Sign in to use this feature.

Years

Between: -

Subjects

remove_circle_outline
remove_circle_outline
remove_circle_outline
remove_circle_outline
remove_circle_outline
remove_circle_outline
remove_circle_outline
remove_circle_outline
remove_circle_outline

Journals

remove_circle_outline
remove_circle_outline
remove_circle_outline
remove_circle_outline
remove_circle_outline
remove_circle_outline
remove_circle_outline
remove_circle_outline
remove_circle_outline
remove_circle_outline
remove_circle_outline
remove_circle_outline
remove_circle_outline
remove_circle_outline
remove_circle_outline

Article Types

Countries / Regions

remove_circle_outline
remove_circle_outline
remove_circle_outline
remove_circle_outline
remove_circle_outline

Search Results (1,033)

Search Parameters:
Keywords = biological coordination

Order results
Result details
Results per page
Select all
Export citation of selected articles as:
16 pages, 1215 KB  
Article
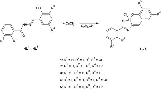
Copper(II) Complexes of Selected Acylhydrazones as Potential Biological Agents
by Izabela Czyżewska, Liliana Mazur, Robert Mroczka, Anna Biernasiuk, Anna Hordyjewska and Łukasz Popiołek
Int. J. Mol. Sci. 2025, 26(22), 10980; https://doi.org/10.3390/ijms262210980 - 13 Nov 2025
Abstract
In the current research a series of new copper(II) complexes with novel acylhydrazone ligands were synthesized and their antibacterial and anticancer activities were determined. The complexes were characterized by molecular spectroscopy (FT-IR and UV-Vis) and conductivity measurements. Additionally, their structure was confirmed by [...] Read more.
In the current research a series of new copper(II) complexes with novel acylhydrazone ligands were synthesized and their antibacterial and anticancer activities were determined. The complexes were characterized by molecular spectroscopy (FT-IR and UV-Vis) and conductivity measurements. Additionally, their structure was confirmed by single-crystal X-ray analysis. The crystallographic data revealed that all compounds are mononuclear Cu(II) species. The Cu(II) ion is four-coordinated by the ONO donor set from mono-deprotonated hydrazone ligand and one Cl¯ anion, forming distorted square-planar geometry. The biological studies revealed that the compounds exhibit high antimicrobial activity, especially against Gram-positive bacteria, in some cases greater than the reference substances, and better activity than free ligands. The tested complexes possessed the lowest MIC and MBC values towards Staphylococcus epidermidis ATCC 12228 and Micrococcus luteus ATCC 10240. Furthermore, they showed no toxicity towards normal cell lines. Full article
(This article belongs to the Special Issue Antibacterial Activity of Novel Antimicrobial Agents)
Show Figures

Figure 1

18 pages, 1274 KB  
Article
Gene Expression Patterns in Lung Adenocarcinoma Cells in Response to Changes in Deuterium Concentration
by Gabor I. Csonka, András Papp, Ildikó Somlyai and Gábor Somlyai
Int. J. Mol. Sci. 2025, 26(22), 10969; https://doi.org/10.3390/ijms262210969 - 12 Nov 2025
Abstract
Deuterium, a stable isotope of hydrogen present in natural water at ~150 ppm, has been implicated in modulating cellular metabolism and tumor progression. While deuterium-depleted water (DDW) has shown anti-cancer effects in preclinical and clinical studies, the underlying transcriptional mechanisms remain incompletely defined. [...] Read more.
Deuterium, a stable isotope of hydrogen present in natural water at ~150 ppm, has been implicated in modulating cellular metabolism and tumor progression. While deuterium-depleted water (DDW) has shown anti-cancer effects in preclinical and clinical studies, the underlying transcriptional mechanisms remain incompletely defined. Here, we profiled gene expression in A549 lung adenocarcinoma cells cultured for 72 h in media containing four graded deuterium concentrations (40, 80, 150, and 300 ppm) using a targeted NanoString panel of 236 cancer-related genes. After stringent quality filtering, 87 genes were retained and classified into nine distinct expression patterns based on fold-change trends relative to the 150 ppm control. High deuterium (300 ppm) induced strong upregulation (up to 2.1-fold) of oncogenic and survival-related genes (e.g., EGFR, CTNNB1, STAT3, CD44), while DDW (40–80 ppm) led to selective downregulation (down to 0.58-fold) of oncogenes (e.g., MYCN, ETS2, IRF1) and drug-resistance genes (e.g., ABCB1). Se-veral genes involved in DNA repair, apoptosis, and extracellular matrix remodeling exhibited dose-dependent responses, suggesting coordinated regulation by deuterium abundance. These findings demonstrate that deuterium concentration functions as a biologically active variable capable of modulating cancer-relevant gene networks. This exploratory dataset refines mechanistic models of DDW action and provides a foundation for future studies incorporating biological replication, functional assays, and in vivo validation. Significance: Deuterium concentration modulation alters oncogenic, apoptotic, and drug-resistance gene networks in lung adenocarcinoma cells, refining prior models of deuterium-depleted water effects. These findings identify deuterium concentration as a biologically active variable warranting further mechanistic and translational investigation. Full article
(This article belongs to the Section Molecular Oncology)
Show Figures

