Copper(II) Complexes of Selected Acylhydrazones as Potential Biological Agents
Abstract
1. Introduction
2. Results and Discussion
2.1. Chemistry
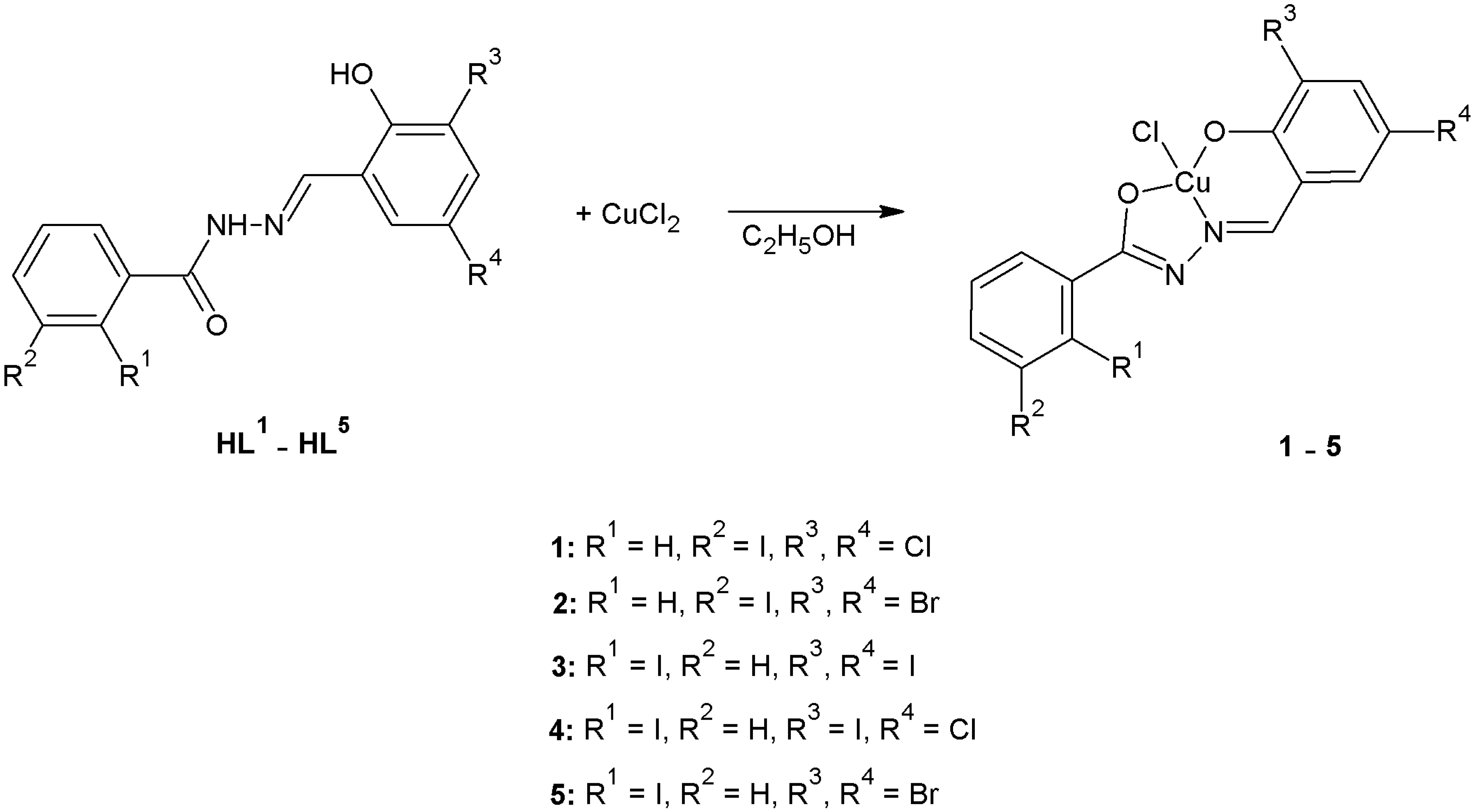
2.1.1. Synthesis and Chemical Characterization of Obtained Complexes
2.1.2. Conductivity Measurements
2.1.3. UV-Vis Spectroscopy
2.1.4. X-Ray Crystallography
2.2. Microbiology
2.3. Cytotoxicity Study
- (1)
- High molecular weight, which makes it difficult for them to penetrate the cell membrane into the cell;
- (2)
- Different chemical structure compared with other compounds, e.g., a different type of substituents in the rings and general number of rings;
- (3)
- The lack of sensitivity of the tested cell lines to complexes 1–5, perhaps other cancer lines should be tested.
