Sign in to use this feature.

Years

Between: -

Subjects

remove_circle_outline
remove_circle_outline
remove_circle_outline
remove_circle_outline
remove_circle_outline
remove_circle_outline
remove_circle_outline

Journals

Article Types

Countries / Regions

Search Results (15)

Search Parameters:
Keywords = benzoporphyrins

Order results
Result details
Results per page
Select all
Export citation of selected articles as:
14 pages, 1334 KB  
Article
Optimisation of an nIR-Emitting Benzoporphyrin Pressure-Sensitive Paint Formulation
by Elliott J. Nunn, Louise S. Natrajan and Mark K. Quinn
Sensors 2025, 25(15), 4560; https://doi.org/10.3390/s25154560 - 23 Jul 2025
Viewed by 911
Abstract
The use of pressure-sensitive paints (PSPs), an optical oxygen sensing technique, to visualise and measure the surface pressure on vehicle models in wind tunnel testing is becoming increasingly prevalent. Porphyrins have long been the standard luminophore for PSP formulations, with the majority employing [...] Read more.
The use of pressure-sensitive paints (PSPs), an optical oxygen sensing technique, to visualise and measure the surface pressure on vehicle models in wind tunnel testing is becoming increasingly prevalent. Porphyrins have long been the standard luminophore for PSP formulations, with the majority employing the red-emitting platinum(II)-5,10,15,20-tetrakis-(2,3,4,5,6-pentafluorphenyl)-porphyrin. nIR-emitting luminophores, such as Pt(II) tetraphenyl tetrabenzoporphyrins, possess distinct advantages over visible emitting luminophores. In particular, they have wider spectrally useful ‘windows’, facilitating the insertion of a secondary visible emitting temperature-sensitive luminophore to be used for internal calibration without spectral crosstalk that detrimentally impacts PSP performance. In this work, we explore the effect of changing the loading quantity of an nIR-emitting para-CF3 Pt(II) benzoporphyrin luminophore on the performance of PSP formulations. An optimal luminophore loading of 1.28% wt/wt benzoporphyrin luminophore to polystyrene binder was identified, resulting in a low temperature sensitivity at 100 kPa of 0.61%/K and a large pressure sensitivity at 293 K of 0.740%/kPa. These strong performance metrics, for a polystyrene-based PSP, demonstrate the efficacy of benzoporphyrin luminophores as an attractive luminophore option for the development of a new generation of high-performance PSP formulations that outperform current commercially available ones. Full article
(This article belongs to the Special Issue Colorimetric and Fluorescent Sensors and Their Application)
Show Figures

Figure 1

28 pages, 11443 KB  
Article
Synthesis and Spectroscopic Characterization of Bis(thiadiazolo)benzoporphyrinoids: Insights into the Properties of Porphyrin-Type Systems with Strongly Electron-Withdrawing β,β’-Fused Rings
by Timothy D. Lash, Catherine M. Cillo and Deyaa I. AbuSalim
Molecules 2025, 30(8), 1822; https://doi.org/10.3390/molecules30081822 - 18 Apr 2025
Viewed by 815
Abstract
A series of porphyrinoids fused to highly electron-withdrawing bis(thiadiazolo)benzene units have been prepared and spectroscopically characterized. These structures have modified chromophores and exhibit large bathochromic shifts. The nickel(II), copper(II) and zinc complexes of a bis(thiadiazolo)benzoporphyrin were prepared, and these showed strong absorptions above [...] Read more.
A series of porphyrinoids fused to highly electron-withdrawing bis(thiadiazolo)benzene units have been prepared and spectroscopically characterized. These structures have modified chromophores and exhibit large bathochromic shifts. The nickel(II), copper(II) and zinc complexes of a bis(thiadiazolo)benzoporphyrin were prepared, and these showed strong absorptions above 600 nm that shifted to longer wavelengths with increasing atomic number for the coordinated metal cations. Although the investigated porphyrinoids were poorly soluble, proton NMR data could be obtained, and these demonstrated that the structures possess global aromatic character. This was confirmed with nucleus-independent chemical shift (NICS) calculations and anisotropy of induced current density (AICD) plots. The AICD plots also demonstrate that the fused heterocyclic unit is disconnected from the porphyrinoid π-system, and in this respect, it differs from phenanthroline-fused porphyrinoids as it shows the presence of extended conjugation pathways. Full article
(This article belongs to the Special Issue Porphyrin-Based Compounds: Synthesis and Application, 2nd Edition)
Show Figures