Figure 1

10 pages, 425 KB  
Perspective
Anterior Cruciate Ligament Reconstruction Rehabilitation as a Complex Adaptive Process: From Control–Chaos to Actionable Return-to-Sport Decisions
by Georgios Kakavas, Nikoloaos Malliaropoulos and Florian Forelli
Bioengineering 2025, 12(11), 1229; https://doi.org/10.3390/bioengineering12111229 - 10 Nov 2025
Viewed by 123
Abstract
Rehabilitation after anterior cruciate ligament reconstruction cannot be reduced to a linear, time-based sequence of protection, strength, and return to sport. Persistent asymmetries, quadriceps inhibition, and variable re-injury rates highlight that recovery is a complex adaptive process in which outcomes emerge from dynamic [...] Read more.
Rehabilitation after anterior cruciate ligament reconstruction cannot be reduced to a linear, time-based sequence of protection, strength, and return to sport. Persistent asymmetries, quadriceps inhibition, and variable re-injury rates highlight that recovery is a complex adaptive process in which outcomes emerge from dynamic interactions between biological, neural, and psychological subsystems. Grounded in complexity science and chaos theory, this editorial reframes rehabilitation as the regulation of variability rather than its suppression. The Control–Chaos Continuum provides a practical structure to translate this concept into progressive exposure, where clinicians dose uncertainty as a therapeutic stimulus. Adaptive periodization replaces rigid stages with overlapping macro-blocks that respond to readiness, feedback, and context. Neuroplastic mechanisms and ecological dynamics justify the deliberate introduction of controlled “noise” to foster coordination, confidence, and resilience. Ultimately, the goal is not perfect control but stable performance under variability—the ability to function “at the edge of chaos.” This conceptual perspective articulates a clinically actionable framework—linking the Control–Chaos Continuum with adaptive periodization—to guide non-linear decision-making and safe return-to-sport. Full article
(This article belongs to the Special Issue Advances in Physical Therapy and Rehabilitation, 2nd Edition)
Show Figures

Figure 1

17 pages, 681 KB  
Article
Maternal and Environmental Drivers of Trace Mineral Dynamics in Camel Dams and Neonates Across Regions and Seasons in Saudi Arabia
by Mutassim M. Abdelrahman, Ibrahim A. Alhidary, Ahmad A. Aboragah, Mohammed M. Qaid, Mohammed A. Al-Badwi, Abdulkareem M. Matar, Mohsen M. Alobre, Ramzi A. Amran and Riyadh S. Aljumaah
Life 2025, 15(11), 1730; https://doi.org/10.3390/life15111730 - 10 Nov 2025
Viewed by 165
Abstract
Background: Dromedary camel in Saudi Arabia thrive across diverse desert ecosystems where trace minerals are vital for key physiological functions, yet data on how regional and seasonal factors affect these minerals in dams and neonates are limited. Aim: This study investigated the effects [...] Read more.
Background: Dromedary camel in Saudi Arabia thrive across diverse desert ecosystems where trace minerals are vital for key physiological functions, yet data on how regional and seasonal factors affect these minerals in dams and neonates are limited. Aim: This study investigated the effects of regional and seasonal variability on trace mineral status in dam serum (DS), dam milk (DM), and neonatal serum (NS) across major camel-rearing regions of Saudi Arabia. We hypothesized that environmental factors—particularly heat stress and local feed resources—drive regional and seasonal differences in mineral profiles and maternal–neonatal transfer. Methods: Samples of serum, milk, feed, water, and soil were collected from five major regions during three seasons. Concentrations of selenium (Se), zinc (Zn), copper (Cu), iron (Fe), manganese (Mn), and iodine (I) were quantified, and correlations among biological compartments were analyzed. Meteorological data were used to compute the temperature-humidity index (THI). Results: The THI ranged from thermoneutral levels in the Northern winter (17.4) to severe heat stress in Eastern summer (33.8). Milk minerals exhibited strong seasonal and regional effects, with selenium peaking in summer and zinc in spring. Western dams showed elevated iron and iodine, whereas northern dams had higher zinc. Serum minerals in dams varied moderately with season but differed regionally for zinc, selenium, and iron. Neonatal serum reflected maternal and regional influences, showing significant season-by-region interactions for selenium and iodine. Positive correlations indicated coordinated maternal–neonatal mineral transfer, particularly for selenium, iodine, and zinc. Feed represented the main environmental source of Cu and Se. In conclusion, camel trace mineral status is mainly driven by environmental factors but regulated through maternal transfer, with selenium and iodine emerging as key heat-stress markers supporting targeted, region- and season-specific supplementation to improve health and productivity in arid regions. Full article
(This article belongs to the Section Animal Science)
Show Figures

