura Braga de Menezes, Claudia Moraes de Rezende, Ayla Sant’Ana da Silva, Elba Pinto da Silva Bon and Ricardo Sposina Sobral Teixeira
Processes 2025, 13(12), 3874; https://doi.org/10.3390/pr13123874 - 1 Dec 2025
Viewed by 223
Abstract
Agro-industrial residues rich in carbohydrates represent low-cost and sustainable feedstock for enzyme production. This study demonstrates that green Arabica coffee press cake, a mannan-rich coproduct of oil extraction, is an efficient carbon source for Aspergillus niger (CFAM 1234) cultivation and for inducing mannanase [...] Read more.
Agro-industrial residues rich in carbohydrates represent low-cost and sustainable feedstock for enzyme production. This study demonstrates that green Arabica coffee press cake, a mannan-rich coproduct of oil extraction, is an efficient carbon source for Aspergillus niger (CFAM 1234) cultivation and for inducing mannanase production. Furthermore, the enzymes obtained were tested for mannose recovery in the enzymatic hydrolysis of healthy and defective coffee beans to investigate their hydrolytic potential. Mannanase production was investigated using various carbon sources—including ground coffee beans; coffee press cake; different particle sizes of coffee press cake; aqueous coffee cake extract (prepared at 30 g·L−1 under constant stirring (300 rpm) at 80 °C for 2 h, followed by filtration.); and a commercial galactomannan, locust bean gum (LBG). CNHSO analysis was performed in the best carbon source (coffee press cake) and LBG. Statistical optimization (Plackett–Burman and Central Composite Rotatable Design) simplified the culture medium composition to coffee press cake (48.78 g·L−1), yeast extract (4 g·L−1), and potassium phosphate (0.25 g·L−1, pH 5.5) and increased mannanases productivity to 22.4 ± 0.6 U·mL−1 within only 3 days (a 42.9% improvement compared to non-optimized conditions, which were 30 g·L−1, carbon source, 4 g·L−1 yeast extract, 1 g·L−1 Al2O3, 0.5 g·L−1 potassium phosphate buffer (pH 5.5), 0.5 g·L−1 of MgSO4·7H2O, and 0.05 g·L−1 of CaCl2·2H2O, which resulted in a maximum of ~20 U·mL−1 in 7 days). The crude extract also exhibited β-mannosidase activity (1.39 ± 0.06 U·mL−1). When applied to the hydrolysis of untreated healthy and defective coffee beans, the enzyme preparation enabled ~25% mannose recovery (considering the value obtained through acid hydrolysis as 100%), highlighting its potential as a mannose resource. The results demonstrate that coproducts from the coffee production chain can be used as an efficient carbon source (coffee cake) for mannanase production, as well as sugar recovery (defective coffee beans), offering an integrated strategy to strengthen the circular bioeconomy and generate carbohydrates with potential industrial and nutritional applications. Full article
(This article belongs to the Special Issue Enzyme Production Using Industrial and Agricultural By-Products)
Show Figures

Figure 1

13 pages, 538 KB  
Article
Characteristics of Molecular Properties of Carbohydrates and Melanoidins in Instant Coffee and Coffee Substitutes
by Krzysztof Buksa and Michał Szczypek
Appl. Sci. 2025, 15(23), 12627; https://doi.org/10.3390/app152312627 - 28 Nov 2025
Viewed by 216
Abstract
The aim of this study was to compare, under standardized conditions, the content and molecular properties of carbohydrates occurring in extracts from roasted coffee beans and in coffee substitutes made from roasted chicory root, barley, wheat, spelt, and rye. The study revealed an [...] Read more.
The aim of this study was to compare, under standardized conditions, the content and molecular properties of carbohydrates occurring in extracts from roasted coffee beans and in coffee substitutes made from roasted chicory root, barley, wheat, spelt, and rye. The study revealed an over 8% higher carbohydrate content, primarily polysaccharides of a molar mass greater than 1800 g/mol, in instant Arabica coffee extract compared to Robusta coffee. Significant differences were also demonstrated in the carbohydrate composition of Arabica and Robusta coffee extracts, as well as coffees obtained using laboratory and industrial methods. Coffee substitutes generally contained more polysaccharides and two to five times more oligosaccharides of a molar mass ranging from 400 to 1800 g/mol, and consequently, total carbohydrates, compared to coffee extracts. The high oligosaccharide contents (11–25%) of very diverse monosaccharide composition found in instant coffee substitutes indicate the potential prebiotic effects of these products. The highest melanoidin content among instant coffee extracts and coffee substitutes was found in a coffee substitute made from roasted chicory. Furthermore, extract from Arabica coffee contained higher amounts of melanoidins than Robusta coffee. Full article
(This article belongs to the Special Issue Food Polysaccharides: Chemistry, Technology and Applications)
Show Figures

