In Vitro and In Vivo Efficacy of Romidepsin Alone and in Addition to Standard of Care for Treatment of Ewing Sarcoma
Simple Summary
Abstract
1. Introduction
2. Materials and Methods
2.1. Cell Lines and Culture
2.2. Cell Viability Assays and Synergy Analysis
2.3. In Vitro Combination Treatment and Analysis
2.4. Western Blotting and Densitometry Analysis
2.5. Incucyte Caspase 3 Assay
2.6. In Vivo Experiments
3. Results
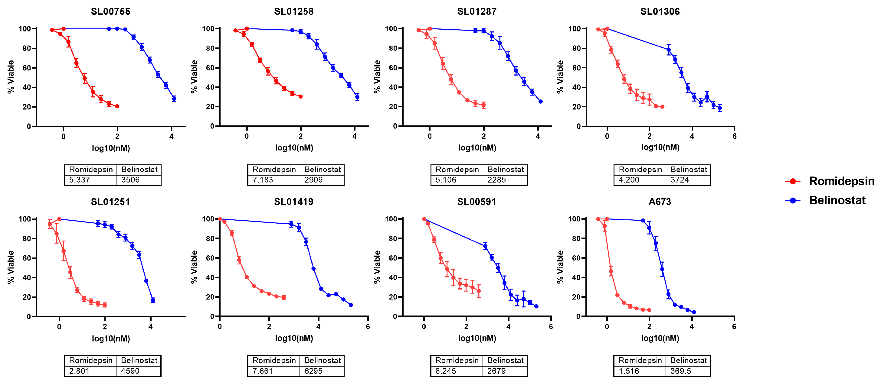
3.1. Romidepsin Decreases Cell Viability and Decreases Expression of Proteins Involved in DNA Damage Repair in Ewing Sarcoma Cells In Vitro
3.2. Romidepsin Synergizes with Standard of Care Chemotherapeutics In Vitro
3.3. The Addition of Romidepsin to Standard of Care Chemotherapy Combinations Significantly Decreases ES Cell Viability
3.4. The Combination of Romidepsin with Chemotherapeutics Leads to an Accumulation of DNA Damage in ES Cells
3.5. The Addition of Romidepsin to IE Decreases Tumor Burden in a Xenograft Model
4. Discussion
5. Conclusions
Supplementary Materials
Author Contributions
Funding
Institutional Review Board Statement
Informed Consent Statement
Data Availability Statement
Conflicts of Interest
References
- Chen, H.; Hu, J.; Xiong, X.; Chen, H.; Lin, B.; Chen, Y.; Li, Y.; Cheng, D.; Li, Z. AURKA inhibition induces Ewing’s sarcoma apoptosis and ferroptosis through NPM1/YAP1 axis. Cell Death Dis. 2024, 15, 99. [Google Scholar] [CrossRef]
- Riggi, N.; Suva, M.L.; Stamenkovic, I. Ewing’s Sarcoma. N. Engl. J. Med. 2021, 384, 154–164. [Google Scholar] [CrossRef]
- Dasgupta, A.; Kurenbekova, L.; Patel, T.D.; Rajapakshe, K.; Ghosal, G.; Nirala, B.; Coarfa, C.; Yustein, J. Modeling Ewing Sarcoma Lung Metastasis. Curr. Protoc. 2023, 3, e670. [Google Scholar] [CrossRef] [PubMed]
- Van Mater, D.; Wagner, L. Management of recurrent Ewing sarcoma: Challenges and approaches. OncoTargets Ther. 2019, 12, 2279–2288. [Google Scholar] [CrossRef] [PubMed]
- Yu, L.; Davis, I.J.; Liu, P. Regulation of EWSR1-FLI1 Function by Post-Transcriptional and Post-Translational Modifications. Cancers 2023, 15, 382. [Google Scholar] [CrossRef]
- Yu, H.; Ge, Y.; Guo, L.; Huang, L. Potential approaches to the treatment of Ewing’s sarcoma. Oncotarget 2017, 8, 5523–5539. [Google Scholar] [CrossRef]
- Choy, E.; Butrynski, J.E.; Harmon, D.C.; Morgan, J.A.; George, S.; Wagner, A.J.; D’Adamo, D.; Cote, G.M.; Flamand, Y.; Benes, C.H.; et al. Phase II study of olaparib in patients with refractory Ewing sarcoma following failure of standard chemotherapy. BMC Cancer 2014, 14, 813. [Google Scholar] [CrossRef] [PubMed]
