Sign in to use this feature.

Years

Between: -

Subjects

remove_circle_outline
remove_circle_outline
remove_circle_outline
remove_circle_outline
remove_circle_outline
remove_circle_outline
remove_circle_outline
remove_circle_outline
remove_circle_outline

Journals

remove_circle_outline
remove_circle_outline
remove_circle_outline
remove_circle_outline
remove_circle_outline
remove_circle_outline
remove_circle_outline

Article Types

Countries / Regions

remove_circle_outline
remove_circle_outline
remove_circle_outline
remove_circle_outline
remove_circle_outline

Search Results (981)

Search Parameters:
Keywords = biochar amended soils

Order results
Result details
Results per page
Select all
Export citation of selected articles as:
25 pages, 1403 KB  
Review
Green Innovation for Solid Post-Distillation Residues Valorization: Narrative Review of Circular Bio-Economy Solutions
by Milica Aćimović, Anita Leovac Maćerak, Branimir Pavlić, Vladimir Sikora, Tijana Zeremski, Tamara Erceg and Djordje Djatkov
Processes 2026, 14(2), 244; https://doi.org/10.3390/pr14020244 (registering DOI) - 9 Jan 2026
Abstract
The production of essential oils generates substantial quantities of solid post-distillation residues, a largely unutilized waste stream rich in bioactive compounds (e.g., phenolics, flavonoids) as well as polysaccharides. Managing this organic waste presents both environmental and economic challenges. This review critically examines environmentally [...] Read more.
The production of essential oils generates substantial quantities of solid post-distillation residues, a largely unutilized waste stream rich in bioactive compounds (e.g., phenolics, flavonoids) as well as polysaccharides. Managing this organic waste presents both environmental and economic challenges. This review critically examines environmentally friendly green innovations and resource-efficient technologies within circular bio-economy strategies for valorizing these residues, focusing on four primary conversion pathways: physico-mechanical, thermochemical, biological, and chemical methods. We highlight their potential for practical applications, including the extraction of active compounds for food, cosmetic, and pharmaceutical industries, utilization in agriculture, incorporation into construction materials and wastewater treatment. Despite these opportunities, wider industrial adoption remains limited by high processing costs and the lack of scalable, cost-effective technologies. Key research gaps included the need for methods applicable at the farm level, optimization of the residue-specific conversion process, and life-cycle assessments to evaluate environmental and economic impacts. Addressing these gaps is crucial to fully exploit the economic and ecological potential of post-distillation solid residues and integrate them into sustainable circular bio-economy practices through various processes. Full article
(This article belongs to the Special Issue Analysis and Processes of Bioactive Components in Natural Products)
Show Figures

