Waste Algae-Derived Biochar Composites for Synergistic Soil Cd–As Immobilization: Feasibility, Dose–Response Thresholds, and Mechanism
Abstract
1. Introduction
2. Materials and Methods
2.1. Contaminated Soil
2.2. Material Preparations
2.3. Soil Incubation Experiment
2.4. Ecotoxicity Analysis
2.5. Statistical Methods
2.6. Dose–Effect Curve Fitting
2.7. Data Analysis
3. Results and Discussion
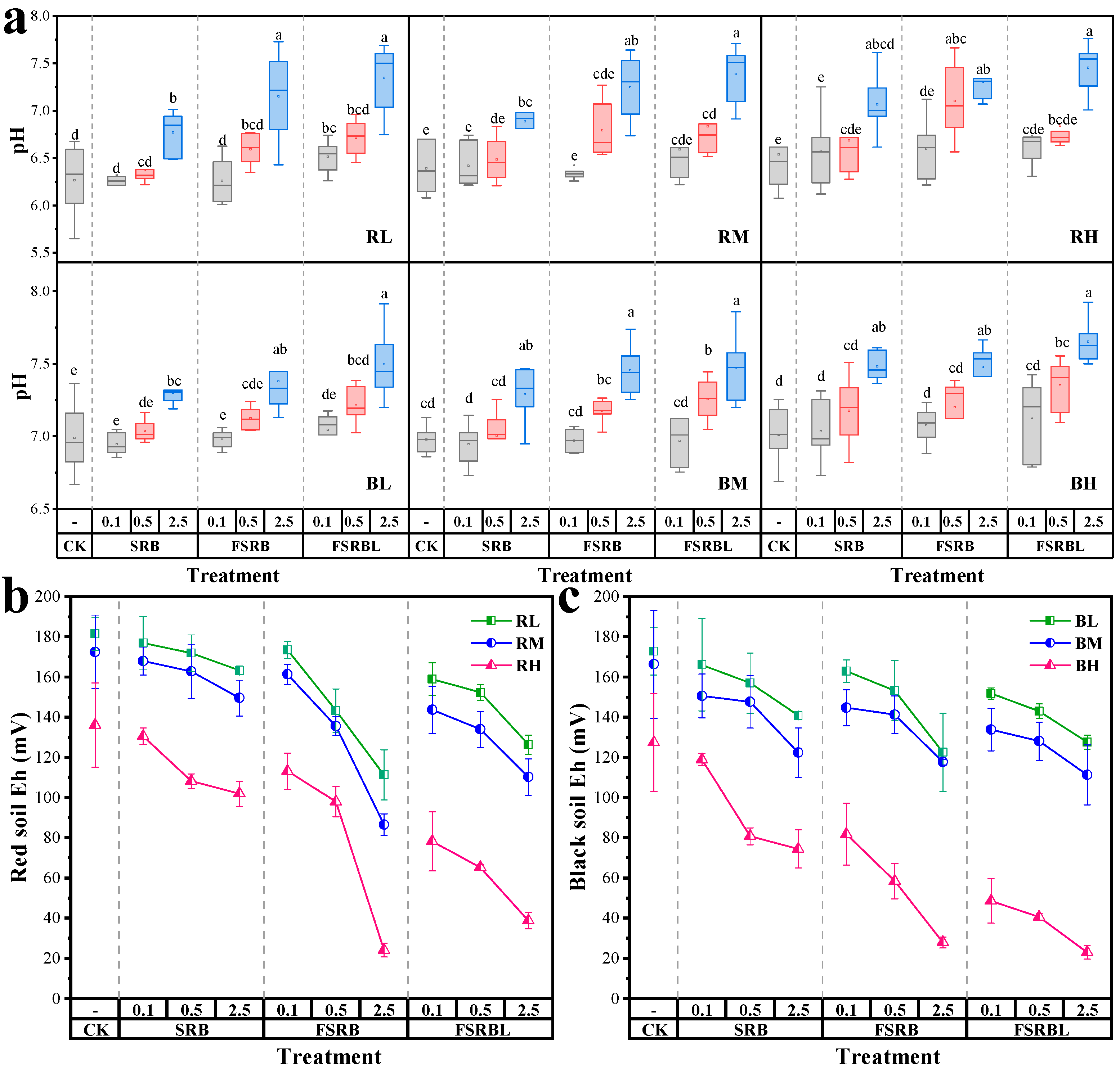
3.1. Effects of Biochar on Soil pH and Eh
3.2. Immobilization Remediation of Cd and As in Soil
3.2.1. TCLP Leachabilities of Cd and As
3.2.2. Fractionation of Cd and As
3.3. Dose–Effect and Response Threshold Analysis
3.4. The Influence on Seed Germination
3.5. Stabilization Mechanism of FSRBL on Cd and As in Soil
3.5.1. SEM/TEM-EDS Analysis of Micro-Interface Between Soil and FSRBL
3.5.2. XRD Analysis of Cd/As Species
3.5.3. XPS Analysis of Key-Metal Complexation
3.6. Economic Viability, Feasibility and Outlook
4. Conclusions
Supplementary Materials
Author Contributions
Funding
Data Availability Statement
Conflicts of Interest
References
- Qin, G.; Niu, Z.; Yu, J.; Li, Z.; Ma, J.; Xiang, P. Soil heavy metal pollution and food safety in China: Effects, sources and removing technology. Chemosphere 2021, 267, 129205. [Google Scholar] [CrossRef]
- Yuan, X.; Xue, N.; Han, Z. A meta-analysis of heavy metals pollution in farmland and urban soils in China over the past 20 years. J. Environ. Sci. 2021, 101, 217–226. [Google Scholar] [CrossRef]
- Hou, D.; Jia, X.; Wang, L.; McGrath, S.P.; Zhu, Y.-G.; Hu, Q.; Zhao, F.-J.; Bank, M.S.; O’Connor, D.; Nriagu, J. Global soil pollution by toxic metals threatens agriculture and human health. Science 2025, 388, 316–321. [Google Scholar] [CrossRef]
- Shen, B.; Wang, X.; Zhang, Y.; Zhang, M.; Wang, K.; Xie, P.; Ji, H. The optimum pH and Eh for simultaneously minimizing bioavailable cadmium and arsenic contents in soils under the organic fertilizer application. Sci. Total Environ. 2020, 711, 135229. [Google Scholar] [CrossRef]