Figure 1

13 pages, 1438 KB  
Article
Cold Tolerance Differences Between the Widely Used Model S. lycopersicum Cultivars and the Wild Species S. lycopersicoides: Role of Fatty Acid Profile and CBF Genes
by Irina Milovskaya, Alexander Voronkov, Tatiana Ivanova, Vladimir Kuznetsov and Pavel Pashkovskiy
Horticulturae 2025, 11(11), 1342; https://doi.org/10.3390/horticulturae11111342 - 7 Nov 2025
Viewed by 214
Abstract
Late spring frosts and transient cold spells constrain tomato productivity. This study presents a comparative analysis of the chilling response of two Solanum lycopersicum cultivars, MoneyMaker (MM) and Micro-Tom (MT), and the wild relative S. lycopersicoides. The assessment integrated physiological parameters, such [...] Read more.
Late spring frosts and transient cold spells constrain tomato productivity. This study presents a comparative analysis of the chilling response of two Solanum lycopersicum cultivars, MoneyMaker (MM) and Micro-Tom (MT), and the wild relative S. lycopersicoides. The assessment integrated physiological parameters, such as electrolyte leakage and PSII efficiency, expression levels of CBF1–3 genes (via qPCR), and fatty acid composition dynamics of membrane lipids (via gas-liquid chromatography-mass spectrometry). The results revealed distinct response strategies. S. lycopersicoides exhibited comprehensive tolerance and was coordinated across biological levels. Its key mechanisms include superior membrane integrity, sustained PSII photochemical efficiency, stable upregulation of CBF genes (with predominant CBF3 induction), and consistently high α-linolenic acid content. This integration prevented membrane damage and sustained photosynthesis. Conversely, the MM cultivar displayed high sensitivity, characterized by transient CBF1 upregulation, an absence of adaptive lipid remodelling, rapid membrane damage, and severe photoinhibition, explaining its poor recovery. The MT genotype demonstrated an intermediate phenotype, featuring delayed but persistent CBF activation, and the partial lipid profile shifted toward the wild-type pattern, indicating a partial adaptive capacity for membrane adjustment. These findings establish S. lycopersicoides as a vital genetic resource for breeding cold-tolerant tomatoes, while MT provides a model for studying adaptation mechanisms in cultivated varieties. Full article
Show Figures

Figure 1

16 pages, 1066 KB  
Article
Explicit Preston’s Equation Describes the Geometries of Egg-Shaped Tomato Cultivars and Its Potential for Estimating the Volume and Surface Area
by Weiwei Huang and Jiaxin Tan
Plants 2025, 14(21), 3398; https://doi.org/10.3390/plants14213398 - 6 Nov 2025
Viewed by 221
Abstract
In nature, some tomato (Solanum lycopersicum) shapes appear to be ellipsoidal. This study aims to fit the ellipsoid tomato profile using explicit Preston’s equation (EPE), and calculate its volume (Vpred) and surface area (S) based on [...] Read more.
In nature, some tomato (Solanum lycopersicum) shapes appear to be ellipsoidal. This study aims to fit the ellipsoid tomato profile using explicit Preston’s equation (EPE), and calculate its volume (Vpred) and surface area (S) based on the estimated EPE’s parameters. This method offers low-cost and non-destructive advantages compared to three-dimensional (3D) scanning. A total of 917 tomatoes from three cultivars were photographed, and the two-dimensional (2D) boundary coordinates of each fruit profile were digitized and then fitted using EPE. The results demonstrated that the EPE effectively fitted the tomato 2D-profile, with truss tomato ranking highest, followed by cherry, and then Qianxi. A significant relationship was found between Vpred and observed volume (Vobs) at the cultivar level. The 95% confidence intervals for the slopes for cherry tomatoes include 1.0, and for Qianxi were close to 1.0, which confirmed that these two cultivars were solids of revolution. Additionally, for cherry and Qianxi tomato, S is proportional to the Vobs (i.e., SVobs0.62~0.63), Vpred is proportional to (LW2)0.73~0.74, and S is proportional to (LW2)0.49 (L is the length and W is the maximum width). For any isometrically scaling solid of revolution, the theoretical exponent of surface area to volume is exactly 2/3. The observed exponent of 0.62–0.63 is a biological reality, which reveals that evolution has shaped organisms not for geometric similarity, but for functional optimization. This study can be extended to a geometry study on other egg-shaped fruits and provides a potentially simple method for calculating volume and surface area based on photographed 2D fruit profiles. Full article
(This article belongs to the Section Plant Molecular Biology)
Show Figures