Graphical abstract

13 pages, 3064 KB  
Article
Photodynamic Antimicrobial Activity of a Novel 5,10,15,20-Tetrakis (4-Ethylphenyl) Porphyrin against Clinically Important Bacteria
by Fabián Espitia-Almeida, Roger Valle-Molinares, Elkin Navarro Quiroz, Leonardo C. Pacheco-Londoño and Nataly J. Galán-Freyle
Pharmaceuticals 2023, 16(8), 1059; https://doi.org/10.3390/ph16081059 - 26 Jul 2023
Cited by 3 | Viewed by 2846
Abstract
The growing emergence of microbes resistant to commercially available antibiotic therapies poses a threat to healthcare systems worldwide. Multiple factors have been associated with the increasing incidence of hospital-acquired infections caused by antibiotic-resistant pathogens, including the indiscriminate use of broad-spectrum antibiotics, the massive [...] Read more.
The growing emergence of microbes resistant to commercially available antibiotic therapies poses a threat to healthcare systems worldwide. Multiple factors have been associated with the increasing incidence of hospital-acquired infections caused by antibiotic-resistant pathogens, including the indiscriminate use of broad-spectrum antibiotics, the massive application of antibiotics in hospitals as a prophylactic measure, self-medication, and nonadherence to pharmacological therapies by patients. In this study, we developed a novel treatment to mitigate the impact of microbial resistance. We synthesized a benzoporphyrin derivative, 5,10,15,20-tetrakis (4-ethylphenyl) porphyrin (TEtPP), with a reaction yield close to 50%. TEtPP exhibited excellent photophysical properties (Φf = 0.12 ± 0.04 and ΦΔ = 0.81 ± 0.23) and was thereby assessed as a potential agent for antibacterial photodynamic therapy. The photophysical properties of the synthesized porphyrin derivative were correlated with the assayed antimicrobial activity. TEtPP showed higher activity against the MRSA strain under irradiation than in the absence of irradiation (minimum inhibitory concentration (MIC) = 69.42 µg/mL vs. MIC = 109.30 µg/mL, p < 0.0001). Similar behavior was observed against P. aeruginosa (irradiated MIC = 54.71 µg/mL vs. nonirradiated MIC = 402.90 µg/mL, p < 0.0001). TEtPP exhibited high activity against S. aureus in both the irradiated and nonirradiated assays (MIC = 67.68 µg/mL vs. MIC = 58.26 µg/mL, p = 0.87). Full article
(This article belongs to the Section Medicinal Chemistry)
Show Figures

Figure 1

7 pages, 747 KB  
Proceeding Paper
Synthetic Access to Tetracationic Benzoporphyrins and Their Role as Photosensitizers towards Gram-Negative Escherichia coli 
by Filipe M. P. Morais, Cátia Vieira, Ana T. P. C. Gomes, Maria A. F. Faustino, Adelaide Almeida, Maria G. P. M. S. Neves and Nuno M. M. Moura
Chem. Proc. 2022, 12(1), 10; https://doi.org/10.3390/ecsoc-26-13587 - 15 Nov 2022
Viewed by 1824
Abstract
Currently, world population faces an episode where bacteria are becoming resistant to antibiotics, and it is crucial to find alternatives and new molecules to fight these microorganisms. Photodynamic inactivation of microorganisms has been pointed out as an alternative to conventional therapies. This work [...] Read more.
Currently, world population faces an episode where bacteria are becoming resistant to antibiotics, and it is crucial to find alternatives and new molecules to fight these microorganisms. Photodynamic inactivation of microorganisms has been pointed out as an alternative to conventional therapies. This work describes the synthesis of benzoporphyrins derivatives bearing triazolyl groups and of the analogues with pyridyl units under Heck coupling conditions. The benzoporphyrin derivatives containing pyridyl groups were further quaternized with iodomethane and 1-iodopentane to evaluate the influence of alkyl chain size on their photoinactivation ability. The biological studies towards Gram-negative Escherichia coli showed that the tetracationic benzoporphyrins can efficiently inactivate this bacterium. Full article
Show Figures

