Sign in to use this feature.

Years

Between: -

Subjects

remove_circle_outline
remove_circle_outline
remove_circle_outline
remove_circle_outline
remove_circle_outline
remove_circle_outline
remove_circle_outline
remove_circle_outline
remove_circle_outline

Journals

remove_circle_outline
remove_circle_outline
remove_circle_outline
remove_circle_outline
remove_circle_outline
remove_circle_outline
remove_circle_outline
remove_circle_outline
remove_circle_outline
remove_circle_outline
remove_circle_outline
remove_circle_outline
remove_circle_outline
remove_circle_outline
remove_circle_outline
remove_circle_outline
remove_circle_outline

Article Types

Countries / Regions

remove_circle_outline
remove_circle_outline
remove_circle_outline
remove_circle_outline
remove_circle_outline
remove_circle_outline
remove_circle_outline

Search Results (1,889)

Search Parameters:
Keywords = carbon isolation

Order results
Result details
Results per page
Select all
Export citation of selected articles as:
20 pages, 2856 KB  
Article
Overview of Cement Bond Evaluation Methods in Carbon Capture, Utilisation, and Storage (CCUS) Projects—A Review
by Paulus Tangke Allo, Reza Rezaee and Michael B. Clennell
Eng 2025, 6(11), 303; https://doi.org/10.3390/eng6110303 (registering DOI) - 1 Nov 2025
Abstract
Cement bond evaluation helps check wellbore integrity and zonal isolation in carbon capture, utilisation, and storage (CCUS) projects. This overview describes various cement bond evaluation methods, focusing on acoustic logging and ultrasonic imaging tools supplemented by emerging data-driven interpretation techniques. Their advantages, limitations, [...] Read more.
Cement bond evaluation helps check wellbore integrity and zonal isolation in carbon capture, utilisation, and storage (CCUS) projects. This overview describes various cement bond evaluation methods, focusing on acoustic logging and ultrasonic imaging tools supplemented by emerging data-driven interpretation techniques. Their advantages, limitations, and recent advancements are described with illustrative example on ultrasonic-image-based machine learning classifier that detect microannulus. Key research gaps remain in field-scale validation of long-term cement behaviour and in establishing comprehensive 3-D bond-strength benchmarks. To address these gaps, this review recommends (i) creating an open, standardised ML dataset for CCUS well logs, (ii) adopting best-practice pressure-monitoring protocols during and after injection, and (iii) integrating ML analytics with advanced modelling while exploring alternative binder systems. The next step is to test these ML models on real CO2-storage well data, paving the way toward more reliable cement-bond integrity assessments in future CCUS projects. Full article
(This article belongs to the Section Chemical, Civil and Environmental Engineering)
Show Figures

Figure 1

15 pages, 3080 KB  
Article
Ultrasonic Cavitation Transforms Organic Matter to Achieve Reduction of Excess Sludge and Recycling of Carbon Sources
by Haohao Sun, Jie Li, Lu Zhuang, Yunian Zhang, Zhou Zhou, Jiayue Sun, Di Wang, Yanfang Ren, Xia Xu, Junyu He and Yingang Xue
Toxics 2025, 13(11), 941; https://doi.org/10.3390/toxics13110941 (registering DOI) - 31 Oct 2025
Abstract
Reducing the generation of excess sludge and achieving resource recovery are crucial for enhancing the economic efficiency and environmental sustainability of wastewater treatment plants (WWTPs). This study utilizes ultrasonic cavitation technology to transform organic matter into excess sludge to achieve sludge reduction and [...] Read more.
Reducing the generation of excess sludge and achieving resource recovery are crucial for enhancing the economic efficiency and environmental sustainability of wastewater treatment plants (WWTPs). This study utilizes ultrasonic cavitation technology to transform organic matter into excess sludge to achieve sludge reduction and carbon source recovery. To this end, we systematically investigated the effects of various ultrasonic cavitation conditions on sludge reduction, organic matter conversion, and denitrification efficiency. The results showed that the optimal sludge reduction effect occurs at an original mixed liquid suspended solids (MLSS) of 10 g/L, under neutral and non-aerated conditions, reaching 15.07%. Ultrasonic cavitation treatment significantly enhanced the conversion efficiency of organic matter in the sludge, greatly increasing the concentration of organic matter in the supernatant, with soluble chemical oxygen demand (SCOD) maintained around 900 mg/L, thereby significantly improving the denitrification process. Furthermore, through magnetic-nanoparticle mediated isolation (MMI) and metagenomic sequencing analysis, the dominant denitrifying bacteria and their functional genes that utilize organic matter in the supernatant of ultrasonically treated sludge as a carbon source were identified. Finally, long-term pilot-scale operations further validated the practical application potential of ultrasonic cavitation technology for excess sludge reduction and resource utilization. Full article
Show Figures

