Sign in to use this feature.

Years

Between: -

Subjects

remove_circle_outline
remove_circle_outline
remove_circle_outline
remove_circle_outline
remove_circle_outline
remove_circle_outline
remove_circle_outline
remove_circle_outline
remove_circle_outline

Journals

remove_circle_outline
remove_circle_outline
remove_circle_outline
remove_circle_outline
remove_circle_outline
remove_circle_outline
remove_circle_outline
remove_circle_outline

Article Types

Countries / Regions

remove_circle_outline
remove_circle_outline
remove_circle_outline
remove_circle_outline
remove_circle_outline

Search Results (1,343)

Search Parameters:
Keywords = caspase inhibitor

Order results
Result details
Results per page
Select all
Export citation of selected articles as:
16 pages, 1469 KB  
Article
Molecular Investigation of the Effects of Two Antiepileptic Drugs (Valproic Acid and Levetiracetam) on Alveolar Bone Under Orthodontic Force
by Nurhan Bayindir-Durna, Metin Uckan, Seyma Aydin and Selcuk Ozdemir
Medicina 2026, 62(1), 178; https://doi.org/10.3390/medicina62010178 - 15 Jan 2026
Abstract
Background and Objectives: This study aims to analyze the effects of levetiracetam (LEV) and valproic acid (VPA) administration on oxidative stress, inflammation, apoptosis, extracellular matrix dynamics, and bone remodeling parameters in rat alveolar bone exposed to orthodontic force. Materials and Methods: Four experimental [...] Read more.
Background and Objectives: This study aims to analyze the effects of levetiracetam (LEV) and valproic acid (VPA) administration on oxidative stress, inflammation, apoptosis, extracellular matrix dynamics, and bone remodeling parameters in rat alveolar bone exposed to orthodontic force. Materials and Methods: Four experimental groups were designed for this study: Control, Force, Force + LEV, and Force + VPA. LEV (150 mg/kg/day) or VPA (300 mg/kg/day) was administered intraperitoneally to the experimental groups daily for 6 weeks. At the end of the experimental period, the alveolar bone tissues were used for molecular analyses. RT-PCR analysis was performed to assess the expression levels of antioxidant markers [superoxide dismutase, (SOD), catalase (CAT), glutathione peroxidase (GPx), and glutathione (GSH)], inflammatory cytokines [tumor necrosis factor alpha (TNF-α) and interleukin-1 beta (IL-1β)], apoptosis-related genes (Bax, Bcl-2, and Caspase-3), matrix remodeling genes [matrix metalloproteinase-2 (MMP-2), matrix metalloproteinase-9 (MMP-9), and metallopeptidase inhibitor 1 (TIMP-1)], and bone metabolism regulators [receptor activator of nuclear factor kappa-Β ligand (RANKL) and osteoprotegerin (OPG)]. Oxidative stress and inflammatory measurements were also confirmed via ELISA assays. Results: The results demonstrated that orthodontic force application increased oxidative stress, inflammation, and apoptosis compared to the Control group, disrupted extracellular matrix homeostasis, and increased bone resorption, while LEV administration (LEV + Force) markedly mitigated these abnormalities. In other words, LEV administration increased levels of antioxidant markers, decreased levels of inflammatory cytokines and pro-apoptotic genes, restored extracellular matrix balance (decrease in MMP-2 and MMP-9 with concurrent upregulation of TIMP-1), and limited tissue destruction (decrease in RANKL along with elevation in OPG). In contrast to LEV, VPA did not correct these molecular alterations induced by orthodontic force and, in several parameters, further exacerbated them. Conclusions: In conclusion, molecular data from the animal model indicate that LEV plays a protective role against orthodontic force by reducing excess levels of oxidative stress, apoptosis, and inflammation and homeostatic pathways. Full article
(This article belongs to the Section Dentistry and Oral Health)
Show Figures

Figure 1

12 pages, 1459 KB  
Article
Targeting CDK11 in Rhabdoid Tumor of the Kidney
by Yuki Murakami, Kamhung Lam, Shinsuke Fukui, Elizabeth Helmke, Kenneth A. Iczkowski, Yueju Li and Noriko Satake
Cancers 2026, 18(2), 261; https://doi.org/10.3390/cancers18020261 - 14 Jan 2026
Abstract
Background: Rhabdoid tumor of the kidney (RTK) is a highly aggressive pediatric malignancy characterized by biallelic SMARCB1 loss, resulting in aberrant MYC pathway activation and cell cycle regulation. MYC-activated tumors are vulnerable in splicing functions and sensitive to splicing inhibitors. Therefore, in this [...] Read more.
Background: Rhabdoid tumor of the kidney (RTK) is a highly aggressive pediatric malignancy characterized by biallelic SMARCB1 loss, resulting in aberrant MYC pathway activation and cell cycle regulation. MYC-activated tumors are vulnerable in splicing functions and sensitive to splicing inhibitors. Therefore, in this study, cyclin-dependent kinase 11 (CDK11), which regulates both cell cycle and RNA splicing, was tested as a therapeutic target in RTK. Methods: CDK11A/B expression was analyzed using the TARGET-RT database. The therapeutic efficacy of the CDK11 inhibitor OTS964 was evaluated in two RTK cell lines (G401 and JMU-RTK-2) and a JMU-RTK-2 xenograft mouse model. Cytotoxicity, apoptosis, cell cycle, and RNA splicing were examined using the Sulforhodamine B assay, immunoblotting, flow cytometry, and RT-PCR. Results: CDK11B, but not CDK11A, was significantly upregulated in RTK and correlated with the poor survival. OTS964 inhibited RTK cell growth in vitro with the IC50 of 33.1 nM (G401) and 19.3 nM (JMU-RTK-2) and significantly prolonged survival in vivo (median survival: 46.5 vs. 37.0 days, p < 0.01) without marked toxicity. Mechanistically, OTS964 induced G2/M cell cycle arrest and p53 upregulation, disrupted RNA splicing via SF3B1 dephosphorylation, and ultimately led to apoptosis through caspase-3 activation. Conclusions: CDK11 inhibition by OTS964 effectively suppresses RTK growth through cell cycle arrest and RNA splicing inhibition, leading to apoptosis. OTS964 shows potent anti-tumor activity and tolerability, supporting CDK11 as a promising therapeutic target for RTK and related SMARCB1-deficient cancers. Full article
(This article belongs to the Section Molecular Cancer Biology)
Show Figures