Figure 1

27 pages, 1121 KB  
Article
Effect of Organic Soil Amendments and Vineyard Topographic Position on the Chemical Composition of Syrah, Trincadeira, Alicante Bouschet, and Antão Vaz Grapes (Vitis vinifera L.) in the Alentejo Wine Region
by Matteo Pierini, Shrika G. Harjivan, Nicolò Sieli, Maria João Cabrita, Sérgio Prats, Sofia Catarino and Jorge M. Ricardo-da-Silva
Environments 2026, 13(1), 44; https://doi.org/10.3390/environments13010044 - 9 Jan 2026
Abstract
Climate change and unsustainable agricultural practices are triggering land degradation in semi-arid Mediterranean regions. Organic amendments, such as mulching materials, have shown promising potential to mitigate these impacts by improving soil chemical, physical, and biological properties, while enhancing grapevine growth and productivity. This [...] Read more.
Climate change and unsustainable agricultural practices are triggering land degradation in semi-arid Mediterranean regions. Organic amendments, such as mulching materials, have shown promising potential to mitigate these impacts by improving soil chemical, physical, and biological properties, while enhancing grapevine growth and productivity. This study evaluated the effects of wheat straw mulch (M) and wheat straw combined with biochar (MB), together with vineyard topography (bottom vs. top), on grape chemical and phenolic composition in four Vitis vinifera L. cultivars (Syrah, Trincadeira, Alicante Bouschet, and Antão Vaz) grown in the Alentejo wine region. Grapes were sampled separately at top and bottom topographic positions, and classical and phenolic parameters were analyzed. The application of M and MB significantly modified must composition, mainly through changes in nitrogen and sugar levels across topographic positions. Only MB exhibited stronger effects, enhancing must quality, while MB and M reduced bottom–top variability. Similar patterns and positional effects were observed for phenolic and color parameters. Both organic treatments lowered total monomeric anthocyanin concentrations, although positional differences with wheat straw mulch were found. The results highlight that combining soil management with topography and variety response can optimize grape phenolic composition and promote sustainable viticulture through targeted, site-specific mulching strategies. Full article
43 pages, 9152 KB  
Article
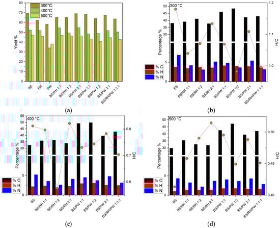
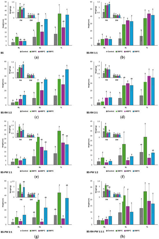
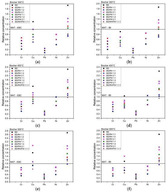
Co-Pyrolysis of Urban Biosolids with Rice Husk and Pruning Waste: Effects on Biochar Quality, Stability and Agricultural Applicability
by Luz María Landa-Zavaleta, Claudia Adriana Ramírez-Valdespino, Omar S. Castillo-Baltazar, David Aarón Rodríguez-Alejandro, César Leyva-Porras, María de la Luz Xochilt Negrete-Rodríguez, Honorio Patiño-Galván, Dioselina Álvarez-Bernal, Marcos Alfonso Lastiri-Hernández and Eloy Conde-Barajas
Eng 2026, 7(1), 32; https://doi.org/10.3390/eng7010032 - 8 Jan 2026
Abstract
This study assessed the production and characterisation of biochars derived from the pyrolysis and co-pyrolysis of urban biosolids (BSs) combined with two lignocellulosic biomasses: rice husk (RH) and pruning waste (PW). The treatments were conducted at 300, 400, and 500 °C to evaluate [...] Read more.
This study assessed the production and characterisation of biochars derived from the pyrolysis and co-pyrolysis of urban biosolids (BSs) combined with two lignocellulosic biomasses: rice husk (RH) and pruning waste (PW). The treatments were conducted at 300, 400, and 500 °C to evaluate the influence of temperature and mass ratio on the physicochemical, structural, and biological properties of the material. Co-pyrolysis significantly improved the material’s properties, enhancing carbon content, surface area, porosity, and pH, while reducing ash and heavy metal concentrations. RH promoted greater porosity and alkalinity, whereas PW increased carbon content and improved maize germination. Biochars produced at 400–500 °C met the stability criterion (H/C < 0.7) set by the International Biochar Initiative (IBI) and the European Biochar Certificate (EBC). However, zinc (Zn) remained the most limiting element for certification. Overall, the findings demonstrate that the co-pyrolysis of BSs with agroforestry biomasses is an effective and sustainable strategy for generating stable and environmentally safe biochars, suitable for use as soil amendments and for the sustainable valorisation of BSs. Full article
(This article belongs to the Section Materials Engineering)
Show Figures

Figure 1

21 pages, 6648 KB  
Article
Biochar Integrate with Beneficial Microorganisms Boosts Soil Organic Fractions by Raising Carbon-Related Enzymes and Microbial Activities in Coastal Saline-Alkali Land
by Rui Wang, Qian Cui, Zeyuan Wang, Hongjun Yang, Yuting Bai and Ling Meng
Microorganisms 2026, 14(1), 115; https://doi.org/10.3390/microorganisms14010115 - 5 Jan 2026
Viewed by 193
Abstract
Biochar and beneficial microorganisms (BM) is considered promising soil amendment for saline-alkali amelioration and soil carbon storage.However, the effects of biochar combined with BM addition soil organic carbon (SOC) accumulation and microbial characteristics are less known in coastal saline-alkali soil. Herein, we investigated [...] Read more.
Biochar and beneficial microorganisms (BM) is considered promising soil amendment for saline-alkali amelioration and soil carbon storage.However, the effects of biochar combined with BM addition soil organic carbon (SOC) accumulation and microbial characteristics are less known in coastal saline-alkali soil. Herein, we investigated the SOC content and fractions, soil carbon enzyme activities, and microbial community composition in coastal saline-alkali soil, following three levels of biochar and BM addition. Compared to the control treatment, biochar and BM application effectively reduced soil salinity by 37.58–66.53% and increased soil NH4+ by 9.49–121.16% and NO3 by 43.56–254.28%, respectively. Biochar integrated with BM addition significantly increased the content of SOC, soil mineral-associated organic carbon (MAOC), soil particulate organic carbon (POC), and carbon pool management index (CPMI) by 37.76–108.02%, 15.43–140.44%, 13.73–64.55%, and 81.11–154.61%, respectively, compared with CK treatment. Additionally, biochar and BM significantly enhanced the activities of soil carbon cycle enzymes, including α-1,4-glucosidase (14.54–124.45%), β-1,4-glucosidase (12.71–133.98%), and cellulose hydrolase (6.07–19.17%). Biochar and BM addition also improved the bacterial diversity and altered the microbial composition at the phylum level. The co-addition of biochar and BM improved SOC by decreasing soil salinity and, enhancing soil nutrient availability, soil carbon cycle enzymes, and microbial activity. Furthermore, the combination of 4% biochar and BM exhibited the highest MAOC/POC ratio, demonstrating the most significant impacts on enhancing SOC stability in coastal saline-alkali soil. This study highlighted that the combined use of biochar and BM could serve as a promising approach to fortify soil carbon pool content and stability in saline-alkali land. Full article
(This article belongs to the Special Issue Soil Microbial Carbon/Nitrogen/Phosphorus Cycling: 2nd Edition)
Show Figures