Graphical abstract

21 pages, 1442 KB  
Article
Domestication Cultivation and Nutritional Analysis of Hericium coralloides
by Yun Li, Jiarong Cai, Xiaomin Li, Xin Hu, Junli Zhang, Xiaoping Wu and Junsheng Fu
J. Fungi 2025, 11(11), 785; https://doi.org/10.3390/jof11110785 (registering DOI) - 31 Oct 2025
Abstract
Hericium coralloides is a valuable medicinal and edible mushroom renowned for its unique bioactive compounds. This study focuses on the isolation of a wild strain (SH001) exhibiting promising cultivation potential and health promoting properties. A wild fungal strain from the Tibetan Plateau was [...] Read more.
Hericium coralloides is a valuable medicinal and edible mushroom renowned for its unique bioactive compounds. This study focuses on the isolation of a wild strain (SH001) exhibiting promising cultivation potential and health promoting properties. A wild fungal strain from the Tibetan Plateau was isolated and identified as a novel H. coralloides based on its morphological and molecular characteristics. The optimal growth conditions were found to be 30 °C, pH 7.0, fructose as the preferred carbon source, and yeast extract as the optimal nitrogen source. Nutritional analysis revealed that the fruiting bodies were rich in protein (15.4 g/100 g dry weight), dietary fiber (34.7 g/100 g dry weight), and minerals, while being low in fat (3.5 g/100 g dry weight). The most abundant amino acids were glutamic acid, followed by aspartic acid. The polysaccharides exhibited significant antioxidant activity, with ABTS+ scavenging comparable to that of Vitamin C (Vc), achieving a clearance rate of 96.95% at concentrations between 0.25–5.00 mg/mL. At a concentration of 5 mg/mL, the DPPH and OH radical scavenging activities reached their peak (83.77% and 67.31%, respectively), along with the highest iron ion reducing capacity (FRAP value: 4.43 mmol/L. Polysaccharides also exhibited notable anticancer activity, inhibiting HepG2 liver cancer cells and MDA-MB-468 breast cancer cells, with IC50 values of 3.896 mg/mL and 2.561 mg/mL, respectively. This study demonstrates that wild H. coralloides can be successfully cultivated in vitro. In conclusion, the fruiting bodies possess substantial nutritional value, and the polysaccharides extracted from them show promising antioxidant and anticancer activities, particularly against HepG2 liver cancer cells and MDA-MB-468 breast cancer cells. Full article
(This article belongs to the Special Issue Research Progress on Edible Fungi)
17 pages, 3545 KB  
Article
Altered Functional Traits in Larix principis-rupprechtii Mayr Seedlings: Responses and Divergence Across Altitudes
by Jiayi Deng, Jiangkai Xie, Tairui Liu, Jinping Guo, Yunxiang Zhang and Meng Yang
Forests 2025, 16(11), 1665; https://doi.org/10.3390/f16111665 - 31 Oct 2025
Abstract
To elucidate the adaptive strategies of leaf functional traits of Larix principis-rupprechtii in the context of climate change, this study chose 2 and 3 year-old seedlings of Larix principis-rupprechtii as the focal research objects. The experiment entailed transplanting seedlings obtained from different sources [...] Read more.
To elucidate the adaptive strategies of leaf functional traits of Larix principis-rupprechtii in the context of climate change, this study chose 2 and 3 year-old seedlings of Larix principis-rupprechtii as the focal research objects. The experiment entailed transplanting seedlings obtained from different sources into high and low altitudes: 1600 m, 1900 m, 2100 m, and 2400 m, respectively. With changes in transplant elevation, seedlings showed variable responses in photosynthesis, water-use efficiency, and leaf morphology, depending on the altitude. High-altitude seedlings transplanted to low altitudes increased SLA and branch extension, enhancing photosynthesis and C-N metabolism. Conversely, low-altitude seedlings transplanted to high altitudes improved cold resistance primarily via leaf thickening, adjusting the chlorophyll a/b ratio, and enhancing the redistribution of soluble proteins. For high-altitude sources, water-use efficiency and transpiration rate were strongly linked to leaf nitrogen and the carbon-to-nitrogen ratio, respectively, indicating the optimisation of photosynthetic and water-use efficiency through modulation of chlorophyll-a content and branch extension. Low-altitude seedlings chiefly adjusted the chla/b ratio, leaf morphological traits, and soluble protein to cope with altitudinal change. In summary, variation in leaf functional traits among seedlings of Larix principis-rupprechtii across elevational gradients did not reflect isolated changes in individual traits but rather arose from integrated adjustments of photosynthetic capacity, resource allocation, and metabolic coupling, thereby optimising the balance between light capture, water usage, and stress tolerance. These results, therefore, offer insights into adaptive strategies under climate change. Full article
(This article belongs to the Special Issue Drought Tolerance in ​Trees: Growth and Physiology)
Show Figures