Figure 1

14 pages, 4320 KB  
Article
Therapeutic Potential of Exportin 1 and Aurora Kinase A Inhibition in Multiple Myeloma Cells
by Seiichi Okabe, Yuko Tanaka, Shunsuke Otsuki, Mitsuru Moriyama, Seiichiro Yoshizawa, Akihiko Gotoh and Daigo Akahane
Hematol. Rep. 2026, 18(1), 10; https://doi.org/10.3390/hematolrep18010010 - 9 Jan 2026
Viewed by 83
Abstract
Background/Objectives: Aurora kinases (AURKs) are key regulators of mitosis, and their dysregulation contributes to plasma cell disorders, including multiple myeloma (MM) and plasma cell leukemia (PCL). Methods: The expression and prognostic relevance of AURK family members were examined, and the therapeutic potential of [...] Read more.
Background/Objectives: Aurora kinases (AURKs) are key regulators of mitosis, and their dysregulation contributes to plasma cell disorders, including multiple myeloma (MM) and plasma cell leukemia (PCL). Methods: The expression and prognostic relevance of AURK family members were examined, and the therapeutic potential of AURKA inhibition was evaluated. Results: Gene expression analysis demonstrated significant upregulation of AURKA in PCL. Treatment of MM cells with the selective AURKA inhibitor LY3295668 induced dose-dependent cytotoxicity, caspase-3/7 activation, and cellular senescence. Similarly, selinexor, a selective exportin-1 inhibitor, elicited dose-dependent cytotoxicity and apoptosis. Combined treatment with LY3295668 and selinexor significantly improved apoptosis compared with either agent alone, and AURKA knockdown further sensitized MM cells to selinexor, thereby increasing apoptosis. In bortezomib-resistant MM cells and primary PCL samples, the combination therapy induced cytotoxicity and caspase-3/7 activation. Conclusions: These findings underscore AURKA expression as a prognostic marker in plasma cell disorders and support the therapeutic potential of combining AURKA inhibition with selinexor for bortezomib-resistant MM and PCL. To explore biomarker-driven strategies for optimizing therapeutic outcomes, future studies are warranted. Full article
Show Figures

Graphical abstract

18 pages, 3656 KB  
Article
Free Fatty Acids and Endotoxins Synergically Induce Pyroptosis in Bovine Hepatocytes
by Dan Li, Yuan Tian, Lei Tian, Hang Yu, Le Zhang, Song Wang, Changsheng Lei, Pin Long, Tao Peng, Lei Liu and Yingfang Zhou
Metabolites 2026, 16(1), 53; https://doi.org/10.3390/metabo16010053 - 8 Jan 2026
Viewed by 146
Abstract
Background/Objectives: Elevated circulating non-esterified fatty acids (NEFAs) are closely associated with hepatic inflammatory injury in dairy cattle, simultaneously with the entry of lipopolysaccharide (LPS) into the liver. This study aimed to investigate the synergistic effects of NEFAs and LPS on pyroptosis in [...] Read more.
Background/Objectives: Elevated circulating non-esterified fatty acids (NEFAs) are closely associated with hepatic inflammatory injury in dairy cattle, simultaneously with the entry of lipopolysaccharide (LPS) into the liver. This study aimed to investigate the synergistic effects of NEFAs and LPS on pyroptosis in bovine hepatocytes. Methods: Primary bovine hepatocytes were allocated into control, NEFA, NEFA + LPS, NEFA + LPS + Caspase-1 inhibitor, and NEFA + LPS + NLRP3 inhibitor groups. Levels and activation of pyroptosis-related markers (NLRP3, ASC, Caspase-1, GSDMD, IL-18 and IL-1β) were measured. Results: NEFAs alone upregulated these markers in a dose-dependent manner. Compared to NEFAs alone, NEFA + LPS co-treatment significantly enhanced levels of the markers, increased IL-1β secretion, and promoted NLRP3/Caspase-1 co-localization and Caspase-1activity. Notably, these effects of NEFA + LPS were attenuated by the NLRP3 or Caspase-1 inhibitors. Similar results were obtained when repeating the experiments in carcinoma HepG2 cells. Also, a random liver section from the subclinical ketotic cows displayed a higher fluorescence intensity of NLRP3 and Caspase-1 and stronger co-localization than that from a healthy cow. Conclusions: NEFAs and LPS synergistically contribute to pyroptosis in bovine hepatocytes by enhancing NLRP3 inflammasome assembly and subsequent Caspase-1 activation, providing a potential target for mitigating hepatic injury. Full article
(This article belongs to the Special Issue Metabolic Research in Dairy Cattle Health)
Show Figures