Figure 1

16 pages, 1910 KB  
Article
Impact of Carbon-Based Biochar Application on Red Pepper Yield and Soil Carbon Sequestration
by Yeouk Yun, Yungi Cho, Jeong su Lee, Sohye Choi, Seonjoong Kim, Jungil Ju, Jaehan Lee and Kyosuk Lee
Agronomy 2026, 16(1), 84; https://doi.org/10.3390/agronomy16010084 - 27 Dec 2025
Viewed by 191
Abstract
This study investigates the impact of biochar derived from red pepper by-products on crop growth, soil carbon storage, and agricultural productivity, with a focus on adapting red pepper cultivation to climate change. The experiment was conducted over two years at the Chungcheongnam-do Agricultural [...] Read more.
This study investigates the impact of biochar derived from red pepper by-products on crop growth, soil carbon storage, and agricultural productivity, with a focus on adapting red pepper cultivation to climate change. The experiment was conducted over two years at the Chungcheongnam-do Agricultural Research and Extension Services in South Korea. Biochar was applied at varying rates based on its carbon content (0.0, 2.5, 5.0, 10.0 Mg C ha−1) to evaluate its effects on soil properties and red pepper yield. The biochar, produced using a Top-Lit Updraft (TLUD) gasification system, possessed a carbon content of 68.7% and a high pH of 10.3. The results demonstrated that biochar application significantly enhanced red pepper growth and yield, with the highest total yield observed at the maximum application rate (BC10.0, 10.0 Mg C ha−1). However, yield efficiency (yield increase per Mg of biochar C) was highest at the lowest application rate (BC2.5, 2.5 Mg C ha−1). Soil analysis revealed that biochar amendment improved soil pH, electrical conductivity (EC), and total carbon content. Although the standard soil analysis protocol (<2 mm sieving) resulted in an underestimation of soil carbon stock by excluding coarse biochar particles, the persistence of these coarse fractions confirms the high physical stability of the biochar, validating its potential as a long-term carbon sink. These findings provide a scientific basis for optimized biochar application strategies that balance productivity with carbon sequestration. Full article
(This article belongs to the Section Soil and Plant Nutrition)
Show Figures

Figure 1

13 pages, 790 KB  
Communication
Direct Biochar–Root Interactions May Alter Cadmium Sequestration at the Interface: A Hydroponic Study
by Cidong Jiang, Lihui Xiang, Yu Cheng, Qiang Liu, Jackson Nkoh Nkoh and Hailong Lu
Agronomy 2026, 16(1), 62; https://doi.org/10.3390/agronomy16010062 - 25 Dec 2025
Viewed by 291
Abstract
Biochar is widely recognized for its ability to immobilize heavy metals in soil, yet its direct effect on plant physiological metal-sequestration capacity remains poorly understood. This study explores a critical distinction between two mechanisms: direct, concurrent metal immobilization by biochar versus its capacity [...] Read more.
Biochar is widely recognized for its ability to immobilize heavy metals in soil, yet its direct effect on plant physiological metal-sequestration capacity remains poorly understood. This study explores a critical distinction between two mechanisms: direct, concurrent metal immobilization by biochar versus its capacity to physiologically precondition plants, altering their inherent metal uptake and distribution. Using a hydroponic design with pH-matched controls, the latter was isolated by preconditioning rice plants with peanut straw biochar (PSB) or corn straw biochar (CSB) and subsequently removing amendments before cadmium (Cd) exposure. Our results reveal that biochar (PSB) preconditioning may modify root architecture and surface chemistry, enhancing negative zeta potential and functional group density. This modification increased root Cd adsorption capacity by 50.1% and 142.7% within 2 h or 2.2% and 52.6% within 48 h compared to the normal and pH-adjusted controls, respectively, with shifted metal speciation toward stable complexes. However, this enhanced root sequestration coincided with an increased translocation factor, elevating shoot Cd content by 78% compared to the normal control. In contrast, CSB preconditioning showed negligible effects. Our findings suggest that biochar’s net impact on metal distribution is probably the product of two temporally distinct processes: chemical immobilization in growth media versus physiological preconditioning effects. This dual mechanism framework may explain the variability in literature reports on the effect of biochar on heavy metal uptake by plants. It also highlights the need for holistic biochar risk assessment that considers both chemical and plant physiological pathways in both soil and hydroponic systems. Full article
(This article belongs to the Section Agricultural Biosystem and Biological Engineering)
Show Figures