Figure 1

12 pages, 2177 KB  
Article
A Sweat Cortisol Sensor Based on Gold-Modified Molecularly Imprinted Polymer
by Ziyu Liu, Guangzhong Xie, Jing Li, Hong Yuan and Yuanjie Su
Nanomaterials 2025, 15(21), 1654; https://doi.org/10.3390/nano15211654 - 30 Oct 2025
Viewed by 61
Abstract
Approximately 3.8% of the global population suffers from depressive disorders, posing a substantial public health challenge exacerbated by the COVID-19 pandemic due to widespread unemployment and prolonged social isolation. The difficulty in objectively quantifying psychological states underscores the need for effective stress assessment [...] Read more.
Approximately 3.8% of the global population suffers from depressive disorders, posing a substantial public health challenge exacerbated by the COVID-19 pandemic due to widespread unemployment and prolonged social isolation. The difficulty in objectively quantifying psychological states underscores the need for effective stress assessment methods. Herein, we developed a portable electrochemical cortisol sensor (PECS) for accurate mental stress assessment. The PECS consists of a screen-printed carbon electrode decorated with gold nanoparticles and a molecularly imprinted polymer (MIP) synthesized via electropolymerization. The as-prepared PECS demonstrates a wide and linear detection range from 1 fM to 1 μM, an ultra-low detection limit of 0.4112 fM and a high sensitivity of 15.518 nA∙lg(nM−1)∙cm−2. This work provides new possibility of developing soft bioelectronics for non-invasive and real-time mental health monitoring. Full article
(This article belongs to the Special Issue Application of Nanoscale Smart Textiles in Wearable Sensors)
Show Figures

Figure 1

14 pages, 3132 KB  
Article
Assessment of Formation Damage in Carbonate Rocks: Isolated Contribution of Filtration Control Agents in Aqueous Fluids
by Mário C. de S. Lima, Victória B. Romualdo, Gregory V. B. de Oliveira, Ernani D. da S. Filho, Karine C. Nóbrega, Anna C. A. Costa, Elessandre A. de Souza, Sergio T. C. Junior, Marcos A. F. Rodrigues and Luciana V. Amorim
Appl. Sci. 2025, 15(21), 11572; https://doi.org/10.3390/app152111572 - 29 Oct 2025
Viewed by 132
Abstract
Formation damage caused by wellbore fluids remains a key concern in carbonate reservoirs, where pore plugging and filtrate invasion can severely reduce permeability. This study investigates the influence of filtrate-control components in cellulose-based polymeric fluids on the potential for formation damage in carbonate [...] Read more.
Formation damage caused by wellbore fluids remains a key concern in carbonate reservoirs, where pore plugging and filtrate invasion can severely reduce permeability. This study investigates the influence of filtrate-control components in cellulose-based polymeric fluids on the potential for formation damage in carbonate rocks and evaluates the performance of HPA starch as an alternative to cellulose, focusing on its comparative effects on formation permeability. Experimental tests were performed using Indiana Limestone cores to measure filtration behavior and permeability recovery after exposure to different polymeric solutions. The results revealed distinct mechanisms associated with each additive: PAC LV controlled fluid loss mainly by adsorption and pore plugging, while HPA starch formed more deformable and permeable structures. Glycerin, when used alone, did not induce formation damage but increased fluid viscosity, favoring more stable dispersion of the polymeric phase. Micronized calcite enhanced external cake consolidation through particle bridging. The combined use of PAC LV, glycerin, and calcite provided the most efficient filtration control and minimized formation damage. These findings contribute to understanding the isolated and synergistic roles of filtrate-control agents and support the design of optimized polymer-based fluids for well intervention and abandonment operations. Full article
(This article belongs to the Section Fluid Science and Technology)
Show Figures