Graphical abstract

31 pages, 1393 KB  
Review
Mitophagy–NLRP3 Inflammasome Crosstalk in Parkinson’s Disease: Pathogenic Mechanisms and Emerging Therapeutic Strategies
by Sahabuddin Ahmed, Tulasi Pasam and Farzana Afreen
Int. J. Mol. Sci. 2026, 27(1), 486; https://doi.org/10.3390/ijms27010486 - 3 Jan 2026
Viewed by 468
Abstract
Parkinson’s disease (PD) is a progressive neurodegenerative disorder characterized by the loss of dopaminergic neurons in the substantia nigra and pathological α-synuclein aggregation. Growing evidence identifies chronic neuroinflammation—particularly NLRP3 inflammasome activation in microglia—as a central driver for PD onset and progression. Misfolded α-synuclein, [...] Read more.
Parkinson’s disease (PD) is a progressive neurodegenerative disorder characterized by the loss of dopaminergic neurons in the substantia nigra and pathological α-synuclein aggregation. Growing evidence identifies chronic neuroinflammation—particularly NLRP3 inflammasome activation in microglia—as a central driver for PD onset and progression. Misfolded α-synuclein, mitochondrial dysfunction, and environmental toxins act as endogenous danger signals that prime and activate NLRP3 inflammasome, leading to caspase-1–mediated maturation of IL-1β and IL-18 and subsequent pyroptotic cell death. Impaired mitophagy, due to defects in PINK1/Parkin pathways or receptor-mediated mechanisms, permits accumulation of dysfunctional mitochondria and release DAMPs, thereby amplifying NLRP3 activity. Studies demonstrate that promoting mitophagy or directly inhibiting NLRP3 attenuates neuroinflammation and protects dopaminergic neurons in PD models. Autophagy-inducing compounds, along with NLRP3 inhibitors, demonstrate neuroprotective potential, though their clinical translation remains limited due to poor blood–brain barrier penetration, off-target effects, and insufficient clinical data. Additionally, the context-dependent nature of mitophagy underscores the need for precise therapeutic modulation. This review summarizes current understanding of inflammasome–mitophagy crosstalk in PD, highlights major pharmacological strategies under investigation, and outlines its limitations. Future progress requires development of specific modulators, targeted delivery systems, and robust biomarkers of mitochondrial dynamics and inflammasome activity for slowing PD progression. Full article
Show Figures

Figure 1

24 pages, 5708 KB  
Article
Hypoxia-Inducible Factor-1α, a Novel Molecular Target for a 2-Aminopyrrole Derivative: Biological and Molecular Modeling Study
by Svetlana S. Zykova, Tatyana Gessel, Aigul Galembikova, Evgenii S. Mozhaitsev, Sophia S. Borisevich, Nazim Igidov, Emiliya S. Egorova, Ekaterina Mikheeva, Natalia Khromova, Pavel Kopnin, Alina Galyautdinova, Vladimir Luzhanin, Maxim Shustov and Sergei Boichuk
Cancers 2026, 18(1), 115; https://doi.org/10.3390/cancers18010115 - 30 Dec 2025
Viewed by 318
Abstract
Background: Hypoxia-inducible factor-1α (HIF-1α) is a well-known transcriptional regulator that mediates a broad spectrum of cellular responses to hypoxia, including angiogenesis, extracellular matrix remodeling, and metabolic reprogramming. These activities can be achieved by upregulation of numerous genes, such as vascular endothelial growth factors, [...] Read more.
Background: Hypoxia-inducible factor-1α (HIF-1α) is a well-known transcriptional regulator that mediates a broad spectrum of cellular responses to hypoxia, including angiogenesis, extracellular matrix remodeling, and metabolic reprogramming. These activities can be achieved by upregulation of numerous genes, such as vascular endothelial growth factors, fibroblast growth factors, and platelet-derived growth factors, which are involved in the growth regulation of normal tissues and solid tumors. Notably, HIF-1α-mediated regulation of the solid tumor’s microenvironment effectively modulates tumor sensitivity to anticancer therapies and thereby can contribute to disease progression. Methods: The study was performed on breast, lung and prostate cancer cell lines. Protein expression was examined by western blotting. Antitumor activity of 2-ANPC was measured by syngeneic 4T1 breast cancer mouse model. Results: We show here that a 2-aminopyrrole derivative (2-amino-1-benzamido-5-(2-(naphthalene-2-yl)-2-oxoethylidene)-4-oxo-4,5-dihydro-1-H-pyrrole-3-carboxamide—2-ANPC), previously shown as a potent microtubule-targeting agent, effectively downregulates HIF-1α expression in a broad spectrum of cancer cell lines, including breast, lung, and prostate cancer. The downregulation of HIF-1α expression in 2-ANPC-treated cancer cells was due to enhanced proteasome-mediated degradation, whereas the proteasome inhibitor MG-132 effectively reversed this downregulation. 2-ANPC’s potency in downregulating HIF-1α was also shown in vivo by using the 4T1 breast cancer syngraft model. Importantly, this 2-aminopyrrole derivative also downregulated the expression of vascular endothelial growth factor receptors 1 and 3 (VEGFR1 and 3) in 4T1 tumors, which correlated with decreased tumor weight and size. As expected, an increase in apoptotic (i.e., cleaved caspase-3-positive) cells was detected in 4T1 tumors treated with 2-aminopyrrole derivative. Lastly, using various computational tools, we identified four potential binding sites for 2-ANPC to interact with HIF-1α, HIF-1β, and the p300 complex. Conclusions: Collectively, we show here, for the first time, that HIF-1α is a novel molecular target for the 2-aminopyrrole derivative (2-ANPC), thereby illustrating it as a potential scaffold for the development of potent chemotherapeutic agents with anti-angiogenic activity. Full article
(This article belongs to the Special Issue Hypoxia-Targeting Strategies to Improve Cancer Therapy Outcomes)
Show Figures