- Mosse, Y.P.; Lipsitz, E.; Fox, E.; Teachey, D.T.; Maris, J.M.; Weigel, B.; Adamson, P.C.; Ingle, M.A.; Ahern, C.H.; Blaney, S.M. Pediatric phase I trial and pharmacokinetic study of MLN8237, an investigational oral selective small-molecule inhibitor of Aurora kinase A: A Children’s Oncology Group Phase I Consortium study. Clin. Cancer Res. 2012, 18, 6058–6064. [Google Scholar] [CrossRef]
- Shulman, D.S.; Merriam, P.; Choy, E.; Guenther, L.M.; Cavanaugh, K.L.; Kao, P.C.; Posner, A.; Bhushan, K.; Fairchild, G.; Barker, E.; et al. Phase 2 trial of palbociclib and ganitumab in patients with relapsed Ewing sarcoma. Cancer Med. 2023, 12, 15207–15216. [Google Scholar] [CrossRef]
- Meyers, P.A.; Federman, N.; Daw, N.; Anderson, P.M.; Davis, L.E.; Kim, A.; Macy, M.E.; Pietrofeso, A.; Ratan, R.; Riedel, R.F.; et al. Open-Label, Multicenter, Phase I/II, First-in-Human Trial of TK216: A First-Generation EWS::FLI1 Fusion Protein Antagonist in Ewing Sarcoma. J. Clin. Oncol. 2024, 42, 3725–3734. [Google Scholar] [CrossRef]
- Strauss, S.J.; Berlanga, P.; McCabe, M.G. Emerging therapies in Ewing sarcoma. Curr. Opin. Oncol. 2024, 36, 297–304. [Google Scholar] [CrossRef]
- Hontecillas-Prieto, L.; Flores-Campos, R.; Silver, A.; de Alava, E.; Hajji, N.; Garcia-Dominguez, D.J. Synergistic Enhancement of Cancer Therapy Using HDAC Inhibitors: Opportunity for Clinical Trials. Front. Genet. 2020, 11, 578011. [Google Scholar] [CrossRef] [PubMed]
- Zhang, Y.; Wang, H.; Zhan, Z.; Gan, L.; Bai, O. Mechanisms of HDACs in cancer development. Front. Immunol. 2025, 16, 1529239. [Google Scholar] [CrossRef]
- Shanmugam, G.; Rakshit, S.; Sarkar, K. HDAC inhibitors: Targets for tumor therapy, immune modulation and lung diseases. Transl. Oncol. 2022, 16, 101312. [Google Scholar] [CrossRef]
- Schmidt, O.; Nehls, N.; Prexler, C.; von Heyking, K.; Groll, T.; Pardon, K.; Garcia, H.D.; Hensel, T.; Gurgen, D.; Henssen, A.G.; et al. Class I histone deacetylases (HDAC) critically contribute to Ewing sarcoma pathogenesis. J. Exp. Clin. Cancer Res. 2021, 40, 322. [Google Scholar] [CrossRef]
- Smith, K.H.; Trovillion, E.M.; Sholler, C.; Gandra, D.; McKinney, K.Q.; Mulama, D.; Dykema, K.J.; Nagulapally, A.B.; Oesterheld, J.; Saulnier Sholler, G.L. Panobinostat Synergizes with Chemotherapeutic Agents and Improves Efficacy of Standard-of-Care Chemotherapy Combinations in Ewing Sarcoma Cells. Cancers 2024, 16, 3565. [Google Scholar] [CrossRef]
- Li, Y.; Seto, E. HDACs and HDAC Inhibitors in Cancer Development and Therapy. Cold Spring Harb. Perspect. Med. 2016, 6, a026831. [Google Scholar] [CrossRef]
- Ianevski, A.; Giri, A.K.; Aittokallio, T. SynergyFinder 3.0: An interactive analysis and consensus interpretation of multi-drug synergies across multiple samples. Nucleic Acids Res. 2022, 50, W739–W743. [Google Scholar] [CrossRef]