- Yang, X.; Wen, E.; Ge, C.; El-Naggar, A.; Yu, H.; Wang, S.; Kwon, E.E.; Song, H.; Shaheen, S.M.; Wang, H.; et al. Iron-modified phosphorus- and silicon-based biochars exhibited various influences on arsenic, cadmium, and lead accumulation in rice and enzyme activities in a paddy soil. J. Hazard. Mater. 2023, 443, 130203. [Google Scholar] [CrossRef] [PubMed]
- Baragaño, D.; Alonso, J.; Gallego, J.R.; Lobo, M.C.; Gil-Díaz, M. Zero valent iron and goethite nanoparticles as new promising remediation techniques for As-polluted soils. Chemosphere 2020, 238, 124624. [Google Scholar] [CrossRef]
- Kumpiene, J.; Carabante, I.; Kasiuliene, A.; Austruy, A.; Mench, M. LONG-TERM stability of arsenic in iron amended contaminated soil. Environ. Pollut. 2021, 269, 116017. [Google Scholar] [CrossRef] [PubMed]
- Wu, H.; Liu, L.; Sun, J.; He, X.; Li, Z.; Tang, J. Iron-silicon modified biochar for remediation of cadmium/arsenic co-contaminated paddy fields: Is it possible to kill two birds with one stone? J. Hazard. Mater. 2025, 494, 138702. [Google Scholar] [CrossRef] [PubMed]
- Wang, W.; Wu, S.; Huang, J.; Zhang, X.; Xie, J.; Lu, Y.; Li, J.; Wei, J.; Wu, B.; Cheng, S. Microalgae realizes self N-doped biochar for heavy metal polluted sediment remediation. J. Hazard. Mater. 2024, 479, 135746. [Google Scholar] [CrossRef]
- Wu, C.; Cui, M.; Xue, S.; Li, W.; Huang, L.; Jiang, X.; Qian, Z. Remediation of arsenic-contaminated paddy soil by iron-modified biochar. Environ. Sci. Pollut. Res. 2018, 25, 20792–20801. [Google Scholar] [CrossRef]
- Lin, L.; Qiu, W.; Wang, D.; Huang, Q.; Song, Z.; Chau, H.W. Arsenic removal in aqueous solution by a novel Fe-Mn modified biochar composite: Characterization and mechanism. Ecotoxicol. Environ. Saf. 2017, 144, 514–521. [Google Scholar] [CrossRef]
- Feng, Z.; Cao, X.; Zhou, B.; Li, H.; Liu, H.; Yuan, R.; Wang, X.; Chen, Z.; Luo, S.; Chen, H. Influence mechanisms of different stalks on iron species type of magnetic biochar prepared from Fe2O3. Sci. Total Environ. 2023, 903, 166790. [Google Scholar] [CrossRef]
- Cui, S.; Peng, Y.; Yang, X.; Gao, X.; Guan, C.-Y.; Fan, B.; Zhou, X.; Chen, Q. Comprehensive understanding of guest compound intercalated layered double hydroxides: Design and applications in removal of potentially toxic elements. Crit. Rev. Environ. Sci. Technol. 2023, 53, 457–482. [Google Scholar] [CrossRef]