3. Materials and Methods
3.1. Chemistry
3.2. Synthesis and Chemical Characterization
3.3. Crystal Structure Determination
3.4. Microbiology
In Vitro Antimicrobial Assay
3.5. Cytotoxicity Study
3.5.1. Description of Cell Lines
3.5.2. MTT Analysis
4. Conclusions
Supplementary Materials
Author Contributions
Funding
Institutional Review Board Statement
Informed Consent Statement
Data Availability Statement
Conflicts of Interest
References
- Mohanty, H.; Pachpute, S.; Yadav, R.P. Mechanism of drug resistance in bacteria: Efflux pump modulation for designing of new antibiotic enhancers. Folia Microbiol. 2021, 66, 727–739. [Google Scholar] [CrossRef]
- Munita, J.M.; Arias, C.A. Mechanisms of Antibiotic Resistance. Microbiol. Spectr. 2016, 4, 464–473. [Google Scholar] [CrossRef]
- Vineetha, M.C.; Sithambaresan, M.; Nair, Y.S.; Prathapachandra Kurup, M.R. Structural investigation of discrete solvent protonated vanadium and other transition metal complexes of N′-[(E)-(3-ethoxy-2-hydroxyphenyl)methylidene]benzohydrazide, synthetic, spectroscopic and cytotoxicity studies. Inorg. Chim. Acta 2019, 491, 93–104. [Google Scholar] [CrossRef]
- Popiołek, Ł. Hydrazide-hydrazones as potential antimicrobial agents: Overview of the literature since 2010. Med. Chem. Res. 2017, 26, 287–301. [Google Scholar] [CrossRef]
- Popiołek, Ł. Updated information on antimicrobial activity of hydrazide-hydrazones. Int. J. Mol. Sci. 2021, 22, 9389. [Google Scholar] [CrossRef] [PubMed]
- Czyżewska, I.; Mazur, L.; Biernasiuk, A.; Hordyjewska, A.; Popiołek, Ł. Synthesis, Structural Properties and Biological Activities of Novel Hydrazones of 2-, 3-, 4-Iodobenzoic Acid. Molecules 2024, 29, 3814. [Google Scholar] [CrossRef]
- Czyżewska, I.; Mazur, L.; Biernasiuk, A.; Hordyjewska, A.; Popiołek, Ł. Novel derivatives of nicotinic acid: Synthesis, crystal structure, antimicrobial activity and cytotoxicity. Chem. Biodivers. 2025, 22, e202500264. [Google Scholar] [CrossRef] [PubMed]
- Salian, A.R.; Foro, S.; Gowda, B.T. Crystal structures and the Hirshfeld surface analysis of (E)-4-nitro-N′-(o-chloro, o- and p-methyl-benzyl-idene)benzene-sulfono-hydrazides. Acta Crystallogr. Sect. E Crystallogr. Commun. 2018, 74, 1710–1716. [Google Scholar] [CrossRef]
- Cordeiro, R.d.A.; de Melo, C.V.; Marques, F.J.; Serpa, R.; Evangelista, A.J.; Caetano, E.P.; Mafezoli, J.; Oliveira, M.d.C.F.d.; da Silva, M.R.; Bandeira, T.d.J.P.G.; et al. Synthesis and in vitro antifungal activity of isoniazid-derived hydrazones against Coccidioides posadasii. Microb. Pathog. 2016, 98, 1–5. [Google Scholar] [CrossRef]
- Teneva, Y.; Simeonova, R.; Valcheva, V.; Angelova, V.T. Recent Advances in Anti-Tuberculosis Drug Discovery Based on Hydrazide-Hydrazone and Thiadiazole Derivatives Targeting InhA. Pharmaceuticals 2023, 16, 484. [Google Scholar] [CrossRef]