Figure 1

19 pages, 2893 KB  
Article
Mass and Nutrient Content of Beans and Husks of Coffea racemosa and Coffea zanguebariae Grown in Mozambique
by Niquisse José Alberto, Larícia Olária Emerick Silva, Rafael Nunes de Almeida, Weverton Pereira Rodrigues, Augusto Jossias Zandamela, José Cochicho Ramalho and Fábio Luiz Partelli
Plants 2025, 14(21), 3401; https://doi.org/10.3390/plants14213401 - 6 Nov 2025
Viewed by 458
Abstract
Coffea racemosa and C. zanguebariae show promising characteristics for cultivation under stress conditions. However, their potential for breeding programs requires further characterization, especially regarding fruit attributes. This study aimed to characterize the bean/husk ratio and the nutrient content in bean and husks from [...] Read more.
Coffea racemosa and C. zanguebariae show promising characteristics for cultivation under stress conditions. However, their potential for breeding programs requires further characterization, especially regarding fruit attributes. This study aimed to characterize the bean/husk ratio and the nutrient content in bean and husks from 22 accessions of Coffea racemosa and another 22 of C. zanguebariae cultivated in Mozambique. Ripe fruits were collected, dried, and manually peeled to evaluate the percentage of bean and husk. The nutrient content (N, P, K, Ca, Mg, S, Fe, Zn, Cu, Mn, and B) was quantified separately by standard methodology. The data were summarized in scatter plots, and differences among accessions were analyzed using Euclidean distance and grouped following the Unweighted Pair Group Method with Arithmetic Mean. On average, beans accounted for 54.4% (ranging from 34.5% to 66.5%) of the fruit mass in C. racemosa and 60.4% (38.8% to 81.4%) in C. zanguebariae. Macronutrient content in beans followed the order N > K > Mg > P > S > Ca (average N = 19.98 kg ton−1 of beans) in C. racemosa and N > K > Ca > Mg > S > P (average N = 25.42 kg ton−1 of beans) in C. zanguebariae. Micronutrient content in beans followed the order Fe > B > Mn > Cu > Zn in both species, with average Fe content of 325.8 and 473.72 g ton−1 of beans for C. racemosa and C. zanguebariae, respectively. No correspondence occurred between the bean and husk nutrient content. Coffea racemosa and C. zanguebariae exhibit bean proportions and nutritional profiles comparable to those of commercial species, highlighting their high potential for coffee diversification and genetic breeding. These results provide new evidence supporting the inclusion of C. racemosa and C. zanguebariae in breeding programs aimed at climate-resilient and nutritionally distinct coffee varieties. Full article
(This article belongs to the Special Issue Chemistry, Biology and Health Aspects of Plants of the Coffea Genus)
Show Figures

Figure 1

16 pages, 2913 KB  
Article
OGS-YOLOv8: Coffee Bean Maturity Detection Algorithm Based on Improved YOLOv8
by Nannan Zhao and Yongsheng Wen
Appl. Sci. 2025, 15(21), 11632; https://doi.org/10.3390/app152111632 - 31 Oct 2025
Cited by 1 | Viewed by 565
Abstract
This study presents the OGS-YOLOv8 model for coffee bean maturity identification, designed to enhance accuracy in identifying coffee beans at different maturity stages in complicated contexts, utilizing an upgraded version of YOLOv8. Initially, the ODConv (full-dimensional dynamic convolution) substitutes the convolutional layers in [...] Read more.
This study presents the OGS-YOLOv8 model for coffee bean maturity identification, designed to enhance accuracy in identifying coffee beans at different maturity stages in complicated contexts, utilizing an upgraded version of YOLOv8. Initially, the ODConv (full-dimensional dynamic convolution) substitutes the convolutional layers in the backbone and neck networks to augment the network’s capacity to capture attributes of coffee bean images. Second, we replace the C2f layer in the neck networks with the CSGSPC (Convolutional Split Group-Shuffle Partial Convolution) module to reduce the computational load of the model. Lastly, to improve bounding box regression accuracy by concentrating on challenging samples, we substitute the Inner-FocalerIoU function for the CIoU loss function. According to experimental results, OGS-YOLO v8 outperforms the original model by 7.4%, achieving a detection accuracy of 73.7% for coffee bean maturity. Reaching 76% at mAP@0.5, it represents a 3.2% increase over the initial model. Furthermore, GFLOPs dropped 26.8%, from 8.2 to 6.0. For applications like coffee bean maturity monitoring and intelligent harvesting, OGS-YOLOv8 offers strong technical support and reference by striking a good balance between high detection accuracy and low computational cost. Full article
(This article belongs to the Section Agricultural Science and Technology)
Show Figures

