Sign in to use this feature.

Years

Between: -

Subjects

remove_circle_outline
remove_circle_outline
remove_circle_outline
remove_circle_outline
remove_circle_outline
remove_circle_outline
remove_circle_outline

Journals

Article Types

Countries / Regions

Search Results (62)

Search Parameters:
Keywords = biothiols

Order results
Result details
Results per page
Select all
Export citation of selected articles as:
16 pages, 3411 KB  
Article
Biotransformation Is an Effective Mechanism for Modulating the Biological Toxicity of Nodularin (NODR)
by Chunyu Fu, Mengchen Li, Qiannan Shi, Yixue Xu and Wansong Zong
Toxins 2026, 18(2), 91; https://doi.org/10.3390/toxins18020091 - 11 Feb 2026
Viewed by 492
Abstract
The biotransformation of nodularin (NOD) is one of the critical strategies for regulating their biological toxicity. To investigate the effects and mechanisms of the biotransformation pathway, this study synthesized six biotransformation products of nodulein-R (NODR-BTPs) and evaluated their inhibitory effects on protein phosphatase [...] Read more.
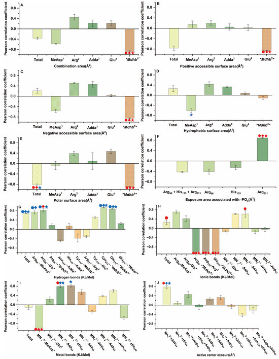
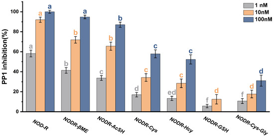
The biotransformation of nodularin (NOD) is one of the critical strategies for regulating their biological toxicity. To investigate the effects and mechanisms of the biotransformation pathway, this study synthesized six biotransformation products of nodulein-R (NODR-BTPs) and evaluated their inhibitory effects on protein phosphatase 1 (PP1) through protein phosphatase inhibition assays. The inhibitory effects of NODR-BTPs diminished as the molecular weight and polarity of the introduced biological thiols increased, indicating that biotransformation is an efficient mechanism for modulating the biological toxicity of NODR. Through ligand replacement and molecular docking techniques, the potential regulatory mechanisms underlying the primary interaction processes between NODR-BTPs and PP1 were further elucidated. The introduced biological thiols improved the hydrogen bonding for Glu275 ← “Mdhb5”and enhanced the electropositive–electronegative interactions between “Mdhb5” and PP1. This resulted in an increase in the positive accessible surface area, negative accessible surface area, and polar surface area at the interface of “Mdhb5” and PP1. The biothiol moiety subsequently enhanced hydrogen bonds for Arg96 → MeAsp1 and Arg96 → Glu4, thereby affecting the binding of these key interaction sites to PP1. This further diminished interactions between conserved amino acids in PP1 and Mn2+ ions, including the ionic bond for Asp92-Mn12+ and metal bonds for Asp64-Mn12+ and His66-Mn12+, leading to increased exposure of Mn2+ ions. The regulatory mechanisms facilitated the restoration of PP1 catalytic activity. Full article
Show Figures

Graphical abstract

58 pages, 11607 KB  
Review
Advances in Coumarin Fluorescent Probes for Medical Diagnostics: A Review of Recent Developments
by Katarzyna Szwaczko, Aleksandra Kulkowska and Arkadiusz Matwijczuk
Biosensors 2026, 16(1), 36; https://doi.org/10.3390/bios16010036 - 2 Jan 2026
Cited by 1 | Viewed by 2308
Abstract
This review summarizes recent advances (2023–2025) in coumarin-based fluorescent probes, highlighting their structural modularity, tunable VIS–NIR photophysics, and broad applicability in detecting metal ions, biothiols, ROS/RNS, organelle-specific microenvironments, and amyloid-β aggregates. Particular emphasis is placed on multifunctional and organelle-targeted probes, as well as [...] Read more.
This review summarizes recent advances (2023–2025) in coumarin-based fluorescent probes, highlighting their structural modularity, tunable VIS–NIR photophysics, and broad applicability in detecting metal ions, biothiols, ROS/RNS, organelle-specific microenvironments, and amyloid-β aggregates. Particular emphasis is placed on multifunctional and organelle-targeted probes, as well as emerging NIR-emissive and theranostic systems enabling deep-tissue imaging and modulation of pathological processes. The perspectives section outlines current limitations and future directions toward clinically relevant coumarin-based imaging tools. A though the review focuses on literature published from 2023 onward, several earlier studies are cited selectively to clarify fluorescence mechanisms, illustrate reaction pathways, or provide essential photophysical benchmarks necessary for contextual understanding. Full article
(This article belongs to the Special Issue Fluorescent Probes: Design and Biological Applications)
Show Figures