Figure 1

14 pages, 2538 KB  
Article
The Identification, Characterization, and Fungicide Sensitivity of Leptosphaerulina trifolii Causing Didymellaceae Leaf Spot of Elymus Plants in China
by Jiaqi Liu, Longhai Xue and Chunjie Li
Agronomy 2025, 15(11), 2502; https://doi.org/10.3390/agronomy15112502 - 28 Oct 2025
Viewed by 115
Abstract
Leptosphaerulina trifolii (Didymellaceae) is a widespread phytopathogen commonly associated with leaf spot diseases on legumes. However, its occurrence on Poaceae hosts has rarely been documented. In this study, leaf spot symptoms on Elymus plants were observed in Gansu and Qinghai Provinces, China. Morphological [...] Read more.
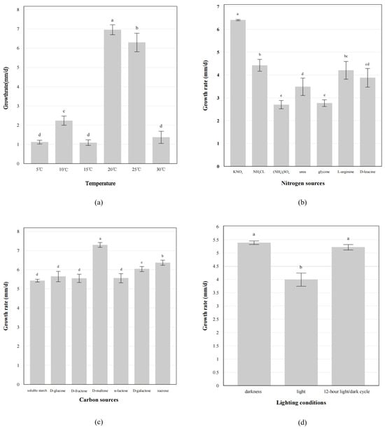
Leptosphaerulina trifolii (Didymellaceae) is a widespread phytopathogen commonly associated with leaf spot diseases on legumes. However, its occurrence on Poaceae hosts has rarely been documented. In this study, leaf spot symptoms on Elymus plants were observed in Gansu and Qinghai Provinces, China. Morphological characterization, combined with multi-locus phylogenetic analyses (ITS, LSU, and RPB2) and pathogenicity assays, confirmed L. trifolii as the causal agent. Phylogenetic reconstruction demonstrated that newly obtained isolates clustered with ex-type and reference strains of L. trifolii with high support, while inoculation trials reproduced typical field symptoms and fulfilled Koch’s postulates. Growth condition assays further revealed that the fungus exhibited optimal proliferation at 20 °C, with KNO3 and D-maltose as the most favorable nitrogen and carbon sources, respectively, and under either continuous darkness or a 12 h light/12 h dark regime. To our knowledge, this is the first report of L. trifolii causing leaf spot on Elymus spp. in China. This study provides the first evidence of L. trifolii on Elymus species, thereby expanding its known host range. Identification was confirmed through field surveys, morphological and molecular analyses, pathogenicity tests, and fungicide sensitivity, supporting the validity of this host record. Full article
(This article belongs to the Section Pest and Disease Management)
Show Figures