- Rezai, K.; Lokiec, F.; Grandjean, I.; Weill, S.; de Cremoux, P.; Bordier, V.; Ekue, R.; Garcia, M.; Poupon, M.F.; Decaudin, D. Impact of imatinib on the pharmacokinetics and in vivo efficacy of etoposide and/or ifosfamide. BMC Pharmacol. 2007, 7, 13. [Google Scholar] [CrossRef] [PubMed]
- Liston, D.R.; Davis, M. Clinically Relevant Concentrations of Anticancer Drugs: A Guide for Nonclinical Studies. Clin. Cancer Res. 2017, 23, 3489–3498. [Google Scholar] [CrossRef] [PubMed]
- Montalto, F.I.; De Amicis, F. Cyclin D1 in Cancer: A Molecular Connection for Cell Cycle Control, Adhesion and Invasion in Tumor and Stroma. Cells 2020, 9, 2648. [Google Scholar] [CrossRef]
- Reinhardt, H.C.; Yaffe, M.B. Kinases that control the cell cycle in response to DNA damage: Chk1, Chk2, and MK2. Curr. Opin. Cell Biol. 2009, 21, 245–255. [Google Scholar] [CrossRef] [PubMed]
- Eckschlager, T.; Plch, J.; Stiborova, M.; Hrabeta, J. Histone Deacetylase Inhibitors as Anticancer Drugs. Int. J. Mol. Sci. 2017, 18, 1414. [Google Scholar] [CrossRef]
- Bondarev, A.D.; Attwood, M.M.; Jonsson, J.; Chubarev, V.N.; Tarasov, V.V.; Schioth, H.B. Recent developments of HDAC inhibitors: Emerging indications and novel molecules. Br. J. Clin. Pharmacol. 2021, 87, 4577–4597. [Google Scholar] [CrossRef]
- Pu, J.; Liu, T.; Wang, X.; Sharma, A.; Schmidt-Wolf, I.G.H.; Jiang, L.; Hou, J. Exploring the role of histone deacetylase and histone deacetylase inhibitors in the context of multiple myeloma: Mechanisms, therapeutic implications, and future perspectives. Exp. Hematol. Oncol. 2024, 13, 45. [Google Scholar] [CrossRef] [PubMed]
- Truong, A.S.; Zhou, M.; Krishnan, B.; Utsumi, T.; Manocha, U.; Stewart, K.G.; Beck, W.; Rose, T.L.; Milowsky, M.I.; He, X.; et al. Entinostat induces antitumor immune responses through immune editing of tumor neoantigens. J. Clin. Investig. 2021, 131, e138560. [Google Scholar] [CrossRef] [PubMed]
- Koppenhafer, S.L.; Geary, E.L.; Thomas, M.V.; Croushore, E.E.; Zimmerman, J.A.O.; Gedminas, J.M.; Quelle, D.E.; Dodd, R.D.; Gordon, D.J. Histone Deacetylase Inhibitors Target DNA Replication Regulators and Replication Stress in Ewing Sarcoma Cells. Cancer Res. Commun. 2025, 5, 1034–1048. [Google Scholar] [CrossRef]
- Gryder, B.E.; Sodji, Q.H.; Oyelere, A.K. Targeted cancer therapy: Giving histone deacetylase inhibitors all they need to succeed. Future Med. Chem. 2012, 4, 505–524. [Google Scholar] [CrossRef]
- Shi, M.Q.; Xu, Y.; Fu, X.; Pan, D.S.; Lu, X.P.; Xiao, Y.; Jiang, Y.Z. Advances in targeting histone deacetylase for treatment of solid tumors. J. Hematol. Oncol. 2024, 17, 37. [Google Scholar] [CrossRef]
- van Tilburg, C.M.; Milde, T.; Witt, R.; Ecker, J.; Hielscher, T.; Seitz, A.; Schenk, J.P.; Buhl, J.L.; Riehl, D.; Fruhwald, M.C.; et al. Phase I/II intra-patient dose escalation study of vorinostat in children with relapsed solid tumor, lymphoma, or leukemia. Clin. Epigenetics 2019, 11, 188. [Google Scholar] [CrossRef]