Figure 1

23 pages, 6790 KB  
Article
Sitagliptin Potentiates the Anticancer Activity of Doxorubicin Through ROS-Driven Apoptosis and MMP/TIMP Regulation in HeLa Cells
by Aşkın Evren Güler, Mehmet Cudi Tuncer and İlhan Özdemir
Pharmaceutics 2026, 18(1), 38; https://doi.org/10.3390/pharmaceutics18010038 - 26 Dec 2025
Viewed by 318
Abstract
Background/Objectives: Cervical cancer remains a major global health challenge, and treatment resistance limits the long-term success of chemotherapy. Drug repurposing strategies offer new opportunities for improving therapeutic outcomes by combining existing agents with established chemotherapeutics. Sitagliptin, a DPP-4 inhibitor commonly used in [...] Read more.
Background/Objectives: Cervical cancer remains a major global health challenge, and treatment resistance limits the long-term success of chemotherapy. Drug repurposing strategies offer new opportunities for improving therapeutic outcomes by combining existing agents with established chemotherapeutics. Sitagliptin, a DPP-4 inhibitor commonly used in type 2 diabetes, has recently gained attention for its potential anticancer effects. This study aimed to investigate the cytotoxic, apoptotic, and anti-metastatic effects of sitagliptin and doxorubicin, individually and in combination, on human cervical cancer cells (HeLa), and to determine whether their combined use exerts a synergistic anticancer effect. Methods: HeLa cells were treated for 48 h with increasing concentrations of sitagliptin, doxorubicin, or their combination. Cell viability was assessed using the MTT assay. Apoptosis was evaluated by Annexin V-FITC/PI staining and caspase-8/9 activity assays. Synergy was quantified using the Chou–Talalay method, and Combination Index (CI) values were used to determine synergistic interactions. Intracellular ROS levels were measured using the DCFDA assay. Migration and invasion capacities were analyzed using wound healing and Transwell assays. MMP-1, MMP-2, TIMP-1, and TIMP-2 levels were quantified via ELISA with normalization to viable cell counts. Gene expression levels of PI3K/Akt and MAPK/ERK pathway components were measured by qRT-PCR. Bioinformatic analyses (STRING, GeneMANIA, GO, KEGG) were performed to identify common molecular targets and enriched pathways affected by both agents. Results: The combination of sitagliptin and doxorubicin significantly reduced cell viability and demonstrated a synergistic interaction (CI < 1). Combined treatment induced a marked increase in ROS production and significantly elevated apoptosis rates compared to monotherapies. Caspase-8 and caspase-9 activities were also higher in the combination group. Migration and invasion assays revealed substantial suppression of cell motility and invasive capacity. After normalization to viable cell numbers, MMP and TIMP reductions remained significant, confirming true biological inhibition rather than cell-death–related artifacts. qRT-PCR analyses showed downregulation of Akt and ERK expression, indicating suppression of key survival and proliferation pathways. Bioinformatic analyses supported these findings by highlighting enrichment in apoptotic, oxidative stress, and metastasis-related pathways. Conclusions: Sitagliptin enhances the anticancer efficacy of doxorubicin by amplifying ROS-mediated apoptosis, inhibiting migration and invasion, and modulating PI3K/Akt and MAPK/ERK signaling in cervical cancer cells. The combination exhibits a clear synergistic effect and demonstrates strong potential as a supportive therapeutic strategy. These findings warrant further in vivo and clinical-level investigations to evaluate the translational applicability of sitagliptin in cervical cancer therapy. Full article
(This article belongs to the Section Drug Targeting and Design)
Show Figures