- Jing, Y.; Chen, R.; Zhang, J.; Hu, L.; Qiu, X. Developed Recyclable CaFe-Layered Double Hydroxide for Efficient Cadmium Immobilization in Soil: Performance and Bioavailability. Minerals 2024, 14, 656. [Google Scholar] [CrossRef]
- Kong, X.; Hao, P.; Duan, H. Super-stable mineralization effect of layered double hydroxides for heavy metals: Application in soil remediation and perspective. Exploration 2021, 1, 20210052. [Google Scholar]
- Pan, X.; Kuang, S.; Wang, X.; Ullah, H.; Rao, Z.; Ali, E.F.; Abbas, Q.; Lee, S.S.; Shaheen, S.M. Functionalization of sawdust biochar using Mg-Fe-LDH and sodium dodecyl sulfonate enhanced its stability and immobilization capacity for Cd and Pb in contaminated water and soil. Biochar 2025, 7, 16. [Google Scholar]
- Liang, X.; Su, Y.; Wang, X.; Liang, C.; Tang, C.; Wei, J.; Liu, K.; Ma, J.; Yu, F.; Li, Y. Insights into the heavy metal adsorption and immobilization mechanisms of CaFe-layered double hydroxide corn straw biochar: Synthesis and application in a combined heavy metal-contaminated environment. Chemosphere 2023, 313, 137467. [Google Scholar] [CrossRef] [PubMed]
- Liao, W.; Zhang, X.; Shao, J.; Yang, H.; Zhang, S.; Chen, H. Simultaneous removal of cadmium and lead by biochar modified with layered double hydroxide. Fuel Process. Technol. 2022, 235, 107389. [Google Scholar] [CrossRef]
- Cao, S.; Zhu, J.; Gan, X.; Fu, Q.; Hu, H.; Huang, Q. Synergic impact mechanisms of cover crop residue on Cd and As availability and native organic carbon mineralization in Cd and As co-contaminated paddy soil. J. Hazard. Mater. 2025, 500, 140491. [Google Scholar] [CrossRef]
- Lebrun, M.; Miard, F.; Nandillon, R.; Morabito, D.; Bourgerie, S. Biochar Application Rate: Improving Soil Fertility and Linum usitatissimum Growth on an Arsenic and Lead Contaminated Technosol. Int. J. Environ. Res. 2021, 15, 125–134. [Google Scholar] [CrossRef]
- GB 15618-2018; Soil Environmental Quality—Risk Control Standard for Soil Contamination of Agricultural Land. China Environmental Science Press: Beijing, China, 2018.