Figure 1

15 pages, 2879 KB  
Article
Optimizing the Pharmacological and Optical Dosimetry for Photodynamic Therapy with Methylene Blue and Nanoliposomal Benzoporphyrin on Pancreatic Cancer Spheroids
by Tristan Le Clainche, Nazareth Milagros Carigga Gutierrez, Núria Pujol-Solé, Jean-Luc Coll and Mans Broekgaarden
Onco 2022, 2(1), 19-33; https://doi.org/10.3390/onco2010002 - 7 Jan 2022
Cited by 8 | Viewed by 5403
Abstract
Photodynamic therapy (PDT) is a cancer treatment that relies on the remote-controlled activation of photocatalytic dyes (photosensitizers) in cancer tissues. To effectively treat cancer, a variety of pharmacological and optical parameters require optimization, which are dependent on the photosensitizer type. As most photosensitizers [...] Read more.
Photodynamic therapy (PDT) is a cancer treatment that relies on the remote-controlled activation of photocatalytic dyes (photosensitizers) in cancer tissues. To effectively treat cancer, a variety of pharmacological and optical parameters require optimization, which are dependent on the photosensitizer type. As most photosensitizers are hydrophobic molecules, nanoliposomes are frequently used to increase the biocompatibility of these therapeutics. However, as nanoliposomes can influence the therapeutic performance of photosensitizers, the most suitable treatment parameters need to be elucidated. Here, we evaluate the efficacy of PDT on spheroid cultures of PANC-1 and MIA PaCa-2 pancreatic cancer cells. Two strategies to photosensitize the pancreatic microtumors were selected, based on either nanoliposomal benzoporphyrin derivative (BPD), or non-liposomal methylene blue (MB). Using a comprehensive image-based assay, our findings show that the PDT efficacy manifests in distinct manners for each photosensitizer. Moreover, the efficacy of each photosensitizer is differentially influenced by the photosensitizer dose, the light dose (radiant exposure or fluence in J/cm2), and the dose rate (fluence rate in mW/cm2). Taken together, our findings illustrate that the most suitable light dosimetry for PDT strongly depends on the selected photosensitization strategy. The PDT dose parameters should therefore always be carefully optimized for different models of cancer. Full article
(This article belongs to the Special Issue Feature Papers in Onco)
Show Figures