Figure 1

18 pages, 2244 KB  
Article
Enhancing Ecological Functions in Chinese Yellow Earth: Metagenomic Evidence of Microbial and Nitrogen Cycle Reassembly by Organic Amendments
by Han Wu, Juan Li, Jian Long, Hongkai Liao, Kaixiang Zhan, Hongjie Chen and Fenai Lei
Genes 2026, 17(1), 9; https://doi.org/10.3390/genes17010009 - 22 Dec 2025
Viewed by 251
Abstract
Background: Chinese Yellow Earth is a key subtropical agricultural resource in southwestern China; however, its productivity is limited by acidity and poor nutrient retention. This study examined how reduced nitrogen plus organic amendments affect its soil microbial structure and maize yield. Methods: A [...] Read more.
Background: Chinese Yellow Earth is a key subtropical agricultural resource in southwestern China; however, its productivity is limited by acidity and poor nutrient retention. This study examined how reduced nitrogen plus organic amendments affect its soil microbial structure and maize yield. Methods: A field experiment with four treatments evaluated reduced nitrogen fertilization amended with rice husk plus rapeseed cake (RS) or RS with biochar (BC). Soil properties (pH, nitrogen, organic matter) and maize yield were analyzed. Metagenomic analysis (NR database) characterized microbial communities, and correlation analysis with Mantel tests identified key relationships. Results: Combined organic amendments under reduced N significantly increased soil pH, nitrogen components, and organic matter, increasing maize yield by 4.41–8.97%. Metagenomics revealed enriched beneficial genera including Sphingomonas and Bradyrhizobium. Yield positively correlated with nitrate nitrogen and a beneficial microbial cluster containing Lysobacter and Reyranella, whereas Steroidobacter negatively correlated with key fertility indicators. Mantel tests revealed nitrate nitrogen as the primary correlate of functional gene community succession. Conclusions: This study reveals that reduced nitrogen with organic amendments promotes soil improvement and microbial modulation, demonstrating potential as a sustainable practice to maintain crop productivity in Chinese Yellow Earth. The observed trend toward yield improvement underscores its promise and warrants further validation through additional trials. Overall, the findings highlight the beneficial effects of these amendments on soil health and their role in supporting sustainable subtropical agriculture under reduced nitrogen input. Full article
(This article belongs to the Section Genes & Environments)
Show Figures

Graphical abstract

16 pages, 2684 KB  
Article
Improving Soil Health and Rice Yields with the Application of Soil Amendments in Acidic Paddy Soils
by Jian Liu, Ting Wang, Lihua Lan, Qingjiu Meng, Jun Xu, Minjun Hu, Tehseen Sajid and Jun Meng
Agronomy 2026, 16(1), 9; https://doi.org/10.3390/agronomy16010009 - 19 Dec 2025
Viewed by 315
Abstract
The over-application of nitrogen fertilizers has expedited soil acidification, resulting in the deterioration of agricultural soil quality and a decline in rice yields. This study evaluated the performance of seven soil amendments, including lime (L), biochar (BC), composted manure (CM), and alkaline inorganic [...] Read more.
The over-application of nitrogen fertilizers has expedited soil acidification, resulting in the deterioration of agricultural soil quality and a decline in rice yields. This study evaluated the performance of seven soil amendments, including lime (L), biochar (BC), composted manure (CM), and alkaline inorganic material (AM), and their combinations, such as L with BC, L with CM, and BC with AM, in regulating soil pH, nutrient levels, heavy metal bioaccumulation, and rice yields at two field sites. The results demonstrated that soil pH increased by 0.33–1.57 units after amendment application. Compared with the control, the amendments reduced the concentrations of available cadmium in soils by 7–57%, available copper by 32–91%, available nickel by 12–88%, and available zinc by 18–99%. Moreover, they induced a reduction in exchangeable H+ and Al3+ levels, improving various properties and soil health. Furthermore, these amendments caused an increase in rice yields and a decrease in Cd and Ni accumulation in rice grains by 5–30% and 11–40%, respectively. Structural equation modeling indicated that the accumulation of heavy metals in rice is mainly mediated by soil pH via its impact on exchangeable acidity. This impact subsequently modifies soil nutrient availability, thereby influencing metal bioaccumulation. Overall, the application of these amendments presents promising strategies for mitigating soil acidification and improving agricultural productivity. Full article
(This article belongs to the Section Soil and Plant Nutrition)
Show Figures