Figure 1

14 pages, 1071 KB  
Article
Molecular Basis for Stage-Specific Host Preference in the Aphid Parasitoid Binodoxys communis
by Tingfang Zhong, Cen Bai, Jinming Li, Li Wang, Kaixin Zhang, Dongyang Li, Jichao Ji, Xiangzhen Zhu, Xueke Gao and Weihua Ma
Insects 2025, 16(11), 1127; https://doi.org/10.3390/insects16111127 - 4 Nov 2025
Viewed by 382
Abstract
The cotton aphid Aphis gossypii is a globally significant agricultural pest that threatens crop production through its prolific reproduction. While the parasitoid wasp Binodoxys communis offers promising potential for biological control, the molecular mechanisms underlying its reproductive manipulation of aphid hosts remain poorly [...] Read more.
The cotton aphid Aphis gossypii is a globally significant agricultural pest that threatens crop production through its prolific reproduction. While the parasitoid wasp Binodoxys communis offers promising potential for biological control, the molecular mechanisms underlying its reproductive manipulation of aphid hosts remain poorly understood. Here, we investigated the stage-specific parasitism strategies of B. communis on A. gossypii using integrated biological observations and transcriptomic analysis. Parasitism significantly prolonged aphid development and suppressed reproduction across all host stages, with severity inversely correlated with host age at parasitism. Transcriptomic analysis of ovaries of parasitized aphids revealed 1168 differentially expressed genes, with temporal progression from minimal changes in nymphs (7 DEGs at day 1) to extensive disruption in adults (549 DEGs at day 3). Notably, juvenile hormone acid methyltransferase (JHAMT), the rate-limiting enzyme in juvenile hormone biosynthesis, emerged as a master regulator that is differentially targeted across host stages. In 3rd instar nymphs, single-gene suppression of JHAMT (−3.23-fold change) achieved effective reproductive control, whereas adult parasitism required progressive manipulation of multiple genes including JHAMT, FOHSDR, ALDH, and JHEH. The vitellogenin-vitellogenin receptor system only showed coordinated downregulation in adults, whereas nymphs exhibited preemptive receptor suppression before vitellogenesis onset. These findings demonstrate that B. communis has evolved to exploit a developmental window where host manipulation is most efficient—3rd instar nymphs, which possess sufficient resources for parasitoid development and lack the complex compensatory mechanisms found in adults. This “low-cost, high-reward” strategy based on precision targeting of master regulators in nymphs compared to multi-gene assault in adults, revealing the evolutionary optimization of parasitoid manipulation strategies. Our results provide molecular insights into parasitoid-host coevolution and identified key regulatory targets for developing innovative biological control strategies against this important agricultural pest. Full article
Show Figures