Figure 1

22 pages, 4851 KB  
Article
Combined Fluorescence and Optoacoustic Imaging for Monitoring Treatments against CT26 Tumors with Photoactivatable Liposomes
by Ilya Turchin, Shazia Bano, Mikhail Kirillin, Anna Orlova, Valeriya Perekatova, Vladimir Plekhanov, Ekaterina Sergeeva, Daria Kurakina, Aleksandr Khilov, Alexey Kurnikov, Pavel Subochev, Marina Shirmanova, Anastasiya Komarova, Diana Yuzhakova, Alena Gavrina, Srivalleesha Mallidi and Tayyaba Hasan
Cancers 2022, 14(1), 197; https://doi.org/10.3390/cancers14010197 - 31 Dec 2021
Cited by 15 | Viewed by 3954
Abstract
The newly developed multimodal imaging system combining raster-scan optoacoustic (OA) microscopy and fluorescence (FL) wide-field imaging was used for characterizing the tumor vascular structure with 38/50 μm axial/transverse resolution and assessment of photosensitizer fluorescence kinetics during treatment with novel theranostic agents. A multifunctional [...] Read more.
The newly developed multimodal imaging system combining raster-scan optoacoustic (OA) microscopy and fluorescence (FL) wide-field imaging was used for characterizing the tumor vascular structure with 38/50 μm axial/transverse resolution and assessment of photosensitizer fluorescence kinetics during treatment with novel theranostic agents. A multifunctional photoactivatable multi-inhibitor liposomal (PMILs) nano platform was engineered here, containing a clinically approved photosensitizer, Benzoporphyrin derivative (BPD) in the bilayer, and topoisomerase I inhibitor, Irinotecan (IRI) in its inner core, for a synergetic therapeutic impact. The optimized PMIL was anionic, with the hydrodynamic diameter of 131.6 ± 2.1 nm and polydispersity index (PDI) of 0.05 ± 0.01, and the zeta potential between −14.9 ± 1.04 to −16.9 ± 0.92 mV. In the in vivo studies on BALB/c mice with CT26 tumors were performed to evaluate PMILs’ therapeutic efficacy. PMILs demonstrated the best inhibitory effect of 97% on tumor growth compared to the treatment with BPD-PC containing liposomes (PALs), 81%, or IRI containing liposomes (L-[IRI]) alone, 50%. This confirms the release of IRI within the tumor cells upon PMILs triggering by NIR light, which is additionally illustrated by FL monitoring demonstrating enhancement of drug accumulation in tumor initiated by PDT in 24 h after the treatment. OA monitoring revealed the largest alterations of the tumor vascular structure in the PMILs treated mice as compared to BPD-PC or IRI treated mice. The results were further corroborated with histological data that also showed a 5-fold higher percentage of hemorrhages in PMIL treated mice compared to the control groups. Overall, these results suggest that multifunctional PMILs simultaneously delivering PDT and chemotherapy agents along with OA and FL multi-modal imaging offers an efficient and personalized image-guided platform to improve cancer treatment outcomes. Full article
Show Figures

Figure 1

17 pages, 2713 KB  
Article
Photodynamic Priming Improves the Anti-Migratory Activity of Prostaglandin E Receptor 4 Antagonist in Cancer Cells In Vitro
by Aaron J. Sorrin, Cindy Liu, Julia Cicalo, Jocelyn Reader, Daniel Najafali, Yuji Zhang, Dana M. Roque and Huang-Chiao Huang
Cancers 2021, 13(21), 5259; https://doi.org/10.3390/cancers13215259 - 20 Oct 2021
Cited by 9 | Viewed by 3585
Abstract
The combination of photodynamic agents and biological inhibitors is rapidly gaining attention for its promise and approval in treating advanced cancer. The activity of photodynamic treatment is mainly governed by the formation of reactive oxygen species upon light activation of photosensitizers. Exposure to [...] Read more.
The combination of photodynamic agents and biological inhibitors is rapidly gaining attention for its promise and approval in treating advanced cancer. The activity of photodynamic treatment is mainly governed by the formation of reactive oxygen species upon light activation of photosensitizers. Exposure to reactive oxygen species above a threshold dose can induce cellular damage and cancer cell death, while the surviving cancer cells are “photodynamically primed”, or sensitized, to respond better to other drugs and biological treatments. Here, we report a new combination regimen of photodynamic priming (PDP) and prostaglandin E2 receptor 4 (EP4) inhibition that reduces the migration and invasion of two human ovarian cancer cell lines (OVCAR-5 and CAOV3) in vitro. PDP is achieved by red light activation of the FDA-approved photosensitizer, benzoporphyrin derivative (BPD), or a chemical conjugate composed of the BPD linked to cetuximab, an anti-epithelial growth factor receptor (EGFR) antibody. Immunoblotting data identify co-inhibition of EGFR, cAMP-response element binding protein (CREB), and extracellular signal-regulated kinase 1/2 (ERK1/2) as key in the signaling cascades modulated by the combination of EGFR-targeted PDP and EP4 inhibition. This study provides valuable insights into the development of a molecular-targeted photochemical strategy to improve the anti-metastatic effects of EP4 receptor antagonists. Full article
Show Figures