Figure 1

14 pages, 6958 KB  
Article
A pH-Responsive Liquid Crystal-Based Sensing Platform for the Detection of Biothiols
by Xianghao Meng, Ronghua Zhang, Xinfeng Dong, Zhongxing Wang and Li Yu
Chemosensors 2025, 13(8), 291; https://doi.org/10.3390/chemosensors13080291 - 6 Aug 2025
Cited by 2 | Viewed by 1065
Abstract
Biothiols, including cysteine (Cys), homocysteine (Hcy), and glutathione (GSH), are crucial for physiological regulation and their imbalance poses severe health risks. Herein, we developed a pH-responsive liquid crystal (LC)-based sensing platform for detection of biothiols by doping 4-n-pentylbiphenyl-4-carboxylic acid (PBA) into [...] Read more.
Biothiols, including cysteine (Cys), homocysteine (Hcy), and glutathione (GSH), are crucial for physiological regulation and their imbalance poses severe health risks. Herein, we developed a pH-responsive liquid crystal (LC)-based sensing platform for detection of biothiols by doping 4-n-pentylbiphenyl-4-carboxylic acid (PBA) into 4-n-pentyl-4-cyanobiphenyl (5CB). Urease catalyzed urea hydrolysis to produce OH, triggering the deprotonation of PBA, thereby inducing a vertical alignment of LC molecules at the interface corresponding to dark optical appearances. Heavy metal ions (e.g., Hg2+) could inhibit urease activity, under which condition LC presents bright optical images and LC molecules maintain a state of tilted arrangement. However, biothiols competitively bind to Hg2+, the activity of urease is maintained which enables the occurrence of urea hydrolysis. This case triggers LC molecules to align in a vertical orientation, resulting in bright optical images. This pH-driven reorientation of LCs provides a visual readout (bright-to-dark transition) correlated with biothiol concentration. The detection limits of Cys/Hcy and GSH for the PBA-doped LC platform are 0.1 μM and 0.5 μM, respectively. Overall, this study provides a simple, label-free and low-cost strategy that has a broad application prospect for the detection of biothiols. Full article
(This article belongs to the Special Issue Feature Papers on Luminescent Sensing (Second Edition))
Show Figures