- Czyżewska, I.; Mazur, L.; Popiołek, Ł. Transition metal complexes of hydrazones as potential antimicrobial and anticancer agents: A short review. Chem. Biol. Drug Des. 2024, 104, e14590. [Google Scholar] [CrossRef] [PubMed]
- Tafere, D.A.; Gebrezgiabher, M.; Elemo, F.; Sani, T.; Atisme, T.B.; Ashebr, T.G.; Ahmed, I.N. Hydrazones, hydrazones-based coinage metal complexes, and their biological applications. RSC Adv. 2025, 15, 6191–6207. [Google Scholar] [CrossRef] [PubMed]
- Leszek, J.; Trypka, E.; Tarasov, V.V.; Ashraf, G.M.; Aliev, G. Type 3 diabetes mellitus: A novel implication of Alzheimers disease. Curr. Top. Med. Chem. 2017, 17, 1331–1335. [Google Scholar] [CrossRef]
- Bikas, R.; Ghorbanloo, M.; Sasani, R.; Pantenburg, I.; Meyer, G. Manganese(II) complexes of hydrazone based NNO-donor ligands and their catalytic activity in the oxidation of olefins. J. Coord. Chem. 2017, 70, 819–830. [Google Scholar] [CrossRef]
- Mathew, N.; Sithambaresan, M.; Kurup, M.R. Spectral studies of copper(II) complexes of tridentate acylhydrazone ligands with heterocyclic compounds as coligands: X-ray crystal structure of one acylhydrazone copper(II) complex. Spectrochim. Acta A Mol. Biomol. Spectrosc. 2011, 79, 1154–1161. [Google Scholar] [CrossRef]
- Aboafia, S.A.; Elsayed, S.A.; El-Sayed, A.K.A.; El-Hendawy, A.M. New transition metal complexes of 2,4-dihydroxybenzaldehyde benzoylhydrazone Schiff base (H 2 dhbh): Synthesis, spectroscopic characterization, DNA binding/cleavage and antioxidant activity. J. Mol. Struct. 2018, 1158, 39–50. [Google Scholar] [CrossRef]
- Wu, Y.; Wu, D.; Lan, K.; Li, A.; Hou, L.; Xu, Y.; Gou, Y. Assessment of Mononuclear/Dinuclear copper acylhydrazone complexes for lung cancer treatment. Bioorg. Chem. 2024, 144, 107122. [Google Scholar] [CrossRef]
- Mondal, S.; Pakhira, B.; Blake, A.J.; Drew, M.G.B.; Chattopadhyay, S.K. Co(III) and Ni(II) complexes of an anthracene appended aroyl hydrazone: Synthesis, crystal structures, DNA binding and catecholase activity. Polyhedron 2016, 117, 327–337. [Google Scholar] [CrossRef]
- Qin, J.; Zhao, S.-S.; Liu, Y.P.; Man, Z.W.; Wang, P.; Wang, L.N.; Xu, Y.; Zhu, H.L. Preparations, characterization, and biological features of mononuclear Cu(II) complexes based on hydrazone ligands. Bioorg. Med. Chem. Lett. 2016, 26, 4925–4929. [Google Scholar] [CrossRef]
- Burgos-López, Y.; Balsa, L.M.; Piro, O.E.; León, I.E.; García-Tojal, J.; Echeverría, G.A.; González-Baró, A.C.; Parajón-Costa, B.S. Tridentate acylhydrazone copper(II) complexes with heterocyclic bases as coligands. Synthesis, spectroscopic studies, crystal structure and cytotoxicity assays. Polyherdon 2022, 213, 115621. [Google Scholar] [CrossRef]
- Meshram, U.P.; Pethe, G.B.; Yaul, A.R.; Khobragade, B.G.; Narwade, M.L. Studies in stability constants of schiff base hydrazone complexes with transition metal ions. Effect of ligand on seed germination. Russ. J. Phys. Chem. A 2017, 91, 1877–1882. [Google Scholar] [CrossRef]