Figure 1

17 pages, 2137 KB  
Article
Unraveling the Photodynamic Activity of Cationic Benzoporphyrin-Based Photosensitizers against Bladder Cancer Cells
by Ana T. P. C. Gomes, M. Graça P. M. S. Neves, Rosa Fernandes, Carlos F. Ribeiro, José A. S. Cavaleiro and Nuno M. M. Moura
Molecules 2021, 26(17), 5312; https://doi.org/10.3390/molecules26175312 - 1 Sep 2021
Cited by 7 | Viewed by 3556
Abstract
In this study, we report the preparation of new mono-charged benzoporphyrin complexes by reaction of the appropriate neutral benzoporphyrin with (2,2′-bipyridine)dichloroplatinum(II) and of the analogs’ derivatives synthesized through alkylation of the neutral scaffold with iodomethane. All derivatives were incorporated into polyvinylpyrrolidone (PVP) micelles. [...] Read more.
In this study, we report the preparation of new mono-charged benzoporphyrin complexes by reaction of the appropriate neutral benzoporphyrin with (2,2′-bipyridine)dichloroplatinum(II) and of the analogs’ derivatives synthesized through alkylation of the neutral scaffold with iodomethane. All derivatives were incorporated into polyvinylpyrrolidone (PVP) micelles. The ability of the resultant formulations to generate reactive oxygen species was evaluated, mainly the singlet oxygen formation. Then, the capability of the PVP formulations to act as photosensitizers against bladder cancer cells was assessed. Some of the studied formulations were the most active photosensitizers causing a decrease in HT-1376 cells’ viability. This creates an avenue to further studies related to bladder cancer cells. Full article
(This article belongs to the Special Issue Coordination Chemistry in Cancer Therapy)
Show Figures

Graphical abstract

13 pages, 2242 KB  
Article
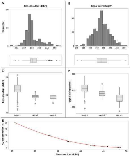
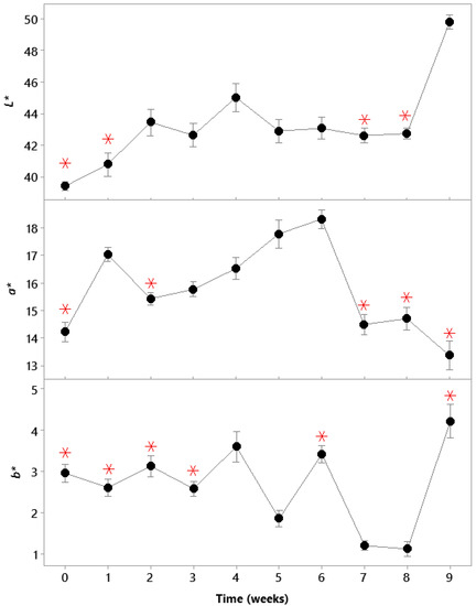
A Simple Sensor System for Onsite Monitoring of O2 in Vacuum-Packed Meats during the Shelf Life
by Elisa Santovito, Sophia Elisseeva, Malco C. Cruz-Romero, Geraldine Duffy, Joseph P. Kerry and Dmitri B. Papkovsky
Sensors 2021, 21(13), 4256; https://doi.org/10.3390/s21134256 - 22 Jun 2021
Cited by 15 | Viewed by 3656
Abstract
Vacuum packaging (VP) is used to reduce exposure of retail meat samples to ambient oxygen (O2) and preserve their quality. A simple sensor system produced from commercial components is described, which allows for non-destructive monitoring of the O2 concentration in [...] Read more.
Vacuum packaging (VP) is used to reduce exposure of retail meat samples to ambient oxygen (O2) and preserve their quality. A simple sensor system produced from commercial components is described, which allows for non-destructive monitoring of the O2 concentration in VP raw meat samples. Disposable O2 sensor inserts were produced by spotting small aliquots of the cocktail of the Pt–benzoporphyrin dye and polystyrene in ethyl acetate onto pieces of a PVDF membrane and allowing them to air-dry. These sensor dots were placed on top of the beef cuts and vacuum-packed. A handheld reader, FirestinGO2, was used to read nondestructively the sensor phase shift signals (dphi°) and relate them to the O2 levels in packs (kPa or %). The system was validated under industrial settings at a meat processing plant to monitor O2 in VP meat over nine weeks of shelf life storage. The dphi° readings from individual batch-calibrated sensors were converted into the O2 concentration by applying the following calibration equation: O2 (%) = 0.034 * dphi°2 − 3.413 * dphi° + 85.02. In the VP meat samples, the O2 levels were seen to range between 0.12% and 0.27%, with the sensor dphi signals ranging from 44.03° to 56.02°. The DIY sensor system demonstrated ease of use on-site, fast measurement time, high sample throughput, low cost and flexibility. Full article
(This article belongs to the Section Optical Sensors)
Show Figures