Figure 1

24 pages, 4491 KB  
Review
Bioimaging and Sensing Properties of Curcumin and Derivatives
by Chiara Maria Antonietta Gangemi, Salvatore Mirabile, Maura Monforte, Anna Barattucci and Paola Maria Bonaccorsi
Int. J. Mol. Sci. 2025, 26(10), 4871; https://doi.org/10.3390/ijms26104871 - 19 May 2025
Cited by 11 | Viewed by 2855
Abstract
Curcumin (Cur) is one of the most studied natural polyphenolic compounds, with many pharmacological properties and a luminescent skeleton. Natural fluorescent molecules are peculiar tools in nanomedicine for bioimaging and sensing, and this review focuses on the photophysical properties and applications of Cur [...] Read more.
Curcumin (Cur) is one of the most studied natural polyphenolic compounds, with many pharmacological properties and a luminescent skeleton. Natural fluorescent molecules are peculiar tools in nanomedicine for bioimaging and sensing, and this review focuses on the photophysical properties and applications of Cur in these biomedical fields. The first part of the review opens with a description of the Cur chemical skeleton and its connection with the luminescent nature of this molecule. The 1,6-heptadiene-3,5-dionyl chain causes the involvement of Cur in a keto–enol tautomerism, which influences its solvatochromism. The polyphenolic nature of its skeleton justifies the Cur generation of singlet oxygen and ROS upon photoexcitation, and this is responsible for the photophysical processes that may be related to the photodynamic therapy (PDT) effects of Cur. In the second part of the review, bioimaging based on Cur derivatives is reviewed, with a deeper attention paid to the molecular diagnostic and nano-formulations in which Cur is involved, either as a drug or a source of fluorescence. Theragnostics is an innovative idea in medicine based on the integration of diagnosis and therapy with nanotechnology. The combination of diagnostics and therapy provides optimal and targeted treatment of the disease from its early stages. Curcumin has been involved in a series of nano-formulations exploiting its pharmacological and photophysical characteristics and overcoming its strong lipophilicity using biocompatible nanomaterials. In the third part of the review, modifications of the Cur skeleton were employed to synthesize probes that change their color in response to specific stimuli as a consequence of the trapping of specific molecules. Finally, the methodologies of sensing biothiols, anions, and cations by Cur are described, and the common features of such luminescent probes reveal how each modification of the skeleton can deeply influence its natural luminescence. Full article
(This article belongs to the Special Issue Luminescent Dyes as Tools for Biological and Medical Applications)
Show Figures

Graphical abstract

11 pages, 2816 KB  
Article
Smart Probes for Ultrasensitive and Highly Selective Sensing of Homocysteine over Cysteine Based on Multi-Cooperative Effects by Using Gold Nanoparticles
by Manman Sun, Peihao Zhang, Zeze Xie, Pengcheng Zhang, Zhendong Li, Zhiguang Yang and Hongyu Chen
Molecules 2025, 30(6), 1309; https://doi.org/10.3390/molecules30061309 - 14 Mar 2025
Cited by 1 | Viewed by 1235
Abstract
Homocysteine (Hcy) is a biothiol that plays a vital role in many physiological processes and is involved in a variety of diseases. However, it is significantly difficult to discriminate Hcy from cysteine (Cys) due to their similar chemical structures (only one methylene difference) [...] Read more.
Homocysteine (Hcy) is a biothiol that plays a vital role in many physiological processes and is involved in a variety of diseases. However, it is significantly difficult to discriminate Hcy from cysteine (Cys) due to their similar chemical structures (only one methylene difference) and reactivity. In this study, a novel nanosensor was proposed to discriminate Hcy from Cys with multi-cooperative effects by using gold nanoparticles (AuNPs). The discrimination effect for Hcy originates from the interaction difference of the hydrogen bonding, steric hindrance, and carbon chain length in Hcy and Cys with AuNPs. Under the best conditions, this nanosensor has two unique advantages. Firstly, the sensor exhibits high sensitivity with detection limits of 0.1 μM through naked-eye determination and 0.008 μM through UV−vis spectroscopy analysis. Secondly, the sensor showed superior selectivity for Hcy over the other 16 natural amino acids (biothiol-containing Cys and glutathione (GSH)), and it is the first time to clearly distinguish Hcy from Cys (the Cys concentration is 40 times higher than Hcy). Furthermore, the system was further employed to detect Hcy in human serum, and the result was in agreement with that tested by clinicians via enzymatic assays, with acceptable recovery. Full article
(This article belongs to the Special Issue Applied Chemistry in Asia)
Show Figures