- Tang, D.; Kroemer, G.; Kang, R. Targeting cuproplasia and cuproptosis in cancer. Nat. Rev. Clin. Oncol. 2024, 21, 370–388. [Google Scholar] [CrossRef] [PubMed]
- Kumar, N.; Kaushal, R.; Awasthi, P. Transition Metal Complexes as Antibacterial Agents: An Overview. J. Fluoresc. 2025, 24, 1–7. [Google Scholar] [CrossRef]
- Möhler, J.S.; Kolmar, T.; Synnatschke, K.; Hergert, M.; Wilson, L.A.; Ramu, S.; Elliott, A.G.; Blaskovich, M.A.; Sidjabat, H.E.; Paterson, D.L.; et al. Enhancement of antibiotic-activity through complexation with metal ions—Combined ITC, NMR, enzymatic and biological studies. J. Inorg. Biochem. 2017, 167, 134–141. [Google Scholar] [CrossRef]
- Eben, S.S.; Imlay, J.A. Excess copper catalyzes protein disulfide bond formation in the bacterial periplasm but not in the cytoplasm. Mol. Microbiol. 2023, 119, 423–438. [Google Scholar] [CrossRef]
- Singh, Y.P.; Patel, R.N.; Singh, Y.; Butcher, R.J.; Vishakarma, P.K.; Bhubon Singh, R.K. Structure and antioxidant superoxide dismutase activity of copper(II) hydrazone complexes. Polyhedron 2017, 122, 1–15. [Google Scholar] [CrossRef]
- Xu, G.; Tang, B.; Gu, L.; Zhou, P.; Li, H. Open coordination sites-induced structural diversity of a new series of Cu(II) complexes with tridentate aroylhydrazone Schiff base. J. Mol. Struct. 2016, 1120, 205–214. [Google Scholar] [CrossRef]
- Aruffo, A.A.; Murphy, T.B.; Johnson, D.K.; Rose, N.J.; Schomaker, V. Structures of cis-dichloro(methanol)(salicylaldehyde benzoylhydrazonato)iron(III), [FeCl2(C14H11N2O2) (CH4O)], and chloro(salicylaldehyde benzoylhydrazonato)copper(II) monohydrate, [CuCl(C14H11N2O2)].H2O. Acta Crystallogr. Sect. C Cryst. Struct. Commun. 1984, 40, 1164–1169. [Google Scholar] [CrossRef]
- Sutradhar, M.; Alegria, E.C.B.A.; Guedes da Silva, M.F.C.; Martins, L.M.D.R.S.; Pombeiro, A.J.L. Aroylhydrazone Cu(II) Complexes in keto Form: Structural Characterization and Catalytic Activity towards Cyclohexane Oxidation. Molecules 2016, 21, 425. [Google Scholar] [CrossRef]
- Badiger, D.S.; Hunoor, R.S.; Patil, B.R.; Vadavi, R.S.; Mangannavar, C.V.; Muchchandi, I.S.; Patil, Y.; Nethaji, M.; Gudasi, K.B. Synthesis, spectroscopic properties and biological evaluation of transition metal complexes of salicylhydrazone of anthranilhydrazide: X-ray crystal structure of copper complex. Inorg. Chim. Acta 2012, 384, 197–203. [Google Scholar] [CrossRef]
- Chew, S.T.; Lo, K.M.; Lee, S.K.; Heng, M.P.; Teoh, W.Y.; Sim, K.S.; Tan, K.W. Copper complexes with phosphonium containing hydrazone ligand: Topoisomerase inhibition and cytotoxicity study. Eur. J. Med. Chem. 2014, 76, 397–407. [Google Scholar] [CrossRef]
- Pan, L.; Wang, C.; Yan, K.; Zhao, K.; Sheng, G.; Zhu, H.; Zhao, X.; Qu, D.; Niu, F.; You, Z. Synthesis, structures and Helicobacter pylori urease inhibitory activity of copper(II) complexes with tridentate aroylhydrazone ligands. J. Inorg. Biochem. 2016, 159, 22–28. [Google Scholar] [CrossRef]