Figure 1

13 pages, 2576 KB  
Article
Photoproducts of the Photodynamic Therapy Agent Verteporfin Identified via Laser Interfaced Mass Spectrometry
by Chris Furlan, Jacob A. Berenbeim and Caroline E. H. Dessent
Molecules 2020, 25(22), 5280; https://doi.org/10.3390/molecules25225280 - 12 Nov 2020
Cited by 7 | Viewed by 3971
Abstract
Verteporfin, a free base benzoporphyrin derivative monoacid ring A, is a photosensitizing drug for photodynamic therapy (PDT) used in the treatment of the wet form of macular degeneration and activated by red light of 689 nm. Here, we present the first direct study [...] Read more.
Verteporfin, a free base benzoporphyrin derivative monoacid ring A, is a photosensitizing drug for photodynamic therapy (PDT) used in the treatment of the wet form of macular degeneration and activated by red light of 689 nm. Here, we present the first direct study of its photofragmentation channels in the gas phase, conducted using a laser interfaced mass spectrometer across a broad photoexcitation range from 250 to 790 nm. The photofragmentation channels are compared with the collision-induced dissociation (CID) products revealing similar dissociation pathways characterized by the loss of the carboxyl and ester groups. Complementary solution-phase photolysis experiments indicate that photobleaching occurs in verteporfin in acetonitrile; a notable conclusion, as photoinduced activity in Verteporfin was not thought to occur in homogenous solvent conditions. These results provide unique new information on the thermal break-down products and photoproducts of this light-triggered drug. Full article
Show Figures

Graphical abstract

20 pages, 6460 KB  
Article
Systematic Evaluation of Light-Activatable Biohybrids for Anti-Glioma Photodynamic Therapy
by Collin T. Inglut, Yan Baglo, Barry J. Liang, Yahya Cheema, Jillian Stabile, Graeme F. Woodworth and Huang-Chiao Huang
J. Clin. Med. 2019, 8(9), 1269; https://doi.org/10.3390/jcm8091269 - 21 Aug 2019
Cited by 23 | Viewed by 4219
Abstract
Photosensitizing biomolecules (PSBM) represent a new generation of light-absorbing compounds with improved optical and physicochemical properties for biomedical applications. Despite numerous advances in lipid-, polymer-, and protein-based PSBMs, their effective use requires a fundamental understanding of how macromolecular structure influences the physicochemical and [...] Read more.
Photosensitizing biomolecules (PSBM) represent a new generation of light-absorbing compounds with improved optical and physicochemical properties for biomedical applications. Despite numerous advances in lipid-, polymer-, and protein-based PSBMs, their effective use requires a fundamental understanding of how macromolecular structure influences the physicochemical and biological properties of the photosensitizer. Here, we prepared and characterized three well-defined PSBMs based on a clinically used photosensitizer, benzoporphyrin derivative (BPD). The PSBMs include 16:0 lysophosphocholine-BPD (16:0 Lyso PC-BPD), distearoyl-phosphoethanolamine-polyethylene-glycol-BPD (DSPE-PEG-BPD), and anti-EGFR cetuximab-BPD (Cet-BPD). In two glioma cell lines, DSPE-PEG-BPD exhibited the highest singlet oxygen yield but was the least phototoxic due to low cellular uptake. The 16:0 Lyso PC-BPD was most efficient in promoting cellular uptake but redirected BPD’s subcellular localization from mitochondria to lysosomes. At 24 h after incubation, proteolyzed Cet-BPD was localized to mitochondria and effectively disrupted the mitochondrial membrane potential upon light activation. Our results revealed the variable trafficking and end effects of PSBMs, providing valuable insights into methods of PSBM evaluation, as well as strategies to select PSBMs based on subcellular targets and cytotoxic mechanisms. We demonstrated that biologically informed combinations of PSBMs to target lysosomes and mitochondria, concurrently, may lead to enhanced therapeutic effects against gliomas. Full article
(This article belongs to the Special Issue The Past, Present and Future of Photodynamic Therapy for Cancers)
Show Figures