Figure 1

13 pages, 3142 KB  
Article
Advanced Large-Stokes-Shift Fluorescent Probe for the Detection of Biothiols: Facilitating Accurate Indirect Measurement of β-Lactamases
by Likun Liu, Dongling Yan, Yukun Ma, Peng Hou, Pengfei Qi, Xue Zhang, Yitong Liu and Song Chen
Int. J. Mol. Sci. 2025, 26(2), 525; https://doi.org/10.3390/ijms26020525 - 9 Jan 2025
Cited by 2 | Viewed by 1480
Abstract
A novel fluorescent probe, Bibc-DNBS, based on the combination of the PET (photoinduced electron transfer) and ESIPT (excited-state intramolecular proton transfer) mechanisms, was designed and synthesized. Bibc-DNBS exhibited a Stokes shift of 172 nm in the fluorescence detection field. In addition, the probe [...] Read more.
A novel fluorescent probe, Bibc-DNBS, based on the combination of the PET (photoinduced electron transfer) and ESIPT (excited-state intramolecular proton transfer) mechanisms, was designed and synthesized. Bibc-DNBS exhibited a Stokes shift of 172 nm in the fluorescence detection field. In addition, the probe exhibited good performance in key parameters in bioassays such as sensitivity, specificity, and response time. Based on these properties, Bibc-DNBS successfully monitored the biothiol levels in live cells and zebrafish models, providing an effective analytical tool for real-time monitoring of biothiols. More importantly, Bibc-DNBS could be useful for indirectly detecting β-lactamases. Bibc-DNBS(3-(1H-benzo[d]imidazol-2-yl)-4′-cyano-[1,1′-biphenyl]-4-yl2,4-dinitrobenzenesulfonate) facilitated the screening of β-lactamase inhibitors, using tazobactam and clavulanic acid as model compounds, with respective semi-inhibitory concentration values of 31.32 μM and 2.26 μM, respectively. It might also be applied to distinguish sensitive strain Staphylococcus aureus ATCC 29213 and drug-resistant strain Enterobacter cloacae ATCC 13047, which could provide strong support for the clinical application of antibiotics and the development of new drugs. Full article
(This article belongs to the Special Issue Luminescent Dyes as Tools for Biological and Medical Applications)
Show Figures

Figure 1

38 pages, 2031 KB  
Review
Analytical Methods for Assessing Thiol Antioxidants in Biological Fluids: A Review
by Iuliia A. Poimenova, Madina M. Sozarukova, Daria-Maria V. Ratova, Vita N. Nikitina, Vladislav R. Khabibullin, Ivan V. Mikheev, Elena V. Proskurnina and Mikhail A. Proskurnin
Molecules 2024, 29(18), 4433; https://doi.org/10.3390/molecules29184433 - 18 Sep 2024
Cited by 19 | Viewed by 7217
Abstract
Redox metabolism is an integral part of the glutathione system, encompassing reduced and oxidized glutathione, hydrogen peroxide, and associated enzymes. This core process orchestrates a network of thiol antioxidants like thioredoxins and peroxiredoxins, alongside critical thiol-containing proteins such as mercaptoalbumin. Modifications to thiol-containing [...] Read more.
Redox metabolism is an integral part of the glutathione system, encompassing reduced and oxidized glutathione, hydrogen peroxide, and associated enzymes. This core process orchestrates a network of thiol antioxidants like thioredoxins and peroxiredoxins, alongside critical thiol-containing proteins such as mercaptoalbumin. Modifications to thiol-containing proteins, including oxidation and glutathionylation, regulate cellular signaling influencing gene activities in inflammation and carcinogenesis. Analyzing thiol antioxidants, especially glutathione, in biological fluids offers insights into pathological conditions. This review discusses the analytical methods for biothiol determination, mainly in blood plasma. The study includes all key methodological aspects of spectroscopy, chromatography, electrochemistry, and mass spectrometry, highlighting their principles, benefits, limitations, and recent advancements that were not included in previously published reviews. Sample preparation and factors affecting thiol antioxidant measurements are discussed. The review reveals that the choice of analytical procedures should be based on the specific requirements of the research. Spectrophotometric methods are simple and cost-effective but may need more specificity. Chromatographic techniques have excellent separation capabilities but require longer analysis times. Electrochemical methods enable real-time monitoring but have disadvantages such as interference. Mass spectrometry-based approaches have high sensitivity and selectivity but require sophisticated instrumentation. Combining multiple techniques can provide comprehensive information on thiol antioxidant levels in biological fluids, enabling clearer insights into their roles in health and disease. This review covers the time span from 2010 to mid-2024, and the data were obtained from the SciFinder® (ACS), Google Scholar (Google), PubMed®, and ScienceDirect (Scopus) databases through a combination search approach using keywords. Full article
(This article belongs to the Special Issue Review Papers in Analytical Chemistry)
Show Figures