Graphical abstract

15 pages, 2659 KB  
Article
Targeting Glutamine Transporters as a Novel Drug Therapy for Synovial Sarcoma
by Tran Duc Thanh, Naoki Takada, Hana Yao, Yoshitaka Ban, Naoto Oebisu, Manabu Hoshi, Nguyen Tran Quang Sang, Nguyen Van Khanh, Dang Minh Quang, Le Thi Thanh Thuy, Tran Trung Dung and Hidetomi Terai
Cancers 2026, 18(1), 15; https://doi.org/10.3390/cancers18010015 - 19 Dec 2025
Viewed by 356
Abstract
Background/Objectives: Synovial sarcoma (SS) is a malignant soft tissue neoplasm with good outcomes in adolescents with localized tumors, but poor outcomes in older adults and in advanced or metastatic cases. Targeting cancer metabolism, such as glutamine metabolism, is a promising therapeutic [...] Read more.
Background/Objectives: Synovial sarcoma (SS) is a malignant soft tissue neoplasm with good outcomes in adolescents with localized tumors, but poor outcomes in older adults and in advanced or metastatic cases. Targeting cancer metabolism, such as glutamine metabolism, is a promising therapeutic strategy. In this study, we investigated glutamine dependency in SS and assessed the therapeutic potential of inhibiting the glutamine transporter ASCT2 using V9302. Methods: Immunohistochemistry (IHC) was used to evaluate ASCT2 expression in SS and liposarcoma (LPS) specimen. The effects of glutamine deprivation and V9302 were examined in a SS cell line (HS-SY-II), patient-derived SS cells (SSH1), and a normal cell line (HEK293). Cell viability, apoptosis, and protein expression were assessed using the CCK-8 assay, flow cytometry, and Western blotting, respectively. The therapeutic efficacy of V9302 was evaluated in a xenograft model using IHC. Results: ASCT2 expression was elevated in SS tumor tissues compared with adjacent normal tissues and LPS specimens. Both the HS-SY-II cell line and SSH1 cells exhibited strong glutamine dependency for proliferation. V9302 selectively reduced HS-SY-II cell viability by suppressing the AKT/mTOR signaling pathway and inducing apoptosis via caspase-3 activation, with minimal effects on control cells. In vivo, V9302 administration significantly inhibited tumor growth without inducing systemic toxicity, and IHC of the treated tumors confirmed the suppression of the mTOR pathway and induction of apoptosis. Conclusions: Our findings suggest that SS is a glutamine-dependent malignancy and validate ASCT2 as a promising therapeutic target. The ASCT2 inhibitor V9302 demonstrated therapeutic efficacy both in vitro and in vivo, supporting its potential as a therapeutic agent for SS. Full article
(This article belongs to the Section Cancer Drug Development)
Show Figures

Figure 1

13 pages, 3167 KB  
Article
In Vitro and In Vivo Efficacy of Romidepsin Alone and in Addition to Standard of Care for Treatment of Ewing Sarcoma
by Kaitlyn H. Smith, Erin M. Trovillion, Kimberly Q. McKinney, Poornima Gourabathini, Kenzie Wells, Divya Gandra, Chloe Sholler, Ingrid Votruba, Javier Oesterheld and Giselle L. Saulnier Sholler
Cancers 2025, 17(24), 4018; https://doi.org/10.3390/cancers17244018 - 17 Dec 2025
Viewed by 311
Abstract
Background: Ewing sarcoma (ES) is an aggressive malignancy and there is an unmet need for more effective treatment options for patients. Histone deacetylases (HDACs) have been shown to be involved in ES tumorigenesis and HDAC inhibitors have been investigated in the context of [...] Read more.
Background: Ewing sarcoma (ES) is an aggressive malignancy and there is an unmet need for more effective treatment options for patients. Histone deacetylases (HDACs) have been shown to be involved in ES tumorigenesis and HDAC inhibitors have been investigated in the context of ES. Our objective for this study was to investigate the efficacy and mechanism of action of HDAC inhibition in vitro and in vivo in ES models, alone and in combination with standard of care therapies. Methods/Results: HDAC inhibitors were tested for in vitro efficacy against ES cell lines and romidepsin was found to be most effective. The mechanistic changes induced by romidepsin were investigated by Western blotting and proteins involved in cell cycle progression and DNA damage repair were found to be repressed. In vitro we identified that romidepsin synergizes with doxorubicin and etoposide and that it increases the efficacy of the standard of care combinations VDC/IE. Further, the combination treatments lead to an increase in caspase 3/7 cleavage, a decrease in DNA damage repair proteins, and an accumulation of DNA damage. In vivo, the combination of romidepsin and ifosfamide/etoposide (IE) leads to a significant decrease in tumor volume compared to that of IE alone. Conclusions: Our data indicates that romidepsin improves efficacy of chemotherapeutic agents in vitro and leads to a decreased tumor volume in vivo, suggesting that the addition of romidepsin may improve upfront treatment in ES patients. Full article
(This article belongs to the Section Pediatric Oncology)
Show Figures