Figure 1

12 pages, 3380 KB  
Article
Towards Bimodal Optical Monitoring of Photodynamic Therapy with Targeted Nanoconstructs: A Phantom Study
by Daria Kurakina, Mikhail Kirillin, Valeriya Perekatova, Vladimir Plekhanov, Anna Orlova, Ekaterina Sergeeva, Aleksandr Khilov, Anastasiya Nerush, Pavel Subochev, Srivalleesha Mallidi, Ilya Turchin and Tayyaba Hasan
Appl. Sci. 2019, 9(9), 1918; https://doi.org/10.3390/app9091918 - 10 May 2019
Cited by 11 | Viewed by 3525
Abstract
Increase of the efficiency of photodynamic therapy (PDT) requires the development of advanced protocols employing both novel photosensitizer (PS) carriers and aids for online monitoring. Nanoconstructs may be comprised of a photosensitizer, chemotherapy drugs, or inhibitors of molecular pathways that support cancer growth. [...] Read more.
Increase of the efficiency of photodynamic therapy (PDT) requires the development of advanced protocols employing both novel photosensitizer (PS) carriers and aids for online monitoring. Nanoconstructs may be comprised of a photosensitizer, chemotherapy drugs, or inhibitors of molecular pathways that support cancer growth. In this paper, we analyze the efficiency of a bimodal approach involving fluorescence and optoacoustic imaging in monitoring drug distribution and photobleaching. The study evaluates typical sensitivities of these techniques to the presence of the two key moieties of a nanoconstruct: benzoporphyrin derivatives (BPD) serving as a PS, and IRDye800 acting as a contrast agent. Both imaging modalities employ dual-wavelength probing at the wavelengths corresponding to absorption peaks of BPD and IRDye800, which enables their separate detection. In an experiment on a tissue-mimicking phantom with inclusions containing separate BPD and IRDye800 solutions, fluorescence imaging demonstrated higher contrast as compared to optoacoustic imaging for both components, though strong light scattering in the surrounding media restricted accurate localization of the markers. It was also sensitive to photobleaching, which is a measure of PDT efficiency. Optoacoustic imaging demonstrated sufficient sensitivity to both components, though less than that of fluorescence imaging, however, it enabled depth-resolved detection of an absorber and estimation of its relative content. Employment of the bimodal approach in monitoring of PS photobleaching adds to its potential in intraprocedural PDT monitoring. Full article
Show Figures

Figure 1

11 pages, 2702 KB  
Article
Stability and Safety Assessment of Phosphorescent Oxygen Sensors for Use in Food Packaging Applications
by Caroline A. Kelly, Malco Cruz-Romero, Joseph P. Kerry and Dmitri B. Papkovsky
Chemosensors 2018, 6(3), 38; https://doi.org/10.3390/chemosensors6030038 - 6 Sep 2018
Cited by 18 | Viewed by 5597
Abstract
Five types of new solid-state oxygen sensors, four based on microporous polypropylene fabric materials and one on polyphenylene sulphide films impregnated with phosphorescent platinum(II)-benzoporphyrin dye, were tested for their stability and safety in food packaging applications. All these sensors exhibit useful optical signals [...] Read more.
Five types of new solid-state oxygen sensors, four based on microporous polypropylene fabric materials and one on polyphenylene sulphide films impregnated with phosphorescent platinum(II)-benzoporphyrin dye, were tested for their stability and safety in food packaging applications. All these sensors exhibit useful optical signals (phosphorescence lifetime readout) and working characteristics and are simpler and cheaper to produce and integrate into standard packaging materials than existing commercial sensors. When exposed to a panel of standard food simulants and upon direct contact with raw beef and chicken meat and cheddar cheese samples packaged under modified atmosphere, the sensors based on ungrafted polypropylene fabric, impregnated with PtBP dye by the swelling method, outperformed the other sensors. The sensors are also stable upon storage under normal atmospheric conditions for at least 12 months, without any significant changes in calibration. Full article
(This article belongs to the Collection Optical Chemosensors and Biosensors)
Show Figures