- Chew, S.T.; Lo, K.M.; Sinniah, S.K.; Sim, K.S.; Tan, K.W. Synthesis, characterization and biological evaluation of cationic hydrazone copper complexes with diverse diimine co-ligands. RSC Adv. 2014, 4, 106. [Google Scholar] [CrossRef]
- Rahmatpour, F.; Kosari, M.; Monadi, N. Catalytic performance of copper(II) Schiff base complex immobilized on Fe3O4 nanoparticles in synthesis of 2-amino-4H-benzo[h] chromenes and reduction of 4-nitrophenol. J. Mol. Struct. 2022, 1253, 132102. [Google Scholar] [CrossRef]
- Desiraju, G.R.; Ho, P.S.; Kloo, L.; Legon, A.C.; Marquardt, R.; Metrangolo, P.; Politzer, P.; Resnati, G.; Rissanen, K. Definition of the Halogen Bond (IUPAC Recommendations 2013). Pure Appl. Chem. 2013, 85, 1711–1713. [Google Scholar] [CrossRef]
- Cavallo, G.; Metrangolo, P.; Milani, R.; Pilati, T.; Priimagi, A.; Resnati, G.; Terraneo, G. The Halogen Bond. Chem. Rev. 2016, 116, 2478–2601. [Google Scholar] [CrossRef]
- Alam, M.S.; Lee, D.U. Hydrazide-hydrazones as Small Molecule Tropomyosin Receptor Kinase A (TRKA) Inhibitors: Synthesis, Anticancer Activities, In silico ADME and Molecular Docking Studies. Med. Chem. 2022, 19, 47–63. [Google Scholar] [CrossRef]
- Han, M.İ.; İmamoğlu, N. Design, Synthesis, and Anticancer Evaluation of Novel Tetracaine Hydrazide-Hydrazones. ACS Omega 2023, 8, 9198–9211. [Google Scholar] [CrossRef]
- Horchani, M.; Della Sala, G.; Caso, A.; D’Aria, F.; Esposito, G.; Laurenzana, I.; Giancola, C.; Costantino, V.; Jannet, H.B.; Romdhane, A. Molecular Docking and Biophysical Studies for Antiproliferative Assessment of Synthetic Pyrazolo-Pyrimidinones Tethered with Hydrazide-Hydrazones. Int. J. Mol. Sci. 2021, 22, 2742. [Google Scholar] [CrossRef] [PubMed]
- CrysAlisPRO Software System, versions 1.171.39.46, 1.171.40.45a, 1.171.41.123a; Rigaku: Oxford, UK, 2016.
- Sheldrick, G.M. SHELXT—Integrated space-group and crystal-structure determination. Acta Crystallogr. Sect. A 2015, 71, 3–8. [Google Scholar] [CrossRef]
- Sheldrick, G.M. Crystal structure refinement with SHELXL. Acta Crystallogr. Sect. C 2015, 71, 3–8. [Google Scholar] [CrossRef] [PubMed]
- Macrae, C.F.; Sovago, I.; Cottrell, S.J.; Galek, P.T.A.; McCabe, P.; Pidcock, E.; Platings, M.; Shields, G.P.; Stevens, J.S.; Towler, M.; et al. Mercury 4.0: From visualization to analysis, design and prediction. J. Appl. Crystallogr. 2020, 53, 226–235. [Google Scholar] [CrossRef] [PubMed]
- European Committee for Antimicrobial Susceptibility Testing (EUCAST). Determination of minimum inhibitory concentrations (MICs) of antibacterial agents by broth dilution. Clin. Microbiol. Infect. 2003, 9, 9–15. [Google Scholar] [CrossRef]
- M27-S4; Reference Method for Broth Dilution Antifungal Susceptibility Testing of Yeasts. Clinical and Laboratory Standards Institute: Wayne, PA, USA, 2012.