Figure 1

18 pages, 2206 KB  
Article
The “Iron Gate” Outcompetes the “Enzymic Latch” as the Dominant Soil Organic Carbon Stabilization Mechanism in Permafrost Peatlands of the Great Hing’an Mountains
by Shuping Kan, Weiping Yin, Zhao Li, Xinmiao Guo, Dalong Ma, Huan Yu and Yiting Zhao
Biology 2025, 14(11), 1504; https://doi.org/10.3390/biology14111504 - 28 Oct 2025
Viewed by 204
Abstract
Distinct paradigms, such as the “enzymic latch” and “iron gate” theories, have been proposed to elucidate SOC loss or accumulation, but their relative significance and whether they are mutually exclusive in permafrost peatlands remain unclear. To address this, we evaluated their relative importance [...] Read more.
Distinct paradigms, such as the “enzymic latch” and “iron gate” theories, have been proposed to elucidate SOC loss or accumulation, but their relative significance and whether they are mutually exclusive in permafrost peatlands remain unclear. To address this, we evaluated their relative importance and identified the dominant factors controlling SOC stability. Therefore, we employed a space-for-time substitution approach across a permafrost gradient (continuous, discontinuous, and isolated) by systematically quantifying extracellular enzyme activities, iron (Fe) phases, and iron-bound soil organic carbon (Fe-SOC) at various depths (0–10, 10–30, and 30–50 cm) in peatlands. Our results did not support the “enzymic latch” theory, with hydrolytic enzyme activities (β-glucosidase (BG), cellobiohydrolase (CBH), and β-N-acetylglucosaminidase (NAG)) showing positive correlations with phenolics but negative correlations with phenol oxidase (PHO) activity. However, ferrous iron (Fe(II)) was significantly positively correlated with PHO activity, and ferric iron (Fe(III)) stabilized SOC through co-precipitation with it to form Fe-SOC, supporting the “iron gate” theory. Moreover, Fe-SOC decreased from the continuous to the isolated permafrost zone, and with soil depth from 0–10 cm to 30–50 cm. Partial least squares path modeling (PLS-PM) analysis indicated that Fe(III) directly and indirectly (via Fe-SOC and phenolics) affected SOC. Our study demonstrated the primacy of the “iron gate” mechanism in controlling carbon stability in the Great Hing’an Mountains permafrost peatlands, providing new insights for projecting carbon-climate feedback. Full article
Show Figures

Figure 1

19 pages, 1890 KB  
Article
Sustainable Biofuel Production from Sludge by Oleaginous Fungi: Effect of Process Variables on Lipid Accumulation
by Habib Ullah, Muzammil Anjum, Bushra Noor, Samia Qadeer, Rab Nawaz, Azeem Khalid, Aansa Rukaya Saleem, Bilal Kabeer, Abubakr M. Idris, Muhammad Tayyab Sohail and Zepeng Rao
Catalysts 2025, 15(11), 1009; https://doi.org/10.3390/catal15111009 - 27 Oct 2025
Viewed by 290
Abstract
The current paper investigated the potential of oleaginous fungus Rhizopus oryzae B97 for lipid accumulation under varying process variables. The fungal strain was isolated from bread mold and analyzed for its potential to grow on sludge with simultaneous production of microbial lipids. The [...] Read more.
The current paper investigated the potential of oleaginous fungus Rhizopus oryzae B97 for lipid accumulation under varying process variables. The fungal strain was isolated from bread mold and analyzed for its potential to grow on sludge with simultaneous production of microbial lipids. The sludge sample was sourced from the wastewater treatment plant located in Sector I-9, Islamabad. The effects of various process variables, such as pH, temperature, carbon and nitrogen sources, and shaking, on lipid accumulation, cell dry weight (CDW), chemical oxygen demand (COD), and volatile solids (VS) removal were investigated. It was found that glucose and yeast promoted the maximum lipid accumulation. At the same time, the fungal biomass reached its maximum value of up to 64% at 30 °C and at pH 4 (CDW: 28 g/L). These process conditions also improved the sludge treatment efficiency, achieving 68% COD and 55% VS removal in 168 h. FTIR analysis of the accumulated lipids indicated strong characteristic peaks of functional groups associated with fatty acids. The GC-MS analysis confirmed the production of essential FAMEs required in biodiesel production from the corresponding fatty acids, such as oleic acid, palmitic acid, stearic acid, and erucic acid. Operation in a continuous-shaking aerobic batch reactor (CSABR) system under optimum conditions further improved the process efficiency. Overall, the results indicated the competent potential of oleaginous fungus Rhizopus oryzae B97 for lipid-based biofuel production through fatty acid transesterification. Full article
(This article belongs to the Special Issue Catalysis Accelerating Energy and Environmental Sustainability)
Show Figures