Graphical abstract

44 pages, 22066 KB  
Review
Research Progress of Fluorescent Probes for Detection of Glutathione (GSH): Fluorophore, Photophysical Properties, Biological Applications
by Yao Wang, Yanfei Li, Jinbo Cao, Xiyan Yang, Jiaxiang Huang, Mingyue Huang and Shaobin Gu
Molecules 2024, 29(18), 4333; https://doi.org/10.3390/molecules29184333 - 12 Sep 2024
Cited by 22 | Viewed by 4565
Abstract
Intracellular biothiols, including cysteine (Cys), glutathione (GSH), and homocysteine (Hcy), play a critical role in many physiological and pathological processes. Among them, GSH is the most abundant non-protein mercaptan (1–10 mM) in cells, and the change in GSH concentration level is closely related [...] Read more.
Intracellular biothiols, including cysteine (Cys), glutathione (GSH), and homocysteine (Hcy), play a critical role in many physiological and pathological processes. Among them, GSH is the most abundant non-protein mercaptan (1–10 mM) in cells, and the change in GSH concentration level is closely related to the occurrence of many diseases, such as Parkinson’s disease, Alzheimer’s disease, and neurological diseases. Fluorescent probes have attracted much attention due to their advantages of high specificity, high sensitivity, high selectivity, low cost, and high quantum yield. Methods that use optical probes for selective detection of GSH in vitro and in vivo are in high demand. In this paper, we reviewed the most recent five years of research on fluorescence probes for the detection of GSH, including the specific detection of GSH, dual-channel identification of GSH and other substances, and the detection of GSH and other biothiols. According to the type of fluorophore, we classified GSH fluorescent probes into eight classes, including BODIPY, 1,8-Naphthalimide, coumarin, xanthene, rhodamine, cyanine, benzothiazoles, and others. In addition, we roundly discuss the synthesis, detection mechanism, photophysical properties, and biological applications of fluorescent probes. We hope that this review will inspire the exploration of new fluorescent probes for GSH and other related analyses. Full article
Show Figures

Figure 1

15 pages, 5236 KB  
Article
A Multimode Detection Platform for Biothiols Using BODIPY Dye-Conjugated Gold Nanoparticles
by Panangattukara Prabhakaran Praveen Kumar
Colorants 2024, 3(3), 214-228; https://doi.org/10.3390/colorants3030015 - 12 Aug 2024
Cited by 3 | Viewed by 2531
Abstract
This study explored the synthesis and application of BODIPY-functionalized gold nanoparticles (AuNPs) for the sensitive detection of biothiols via an indicator displacement assay coupled with surface-enhanced Raman scattering (SERS) techniques, alongside their efficacy for in vitro cancer cell imaging. Moreover, the assay allowed [...] Read more.
This study explored the synthesis and application of BODIPY-functionalized gold nanoparticles (AuNPs) for the sensitive detection of biothiols via an indicator displacement assay coupled with surface-enhanced Raman scattering (SERS) techniques, alongside their efficacy for in vitro cancer cell imaging. Moreover, the assay allowed for the visible colorimetric detection of biothiols under normal and ultraviolet light conditions. The BODIPY (boron-dipyrromethene) fluorophores were strategically conjugated to the surface of gold nanoparticles, forming a robust nanohybrid that leverages the plasmonic properties of AuNPs for enhanced spectroscopic sensitivity. The detection mechanism exploited the displacement of the BODIPY indicator upon interaction with biothiols, triggering a measurable change in fluorescence and SERS signals. This dual-mode sensing approach provides high selectivity and sensitivity for biothiol detection, with detection limits reaching nanomolar concentrations using fluorescence and femtomolar concentration for cysteine using SERS. Furthermore, the BODIPY-AuNP complexes demonstrated excellent biocompatibility and photostability, facilitating their use in the fluorescence imaging of biothiol presence within cellular environments and highlighting their potential for diagnostic and therapeutic applications in biomedical research. Full article
(This article belongs to the Special Issue Feature Papers in Colorant Chemistry)
Show Figures