Figure 1

22 pages, 2884 KB  
Article
Organic Amendments Drive Soil Organic Carbon Sequestration and Crop Growth via Microorganisms and Aggregates
by Donglin Zong, Ying Quan, Petri Penttinen, Ling Qi, Jiangtao Wang, Xiaoyan Tang, Kaiwei Xu and Yuanxue Chen
Agronomy 2025, 15(12), 2919; https://doi.org/10.3390/agronomy15122919 - 18 Dec 2025
Viewed by 422
Abstract
Exogenous carbon addition is widely regarded as an effective soil management strategy for rapidly increasing soil organic carbon, improving soil structure and function. However, a systematic comparison of the effects of diverse organic amendments on key soil attributes and processes is needed to [...] Read more.
Exogenous carbon addition is widely regarded as an effective soil management strategy for rapidly increasing soil organic carbon, improving soil structure and function. However, a systematic comparison of the effects of diverse organic amendments on key soil attributes and processes is needed to inform their targeted application. We evaluated the impacts of seven organic amendments (biochar, organic fertilizer, corn straw, soybean straw, rapeseed straw, green manure, and carbon material) on a purple soil (Luvic Xerosols) in a pot experiment. The results showed that organic fertilizer and carbon material performed best in enhancing soil nutrient availability and promoting soil organic carbon content. Straw amendments promoted the formation of macro-aggregates. Green manure and straws enhanced carbon transformation-related β-glucosidase and cellobiohydrolase activities. Random Forest and structural equation modeling indicated that the organic amendments enhanced maize carbon sequestration capacity and biomass by improving aggregate stability and regulating the fungal community and by increasing nutrients and enhancing active carbon fractions. Green manure and organic fertilizer demonstrated the most significant agronomic effects. These findings provide guidelines for targeted organic amendment selection in purple soil regions. Full article
Show Figures

Figure 1

24 pages, 4676 KB  
Article
Waste Algae-Derived Biochar Composites for Synergistic Soil Cd–As Immobilization: Feasibility, Dose–Response Thresholds, and Mechanism
by Xue Zhou, Lianfang Li and Mengqi Kang
Agronomy 2025, 15(12), 2913; https://doi.org/10.3390/agronomy15122913 - 18 Dec 2025
Viewed by 434
Abstract
The antagonistic geochemical behaviors of cadmium (Cd) and arsenic (As) in co-contaminated soils complicate their simultaneous remediation. This study aimed to develop a synergistic immobilization strategy by converting Spirulina residue into a magnetic biochar-layered double hydroxide composite (FSRBL). The composite was applied to [...] Read more.
The antagonistic geochemical behaviors of cadmium (Cd) and arsenic (As) in co-contaminated soils complicate their simultaneous remediation. This study aimed to develop a synergistic immobilization strategy by converting Spirulina residue into a magnetic biochar-layered double hydroxide composite (FSRBL). The composite was applied to both acidic red and calcareous black soils, and its effects on Cd and As, immobilization efficiency, and ecotoxicity were evaluated. The results showed that FSRBL effectively transforms Cd and As from mobile fractions to stable residual forms. At a 2.5% application rate, FSRBL achieved remarkable immobilization efficiencies of 39.2% for Cd and 57.5% for As, representing effectiveness 3.55 and 5.97 times higher than that of unmodified biochar, respectively. A dose–response relationship between the application amount of FSRBL and the immobilization efficiency of As and Cd was observed and further quantified using a logistic model. The results indicate that while increased FSRBL application enhances immobilization efficiency, the marginal benefit of each additional unit diminishes as the application rate increases, demonstrating a significant diminishing marginal effect. According to the ecotoxicity assessment experiment, the soil leachate from FSRBL-amended soil remarkably decreased the ecological toxicity to rice (Oryza sativa L.). Mechanistic investigations employing SEM/TEM-EDS, XRD, and XPS revealed that the synergistic immobilization could be ascribed to the multi-component cooperation within FSRBL, which resolved the conflicting pH/Eh requirements for the immobilization of Cd and As: (1) the LDH phase efficiently immobilized As oxyanions through anion exchange and isomorphic substitution; (2) the magnetic Fe phase concurrently immobilized Cd2+ and As oxyanions via redox transformation and coprecipitation, resulting in the formation of precipitates such as Fe/Ca/Cd–As(V). This work demonstrates a feasible approach to upcycle biomass waste into a value-added material for sustainable remediation of Cd–As co-contaminated soil. Full article
Show Figures