Figure 1

23 pages, 8203 KB  
Article
Decarbonizing Island Mobility: Energy and Environmental Benefits of Rail Transport in Gran Canaria
by Wenceslao Berriel Martínez, José Antonio Carta and Alexis Lozano-Medina
Sustainability 2025, 17(21), 9518; https://doi.org/10.3390/su17219518 - 26 Oct 2025
Viewed by 277
Abstract
The shift to sustainable mobility is especially challenging for island regions, where limited land, densely populated corridors, and strong reliance on fossil fuels constrain transport options. This study develops a macroscale methodology to estimate reductions in energy use, greenhouse gas emissions, and traffic [...] Read more.
The shift to sustainable mobility is especially challenging for island regions, where limited land, densely populated corridors, and strong reliance on fossil fuels constrain transport options. This study develops a macroscale methodology to estimate reductions in energy use, greenhouse gas emissions, and traffic congestion by replacing fossil-fuel-based public and private road transport with an electric rail system supplied exclusively by dedicated renewable energy sources. Unlike conventional electrification, this approach guarantees genuine decarbonization by ensuring a fully renewable power supply for rail operations. Gran Canaria is employed as a case study, applying the methodology through an intermodal scenario that integrates the rail system with existing public transport services. Results show substantial potential to lower the carbon footprint, improve energy efficiency, and relieve congestion. The analysis focuses on the southeastern metropolitan corridor of the island, where transport demand, population, and economic activities are most concentrated. The proposed framework offers a transferable tool for supporting sustainable mobility strategies in island contexts consistent with global climate goals and policy priorities. Although the case study is specific to Gran Canaria, the methodology provides insights that may be relevant for other territories with comparable mobility and energy challenges, including isolated or weak-grid regions. Full article
Show Figures

Figure 1

23 pages, 8650 KB  
Article
Feasibility Study on the “New Traditional” Model and Energy-Saving Strategy for Chinese–Korean Vernacular Living Under the Construction of Border Villages
by Weiming Chu, Junjie Xiang and Changjie Jin
Buildings 2025, 15(21), 3838; https://doi.org/10.3390/buildings15213838 - 23 Oct 2025
Viewed by 359
Abstract
In the context of China’s rural revitalization strategy, improving the livability and sustainability of traditional dwellings in border regions has become a critical priority. This study examines Chinese–Korean houses in border villages, where field investigations and quantitative analysis reveal persistent challenges: poor indoor [...] Read more.
In the context of China’s rural revitalization strategy, improving the livability and sustainability of traditional dwellings in border regions has become a critical priority. This study examines Chinese–Korean houses in border villages, where field investigations and quantitative analysis reveal persistent challenges: poor indoor thermal comfort and high energy consumption due to outdated building envelopes and inefficient heating systems. To address these issues, we propose an integrated retrofitting solution that combines building-integrated photovoltaics (BIPV) and ground-source heat pump (GSHP) technologies. Unlike previous studies focusing on isolated applications, our approach emphasizes the synergistic integration of active energy generation and high-efficiency thermal regulation, while preserving the architectural and cultural identity of traditional dwellings. Pilot results demonstrate significant improvements in PMV (Predicted Mean Vote) and economic viability, and achieve a high level of esthetic and cultural compatibility. Modular BIPV integration provides on-site renewable electricity without altering roof forms, while GSHP ensures stable, efficient heating and cooling year-round. This solution offers a replicable, regionally adaptive model for low-carbon rural housing transformation. By aligning technological innovation with cultural preservation and socioeconomic feasibility, the study contributes to a new paradigm of rural development, supporting ecological sustainability, ethnic unity, and border stability. Full article
(This article belongs to the Section Building Energy, Physics, Environment, and Systems)
Show Figures