Figure 1

12 pages, 1275 KB  
Article
Estimation of the Shelf Life of Specialty Coffee in Different Types of Packaging Through Accelerated Testing
by Frank Fernandez-Rosillo, Lenin Quiñones-Huatangari, Eliana Milagros Cabrejos-Barrios, Margarita Abarca López, Yeselli Liliana Córdova Flores and Segundo G. Chavez
Beverages 2025, 11(6), 154; https://doi.org/10.3390/beverages11060154 - 28 Oct 2025
Viewed by 1864
Abstract
The study estimated the shelf life of specialty coffee packaged in six types of packaging (Tocuyo bag (TB), Double-bilaminate foil and aluminuim bag (DFAB), Ecotac vacuum bag (EV), Pressed cardboard box (PCB), Double-laminated bag without valve, with opening and zipper (DBOZ), Double-laminated bag [...] Read more.
The study estimated the shelf life of specialty coffee packaged in six types of packaging (Tocuyo bag (TB), Double-bilaminate foil and aluminuim bag (DFAB), Ecotac vacuum bag (EV), Pressed cardboard box (PCB), Double-laminated bag without valve, with opening and zipper (DBOZ), Double-laminated bag with degassing valve and zipper (DBDVZ) and Triple-laminated bag with degassing valve and zipper (TBDVZ)). The estimation of shelf life was conducted by means of cup scores provided by six coffee tasters for coffee stored at 40, 50, and 60 °C. The Arrhenius equation was employed to obtain accelerated models for predicting shelf life. It was determined that green coffee beans are most effectively preserved in DBOZ, maintaining their freshness for a period of up to 55.13 days. The second-best option was EV, which has a shelf life of up to 35.21 days. The sole packaging alternative that was subjected to testing for roasted coffee beans was found to allow for their preservation for a period of up to 32 days. However, for roasted and ground coffee, of the four alternatives evaluated, the TBDVZ proved to be the optimal alternative, at 12.18 days. However, the other alternatives (DBOZ and DBDVZ) allow for very similar storage times, at 11.99 and 11.48 days, respectively. PCB does not appear to be a viable packaging alternative for roasted and ground coffee (7.85 days). Finally, we found that coffee stored in DFAB and aluminum bags at 20 °C has been shown to retain its quality for up to 250 days. Furthermore, if the temperature is reduced to 10 °C, the coffee’s shelf life is extended to more than 600 days. The insights derived from this research are of significant value to industry stakeholders, consumers, and developers of specialty coffee packaging. Full article
(This article belongs to the Section Tea, Coffee, Water, and Other Non-Alcoholic Beverages)
Show Figures