- Biernasiuk, A.; Kawczyńska, M.; Berecka-Rycerz, A.; Rosada, B.; Gumieniczek, A.; Malm, A.; Dzitko, K.; Łączkowski, K.Z. Synthesis, antimicrobial activity, and determination of the lipophilicity of ((cyclohex-3-enylmethylene)hydrazinyl)thiazole derivatives. Med. Chem. Res. 2019, 28, 2023–2036. [Google Scholar] [CrossRef]
- Wiegand, I.; Hilpert, K.; Hancock, R.E.W. Agar and broth dilution methods to determine the minimal inhibitory concentration (MIC) of antimicrobial substances. Nat. Protoc. 2008, 3, 163–175. [Google Scholar] [CrossRef]
- O’Donnell, F.; Smyth, T.J.; Ramachandran, V.N.; Smyth, W.F. A study of the antimicrobial activity of selected synthetic and naturally occurring quinolines. Int. J. Antimicrob. Agents 2010, 35, 30–38. [Google Scholar] [CrossRef]




| Crystal Structure | 1 | 3 | 4 | 5 |
|---|---|---|---|---|
| Chemical formula | C14H8N2O2ICl3Cu | C14H8N2O2I3ClCu | C14H8N2O2I2Cl2Cu ·0.5C2H5OH | C14H8N2O2IBr2ClCu |
| Formula weight | 533.01 | 715.91 | 647.50 | 621.93 |
| T/K | 293(2) | 293(2) | 293(2) | 293(2) |
| λ/Å | 1.54184 | 1.54184 | 1.54184 | 0.71073 |
| Crystal system | monoclinic | monoclinic | monoclinic | monoclinic |
| Space group | Pc | P21/c | I2/a | P21/c |
| a/Å | 15.690(2) | 10.1414(1) | 12.2206(5) | 9.913(1) |
| b/Å | 4.1591(6) | 14.4435(1) | 15.5845(5) | 14.177(1) |
| c/Å | 12.466(1) | 12.5537(2) | 20.2814(7) | 12.556(1) |
| β/° | 92.26(1) | 107.375(1) | 97.883(3) | 108.20(1) |
| V/Å3 | 812.9(2) | 1754.93(4) | 3826.1(2) | 1676.4(3) |
| Z/Z’ | 2/1 | 4/1 | 8/1 | 4/1 |
| dcalc/g·cm−3 | 2.178 | 2.71 | 2.248 | 2.464 |
| Θ range/° | 5.64–68.53 | 4.57–68.03 | 4.40–68.11 | 2.60–25.03 |
| µ/mm−1 | 21.433 | 44.681 | 29.651 | 8.079 |
| Crystal size/mm3 | 0.18 × 0.07 × 0.02 | 0.32 × 0.14 × 0.03 | 0.36 × 0.17 × 0.08 | 0.35 × 0.14 × 0.02 |
| Crystal color and form | green plate | green plate | green block | green plate |
| Rint | 0.092 | 0.088 | 0.033 | 0.084 |
| Refl. coll./unique | 8400/2596 | 19250/3172 | 12498/3461 | 10652/2948 |
| Refl. with I > 2σ(I) | 1767 | 3050 | 3045 | 1730 |
| Param./restraints | 208/2 | 212/0 | 235/0 | 208/0 |
| R1; wR2 [I > 2σ(I)] | 0.0678; 0.1671 | 0.0458; 0.1248 | 0.0396; 0.1132 | 0.0955; 0.2502 |
| R1; wR2 [all data] | 0.1027; 0.1964 | 0.0467; 0.1257 | 0.0442; 0.1164 | 0.1494; 0.2957 |
| GooF on F2 | 1.066 | 1.059 | 1.04 | 1.039 |
| ρmin; ρmax/e·Å−3 | −1.20/1.14 | −1.60/1.53 | −1.28/0.78 | −2.12/1.00 |
| CCDC No. | 2446890 | 2446891 | 2446892 | 2446893 |