Figure 1

19 pages, 735 KB  
Article
Characterization of Lactate Sensors Based on Lactate Oxidase and Palladium Benzoporphyrin Immobilized in Hydrogels
by Liam P. Andrus, Rachel Unruh, Natalie A. Wisniewski and Michael J. McShane
Biosensors 2015, 5(3), 398-416; https://doi.org/10.3390/bios5030398 - 7 Jul 2015
Cited by 36 | Viewed by 11374
Abstract
An optical biosensor for lactate detection is described. By encapsulating enzyme-phosphor sensing molecules within permeable hydrogel materials, lactate-sensitive emission lifetimes were achieved. The relative amount of monomer was varied to compare three homo- and co-polymer materials: poly(2-hydroxyethyl methacrylate) (pHEMA) and two copolymers of [...] Read more.
An optical biosensor for lactate detection is described. By encapsulating enzyme-phosphor sensing molecules within permeable hydrogel materials, lactate-sensitive emission lifetimes were achieved. The relative amount of monomer was varied to compare three homo- and co-polymer materials: poly(2-hydroxyethyl methacrylate) (pHEMA) and two copolymers of pHEMA and poly(acrylamide) (pAam). Diffusion analysis demonstrated the ability to control lactate transport by varying the hydrogel composition, while having a minimal effect on oxygen diffusion. Sensors displayed the desired dose-variable response to lactate challenges, highlighting the tunable, diffusion-controlled nature of the sensing platform. Short-term repeated exposure tests revealed enhanced stability for sensors comprising hydrogels with acrylamide additives; after an initial “break-in” period, signal retention was 100% for 15 repeated cycles. Finally, because this study describes the modification of a previously developed glucose sensor for lactate analysis, it demonstrates the potential for mix-and-match enzyme-phosphor-hydrogel sensing for use in future multi-analyte sensors. Full article
(This article belongs to the Special Issue Fluorescence Based Sensing Technologies)
Show Figures

Graphical abstract

24 pages, 304 KB  
Review
Dye Sensitizers for Photodynamic Therapy
by Alexandra B. Ormond and Harold S. Freeman
Materials 2013, 6(3), 817-840; https://doi.org/10.3390/ma6030817 - 6 Mar 2013
Cited by 764 | Viewed by 26653
Abstract
Photofrin® was first approved in the 1990s as a sensitizer for use in treating cancer via photodynamic therapy (PDT). Since then a wide variety of dye sensitizers have been developed and a few have been approved for PDT treatment of skin and [...] Read more.
Photofrin® was first approved in the 1990s as a sensitizer for use in treating cancer via photodynamic therapy (PDT). Since then a wide variety of dye sensitizers have been developed and a few have been approved for PDT treatment of skin and organ cancers and skin diseases such as acne vulgaris. Porphyrinoid derivatives and precursors have been the most successful in producing requisite singlet oxygen, with Photofrin® still remaining the most efficient sensitizer (quantum yield = 0.89) and having broad food and drug administration (FDA) approval for treatment of multiple cancer types. Other porphyrinoid compounds that have received approval from US FDA and regulatory authorities in other countries include benzoporphyrin derivative monoacid ring A (BPD-MA), meta-tetra(hydroxyphenyl)chlorin (m-THPC), N-aspartyl chlorin e6 (NPe6), and precursors to endogenous protoporphyrin IX (PpIX): 1,5-aminolevulinic acid (ALA), methyl aminolevulinate (MAL), hexaminolevulinate (HAL). Although no non-porphyrin sensitizer has been approved for PDT applications, a small number of anthraquinone, phenothiazine, xanthene, cyanine, and curcuminoid sensitizers are under consideration and some are being evaluated in clinical trials. This review focuses on the nature of PDT, dye sensitizers that have been approved for use in PDT, and compounds that have entered or completed clinical trials as PDT sensitizers. Full article
(This article belongs to the Special Issue Advances in Colorants)
Show Figures

Figure 1

Back to TopTop