Figure 1

17 pages, 3264 KB  
Article
Effects of Invasive Solidago canadensis and Biochar on the Remediation of Soil Cd Contamination and Greenhouse Gas Emissions
by Xiaokang Ni, Yadi Yu, Xi Liu, Wanqing Nie, Yuli Hu, Jian Bai, Ziyi Yan, Wei Li, Lifei Xiong, Xixian Xie, Yuanyuan Zhu, Zihan Zeng, Qingye Yu, Shuli Wang, Qin Ying, Nansheng Wu and Ling Zhang
Life 2025, 15(12), 1927; https://doi.org/10.3390/life15121927 - 16 Dec 2025
Viewed by 270
Abstract
Cadmium (Cd) contamination in agricultural soils threatens food security and exacerbates climate change through its impact on greenhouse gas (GHG) (CO2, N2O and CH4) emissions, in which N2O and CO2 are the dominant fluxes [...] Read more.
Cadmium (Cd) contamination in agricultural soils threatens food security and exacerbates climate change through its impact on greenhouse gas (GHG) (CO2, N2O and CH4) emissions, in which N2O and CO2 are the dominant fluxes of the terrestrial carbon-nitrogen cycle whose magnitude is directly amplified by Cd stress. Key remediation approaches for this dual challenge are phytoremediation and biochar amendment. This study aims to investigate the effects of Solidago canadensis (CGR) and biochar (BC) on soil remediation and GHG emissions under different levels of Cd contamination. A pot experiment with four Cd concentration gradients (0, 5, 10, and 30 mg kg−1, i.e., Cd-0, Cd-5, Cd-10, and Cd-30, respectively) and three remediation measures (control, BC addition, and CGR cultivation) was set up to measure available soil Cd (ACd), soil physicochemical properties, GHG emissions, and plant Cd accumulations. The results demonstrated that ACd was significantly reduced by BC via adsorption through surface complexation and by CGR via immobilization through root uptake and sequestration. CGR decreased ACd by 46.2% and 41.7% under mild and moderate Cd contamination, respectively, while BC reduced ACd by 8.9% under severe contamination. In terms of GHG emissions, CGR increased cumulative CO2 by 83.4% in Cd-10 soil and 53.8% in Cd-30 soil, whereas BC significantly lowered N2O emissions by 22.1% in Cd-5 soil. Mantel analysis revealed strong correlations between ACd and key carbon and nitrogen indicators, which mediate the bioavailability of Cd. Therefore, CGR cultivation is better suited to mild-to-moderate contamination given its high removal efficiency, while BC amendment is targeted at severe contamination by stabilizing Cd and mitigating N2O. This provides a scientific basis for the remediation of Cd-contaminated soils. Full article
(This article belongs to the Section Plant Science)
Show Figures