Figure 1

13 pages, 4481 KB  
Article
A Red-Emission Fluorescent Probe for Intracellular Biothiols and Hydrogen Sulfide Imaging in Living Cells
by Yuanfan Wang, Shengxiang Zhang, Tianle Liu, Junning Chen, Bingrui Yuan, Cuntao Lu, Xiumei Bo and Zhou Xu
Molecules 2024, 29(7), 1572; https://doi.org/10.3390/molecules29071572 - 31 Mar 2024
Cited by 8 | Viewed by 2581
Abstract
This research centers on the development and synthesis of a longwave fluorescence probe, labeled as 60T, designed for the simultaneous detection of hydrogen sulfide, cysteine/homocysteine, and glutathione. The probe showcases a swift response, good linearity range, and heightened sensitivity, boasting that the [...] Read more.
This research centers on the development and synthesis of a longwave fluorescence probe, labeled as 60T, designed for the simultaneous detection of hydrogen sulfide, cysteine/homocysteine, and glutathione. The probe showcases a swift response, good linearity range, and heightened sensitivity, boasting that the detection limits of the probe for Cys, Hcy, GSH and H2S were 0.140, 0.202, 0.259 and 0.396 μM, respectively. Notably, its efficacy in monitoring thiol status changes in live MCF-7 cells is underscored by a substantial decrease in fluorescence intensity upon exposure to the thiol trapping reagent, N-ethyl maleimide (NEM). With an impressive red emission signal at 630 nm and a substantial Stokes shift of 80 nm, this probe exhibits remarkable sensitivity and selectivity for biothiols and H2S, indicating promising applications in the diagnosis and surgical navigation of relevant cancers. Full article
(This article belongs to the Section Chemical Biology)
Show Figures

Graphical abstract

11 pages, 6034 KB  
Communication
Theoretical Investigation of a Coumarin Fluorescent Probe for Distinguishing the Detection of Small-Molecule Biothiols
by Yue Deng, He Huang, Jian Feng, Yongjin Peng and Yuling Liu
Molecules 2024, 29(3), 554; https://doi.org/10.3390/molecules29030554 - 23 Jan 2024
Cited by 7 | Viewed by 2336
Abstract
Monitoring the level of biothiols in organisms would be beneficial for health inspections. Recently, 3-(2′-nitro vinyl)-4-phenylselenyl coumarin as a fluorescent probe for distinguishing the detection of the small-molecule biothiols cysteine/homocysteine (Cys/Hcy) and glutathione (GSH) was developed. By introducing 4-phenyselenium as the active site, [...] Read more.
Monitoring the level of biothiols in organisms would be beneficial for health inspections. Recently, 3-(2′-nitro vinyl)-4-phenylselenyl coumarin as a fluorescent probe for distinguishing the detection of the small-molecule biothiols cysteine/homocysteine (Cys/Hcy) and glutathione (GSH) was developed. By introducing 4-phenyselenium as the active site, the probe CouSeNO2/CouSNO2 was capable of detecting Cys/Hcy and GSH in dual fluorescence channels. Theoretical insights into the fluorescence sensing mechanism of the probe were provided in this work. The details of the electron excitation process in the probe and sensing products under optical excitation and the fluorescent character were analyzed using the quantum mechanical method. All these theoretical results would provide insight and pave the way for the molecular design of fluorescent probes for the detection of biothiols. Full article
Show Figures