| Species | MIC (MBC or MFC) [µg/mL] and {MBC/MIC or MFC/MIC} Values of the Studied Complexes and Positive Controls | |||||||||
|---|---|---|---|---|---|---|---|---|---|---|
| 1 | 2 | 3 | 4 | 5 | CIP/VA * NY ** | NIT | CFX | APC | ||
| Gram-positive bacteria | Staphylococcus aureus ATCC 25923 | 7.81 (7.81) {1} | 15.62 (15.62) {1} | 15.62 (31.25) {2} | 3.91 (3.91) {1} | 7.81 (15.62) {2} | 0.48 (0.48) {1} | 15.62 (15.62) | 0.49 | nd |
| Staphylococcus aureus ATCC 29213 | 15.62 (15.62) {1} | 15.62 (31.25) {2} | 15.62 (31.25) {2} | 7.81 (15.62) {2} | 15.62 (15.62) {1} | 0.48 (0.48) {1} | nd | nd | nd | |
| Staphylococcus aureus ATCC 6538 | 7.81 (7.81) {1} | 15.62 (31.25) {2} | 15.62 (31.25) {2} | 15.62 (15.62) {1} | 15.62 (31.25) {2} | 0.24 (0.24) {1} | nd | nd | nd | |
| Staphylococcus aureus ATCC 43300 | 7.81 (15.62) {2} | 15.62 (62.5) {4} | 15.62 (62.5) {4} | 7.81 (7.81) {1} | 15.62 (15.62) {1} | 0.24 (0.24) {1} | 7.81 | nd | nd | |
| Staphylococcus epidermidis ATCC 12228 | 1.95 (3.91) {2} | 1.95 (3.91) {2} | 3.91 (15.62) {4} | 3.91 (7.81) {2} | 7.81 (15.62) {2} | 0.12 (0.12) {1} | 3.91 (7.81) | 0.24 | nd | |
| Enterococcus faecalis ATCC 29212 | 3.91 (7.81) {2} | 3.91 (15.62) {4} | 15.62 (62.5) {4} | 7.81 (15.62) {2} | 15.62 (31.25) {2} | 0.98 * (1.95) {2} | nd | nd | nd | |
| Micrococcus luteus ATCC 10240 | 0.98 (1.95) {2} | 0.98 (1.95) {2} | 3.91 (15.62) {4} | 3.91 (3.91) {1} | 7.81 (7.81) {1} | 0.98 (1.95) {2} | 62.5 (62.5) | 0.98 | nd | |
| Bacillus subtilis ATCC 6633 | 3.91 (3.91) {1} | 7.81 (7.81) {1} | 15.62 (15.62) {1} | 15.62 (15.62) {1} | 15.62 (15.62) {1} | 0.03 (0.03) {1} | 3.91 (3.91) | 15.62 | 62.5 | |
| Bacillus cereus ATCC 10876 | 3.91 (15.62) {4} | 7.81 (31.25) {4} | 15.62 (62.5) {4} | 7.81 (31.25) {4} | 7.81 (15.62) {2} | 0.06 (0.12) {2} | 7.81 (15.62) | 31.25 | nd | |
| Gram-negative bacteria | Klebsiella pneumoniae ATCC 13883 | 1000 (>1000) {>1} | - | - | - | - | 0.12 (0.24) {2} | 15.62 | nd | nd |
| Proteus mirabilis ATCC 12453 | 1000 (>1000) {>1} | 1000 (>1000) {>1} | - | - | - | 0.03 (0.03) {1) | 62.5 | nd | nd | |
| Escherichia coli ATCC 25922 | - | - | - | - | - | 0.06 (0.06) {1} | 7.81 | nd | nd | |
| Salmonella typhimurium ATCC 14028 | 1000 (>1000) {>1} | 1000 (>1000) {>1} | - | - | - | 0.004 (0.008) {2} | 31.25 | nd | nd | |
| Pseudomonas aeruginosa ATCC 9027 | - | - | - | - | - | 0.48 (0.98) {2} | nd | nd | nd | |
| Fungi | Candida albicans ATCC 10231 | 500 (500) {1} | 500 (500) {1} | 500 (500) {1} | 250 (250) {1} | 250 (500) {1} | 0.48 * (0.48) {1} | na | na | na |