Figure 1

15 pages, 1042 KB  
Article
GHG Emissions and Carbon Sequestration in Coastal Bambusa edulis Shelterbelts with Biochar and Organic Fertilizer
by Ying-Pin Huang, Chung-I Chen, Chih-Pei Shen, Jia-Yi Shen, Wei-Chih Chen, Yue-Hua Liou, Shih-Chi Lee, Chuan-Chi Chien, Xu-Chen Yang, Wen-Hung Huang and Ching-Wen Wang
C 2025, 11(4), 93; https://doi.org/10.3390/c11040093 - 15 Dec 2025
Viewed by 390
Abstract
This study evaluated the seasonal greenhouse gas (GHG) emissions and carbon assimilation of Bambusa edulis under four soil amendment treatments—control (C), biochar (B), fertilizer using vermicompost (F), and biochar plus fertilizer (B + F)—in a coastal shelterbelt system in south-western Taiwan. Over a [...] Read more.
This study evaluated the seasonal greenhouse gas (GHG) emissions and carbon assimilation of Bambusa edulis under four soil amendment treatments—control (C), biochar (B), fertilizer using vermicompost (F), and biochar plus fertilizer (B + F)—in a coastal shelterbelt system in south-western Taiwan. Over a 12-month period, CO2 and N2O fluxes and photosynthetic carbon uptake were measured. The control (C) treatment served as the baseline, exhibiting the lowest greenhouse gas (GHG) emissions and carbon assimilation. Its summer N2O emissions were 39.54 ± 20.79 g CO2 e m−2, and its spring carbon assimilation was 13.2 ± 0.84 kg CO2 clump−1. In comparison, the amendment treatments significantly enhanced both emissions and carbon uptake. The fertilizer-only (F) treatment resulted in the highest levels, with peak summer N2O emissions increasing by 306.5% (to 160.73 ± 96.22 g CO2 e m−2) and spring carbon assimilation increasing by 40.2% (to 18.5 ± 0.62 kg CO2 clump−1). An increase in these values was also observed in the combined biochar and fertilizer (B + F) treatment, although the magnitude was less than that of the F treatment alone. In the B + F treatment, summer N2O emissions increased by 130.3% (to 91.1 ± 62.51 g CO2 e m−2), while spring carbon assimilation increased by 17.4% (to 15.5 ± 0.36 kg CO2 clump−1). Soil CO2 flux was significantly correlated with atmosphere temperature (r = 0.63, p < 0.01) and rainfall (r = 0.45, p < 0.05), while N2O flux had a strong positive correlation with rainfall (r = 0.71, p < 0.001). The findings highlight a trade-off between nutrient-driven productivity and GHG intensity and demonstrate that optimized organic and biochar applications can enhance photosynthetic carbon gain while mitigating emissions. The results support bamboo’s role in climate mitigation and carbon offset strategies within nature-based solution frameworks. Full article
(This article belongs to the Section Carbon Cycle, Capture and Storage)
Show Figures

Figure 1

24 pages, 2216 KB  
Article
Combined Effects of Biochar and Wood Distillate on Growth, Yield, and Fruit Quality of Soilless-Grown Highbush Blueberry Plants (Vaccinium corymbosum L.)
by Anna Agosti, Samreen Nazeer, Leandra Leto, Jasmine Hadj Saadoun, Alessia Levante, Elena Maestri, Martina Cirlini and Benedetta Chiancone
Plants 2025, 14(24), 3773; https://doi.org/10.3390/plants14243773 - 11 Dec 2025
Viewed by 470
Abstract
The global production of blueberries (Vaccinium corymbosum L.) has increased rapidly due to rising demand for antioxidant-rich fruits, making this crop increasingly important worldwide. Because blueberries require acidic soils, soilless systems offer a promising alternative by optimizing nutrient availability and reducing soil-related [...] Read more.
The global production of blueberries (Vaccinium corymbosum L.) has increased rapidly due to rising demand for antioxidant-rich fruits, making this crop increasingly important worldwide. Because blueberries require acidic soils, soilless systems offer a promising alternative by optimizing nutrient availability and reducing soil-related limitations. Among sustainable amendments, biochar (BC) improves water retention, porosity, and microbial activity, while wood distillate (WD), rich in bioactive compounds, can enhance plant resilience and growth. Although often used separately, their combined application may exert synergistic effects on substrate fertility and plant performance. This study investigated the effects of BC and WD, alone and in combination, on the growth, yield, and fruit quality of the ‘Cargo’ blueberry cultivar grown in a soilless system. Two distinct harvests were conducted during the growing season, and statistical analyses were performed independently for each, assessing treatment effects in relation to harvest timing. Moreover, the metabolic activity of the substrate’s microbial community was evaluated to assess the impact of the treatments. Results showed that BC application, particularly at 10%, significantly enhanced plant yield and fruit quality, increasing total phenolic content and antioxidant activity, while WD exhibited variable, dose-dependent effects on growth and biochemical traits, highlighting species-specific responses in soilless blueberry cultivation. Full article
Show Figures