Figure 1

37 pages, 6783 KB  
Review
Mechanisms of Arsenic Interaction in Bacillus subtilis and Related Species with Biotechnological Potential
by Luz I. Valenzuela-García, María Teresa Alarcón-Herrera, Elizabeth Cisneros-Lozano, Mario Pedraza-Reyes and Víctor M. Ayala-García
Int. J. Mol. Sci. 2025, 26(21), 10277; https://doi.org/10.3390/ijms262110277 - 22 Oct 2025
Viewed by 249
Abstract
Arsenic (As) toxicity drives the evolution of resistance mechanisms in environmental microorganisms. Bacteria of the Bacillus genus are frequently identified in isolates from arsenic-contaminated sites, highlighting the importance of understanding the molecular mechanisms related to this bacterial genus. Bacillus subtilis, a soil [...] Read more.
Arsenic (As) toxicity drives the evolution of resistance mechanisms in environmental microorganisms. Bacteria of the Bacillus genus are frequently identified in isolates from arsenic-contaminated sites, highlighting the importance of understanding the molecular mechanisms related to this bacterial genus. Bacillus subtilis, a soil microorganism and Gram-positive model paradigm, employs multiple strategies to counteract As toxicity, including biosorption, redox transformation, active efflux, and inducible genetic regulation. This review provides a comprehensive analysis of the physiological and molecular mechanisms involved in arsenic response in B. subtilis and related species, focusing on the ars and ase operons. The ars operon, located within the mobile SKIN element, encodes a reductase (ArsC), an Acr3-type efflux pump (ArsB), a carbon–arsenic lyase (ArsI/YqcK), and a transcriptional repressor (ArsR), all co-regulated in response to arsenic. In turn, the ase operon contributes to resistance via an ArsB-type efflux system (AseA) and its own regulatory protein (AseR) but lacks an arsenate reductase. Additionally, genes such as aioAB, arrAB, and arsD are discussed, along with evidence for extracellular detoxification and cell surface immobilization of As. Studies on environmental Bacillus species are examined, pointing out the evolutionary implications of As resistance and the biotechnological potential for remediation of contaminated sites. Full article
(This article belongs to the Special Issue Damage to Plants and Microorganisms Caused by Heavy Metal Toxicity)
Show Figures

Graphical abstract

32 pages, 5273 KB  
Review
A Comprehensive Review of Green Hydrogen Technology: Electrolysis Methods, Topologies and Control Strategies, Applications
by Ailitabaier Abudureyimu, Ayiguzhali Tuluhong, Qingpu Chang, Feng Wang and Bao Luo
Materials 2025, 18(21), 4826; https://doi.org/10.3390/ma18214826 - 22 Oct 2025
Viewed by 481
Abstract
As a pivotal clean energy carrier for achieving carbon neutrality, green hydrogen technology has attracted growing global attention. This review systematically examines four mainstream water electrolysis technologies—alkaline electrolysis, proton exchange membrane electrolysis, solid oxide electrolysis, and anion exchange membrane electrolysis—analyzing their fundamental principles, [...] Read more.
As a pivotal clean energy carrier for achieving carbon neutrality, green hydrogen technology has attracted growing global attention. This review systematically examines four mainstream water electrolysis technologies—alkaline electrolysis, proton exchange membrane electrolysis, solid oxide electrolysis, and anion exchange membrane electrolysis—analyzing their fundamental principles, material challenges, and development trends. It further classifies and compares power electronic converter topologies, including non-isolated and isolated DC–DC converters as well as AC–DC converter architectures, and summarizes advanced control strategies such as dynamic power regulation and fault-tolerant operation aimed at enhancing system efficiency and stability. A holistic “electrolyzer–power converter–control strategy” integration framework is proposed to provide tailored technological solutions for diverse application scenarios. Finally, the challenges and future prospects of green hydrogen across the energy, transportation, and industrial sectors are discussed, underscoring its potential to accelerate the global transition toward a sustainable, low-carbon energy system. Full article
(This article belongs to the Section Quantum Materials)
Show Figures