Figure 1

14 pages, 3625 KB  
Article
Sensitive Detection of Various Forms of Hydrogen Sulfide via Highly Selective Naphthalimide-Based Fluorescent Probe
by Daniel Słowiński, Małgorzata Świerczyńska, Jarosław Romański and Radosław Podsiadły
Molecules 2023, 28(17), 6299; https://doi.org/10.3390/molecules28176299 - 28 Aug 2023
Cited by 14 | Viewed by 3663
Abstract
Hydrogen sulfide (H2S) is an important gasotransmitter, but only a few methods are available for real-time detection. Fluorescent probes are attractive tools for biological applications because of their high sensitivity, convenience, rapid implementation, noninvasive monitoring capability, and simplicity in fluorescent imaging [...] Read more.
Hydrogen sulfide (H2S) is an important gasotransmitter, but only a few methods are available for real-time detection. Fluorescent probes are attractive tools for biological applications because of their high sensitivity, convenience, rapid implementation, noninvasive monitoring capability, and simplicity in fluorescent imaging of living cells and tissues. Herein, we report on a pro-fluorescent probe, NAP-Py-N3 based on naphthalimide derivative, which was found to show high selectivity toward H2S over various other analytes, including biothiols, making it feasible to detect H2S. After reaction with H2S, this probe showed rapid and significant turn-on green fluorescent enhancement at 553 nm (about 54-fold, k2 = 9.62 M−1s−1), high sensitivity (LOD: 15.5 nM), significant Stokes shift (118 nm), and it was found that the fluorescence quantum yield of fluorescence product can reach 0.36. Moreover, the probe has also been successfully applied to detect the gaseous H2S and to confirm the presence of H2S released from modern organic donors, which in recent years have been commonly used to investigate the role of H2S in biological systems. All the results indicate that this probe is excellent and highly valuable. Full article
Show Figures

Graphical abstract

17 pages, 23200 KB  
Article
A Novel Fluorescence Probe Based on Azamonardine for Detecting and Imaging Cysteine in Cells and Zebrafish with High Selectivity and Sensitivity
by Yixu Zhao, Ting Wang, Ahmed Mohammed Ali Abdulkhaleq, Zhongfu Zuo, Yongjin Peng and Xibin Zhou
Molecules 2023, 28(17), 6246; https://doi.org/10.3390/molecules28176246 - 25 Aug 2023
Cited by 7 | Viewed by 2415
Abstract
A novel fluorescent probe based on azamonardine (Aza) fluorophore was designed and synthesized for the highly selective detection of cysteine (Cys) in vivo and in vitro. After reacting with acryloyl chloride, the fluorescence of Aza is effectively quenched, resulting in the formation of [...] Read more.
A novel fluorescent probe based on azamonardine (Aza) fluorophore was designed and synthesized for the highly selective detection of cysteine (Cys) in vivo and in vitro. After reacting with acryloyl chloride, the fluorescence of Aza is effectively quenched, resulting in the formation of the Aza-acryl probe. Upon the addition of Cys, the ester bond of Aza-acryl is cleaved, releasing a new compound (Compound 1) with strong fluorescence, thereby achieving fluorescence turn-on detection of Cys. The structure of Aza-acryl was characterized using X-ray crystallography and NMR spectroscopy. Additionally, density functional theory was employed to elucidate the quenching mechanism of the acyl group on the Aza. Aza-acryl exhibits high selectivity towards Cys and distinguishes it from other biothiols such as homocysteine (Hcy) and glutathione (GSH). The mechanism of Aza-acryl for detecting Cys was investigated through HPLC, NMR spectroscopy, high-resolution mass spectrometry, and reaction kinetics experiments. Aza-acryl demonstrates excellent imaging capabilities for Cys in cells and zebrafish, providing a reliable and selectable tool for the detection and imaging of Cys in biological systems. Full article
Show Figures