Graphical abstract

15 pages, 3210 KB  
Article
Isoform-Specific Transcriptomic Effects of miR-133A1, miR-133A2, and miR-133B in a Colorectal Cancer Cell Line
by Ji Su Mo and Youn Ho Han
Genes 2025, 16(11), 1322; https://doi.org/10.3390/genes16111322 - 3 Nov 2025
Viewed by 260
Abstract
Background: MicroRNA-133 (miR-133) has been implicated in diverse cancers as a tumor suppressor, yet the isoform-specific contributions of miR-133A1, miR-133A2, and miR-133B in colorectal cancer (CRC) remain unclear. Methods: We established stable colorectal cancer cell lines expressing each miR-133 [...] Read more.
Background: MicroRNA-133 (miR-133) has been implicated in diverse cancers as a tumor suppressor, yet the isoform-specific contributions of miR-133A1, miR-133A2, and miR-133B in colorectal cancer (CRC) remain unclear. Methods: We established stable colorectal cancer cell lines expressing each miR-133 isoform and performed isoform-level transcriptomic profiling. Differentially expressed genes (DEGs) were identified relative to parental cells and subjected to gene ontology (GO) and KEGG enrichment analyses. Comparative analyses highlighted both shared and distinct biological pathways regulated by each isoform. Results: Venn diagram and clustering analyses revealed that all three isoforms shared a core regulatory program, with 34 genes consistently upregulated and 195 genes downregulated across all isoforms, while also displaying isoform-specific DEGs. miR-133A1, miR-133A2, and miR-133B showed predominantly convergent transcriptional programs, with subtle quantitative differences observed primarily in KI133B. Heatmap analysis of representative genes confirmed both overlapping and isoform-specific expression changes, with survival- and proliferation-associated genes more strongly upregulated in miR-133A2 and miR-133B. Conclusion: These findings suggest that miR-133 isoforms exert both shared and subtly divergent regulatory functions in colorectal cancer, coordinating apoptosis, proliferation, migration, and signaling network modulation. Isoform-specific transcriptional regulation of miR-133 may contribute to tumor progression and represents a potential biomarker and therapeutic target in CRC. Full article
(This article belongs to the Section Bioinformatics)
Show Figures

Figure 1

17 pages, 1080 KB  
Review
Metal–Organic Frameworks for Enzyme Modulation in Protein Kinase and Phosphatase Regulation—Mechanisms and Biomedical Applications
by Azizah Alamro and Thanih Balbaied
Kinases Phosphatases 2025, 3(4), 21; https://doi.org/10.3390/kinasesphosphatases3040021 - 30 Oct 2025
Viewed by 310
Abstract
Metal–organic frameworks (MOFs) have been increasingly recognized as promising platforms for enzyme modulation, owing to their tunable porosity, high surface area, and versatile chemical functionality. In this review, the potential of MOFs for the inhibition and modulation of protein kinases and phosphatases—key regulators [...] Read more.
Metal–organic frameworks (MOFs) have been increasingly recognized as promising platforms for enzyme modulation, owing to their tunable porosity, high surface area, and versatile chemical functionality. In this review, the potential of MOFs for the inhibition and modulation of protein kinases and phosphatases—key regulators of cellular signaling and disease progression—is examined. The structural fundamentals of MOFs are outlined, followed by a discussion of common synthesis strategies, including solvothermal, microwave-assisted, sonochemical, and mechanochemical methods. Emphasis is placed on how synthesis conditions influence critical features such as particle size, crystallinity, surface chemistry, and functional group accessibility, all of which impact biological performance. Four primary mechanisms of MOF–enzyme interaction are discussed: surface adsorption, active site coordination, catalytic mimicry, and allosteric modulation. Each mechanism is linked to distinct physicochemical parameters, including pore size, surface charge, and metal node identity. Special focus is given to biologically relevant metal centers such as Zr4+, Ce4+, Cu2+, Fe3+, and Ti4+, which have been shown to contribute to both MOF stability and enzymatic inhibition through Lewis acid or redox-mediated mechanisms. Recent in vitro studies are reviewed, in which MOFs demonstrated selective inhibition of disease-relevant enzymes with minimal cytotoxicity. Despite these advancements, several limitations have been identified, including scalability challenges, limited physiological stability, and potential off-target effects. Strategies such as post-synthetic modification, green synthesis, and biomimetic surface functionalization are being explored to overcome these barriers. Through an integration of materials science, coordination chemistry, and molecular biology, this review aims to provide a comprehensive perspective on the rational design of MOFs for targeted enzyme inhibition in therapeutic contexts. Full article
Show Figures