- Wang, L.; Cui, X.; Cheng, H.; Chen, F.; Wang, J.; Zhao, X.; Lin, C.; Pu, X. A review of soil cadmium contamination in China including a health risk assessment. Environ. Sci. Pollut. Res. 2015, 22, 16441–16452. [Google Scholar] [CrossRef] [PubMed]
- Gong, Y.; Qu, Y.; Yang, S.; Tao, S.; Shi, T.; Liu, Q.; Chen, Y.; Wu, Y.; Ma, J. Status of arsenic accumulation in agricultural soils across China (1985–2016). Environ. Res. 2020, 186, 109525. [Google Scholar] [CrossRef]
- Wu, J.; Li, Z.; Huang, D.; Liu, X.; Tang, C.; Parikh, S.J.; Xu, J. A novel calcium-based magnetic biochar is effective in stabilization of arsenic and cadmium co-contamination in aerobic soils. J. Hazard. Mater. 2020, 387, 122010. [Google Scholar] [CrossRef]
- Tessier, A.; Campbell, P.G.C.; Bisson, M. Sequential extraction procedure for the speciation of particulate trace metals. Anal. Chem. 1979, 51, 844–851. [Google Scholar] [CrossRef]
- Wenzel, W.W.; Kirchbaumer, N.; Prohaska, T.; Stingeder, G.; Lombi, E.; Adriano, D.C. Arsenic fractionation in soils using an improved sequential extraction procedure. Anal. Chim. Acta 2001, 436, 309–323. [Google Scholar] [CrossRef]
- Yu, L.; Chen, S.; Wang, J.; Qin, L.; Sun, X.; Zhang, X.; Wang, M. Environmental risk thresholds and prediction models of Cd in Chinese agricultural soils. Sci. Total Environ. 2024, 906, 167773. [Google Scholar]
- Yang, B.; Lv, Y.; Zhang, Z.; He, X.; Zhu, Y. Anticorrosion mechanism of natural acidic amino acids on steel in chloride solution: Experimental, theoretical and machine learning approaches. J. Build. Eng. 2023, 79, 107801. [Google Scholar] [CrossRef]
- Sun, X.; Qin, L.; Yu, L.; Wang, J.; Liu, J.; Wang, M.; Chen, S. Ecological risk threshold for chromium in Chinese soils and its prediction models. Environ. Res. 2024, 262, 119935. [Google Scholar] [CrossRef]
- Gao, J.; Zheng, L.; Xu, M.; Sun, N.; Zhang, Q.; Li, R.; Cai, Z. Effects of Biochar Application on Soil pH: A Meta-Analysis. J. Agric. Sci. Technol. 2023, 25, 186–196. [Google Scholar]
- Zhang, N.; Xing, J.; Wei, L.; Liu, C.; Zhao, W.; Liu, Z.; Wang, Y.; Liu, E.; Ren, X.; Jia, Z. The potential of biochar to mitigate soil acidification: A global meta-analysis. Biochar 2025, 7, 49. [Google Scholar] [CrossRef]
- Si, T.; Yuan, R.; Qi, Y.; Zhang, Y.; Wang, Y.; Bian, R.; Liu, X.; Zhang, X.; Joseph, S.; Li, L.; et al. Enhancing soil redox dynamics: Comparative effects of Fe-modified biochar (N–Fe and S–Fe) on Fe oxide transformation and Cd immobilization. Environ. Pollut. 2024, 347, 123636. [Google Scholar] [CrossRef]
- Yang, X.; Shaheen, S.M.; Wang, J.; Hou, D.; Ok, Y.S.; Wang, S.-L.; Wang, H.; Rinklebe, J. Elucidating the redox-driven dynamic interactions between arsenic and iron-impregnated biochar in a paddy soil using geochemical and spectroscopic techniques. J. Hazard. Mater. 2022, 422, 126808. [Google Scholar] [CrossRef]
- Li, Z.; Jing, Y.; Zhang, X.; Zhu, R.; Yu, J.; Chen, J.; Qiu, X. Recyclable and reusable layered double hydroxide beads for soil remediation: Conveying belt recovery model, mechanism, bioavailability and microbial communities. J. Environ. Chem. Eng. 2023, 11, 110693. [Google Scholar] [CrossRef]
- Guagliardi, I. Potentially Toxic Elements Pollution in Urban and Suburban Environments II. Toxics 2025, 13, 920. [Google Scholar] [CrossRef]