- Stadler, W.M.; Margolin, K.; Ferber, S.; McCulloch, W.; Thompson, J.A. A phase II study of depsipeptide in refractory metastatic renal cell cancer. Clin. Genitourin. Cancer 2006, 5, 57–60. [Google Scholar] [CrossRef] [PubMed]
- Tirode, F.; Surdez, D.; Ma, X.; Parker, M.; Le Deley, M.C.; Bahrami, A.; Zhang, Z.; Lapouble, E.; Grossetete-Lalami, S.; Rusch, M.; et al. Genomic landscape of Ewing sarcoma defines an aggressive subtype with co-association of STAG2 and TP53 mutations. Cancer Discov. 2014, 4, 1342–1353. [Google Scholar] [CrossRef] [PubMed]






Disclaimer/Publisher’s Note: The statements, opinions and data contained in all publications are solely those of the individual author(s) and contributor(s) and not of MDPI and/or the editor(s). MDPI and/or the editor(s) disclaim responsibility for any injury to people or property resulting from any ideas, methods, instructions or products referred to in the content. |
© 2025 by the authors. Licensee MDPI, Basel, Switzerland. This article is an open access article distributed under the terms and conditions of the Creative Commons Attribution (CC BY) license (https://creativecommons.org/licenses/by/4.0/).
Share and Cite
Smith, K.H.; Trovillion, E.M.; McKinney, K.Q.; Gourabathini, P.; Wells, K.; Gandra, D.; Sholler, C.; Votruba, I.; Oesterheld, J.; Saulnier Sholler, G.L. In Vitro and In Vivo Efficacy of Romidepsin Alone and in Addition to Standard of Care for Treatment of Ewing Sarcoma. Cancers 2025, 17, 4018. https://doi.org/10.3390/cancers17244018
Smith KH, Trovillion EM, McKinney KQ, Gourabathini P, Wells K, Gandra D, Sholler C, Votruba I, Oesterheld J, Saulnier Sholler GL. In Vitro and In Vivo Efficacy of Romidepsin Alone and in Addition to Standard of Care for Treatment of Ewing Sarcoma. Cancers. 2025; 17(24):4018. https://doi.org/10.3390/cancers17244018
Chicago/Turabian StyleSmith, Kaitlyn H., Erin M. Trovillion, Kimberly Q. McKinney, Poornima Gourabathini, Kenzie Wells, Divya Gandra, Chloe Sholler, Ingrid Votruba, Javier Oesterheld, and Giselle L. Saulnier Sholler. 2025. "In Vitro and In Vivo Efficacy of Romidepsin Alone and in Addition to Standard of Care for Treatment of Ewing Sarcoma" Cancers 17, no. 24: 4018. https://doi.org/10.3390/cancers17244018
APA StyleSmith, K. H., Trovillion, E. M., McKinney, K. Q., Gourabathini, P., Wells, K., Gandra, D., Sholler, C., Votruba, I., Oesterheld, J., & Saulnier Sholler, G. L. (2025). In Vitro and In Vivo Efficacy of Romidepsin Alone and in Addition to Standard of Care for Treatment of Ewing Sarcoma. Cancers, 17(24), 4018. https://doi.org/10.3390/cancers17244018