| Candida albicans ATCC 2091 | 125 (500) {4} | 250 (1000) {4} | 500 (1000) {2} | 500 (500) {1} | 500 (500) {1} | 0.24 * (0.24) {1} | na | na | na | |
| Candida parapsilosis ATCC 22019 | 250 (1000) {4} | 500 (1000) {2} | 500 (500) {1} | 250 (250) {1} | 500 (500) {1} | 0.24 * (0.48) {2} | na | na | na | |
| Candida glabrata ATCC 90030 | 125 (250) {2} | 250 (250) {1} | 1000 (>1000) {>1} | 125 (250) {2} | 250 (500) {2} | 0.24 * (0.48) {2} | na | na | na | |
| Candida krusei ATCC 14243 | 500 (>1000) {>2} | 500 (>1000) {>2} | 1000 (1000) {1} | 250 (500) {2} | 500 (1000) {2} | 0.24 * (0.24) {1} | na | na | na | |
| Candida auris CDC 311903 | 500 (1000) {2} | 500 (1000) {2} | 1000 (1000) {1} | 500 (500) {1} | 500 (500) {1} | 0.48 ** (0.48) {1} | na | na | na | |
Disclaimer/Publisher’s Note: The statements, opinions and data contained in all publications are solely those of the individual author(s) and contributor(s) and not of MDPI and/or the editor(s). MDPI and/or the editor(s) disclaim responsibility for any injury to people or property resulting from any ideas, methods, instructions or products referred to in the content. |
© 2025 by the authors. Licensee MDPI, Basel, Switzerland. This article is an open access article distributed under the terms and conditions of the Creative Commons Attribution (CC BY) license (https://creativecommons.org/licenses/by/4.0/).
Share and Cite
Czyżewska, I.; Mazur, L.; Mroczka, R.; Biernasiuk, A.; Hordyjewska, A.; Popiołek, Ł. Copper(II) Complexes of Selected Acylhydrazones as Potential Biological Agents. Int. J. Mol. Sci. 2025, 26, 10980. https://doi.org/10.3390/ijms262210980
Czyżewska I, Mazur L, Mroczka R, Biernasiuk A, Hordyjewska A, Popiołek Ł. Copper(II) Complexes of Selected Acylhydrazones as Potential Biological Agents. International Journal of Molecular Sciences. 2025; 26(22):10980. https://doi.org/10.3390/ijms262210980
Chicago/Turabian StyleCzyżewska, Izabela, Liliana Mazur, Robert Mroczka, Anna Biernasiuk, Anna Hordyjewska, and Łukasz Popiołek. 2025. "Copper(II) Complexes of Selected Acylhydrazones as Potential Biological Agents" International Journal of Molecular Sciences 26, no. 22: 10980. https://doi.org/10.3390/ijms262210980
APA StyleCzyżewska, I., Mazur, L., Mroczka, R., Biernasiuk, A., Hordyjewska, A., & Popiołek, Ł. (2025). Copper(II) Complexes of Selected Acylhydrazones as Potential Biological Agents. International Journal of Molecular Sciences, 26(22), 10980. https://doi.org/10.3390/ijms262210980