Figure 1

25 pages, 1786 KB  
Review
Aflatoxins in Mexican Maize Systems: From Genetic Resources to Agroecological Resilience and Co-Occurrence with Fumonisins
by Carlos Muñoz-Zavala, Obed Solís-Martínez, Jessica Berenice Valencia-Luna, Kai Sonder, Ana María Hernández-Anguiano and Natalia Palacios-Rojas
Toxins 2025, 17(11), 531; https://doi.org/10.3390/toxins17110531 - 29 Oct 2025
Viewed by 665
Abstract
Aflatoxins (AFs) and fumonisins (FUMs) are among the most prevalent and toxic mycotoxins affecting maize production globally. In Mexico, their co-occurrence poses a significant public health concern, as maize is not only a dietary staple but also predominantly grown and consumed at the [...] Read more.
Aflatoxins (AFs) and fumonisins (FUMs) are among the most prevalent and toxic mycotoxins affecting maize production globally. In Mexico, their co-occurrence poses a significant public health concern, as maize is not only a dietary staple but also predominantly grown and consumed at the household level. This review examines the multifactorial nature of AFs and FUMs contamination in Mexican maize systems, considering the roles of maize germplasm, agricultural practices, environmental conditions, and soil microbiota. Maize landraces, well-adapted to diverse agroecological zones, exhibit potential resistance to AFs contamination and should be prioritized in breeding programs. Sustainable agricultural practices and biocontrol strategies, including the use of atoxigenic Aspergillus flavus strains, are presented as promising interventions. Environmental factors and soil characteristics further influence fungal proliferation and mycotoxin biosynthesis. Advances in microbiome engineering, biological breeding approaches, and predictive modeling offer novel opportunities for prevention and control. The synergistic toxicity of AFs and FUMs significantly increases health risks, particularly for liver cancer, highlighting the urgency of integrated mitigation strategies. While Mexico has regulatory limits for AFs, the lack of legal thresholds for FUMs remains a critical gap in food safety legislation. This comprehensive review underscores the need for biomarker-based exposure assessments and coordinated national policies, alongside multidisciplinary strategies to reduce mycotoxin exposure and enhance food safety in maize systems. Full article
Show Figures

Figure 1

18 pages, 1064 KB  
Systematic Review
Patient and Professional Perspectives on Long COVID: A Systematic Literature Review and Meta-Synthesis
by Sophia X. Sui and Lei Yu
Int. J. Environ. Res. Public Health 2025, 22(11), 1620; https://doi.org/10.3390/ijerph22111620 - 24 Oct 2025
Viewed by 668
Abstract
Background: Post-COVID-19 condition (‘long COVID’) involves fluctuating symptoms across multiple organ systems and disability or functional loss, which may be episodic, continuous, or permanent. Qualitative research is essential to capture lived experiences and explain how social and health system contexts may influence improvement, [...] Read more.
Background: Post-COVID-19 condition (‘long COVID’) involves fluctuating symptoms across multiple organ systems and disability or functional loss, which may be episodic, continuous, or permanent. Qualitative research is essential to capture lived experiences and explain how social and health system contexts may influence improvement, recovery, and service use. We synthesised perspectives from people living with long COVID and healthcare professionals to inform service design and policy. Methods: We conducted a systematic review and qualitative meta-synthesis. MEDLINE, Embase, PsycINFO, CINAHL, Scopus, and Web of Science were searched for studies published between 1 January 2020 and 19 August 2025. Eligible studies reported qualitative data from adults with long COVID (≥12 weeks after acute infection) and/or healthcare professionals in any setting. We excluded non-qualitative, non-primary, or non-English reports. Two reviewers independently screened, extracted, and appraised studies using the Critical Appraisal Skills Programme checklist. Data were synthesised thematically. The protocol was registered with the Open Science Framework. Findings: Of 1544 records screened, 49 studies met the inclusion criteria: 41 involving patients, two involving professionals, and six involving both. Eight patient themes (including symptom burden, identity disruption and stigma) and four professional themes (including recognition, care coordination and holistic care models) were identified. Recognition emerged as a cross-cutting mechanism: validation and consistent pacing guidance facilitated engagement and safer activity, whereas invalidation and inconsistent advice were associated with distress, avoidance, and disengagement. Trajectories showed gradual expansion of multidisciplinary care models, but major capacity and equity gaps persisted. Most studies had low methodological concerns, although heterogeneity in populations and settings was substantial. Interpretation: Long COVID is a chronic, biological condition that also intersects with social and psychological dimensions, and may present with episodic, continuous, or progressive trajectories. Healthcare services must prioritise early validation, provide consistent pacing and relapse prevention guidance, expand access to multidisciplinary and peer-supported rehabilitation, integrate mental healthcare, strengthen coordinated pathways, and support graded return to work. Explicit attention to equity is required to avoid widening disparities. Full article
(This article belongs to the Special Issue Long COVID-19 and Its Impact on Public Health)
Show Figures