Figure 1

17 pages, 1461 KB  
Article
Cucurbitacin D Induces Apoptotic Cell Death via NOX4 and Overcomes Radioresistance in Colorectal Cancer
by Tae Woo Kim
Int. J. Mol. Sci. 2025, 26(24), 12022; https://doi.org/10.3390/ijms262412022 - 13 Dec 2025
Viewed by 356
Abstract
Colorectal cancer (CRC) incidence is a significant cancer globally, and radiotherapy resistance is a serious problem. Cucurbitacin D (CBD), extracted from many plants such as the tubers of Trichosanthes kirilowii and the fruits of Ecballium elaterium (squirting cucumber), has various therapeutic effects, such [...] Read more.
Colorectal cancer (CRC) incidence is a significant cancer globally, and radiotherapy resistance is a serious problem. Cucurbitacin D (CBD), extracted from many plants such as the tubers of Trichosanthes kirilowii and the fruits of Ecballium elaterium (squirting cucumber), has various therapeutic effects, such as anti-cancer, -inflammation, -diabetes, and -viral infection effects. Since reports have indicated that CBD exhibits effective anti-cancer activity across various cancer types, our hypothesis is that CBD will overcome radioresistance in CRC radiotherapy. In the present study, we identified that CBD, a triterpenoid compound isolated from Trichosanthes kirilowii and Ecballium elaterium, has an anti-cancer and anti-inflammatory effect in vivo and in vitro. In LPS-induced murine models, CBD suppresses LPS-mediated cytokines, including TNFα, IL-6, IL-1β, and COX-2. In CRC xenograft mouse models, CBD treatment results in significantly smaller tumor volumes than the control. In HCT116 and HT29 cells, CBD treatment suppresses cell viability and increases LDH cytotoxicity and caspase-3 activity and cleavage. However, combined treatment of CBD and Z-VAD-FMK inhibits caspase-dependent apoptosis and cell death. Since CBD induces intracellular calcium (Ca2+) and reactive oxygen species (ROS) generation, it mediates ER stress-induced apoptotic cell death through the PERK-ATF4-CHOP axis. Moreover, ER stress inducer thapsigargin (TG) mediates synergistic apoptotic cell death in CBD-treated HCT116 and HT29 cells. However, PERK or CHOP knockdown suppresses ER stress-mediated apoptosis in CBD-treated HCT116 and HT29 cells. CBD treatment induces oxidative stress through the NADPH Oxidase 4 (NOX4) and also increases ROS generation. However, NOX4 knockdown and ROS inhibitor NAC or DPI block ER stress-induced apoptotic cell death by inhibiting the suppression of cell viability and the elevation of caspase-3 activity, LDH cytotoxicity, and intracellular ROS activity in CBD-mediated HCT116 and HT29 cells. We established radioresistant CRC models (HCT116R and HT29R); subsequently, radiation (2 Gy) in combination with CBD treatment overcame radioresistance via the modulation of the epithelial–mesenchymal transition (EMT) phenomenon, including the increase in N-cadherin and vimentin and the reduction in E-cadherin. Thus, these results show that CBD may be a new powerful therapeutic approach for CRC radiotherapy. Full article
(This article belongs to the Special Issue New Advances in Reversing Cancer Therapy Resistance)
Show Figures

Figure 1

25 pages, 5642 KB  
Article
Pharmacological Inhibition of JNK Signalling Exerts Anti-Neoplastic Effects on SH-SY5Y Human Neuroblastoma Cells
by Zuzanna Granek, Natalia Siwecka, Kamil Saramowicz, Grzegorz Galita, Michał Golberg, Ireneusz Majsterek and Wioletta Rozpędek-Kamińska
Int. J. Mol. Sci. 2025, 26(24), 11894; https://doi.org/10.3390/ijms262411894 - 10 Dec 2025
Viewed by 350
Abstract
Neuroblastoma (NB) is the most prevalent paediatric extracranial solid tumour, which remains a major therapeutic challenge, especially in cases of recurrent and disseminated disease. c-Jun N-terminal kinases (JNKs) are increasingly evidenced to play a key role in NB tumourigenesis and progression through apoptosis [...] Read more.
Neuroblastoma (NB) is the most prevalent paediatric extracranial solid tumour, which remains a major therapeutic challenge, especially in cases of recurrent and disseminated disease. c-Jun N-terminal kinases (JNKs) are increasingly evidenced to play a key role in NB tumourigenesis and progression through apoptosis regulation, making selective JNK inhibitors promising candidates for use in targeted anticancer drugs in NB. Our study comprehensively investigated the acute antineoplastic potential of the selective JNK inhibitor AS601245 (JNK inhibitor V) on the human MYCN-non-amplified neuroblastoma cell line, SH-SY5Y, with particular focus on its effects on NB cell viability, proliferation, migration, apoptosis, gene and protein expression, and mitochondrial metabolism. JNK V selectively impaired NB cell survival and function, without exerting cytotoxicity toward normal human Schwann cells (HSC) and fibroblasts (BJ). Our findings highlighted a dose-dependent inhibition of proliferation (XTT assay), colony formation (clonogenic assay), and migration (wound healing assay), accompanied by increased caspase-3 activity (caspase-3 assay), pro-apoptotic genes (qRT-PCR) and protein (Western blotting) expression, and significant disruption of both oxidative phosphorylation and glycolysis (Agilent Seahorse XF Assay). These results provide new insights into the therapeutic potential of JNK inhibition as a targeted strategy for NB. Full article
(This article belongs to the Special Issue The Role of Protein Kinase in Health and Diseases)
Show Figures