- Hong, C.; Dong, Z.; Zhang, J.; Zhu, L.; Che, L.; Mao, F.; Qiu, Y. Effectiveness and mechanism for the simultaneous adsorption of Pb(II), Cd(II) and As(III) by animal-derived biochar/ferrihydrite composite. Chemosphere 2022, 293, 133583. [Google Scholar] [CrossRef]
- Zeng, W.; Lu, Y.; Zhou, J.; Zhang, J.; Duan, Y.; Dong, C.; Wu, W. Simultaneous removal of Cd(II) and As(V) by ferrihydrite-biochar composite: Enhanced effects of As(V) on Cd(II) adsorption. J. Environ. Sci. 2024, 139, 267–280. [Google Scholar] [CrossRef] [PubMed]
- Gao, X.; Peng, Y.; Guo, L.; Wang, Q.; Guan, C.Y.; Yang, F.; Chen, Q. Arsenic adsorption on layered double hydroxides biochars and their amended red and calcareous soils. J. Environ. Manag. 2020, 271, 111045. [Google Scholar] [CrossRef]
- Wang, Y.-M.; Wang, S.-W.; Wang, C.-Q.; Zhang, Z.-Y.; Zhang, J.-Q.; Meng, M.; Li, M.; Uchimiya, M.; Yuan, X.-Y. Simultaneous Immobilization of Soil Cd(II) and As(V) by Fe-Modified Biochar. Int. J. Environ. Res. Public Health 2020, 17, 827. [Google Scholar] [CrossRef] [PubMed]
- Wan, X.; Li, C.; Parikh, S.J. Simultaneous removal of arsenic, cadmium, and lead from soil by iron-modified magnetic biochar. Environ. Pollut. 2020, 261, 114157. [Google Scholar] [CrossRef]
- Rong, Q.; Zhong, K.; Li, F.; Huang, H.; Li, C.; Nong, X.; Zhang, C.J.A.S. Combined effect of ferrous ion and biochar on cadmium and arsenic accumulation in rice. Appl. Sci. 2019, 10, 300. [Google Scholar] [CrossRef]
- Yang, J.; Liang, X.; Jiang, N.; Li, Z.; Zu, Y. Three amendments reduced the bioavailability of heavily contaminated soil with arsenic cadmium increased the relative feeding value of Lolium perenne L. Sci. Total Environ. 2022, 847, 157572. [Google Scholar] [CrossRef]
- Li, Q.; Liang, W.; Liu, F.; Wang, G.; Wan, J.; Zhang, W.; Peng, C.; Yang, J. Simultaneous immobilization of arsenic, lead and cadmium by magnesium-aluminum modified biochar in mining soil. J. Environ. Manag. 2022, 310, 114792. [Google Scholar] [CrossRef]
- Yang, D.; Yang, S.; Wang, L.; Xu, J.; Liu, X. Performance of biochar-supported nanoscale zero-valent iron for cadmium and arsenic co-contaminated soil remediation: Insights on availability, bioaccumulation and health risk. Environ. Pollut. 2021, 290, 118054. [Google Scholar] [CrossRef] [PubMed]
- Wang, H.-Y.; Chen, P.; Zhu, Y.-G.; Cen, K.; Sun, G.-X. Simultaneous adsorption and immobilization of As and Cd by birnessite-loaded biochar in water and soil. Environ. Sci. Pollut. Res. 2019, 26, 8575–8584. [Google Scholar] [CrossRef]
- Zhang, H.; Shao, J.; Zhang, S.; Zhang, X.; Chen, H. Effect of phosphorus-modified biochars on immobilization of Cu (II), Cd (II), and As (V) in paddy soil. J. Hazard. Mater. 2020, 390, 121349. [Google Scholar] [CrossRef] [PubMed]
- Zhang, L.; Xue, W.; Sun, Q.; Liu, B.; Hu, Y.; Sun, H.; Liu, S.; Xu, J.; Zou, G. Decoupling total accumulation from ecological and health risks: Speciation stabilization of heavy metal(loid)s in soil-maize systems under 16-year application of various organic fertilizers. Environ. Int. 2025, 204, 109830. [Google Scholar] [CrossRef] [PubMed]
- Gu, Y.-G.; Gao, Y.; Jordan, R.W.; Jiang, S.-J. Dynamics of metal immobilization in coastal mariculture sediments: Insights from DGT and DIFS modeling. Environ. Pollut. 2025, 383, 126798. [Google Scholar] [CrossRef]
- Ghosh, D.; Pal, S.K.; Acharjee, P.U.; Mahanta, S.; Patra, P.K. Potentiality of iron slime as an amendment for arsenic-contaminated soil. Int. J. Environ. Sci. Technol. 2022, 19, 8743–8750. [Google Scholar] [CrossRef]