Figure 1

13 pages, 1139 KB  
Article
Analysis of Agronomic and Genetic Components of Conilon Clones in an Irrigated Production System in the Central Cerrado
by Thiago Paulo da Silva, Adriano Delly Veiga, Renato Fernando Amabile, Juaci Malaquias, Michelle Souza Vilela, Sônia Maria Costa Celestino, Arlini Rodrigues Fialho, João Victor Pinheiro Melo and Gustavo Barbosa Cobalchini Santos
Agronomy 2025, 15(11), 2491; https://doi.org/10.3390/agronomy15112491 - 27 Oct 2025
Viewed by 425
Abstract
Canephora coffee genotypes developed in other growing regions, with traits of interest such as drought tolerance and high coffee bean yield, need to be introduced and characterized in other locations to check adaptability. The aim of this study was to check the agronomic [...] Read more.
Canephora coffee genotypes developed in other growing regions, with traits of interest such as drought tolerance and high coffee bean yield, need to be introduced and characterized in other locations to check adaptability. The aim of this study was to check the agronomic performance and determine the genetic parameters of the clonal canephora coffee cultivar Marilândia ES 8143, composed by twelve genotypes, developed by the Capixaba Institute of Research, Technical Assistance and Rural Extension (Instituto Capixaba de Pesquisa, Assistência Técnica e Extensão Rural—Incaper), in an irrigated system of the Central Cerrado region of Brazil. The study was conducted in the experimental areas of Embrapa Cerrados at 1050 m altitude in a center pivot irrigation system using a management system with water stress controlled for around 65 days. A randomized block experimental design was used with three replications, and each plot consisted of eight plants. The clones were planted in February 2019 and in 2021 and 2022. Phenotyping was carried out to evaluate the following traits: coffee bean yields, sieve retention percentages, plant height, canopy projection, number of pairs of plagiotropic branches, and frost damage using a scoring scale. Clone 5 stood out in mean value in the two years evaluated for bean yield. Clones 5, 6, 7, 8, and 9 had higher mean values for flat-type coffee beans in both years. Clones 1 and 5 exhibited mean values indicating good vegetative development. Clones 5 and 12 showed no visible symptoms for low air temperatures and frost effects. Highly significant differences were observed among the genotypes for all the morphoagronomic traits evaluated, and high values of heritability, genetic coefficients of variation, and selective accuracy showed conditions favorable to the selection of clones for the agronomic traits analyzed. Clones 1, 2 and 6 have values in lower groups for chlorogenic acids and caffeine, and in higher groups for protein and soluble solids, thus showing greater potential for obtaining quality beverages. Full article
(This article belongs to the Section Horticultural and Floricultural Crops)
Show Figures

Figure 1

17 pages, 4890 KB  
Article
Agro-Morphological Traits, Proximate Composition, and Phenotypic Plasticity of Coffea arabica in Contrasting and Very Close Environments in Northern Peru
by Ligia García, Jaris Veneros, Carlos Bolaños-Carriel, Grobert A. Guadalupe, Heyton Garcia, Roberto Carlos Mori-Zabarburú and Segundo G. Chavez
Agronomy 2025, 15(11), 2465; https://doi.org/10.3390/agronomy15112465 - 23 Oct 2025
Cited by 1 | Viewed by 894
Abstract
Coffee is one of Peru’s most important agricultural commodities, and its productivity is highly influenced by environmental variability. This study aimed to evaluate agro-morphological traits, proximate bean composition, and the phenotypic plasticity index (PPI) of Coffea arabica (Catimor variety) cultivated in three neighboring [...] Read more.
Coffee is one of Peru’s most important agricultural commodities, and its productivity is highly influenced by environmental variability. This study aimed to evaluate agro-morphological traits, proximate bean composition, and the phenotypic plasticity index (PPI) of Coffea arabica (Catimor variety) cultivated in three neighboring provinces of Piura: Ayabaca, Huancabamba, and Morropón. Unlike previous studies that broadly compare distant regions, this research focuses on geographically close yet climatically contrasting environments, providing new insight into how microclimatic and edaphic variability shape both morphological and chemical traits. A total of 300 plants were sampled, and 12 morphological descriptors were recorded alongside proximate composition analyses of moisture, crude protein, fiber, ash, fat, and carbohydrates. Multivariate approaches, including cluster analysis, multiple correspondence analysis, and Pearson correlations, were applied to determine groupings and trait associations. Results indicated that 12 morphological variables consistently reflected species-specific descriptors, forming two statistical groups, with Morropón showing the greatest homogeneity. Significant differences (p ≤ 0.05) were observed in the proximate composition of most variables, except for crude fiber and carbohydrates. Morropón beans showed the highest fat and moisture values, while Huancabamba had elevated protein and ash levels. Morphological traits exhibited higher plasticity (PPI = 0.70) compared with proximate traits (PPI = 0.21). These findings reveal that even within short spatial distances, coffee plants exhibit marked phenotypic differentiation driven by local environmental factors, offering a novel, fine-scale perspective on trait variability relevant to breeding and adaptation studies under changing climatic conditions. Full article
(This article belongs to the Section Horticultural and Floricultural Crops)
Show Figures