Graphical abstract

16 pages, 4045 KB  
Article
Carbonate Mineral Formation by Microalgae: Precipitation Potential and Morphological Analysis
by Hamed Abdeh Keykha, Sumit Joshi, Maria Mavroulidou, Hadi Mohamadzadeh Romiani and Afshin Asadi
Minerals 2025, 15(11), 1096; https://doi.org/10.3390/min15111096 - 22 Oct 2025
Viewed by 276
Abstract
This study evaluated the ability of microalgae to produce carbonate minerals through CO2 uptake, in comparison with abiotic, direct chemical synthesis through CO2 absorption. A freshwater microalga (Synechococcus elongatus) isolated from garden soil in East Anglia, UK, was cultivated [...] Read more.
This study evaluated the ability of microalgae to produce carbonate minerals through CO2 uptake, in comparison with abiotic, direct chemical synthesis through CO2 absorption. A freshwater microalga (Synechococcus elongatus) isolated from garden soil in East Anglia, UK, was cultivated under laboratory conditions with CO2 injection to generate a bicarbonate-rich aqueous solution, in which Fe2+, Mg2+, and Ca2+ ions were added to facilitate carbonate formation. Scanning Electron Microscopy (SEM) and X-ray Diffraction (XRD) analyses revealed distinct morphologies and mineral types. The algae-based process precipitated calcite, siderite, magnesite, and dolomite, whereas the abiotic process yielded, respectively, calcite, siderite, high-Mg calcite and nesquehonite. Biogenic minerals were finer and more morphologically diverse than their abiotically formed counterparts. The results indicated that microalgae produced 0.21 mol/L of calcium carbonate, compared to 0.51 mol/L obtained through abiotic CO2 sequestration, and a comparable yield of about 0.25 mol/L reported for Sporosarcina pasteurii-induced precipitation. Acid resistance tests showed that algae-induced minerals had similar or improved resistance to acidic conditions compared to minerals formed through abiotic CO2 consumption. Overall, despite slower kinetics, algae-induced carbonate precipitation offers advantages for soil stabilization by biocementation in the context of environmental sustainability, climate change mitigation and circular economy. Full article
(This article belongs to the Special Issue Exploring Novel Interactions Between Microbes and Minerals)
Show Figures

Figure 1

29 pages, 24797 KB  
Article
Experimental Verification of Calcite Formation Potential by Ureolytic and Non-Ureolytic Bacterial Strains in Geopolymer Mortar
by Bashar Al Hayo, Orhan Canpolat, Nihal Doğruöz Güngör, Mücteba Uysal, Nahdhoit Ahamada Rachid and Issam Ali
Materials 2025, 18(20), 4795; https://doi.org/10.3390/ma18204795 - 21 Oct 2025
Viewed by 365
Abstract
This study aimed to examine the calcite precipitation potential of non-ureolytic bacterial strains of two species, Viridibacillus arenosi (A6) and Bacillus zhangzhouensis (D25), as compared to the known ureolytic bacterial strain, Sporosarcina pasteurii (SP), within geopolymer mortar. Tests were [...] Read more.
This study aimed to examine the calcite precipitation potential of non-ureolytic bacterial strains of two species, Viridibacillus arenosi (A6) and Bacillus zhangzhouensis (D25), as compared to the known ureolytic bacterial strain, Sporosarcina pasteurii (SP), within geopolymer mortar. Tests were carried out after 56 days of injection treatment to confirm the precipitation process, incorporating healing efficiency measured by ImageJ software, recovery of UPV, water permeability, capillary water absorption, and microstructural and mineralogical analysis SEM/EDS and XRD. The non-ureolytic isolates D25 and A6 showed the highest healing efficiencies, at 96.9% and 91.9%, respectively, followed by the ureolytic bacteria SP at 77.8%. A6 exhibited the most substantial reduction in permeability at 97.3%, indicating extensive crack healing, followed by D25 at 92.9% and SP at 82.1%. Furthermore, SEM and EDS analyses confirmed the formation of calcite crystals and calcium depositions in the bacteria-treated samples. Complementary evidence was provided by XRD, which revealed distinct calcium carbonate peaks in the treated specimens, peaks that were entirely absent in the control samples, thus strongly confirming the role of bacterial activity in the precipitation process. The results confirm that non-ureolytic bacteria can efficiently boost calcite precipitation in geopolymer mortars, offering superior healing performance and a more sustainable alternative to ureolytic strains. Full article
(This article belongs to the Section Construction and Building Materials)
Show Figures

Graphical abstract

Back to TopTop