Graphical abstract

25 pages, 3701 KB  
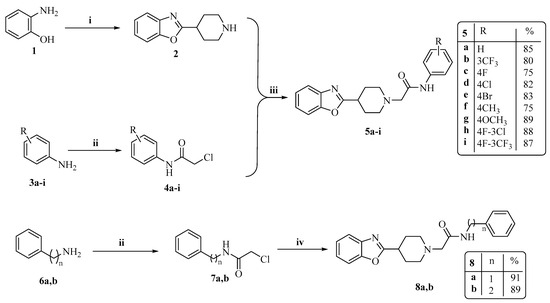
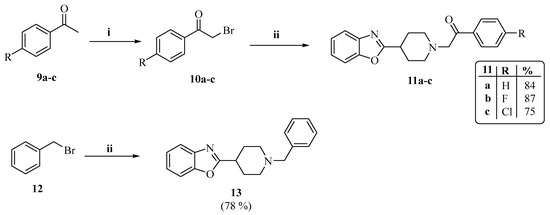
Article
Discovery of Novel Piperidinyl-Based Benzoxazole Derivatives as Anticancer Agents Targeting VEGFR-2 and c-Met Kinases
by Wagdy M. Eldehna, Zainab M. Elsayed, Mohamed R. Elnagar, Ahmed H. El-Said, Taghreed A. Majrashi, Ahmed T. Negmeldin, Abdulrahman M. Saleh, Ranza Elrayess, Khaled A. Elnahriry, Zhi-Long Chen, Mohamed Elagawany and Haytham O. Tawfik
Pharmaceuticals 2025, 18(12), 1875; https://doi.org/10.3390/ph18121875 - 9 Dec 2025
Viewed by 585
Abstract
Background/Objectives: A promising anticancer strategy is the simultaneous inhibition of the receptor tyrosine kinases VEGFR-2 and c-Met, which are essential for tumor angiogenesis, growth, and metastasis. In this study, a novel series of piperidinyl-based benzoxazole derivatives was designed and synthesized as potential [...] Read more.
Background/Objectives: A promising anticancer strategy is the simultaneous inhibition of the receptor tyrosine kinases VEGFR-2 and c-Met, which are essential for tumor angiogenesis, growth, and metastasis. In this study, a novel series of piperidinyl-based benzoxazole derivatives was designed and synthesized as potential dual VEGFR-2/c-Met inhibitors. Methods: The kinase inhibitory potential of the derivatives was evaluated in comparison to reference inhibitors, Sorafenib (VEGFR-2 inhibitor) and Staurosporine (c-Met inhibitor). Cytotoxicity was assessed across breast, prostate (PC-3), and lung (A549) cancer cell lines. Mechanistic studies included cell-cycle analysis, apoptosis assays, gene expression profiling of apoptosis-related markers, and molecular docking within the ATP-binding pockets of both kinases. Results: Compounds 5a, 5g, 5h, 11a, and 11b showed strong inhibition of both kinases (IC50 = 0.145–0.970 μM for VEGFR-2 and 0.181–1.885 μM for c-Met). Selective cytotoxicity was observed against breast cancer cells, with compound 11b (p-fluorophenyl derivative) exhibiting high selectivity toward MCF-7 over normal breast cells (MCF-10A) and potency comparable to or exceeding Sorafenib. Mechanistically, 11b induced G2/M cell-cycle arrest and apoptosis (total apoptosis = 48.34%), accompanied by upregulation of p53, BAX, and caspase-9 and downregulation of Bcl-2. Molecular docking confirmed stable binding within the ATP-binding sites of both kinases. Conclusions: Compound 11b was established as a novel, selective, dual VEGFR-2/c-Met inhibitor with strong potential for targeted breast cancer therapy. Full article
(This article belongs to the Section Medicinal Chemistry)
Show Figures

Figure 1

17 pages, 6631 KB  
Article
PI3K/mTOR Inhibitor Induces Context-Dependent Apoptosis and Methuosis in Cancer Cells
by Xiaoyuan Hua, Panpan Chen, Wanjing Zeng, Yuqiao Han, Yanzhi Guo, Yanmei Chen, Chuchu Li, Yijie Du, Mingliang Ma and Suzhen Dong
Pharmaceuticals 2025, 18(12), 1849; https://doi.org/10.3390/ph18121849 - 4 Dec 2025
Viewed by 466
Abstract
Background/Objectives: Targeting the PI3K/mTOR pathway is a promising strategy in cancer therapy, but its efficacy is often limited by apoptosis resistance. This study investigates the dual PI3K/mTOR inhibitor YYN-37, exploring its capacity to induce context-dependent cell death, particularly the non-apoptotic process of methuosis. [...] Read more.
Background/Objectives: Targeting the PI3K/mTOR pathway is a promising strategy in cancer therapy, but its efficacy is often limited by apoptosis resistance. This study investigates the dual PI3K/mTOR inhibitor YYN-37, exploring its capacity to induce context-dependent cell death, particularly the non-apoptotic process of methuosis. Methods: We examined the effects of YYN-37 on HCT-116 and SJSA-1 cancer cell lines using cell viability assays, Western blot, and fluorescent tracers. Cell death mechanisms were probed with pathway-specific inhibitors. The role of VPS34 was assessed through kinase activity assays, siRNA-mediated knockdown, and rescue experiments with the agonist leucine. Proteomic profiling and an in vivo SJSA-1 xenograft model in BALB/c nude mice were utilized to evaluate broader mechanisms and anti-tumor efficacy. Results: YYN-37 induced caspase-3-dependent apoptosis in HCT-116 cells. In contrast, it triggered a reversible, cytoplasmic vacuolization in SJSA-1 cells, identified as methuosis. This vacuolization originated from endocytic pathways and was inhibited by EIPA and Baf-A1. YYN-37 directly inhibited VPS34 (IC50 = 2.73 nM), and its knockdown replicated the vacuolization, which was conversely reversed by the VPS34 agonist leucine, confirming VPS34-dependency. Proteomics revealed lysosomal dysfunction in SJSA-1 cells and cell cycle alterations in HCT-116 cells. In vivo, YYN-37 treatment resulted in a 72.71% tumor growth inhibition, with histology confirming methuosis-like vacuolization. Conclusions: YYN-37 exerts potent, context-dependent anti-tumor effects by inducing apoptosis in HCT-116 cells and VPS34-mediated methuosis in SJSA-1 cells. This work establishes methuosis induction as a viable therapeutic strategy for apoptosis-resistant cancers and highlights VPS34 inhibition as a promising mechanism of action. Full article
(This article belongs to the Special Issue Drug Treatment of Cancers)
Show Figures