Figure 1

18 pages, 6012 KB  
Article
Combination of Functional Complementary Salt-Tolerant PGPR and Organic Amendments Modulates the Soil Micro-Environment and Promotes Wheat Growth
by Yanxia He, Zhifang Ning, Yushuang Cui, Xin Yue, Yali Huang and Changxiong Zhu
Agriculture 2025, 15(24), 2558; https://doi.org/10.3390/agriculture15242558 - 10 Dec 2025
Viewed by 339
Abstract
The individual application of salt-tolerant plant growth-promoting rhizobacteria (ST-PGPR) or organic amendments exhibits certain limitations in remediating saline-alkali soils. This study developed a co-application treatment by combining a functionally complementary ST-PGPR consortium (Bacillus velezensis and Bacillus marisflavi) with optimized organic amendments [...] Read more.
The individual application of salt-tolerant plant growth-promoting rhizobacteria (ST-PGPR) or organic amendments exhibits certain limitations in remediating saline-alkali soils. This study developed a co-application treatment by combining a functionally complementary ST-PGPR consortium (Bacillus velezensis and Bacillus marisflavi) with optimized organic amendments (biochar at 22.5 t·ha−1 and sheep-manure organic fertilizer at 7.5 t·ha−1) to enhance soil quality and wheat growth. Compared with the control, the combination of the ST-PGPR consortium with organic amendments significantly reduced soil electrical conductivity by 52.69%. while soil organic matter, alkaline nitrogen, available phosphorus, and available potassium increased by 54.37%, 7.68%, 11.85%, and 39.57%, respectively (p < 0.05). The activities of sucrase, urease, and catalase also increased by 147.69%, 28.56%, and 30.26%, respectively (p < 0.05). Furthermore, the combined treatment significantly promoted wheat growth, increasing plant height, root length, and fresh weight by 12.11%, 26.60%, and 35.00%, respectively (p < 0.05), while alleviating osmotic and oxidative stress. β-diversity analysis revealed distinct microbial community compositions across treatments, and microbial composition indicated that Actinobacteriota and Starmerella were enriched under the co-application. Additionally, the co-application significantly enhanced the complexity and interconnectivity of the bacterial network, while reducing the stability of the fungal network. Partial least squares path and random forest models identified soil chemical properties as the key factors driving wheat growth. This synergistic system presents a promising and sustainable strategy for remediating saline-alkali soils and enhancing crop productivity. Full article
(This article belongs to the Section Agricultural Soils)
Show Figures

Figure 1

20 pages, 1666 KB  
Article
Analyses of Antioxidative Response in Tomato (Solanum lycopersicum L.) Grown with Biochar and PGPMs
by Silvia Carlo, Marta Trazza, Luca Pagano and Marta Marmiroli
Antioxidants 2025, 14(12), 1482; https://doi.org/10.3390/antiox14121482 - 10 Dec 2025
Viewed by 417
Abstract
Solanum lycopersicum plants were grown in pots amended with biochar and PGPMs (plant growth-promoting microorganisms: Pseudomonas fluorescens and Azotobacter chroococcum), applied singularly and in combination, for three months, after which plants and soils were collected, divided into treatment groups based on organs, [...] Read more.
Solanum lycopersicum plants were grown in pots amended with biochar and PGPMs (plant growth-promoting microorganisms: Pseudomonas fluorescens and Azotobacter chroococcum), applied singularly and in combination, for three months, after which plants and soils were collected, divided into treatment groups based on organs, and analyzed. The following biochemical markers were studied: cellular respiration, shoot fresh and dry weight, root fresh weight, photosynthetic pigments (chlorophyll a, chlorophyll b, and carotenoids), membrane lipid peroxidation, proline content, total antioxidant capacity (DPPH and ABTS assay), hydrogen peroxide, ascorbic acid, total phenolic content, enzymatic activity (SOD, POD, CAT, and APX), total soluble sugar content, and total protein content. Also, soil parameters, such as pH, EC, total enzymatic activity, active carbon, and respiration, were measured. While biochar alone induced root H2O2 accumulation, its co-application with PGPMs turned this signal into a systemic trigger for defense, enhancing the antioxidant capacity and the production of proline, phenolics, and ascorbic acid without causing oxidative damage. At the soil level, microorganisms counteracted biochar’s inhibitory effects on enzymatic activity and intensified labile carbon use, indicating a more dynamic rhizosphere. Multivariate analysis confirmed that the combined treatment remodulated the plant–soil system, converting a stress factor into a resilience enhancer. This synergy underscores the role of biochar as an effective microbial carrier and PGPM consortia as bioactivators, together providing a powerful tool to prime crops against climate stress while preserving soil health. Full article
(This article belongs to the Special Issue Oxidative Stress and Antioxidant Defense in Crop Plants, 2nd Edition)
Show Figures

Figure 1

Back to TopTop