- Zhang, D.; Gong, Y.; Qin, R.; Zaib, S.; Shang, K.; Xia, J.; Zhou, L.; Xie, Y. Effect mechanism of Rice-Solanum nigrum, L. rotation system inoculated with sulfate-reducing bacteria (SRB) and sulfur-oxidizing bacteria (SOB) for the remediation of Cd-contaminated paddy soil. J. Hazard. Mater. 2025, 496, 139540. [Google Scholar] [CrossRef]
- Zhao, C.; Yao, J.; Knudsen, T.Š.; Hu, W.; Cao, Y. Combined modified montmorillonite and microbial consortium enhanced the remediation effect of As and Cd-contaminated soil in a smelting area. J. Clean. Prod. 2025, 501, 145329. [Google Scholar] [CrossRef]
- You, R.; Domínguez, C.; Matamoros, V.; Bayona, J.M.; Díez, S. Chemical characterization and phytotoxicity assessment of peri-urban soils using seed germination and root elongation tests. Environ. Sci. Pollut. Res. 2019, 26, 34401–34411. [Google Scholar] [CrossRef]
- Rogovska, N.; Laird, D.; Cruse, R.M.; Trabue, S.; Heaton, E. Germination tests for assessing biochar quality. J. Environ. Qual. 2012, 41, 1014–1022. [Google Scholar] [CrossRef] [PubMed]
- Cai, T.; Liu, X.; Zhang, J.; Tie, B.; Lei, M.; Wei, X.; Peng, O.; Du, H. Silicate-modified oiltea camellia shell-derived biochar: A novel and cost-effective sorbent for cadmium removal. J. Clean. Prod. 2021, 281, 125390. [Google Scholar] [CrossRef]
- Heraldy, E.; Nugrahaningtyas, K.D.; Sanjaya, F.B.; Darojat, A.A.; Handayani, D.S.; Hidayat, Y. Effect of reaction time and (Ca+Mg)/Al molar ratios on crystallinity of Ca-Mg-Al layered double Hydroxide. IOP Conf. Ser. Mater. Sci. Eng. 2016, 107, 012025. [Google Scholar] [CrossRef]
- Ma, W.; Han, R.; Zhang, W.; Zhang, H.; Chen, L.; Zhu, L. Magnetic biochar enhanced copper immobilization in agricultural lands: Insights from adsorption precipitation and redox. J. Environ. Manag. 2024, 352, 120058. [Google Scholar] [CrossRef]
- Bian, H.; Wang, M.; Han, J.; Hu, X.; Xia, H.; Wang, L.; Fang, C.; Shen, C.; Man, Y.B.; Wong, M.H.; et al. MgFe-LDH@biochars for removing ammonia nitrogen and phosphorus from biogas slurry: Synthesis routes, composite performance, and adsorption mechanisms. Chemosphere 2023, 324, 138333. [Google Scholar] [CrossRef]
- Hudcová, B.; Fein, J.B.; Tsang, D.C.W.; Komárek, M. Mg-Fe LDH-coated biochars for metal(loid) removal: Surface complexation modeling and structural change investigations. Chem. Eng. J. 2022, 432, 134360. [Google Scholar] [CrossRef]








| Biochar | Soil Type | PTE | C0 (mg/kg) | Dose (%) | T (day) | Efficiency (%) | Reference |
|---|---|---|---|---|---|---|---|
| Corn straw biochar | Yellow-brown soil | Cd As | 2.15 243 | 1 | 10 | 18.9 No effect | [39] |
| Magnetized red cedar biochar (PM) | Brown soil | Cd As | 12.1 47.3 | 10 | 1 | 17 23 | [40] |
| Magnetized red cedar biochar (MP) | Brown soil | Cd As | 12.1 47.3 | 10 | 1 | 23 4.7 | [40] |
| Magnetized red cedar biochar (PMP) | Brown soil | Cd As | 12.1 47.3 | 10 | 1 | 25 28 | [40] |
| Silkworm excrement biochar | Calcareous soil | Cd As | 7.7 27.3 | 1 | 82 | 16.7 16.7 | [41] |
| Iron-modified biochar | Red soil | Cd As | 4.09 60.6 | 1 | 55 | 27.6 25.5 | [42] |
| Calcium-based magnetic rice straw biochar | Grayish yellow mud field soil | Cd As | 3.01 46.9 | 1 | 160 | 23 12 | [24] |
| Corn stalk biochar | Baiyin soil | Cd As | 227.8 100.2 | 2 | 7 | 14.8 −119 | [43] |
| Corn stalk biochar | Baiyin soil | Cd As | 227.8 100.2 | 2 | 28 | 24.9 −58.8 | [43] |
| Biochar-supported nZVI | Red soil | Cd As | 0.85 33.9 | 1 | 180 | 21.9 32.6 | [44] |