Graphical abstract

19 pages, 823 KB  
Review
Pyroptosis in Alopecia Areata: Synthesizing Emerging Hypotheses and Charting a Path to New Therapies
by Mateusz Łysek, Justyna Putek, Beata Jastrząb-Miśkiewicz, Jacek C. Szepietowski and Piotr K. Krajewski
Biomedicines 2025, 13(12), 2940; https://doi.org/10.3390/biomedicines13122940 - 29 Nov 2025
Viewed by 635
Abstract
Background/Objectives: Alopecia areata (AA) is a common, noncicatricial autoimmune hair loss disorder characterized by relapsing inflammation and breakdown of hair follicle immune privilege. Increasing amounts of evidence suggest that pyroptosis, a lytic and inflammatory form of programmed cell death mediated by gasdermins [...] Read more.
Background/Objectives: Alopecia areata (AA) is a common, noncicatricial autoimmune hair loss disorder characterized by relapsing inflammation and breakdown of hair follicle immune privilege. Increasing amounts of evidence suggest that pyroptosis, a lytic and inflammatory form of programmed cell death mediated by gasdermins and inflammasome activation, may play a role in AA pathogenesis. This review aims to synthesize current data on the molecular mechanisms linking inflammasome-driven pyroptosis with AA and to highlight emerging therapeutic opportunities. Methods: A comprehensive literature review was conducted focusing on mechanistic studies, ex vivo human scalp models, murine AA models, and interventional clinical data. A structured system of Levels of Evidence (LoE) and standardized nomenclature for experimental models was applied to ensure transparency in evaluating the role of pyroptosis and treatment strategies in AA. Results: Available evidence indicates that outer root sheath keratinocytes express functional inflammasome components, including NOD-like receptor family, pyrin domain containing 3 (NLRP3), adaptor-apoptosis-associated-speck-like protein (ASC), and caspase-1, and contribute to interleukin (IL)-1β release and pyroptotic cell death. Mitochondrial dysfunction, mediated by regulators such as PTEN and PINK1, amplifies NLRP3 activation and cytokine secretion, linking mitophagy impairment with follicular damage. Animal and human biopsy studies confirm increased inflammasome activity in AA lesions. Therapeutic approaches targeting pyroptosis include Janus kinase (JAK) inhibitors, biologics, Phosphodiesterase 4 (PDE4) inhibitors, mesenchymal stem cell therapy, natural compounds, and inflammasome inhibitors such as MCC950. While some agents demonstrated efficacy in clinical trials, most strategies remain at preclinical or early clinical stages. Conclusions: Pyroptosis represents a critical mechanism driving hair follicle structural and functional disruption and immune dysregulation in AA. By integrating evidence from molecular studies, disease models, and early clinical data, this review underscores the potential of targeting inflammasome-driven pyroptosis as a novel therapeutic strategy. Full article
Show Figures

Figure 1

17 pages, 10659 KB  
Article
Epstein–Barr Virus Silences GSDME and Pyroptosis in Gastric Cancer
by Min-Hyeok Lee, Ju Yeon Lee, Jun Yeob Kim, Yea Rim An and Suk Kyeong Lee
Microorganisms 2025, 13(12), 2704; https://doi.org/10.3390/microorganisms13122704 - 27 Nov 2025
Viewed by 688
Abstract
Epstein–Barr virus (EBV)-associated gastric carcinoma (EBVaGC) represents a distinct molecular subtype characterized by extensive DNA methylation and altered cell death signaling. This study investigated the regulation and function of gasdermin E (GSDME), a key mediator of pyroptosis, in EBVaGC. Transcriptomic analysis of The [...] Read more.
Epstein–Barr virus (EBV)-associated gastric carcinoma (EBVaGC) represents a distinct molecular subtype characterized by extensive DNA methylation and altered cell death signaling. This study investigated the regulation and function of gasdermin E (GSDME), a key mediator of pyroptosis, in EBVaGC. Transcriptomic analysis of The Cancer Genome Atlas (TCGA) data revealed that GSDME expression was selectively suppressed in EBV-positive gastric cancer, while other gasdermin family members were upregulated. Validation in multiple cell lines confirmed that EBV infection markedly reduced GSDME expression through promoter hypermethylation, which was reversed by treatment with the DNA methyltransferase inhibitor 5-azacytidine. EBV-positive cells exhibited enhanced caspase-3 activation and increased GSDME cleavage upon paclitaxel (PTX) exposure, leading to elevated lactate dehydrogenase (LDH) release and pyroptotic morphology. Overexpression of GSDME amplified, whereas siRNA-mediated knockdown or caspase-3 inhibition suppressed, PTX-induced pyroptosis without significantly altering overall cell viability. These findings demonstrate that EBV-induced epigenetic silencing of GSDME contributes to the modulation of chemotherapy-induced cell death, and that GSDME acts as a critical effector converting apoptosis to pyroptosis through caspase-3 activation. Collectively, our results reveal a novel link between EBV-driven DNA methylation and pyroptotic cell death, suggesting that restoration of GSDME expression may enhance therapeutic responses in EBV-associated gastric cancer. Full article
(This article belongs to the Section Virology)
Show Figures

Figure 1

Back to TopTop