Figure 1

41 pages, 5418 KB  
Review
Advancements and Prospects of Metal-Organic Framework-Based Fluorescent Sensors
by Yuan Zhang, Chen Li, Meifeng Jiang, Yuan Liu and Zongbao Sun
Biosensors 2025, 15(11), 709; https://doi.org/10.3390/bios15110709 - 24 Oct 2025
Viewed by 1074
Abstract
Metal-organic frameworks (MOFs), a class of crystalline porous materials featuring a high specific surface area, tunable pore structures, and functional surfaces, exhibit remarkable potential in fluorescent sensing. This review systematically summarizes recent advances in the construction strategies, sensing mechanisms, and applications of MOF-based [...] Read more.
Metal-organic frameworks (MOFs), a class of crystalline porous materials featuring a high specific surface area, tunable pore structures, and functional surfaces, exhibit remarkable potential in fluorescent sensing. This review systematically summarizes recent advances in the construction strategies, sensing mechanisms, and applications of MOF-based fluorescent sensors. It begins by highlighting the diverse degradation pathways that MOFs encounter in practical applications, including hydrolysis, acid/base attack, ligand displacement by coordinating anions, photodegradation, redox processes, and biofouling, followed by a detailed discussion of corresponding stabilization strategies. Subsequently, the review elaborates on the construction of sensors based on individual MOFs and their composites with metal nanomaterials, MOF-on-MOF heterostructures, covalent organic frameworks (COFs), quantum dots (QDs), and fluorescent dyes, emphasizing the synergistic effects of composite structures in enhancing sensor performance. Furthermore, key sensing mechanisms such as fluorescence quenching, fluorescence enhancement, Stokes shift, and multi-mechanism coupling are thoroughly examined, with examples provided of their application in detecting biological analytes, environmental pollutants, and food contaminants. Finally, future directions for MOF-based fluorescent sensors in food safety, environmental monitoring, and clinical diagnostics are outlined, pointing to the development of high-performance, low-cost MOFs; the integration of multi-technology platforms; and the construction of intelligent sensing systems as key to enabling their practical deployment and commercialization. Full article
(This article belongs to the Section Biosensor Materials)
Show Figures

Figure 1

20 pages, 2618 KB  
Article
TBC-HRL: A Bio-Inspired Framework for Stable and Interpretable Hierarchical Reinforcement Learning
by Zepei Li, Yuhan Shan and Hongwei Mo
Biomimetics 2025, 10(11), 715; https://doi.org/10.3390/biomimetics10110715 - 22 Oct 2025
Viewed by 466
Abstract
Hierarchical Reinforcement Learning (HRL) is effective for long-horizon and sparse-reward tasks by decomposing complex decision processes, but its real-world application remains limited due to instability between levels, inefficient subgoal scheduling, delayed responses, and poor interpretability. To address these challenges, we propose Timed and [...] Read more.
Hierarchical Reinforcement Learning (HRL) is effective for long-horizon and sparse-reward tasks by decomposing complex decision processes, but its real-world application remains limited due to instability between levels, inefficient subgoal scheduling, delayed responses, and poor interpretability. To address these challenges, we propose Timed and Bionic Circuit Hierarchical Reinforcement Learning (TBC-HRL), a biologically inspired framework that integrates two mechanisms. First, a timed subgoal scheduling strategy assigns a fixed execution duration τ to each subgoal, mimicking rhythmic action patterns in animal behavior to improve inter-level coordination and maintain goal consistency. Second, a Neuro-Dynamic Bionic Circuit Network (NDBCNet), inspired by the neural circuitry of C. elegans, replaces conventional fully connected networks in the low-level controller. Featuring sparse connectivity, continuous-time dynamics, and adaptive responses, NDBCNet models temporal dependencies more effectively while offering improved interpretability and reduced computational overhead, making it suitable for resource-constrained platforms. Experiments across six dynamic and complex simulated tasks show that TBC-HRL consistently improves policy stability, action precision, and adaptability compared with traditional HRL, demonstrating the practical value and future potential of biologically inspired structures in intelligent control systems. Full article
(This article belongs to the Section Bioinspired Sensorics, Information Processing and Control)
Show Figures