| Iron-silicon modified biochar | Red soil | Cd As | 1.56 64.7 | 0.35 | 140 | 42.1 No effect | [12] |
| Iron-silicon modified biochar | Red soil | Cd As | 1.56 64.7 | 1 | 140 | 37.0 No effect | [12] |
| Iron-silicon modified biochar | Red soil | Cd As | 0.34 21.7 | 1 | 140 | No effect 20.2 | [12] |
| Si-rich biochar | Red soil | Cd As | 0.5 141 | 3 | 139 | No effect No effect | [5] |
| P-rich biochar | Red soil | Cd As | 0.5 141 | 3 | 139 | 35.0 −13.9 | [5] |
| Fe-modified Si-rich biochar | Red soil | Cd As | 0.5 141 | 3 | 139 | 14.2 46.9 | [5] |
| Fe-modified P-rich biochar | Red soil | Cd As | 0.5 141 | 3 | 139 | 21.1 20.5 | [5] |
| Rice husk biochar | Red soil | Cd As | 3.38 44.6 | 5 | 42 | −14.5 −77.1 | [45] |
| Birnessite-loaded biochar | Red soil | Cd As | 3.38 44.6 | 5 | 42 | 87.4 −34.9 | [45] |
| Phosphorus-modified corn stalk biochar | Red soil | Cd As | 110 190 | 10 | 60 | 15.2 −26.6 | [46] |
| FSRBL | Red soil | Cd As | 1.82 52.6 | 2.5% | 50 | 50.0 77.8 | This study |
| FSRBL | Red soil | Cd As | 4.29 110 | 2.5% | 50 | 34.8 63.9 | This study |
| FSRBL | Red soil | Cd As | 6.68 416 | 2.5% | 50 | 42.1 93.1 | This study |
| FSRBL | Black soil | Cd As | 1.44 54.5 | 2.5% | 50 | 60.2 76.8 | This study |
| FSRBL | Black soil | Cd As | 3.83 130 | 2.5% | 50 | 20.2 92.1 | This study |
| FSRBL | Black soil | Cd As | 6.36 419 | 2.5% | 50 | 35.0 73.4 | This study |
| PTE | Immobilization Efficiency (%) | Theoretical Addition Amount (%, w/w) | ||||||
|---|---|---|---|---|---|---|---|---|
| RL | RM | RH | BL | BM | BH | Average | ||
| Cd | EC20 | 0.87 | 0.77 | 0.64 | 0.16 | 1.77 | 0.72 | 0.82 |
| EC30 | - | 1.33 | 1.06 | 0.27 | 3.48 | 1.54 | 1.54 | |
| As | EC20 | 0.69 | 0.37 | 0.40 | 0.72 | 0.31 | 0.32 | 0.47 |
| EC30 | 1.07 | 0.67 | 0.59 | 1.54 | 0.38 | 0.49 | 0.79 | |
Disclaimer/Publisher’s Note: The statements, opinions and data contained in all publications are solely those of the individual author(s) and contributor(s) and not of MDPI and/or the editor(s). MDPI and/or the editor(s) disclaim responsibility for any injury to people or property resulting from any ideas, methods, instructions or products referred to in the content. |
© 2025 by the authors. Licensee MDPI, Basel, Switzerland. This article is an open access article distributed under the terms and conditions of the Creative Commons Attribution (CC BY) license (https://creativecommons.org/licenses/by/4.0/).
Share and Cite
Zhou, X.; Li, L.; Kang, M. Waste Algae-Derived Biochar Composites for Synergistic Soil Cd–As Immobilization: Feasibility, Dose–Response Thresholds, and Mechanism. Agronomy 2025, 15, 2913. https://doi.org/10.3390/agronomy15122913
Zhou X, Li L, Kang M. Waste Algae-Derived Biochar Composites for Synergistic Soil Cd–As Immobilization: Feasibility, Dose–Response Thresholds, and Mechanism. Agronomy. 2025; 15(12):2913. https://doi.org/10.3390/agronomy15122913
Chicago/Turabian StyleZhou, Xue, Lianfang Li, and Mengqi Kang. 2025. "Waste Algae-Derived Biochar Composites for Synergistic Soil Cd–As Immobilization: Feasibility, Dose–Response Thresholds, and Mechanism" Agronomy 15, no. 12: 2913. https://doi.org/10.3390/agronomy15122913
APA StyleZhou, X., Li, L., & Kang, M. (2025). Waste Algae-Derived Biochar Composites for Synergistic Soil Cd–As Immobilization: Feasibility, Dose–Response Thresholds, and Mechanism. Agronomy, 15(12), 2913. https://doi.org/10.3390/agronomy15122913