Graphical abstract

13 pages, 2775 KB  
Article
Comparison of Reactive Sites in 2(1H)-Quinolone Derivatives for the Detection of Biologically Important Sulfur Compounds
by Jolanta Kolińska, Aleksandra Grzelakowska, Marcin Szala and Radosław Podsiadły
Molecules 2023, 28(16), 5965; https://doi.org/10.3390/molecules28165965 - 9 Aug 2023
Viewed by 1492
Abstract
Novel fluorescent probes based on 2(1H)-quinolone skeleton containing a malonate group (Q1Q3) were synthesized and proposed for biothiols detection. Their chemical reactivity toward thiols was compared to the reactivity of derivative having a dicyanovinyl group (Q4 [...] Read more.
Novel fluorescent probes based on 2(1H)-quinolone skeleton containing a malonate group (Q1Q3) were synthesized and proposed for biothiols detection. Their chemical reactivity toward thiols was compared to the reactivity of derivative having a dicyanovinyl group (Q4) as a reactive site. The detailed photophysical properties of these compounds were assessed through the determination of absorption and fluorescence spectra, fluorescence quantum yield, and fluorescence lifetime. In the presence of biothiols, an increase in the fluorescence intensity of compounds Q1Q3 and a hypsochromic shift in their emission bands were observed. In contrast, the compound with the dicyanovinyl group (Q4) in the presence of biothiols and cyanide ion showed the quenching of fluorescence, while a fluorescence “turn on” effect was observed toward reactive sulfur species. Full article
Show Figures

Figure 1

11 pages, 1914 KB  
Article
Bioimaging and Sensing Thiols In Vivo and in Tumor Tissues Based on a Near-Infrared Fluorescent Probe with Large Stokes Shift
by Chunhui Ma, Dongling Yan, Peng Hou, Xiangbao Liu, Hao Wang, Chunhui Xia, Gang Li and Song Chen
Molecules 2023, 28(15), 5702; https://doi.org/10.3390/molecules28155702 - 27 Jul 2023
Cited by 7 | Viewed by 2454
Abstract
The well-known small-molecule biothiols have been used to maintain the normal metabolism of peroxy radicals, forming protein structures, resisting cell apoptosis, regulating metabolism, and protecting the homeostasis of cells in the organism. A large amount of research has found that abnormal levels of [...] Read more.
The well-known small-molecule biothiols have been used to maintain the normal metabolism of peroxy radicals, forming protein structures, resisting cell apoptosis, regulating metabolism, and protecting the homeostasis of cells in the organism. A large amount of research has found that abnormal levels of the above biothiols can cause some adverse diseases, such as changes in hair pigmentation, a slower growth rate, delayed response, excessive sleep and skin diseases. In order to further investigate the exact intracellular molecular mechanism of biothiols, it is imperative to explore effective strategies for real-time biothiol detection in living systems. In this work, a new near-infrared (NIR) emission fluorescence probe (probe 1) for sensitive and selective detection of biothiols was devised by combining dicyanoisophorone derivatives with the dinitrobenzenesulfonyl (DNBS) group. As expected, probe 1 could specifically detect biothiols (Cys, Hcy and GSH) through the dinitrobenzenesulfonyl group to form dye 2, which works as a signaling molecule for sensing biothiols in real samples. Surprisingly, probe 1 showed superior sensing characteristics and low-limit detection towards biothiols (36.0 nM for Cys, 39.0 nM for Hcy and 48.0 nM for GSH) with a large Stokes shift (134 nm). Additionally, the function of probe 1 as a platform for detecting biothiols was confirmed by confocal fluorescence imaging of biothiols in MCF-7 cells and zebrafish. More importantly, the capability of probe 1 in vivo has been further evaluated by imaging the overexpressed biothiols in tumor tissue. It is reasonable to believe that probe 1 can provide a valuable method to explore the relationship between biothiols and the genesis of tumor. Full article
Show Figures

Graphical abstract

Back to TopTop