Figure 1

32 pages, 6119 KB  
Review
The Brown Bear and Hibernating Mammals as a Translational Model for Human Resilience: Insights for Space Medicine, Critical Care, and Austere Environments
by Jainam Shah, Ryung Lee, Sachin Pathuri, Jason Zheng, Joshua Ong, Alex Suh, Kimia Rezaei, Gagandeep Mudhar, Andrew D. Parsons, Jaewoo Park and Andrew G. Lee
Biology 2025, 14(10), 1434; https://doi.org/10.3390/biology14101434 - 17 Oct 2025
Viewed by 836
Abstract
Long-term spaceflight induces multisystem stress, including cardiovascular deconditioning, skeletal muscle atrophy, immune suppression, and neuro-ocular syndromes. Current countermeasures reduce symptoms but cannot replicate the synergistic resilience needed for extended missions or critical illness. Hibernating animals, specifically brown bears (Ursus arctos), survive [...] Read more.
Long-term spaceflight induces multisystem stress, including cardiovascular deconditioning, skeletal muscle atrophy, immune suppression, and neuro-ocular syndromes. Current countermeasures reduce symptoms but cannot replicate the synergistic resilience needed for extended missions or critical illness. Hibernating animals, specifically brown bears (Ursus arctos), survive prolonged immobility, starvation, and bradycardia without resultant pathology. This review incorporates adaptations observed in bears and certain torpid species, including reversible insulin resistance, suppression of muscle atrophy genes MuRF1 and Atrogin-1, and maintenance of the heart despite seasonal production decline. The thirteen-lined ground squirrels (Ictidomys tridecemlineatus) maintain retinal structure and synaptic stability throughout torpor, avoiding neuro-ocular complications despite prolonged inactivity. Mechanisms span from RBM3-dependent synaptic maintenance, titin isoform remodeling under the control of RBM20, mTOR and FOXO pathway regulation, remodeled hydrogen sulfide metabolism, and microbiome-mediated nitrogen salvage. These adaptations are different from human adaptation to microgravity and disuse and offer translational candidates for synthetic torpor, probiotic engineering, neuroprotection, and protein-sparing therapy. Hibernators are not passive stress subjects; they perform coordinated anticipatory responses in multiple organs. Comparing these systems in large and small hibernators, we aim to uncover a biologically realistic path to human resilience. These findings guide a shift from reactive, pharmacological measures for preserving human health during space flight, intensive care, and extreme environments towards proactive, biologically initiated measures. Full article
(This article belongs to the Section Physiology)
Show Figures

Figure 1

20 pages, 4116 KB  
Article
Stability Matters: Revealing Causal Roles of G-Quadruplexes (G4s) in Regulation of Chromatin and Transcription
by Ke Xiao, Rongxin Zhang, Tiantong Tao, Huiling Shu, Hao Huang, Xiao Sun and Jing Tu
Genes 2025, 16(10), 1231; https://doi.org/10.3390/genes16101231 - 17 Oct 2025
Viewed by 556
Abstract
Background: G-quadruplexes (G4s) are non-canonical higher-order nucleic acid structures that form at guanine-rich motifs, with features spanning both secondary and tertiary structural levels. These dynamic structures play pivotal roles in diverse cellular processes. Endogenous G4s (eG4s) function through their dynamically formed structures, prompting [...] Read more.
Background: G-quadruplexes (G4s) are non-canonical higher-order nucleic acid structures that form at guanine-rich motifs, with features spanning both secondary and tertiary structural levels. These dynamic structures play pivotal roles in diverse cellular processes. Endogenous G4s (eG4s) function through their dynamically formed structures, prompting the hypothesis that their thermostability, as a key structural property, may critically influence their functionality. This study investigates the relationship between G4 stability and other functional genomic signals within eG4 regions and examines its broader impact on chromatin organization and transcriptional regulation. Methods: We developed a mapping strategy to associate in vitro-derived thermostability metrics and multi-omics functional signals with eG4 regions. A stability-centric analytical framework combining correlation analysis and causal inference using the Bayesian networks was applied to decipher causal relationships between G4 stability and the other related signals. We further analyzed the association between the stability of transcription start site (TSS)-proximal eG4s and the biological functions of their downstream genes. Results: Our analyses demonstrate that G4 thermostability exerts causal effects on epigenetic states and transcription factor binding, thereby influencing chromatin and transcription regulation. We further show distinct network architectures for G4-binding versus non-binding transcription factors. Additionally, we find that TSS-proximal eG4s are enriched in genes involved in core proliferation and stress-response pathways, suggesting that eG4s may serve as regulatory elements facilitating rapid stress responses through genome-wide coordination. Conclusions: These findings establish thermostability—though measured in vitro—as an intrinsic property that shapes eG4 functionality. Our study not only provides novel insights into the functional relevance of G4 thermostability but also introduces a generalizable framework for high-throughput G4 data interpretation, significantly advancing the functional decoding of eG4s across biological contexts. Full article
(This article belongs to the Section Molecular Genetics and Genomics)
Show Figures

Figure 1

Back to TopTop