Figure 1

21 pages, 1394 KB  
Article
Polyphenol Degradation Kinetics of Specialty Coffee in Different Presentations
by Frank Fernandez-Rosillo, Eliana Milagros Cabrejos-Barrios, Segundo Grimaldo Chávez-Quintana and Lenin Quiñones-Huatangari
Foods 2025, 14(21), 3600; https://doi.org/10.3390/foods14213600 - 23 Oct 2025
Viewed by 2002
Abstract
Polyphenols are chemical compounds found in plants, and coffee is an important source of them. The objective of the study was to evaluate the kinetics of polyphenol degradation in a blend of specialty coffee (green, roasted and roasted–ground beans), packaged in eight different [...] Read more.
Polyphenols are chemical compounds found in plants, and coffee is an important source of them. The objective of the study was to evaluate the kinetics of polyphenol degradation in a blend of specialty coffee (green, roasted and roasted–ground beans), packaged in eight different packages, under accelerated storage conditions. The samples were stored at 40, 50 and 60 °C for 12, 8 and 4 days, respectively. The degradation kinetics were modelled based on chemical kinetics and determination of the reaction order. Using the Arrhenius model, the rate constants (k) and activation energies (Ea) were estimated, which were then used to calculate and predict the half-life. The degradation followed zero-order kinetics. The rate constant (k) varied between 0.437 and 9.534 days−1 (40–60 °C). The Ea ranged from 49.321 to 118.04 kJ*mol−1. The average shelf life shows a direct correlation with the characteristics and barrier properties of the packaging, with the longest storage times for daily storage at 25 °C being for vacuum-packed green beans (27.16 months), vacuum-packed roasted beans (3.14 months) and roasted ground coffee in trilaminate foil with a valve (40.21 months). Polyphenol retention decreased significantly with increasing temperature. For green bean, roasted bean and roasted ground coffee, the packaging that showed the best protection for the coffee was vacuum packaging and trilaminate with valve respectively, being crucial for preserving these bioactive compounds. Full article
(This article belongs to the Section Food Nutrition)
Show Figures

Graphical abstract

27 pages, 4945 KB  
Article
A Robust Framework for Coffee Bean Package Label Recognition: Integrating Image Enhancement with Vision–Language OCR Models
by Thi-Thu-Huong Le, Yeonjeong Hwang, Ahmada Yusril Kadiptya, JunYoung Son and Howon Kim
Sensors 2025, 25(20), 6484; https://doi.org/10.3390/s25206484 - 20 Oct 2025
Viewed by 1267
Abstract
Text recognition on coffee bean package labels is of great importance for product tracking and brand verification, but it poses a challenge due to variations in image quality, packaging materials, and environmental conditions. In this paper, we propose a pipeline that combines several [...] Read more.
Text recognition on coffee bean package labels is of great importance for product tracking and brand verification, but it poses a challenge due to variations in image quality, packaging materials, and environmental conditions. In this paper, we propose a pipeline that combines several image enhancement techniques and is followed by an Optical Character Recognition (OCR) model based on vision–language (VL) Qwen VL variants, conditioned by structured prompts. To facilitate the evaluation, we construct a coffee bean package image set containing two subsets, namely low-resolution (LRCB) and high-resolution coffee bean image sets (HRCB), enclosing multiple real-world challenges. These cases involve various packaging types (bottles and bags), label sides (front and back), rotation, and different illumination. To address the image quality problem, we design a dedicated preprocessing pipeline for package label situations. We develop and evaluate four Qwen-VL OCR variants with prompt engineering, which are compared against four baselines: DocTR, PaddleOCR, EasyOCR, and Tesseract. Extensive comparison using various metrics, including the Levenshtein distance, Cosine similarity, Jaccard index, Exact Match, BLEU score, and ROUGE scores (ROUGE-1, ROUGE-2, and ROUGE-L), proves significant improvements upon the baselines. In addition, the public POIE dataset validation test proves how well the framework can generalize, thus demonstrating its practicality and reliability for label recognition. Full article
(This article belongs to the Special Issue Digital Imaging Processing, Sensing, and Object Recognition)
Show Figures

Figure 1

Back to TopTop