Dye Sensitizers for Photodynamic Therapy
Abstract
:1. Introduction


1.1. Photodynamic Action and Mechanisms

| Excitation | 1PS + hν → 1PS* → 3PS* | |||
| Photoprocess | Reaction | Product | ||
| Type I | 3PS* + 1PS | → | PS−• + PS+• | |
| 3PS* + D | → | PS−• + D+ | ||
| PS−• + O2 | → | 1PS + O2−• | ||
| 3PS* + O2 | → | PS+• + O2−• | ||
| 2O2−• + 2H+ | → | O2 + H2O2 | ||
| Fe3+ + O2−• | → | Fe2+ + O2 | ||
| Fe2+ + H2O2 | → | O2 + OH− + OH• | ||
| Type II | 3PS* + 3O2 | → | 1PS + 1O2 | |
1.1.1. Photodynamic Action in the Body

1.2. Light and Oxygen in PDT

1.3. Photosensitizer Distribution in Tissues
2. Photosensitizer Types
2.1. Photosensitizer Properties
- (a)
- available in pure form, of known chemical composition;
- (b)
- synthesizable from available precursors and easily reproduced;
- (c)
- high singlet oxygen quantum yield (ΦΔ);
- (d)
- strong absorption in the red region of the visible spectrum (680–800 nm) with a high extinction coefficient (εmax), e.g., 50,000–100,000 M−1 cm−1;
- (e)
- effective accumulation in tumor tissue and possession of low dark toxicity for both photosensitizer and its metabolites;
- (f)
- stable and soluble in the body’s tissue fluids, and easy delivery to the body via injection or other methods;
- (g)
- excreted from the body upon completion of treatment.
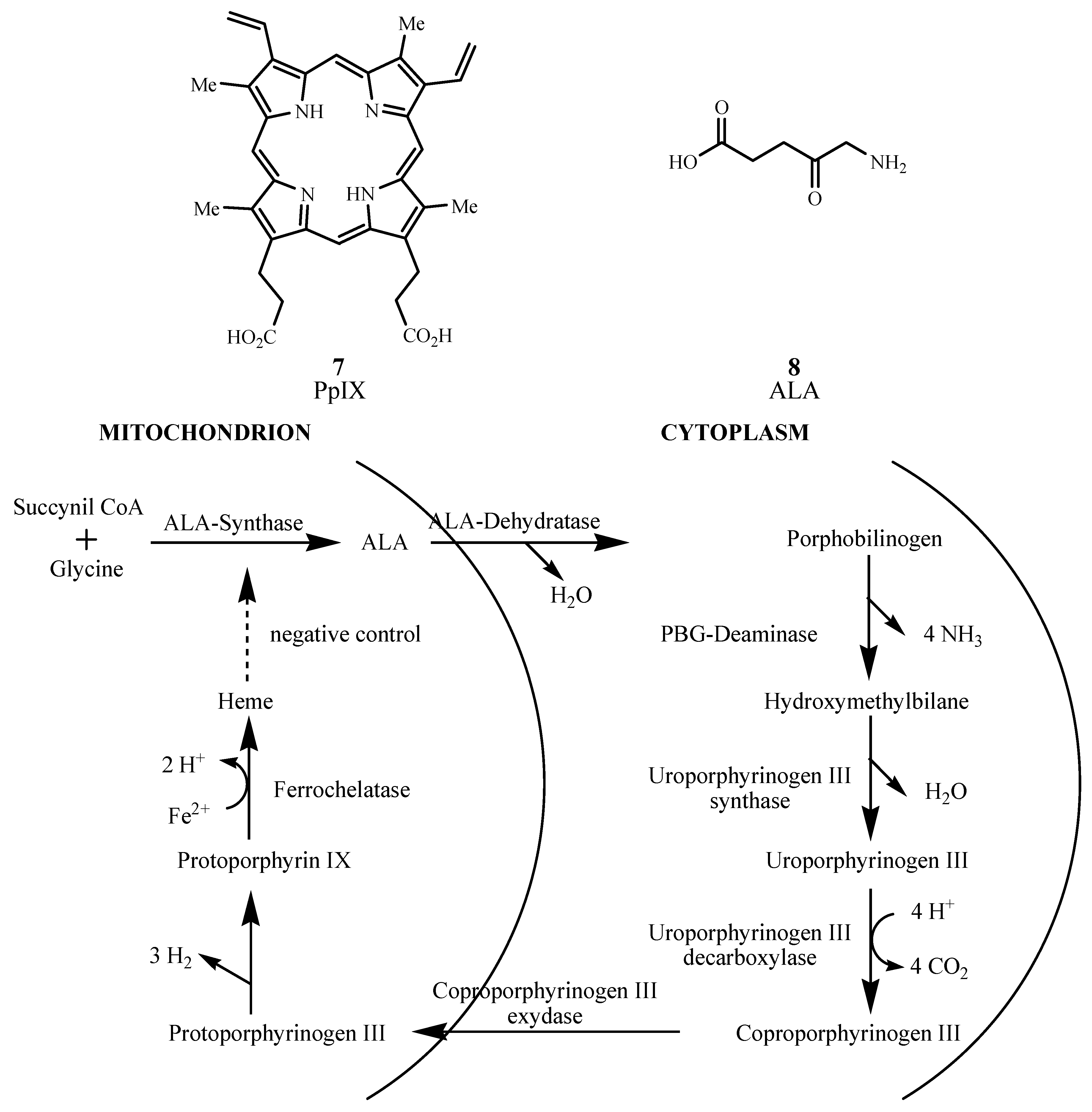
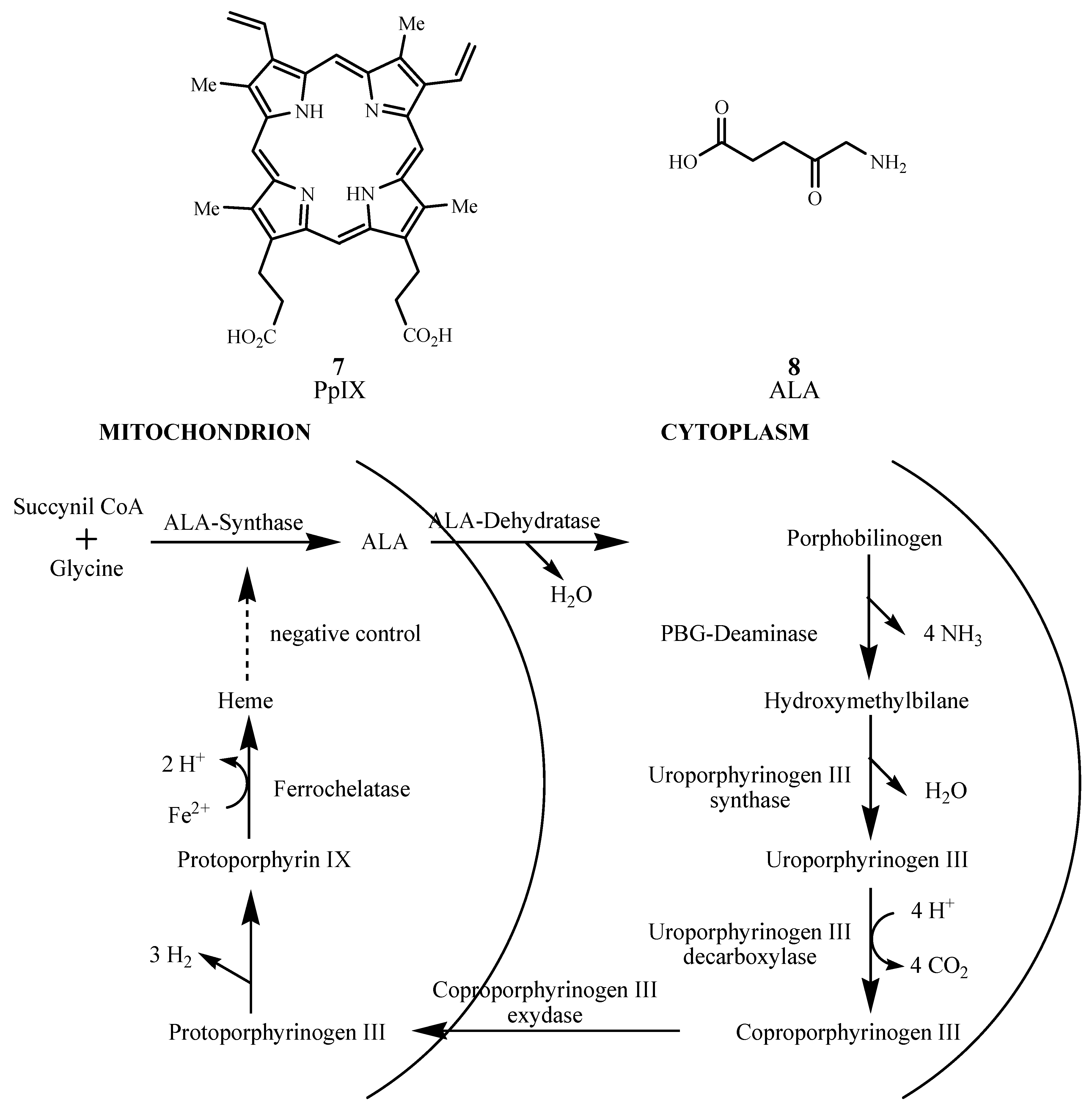
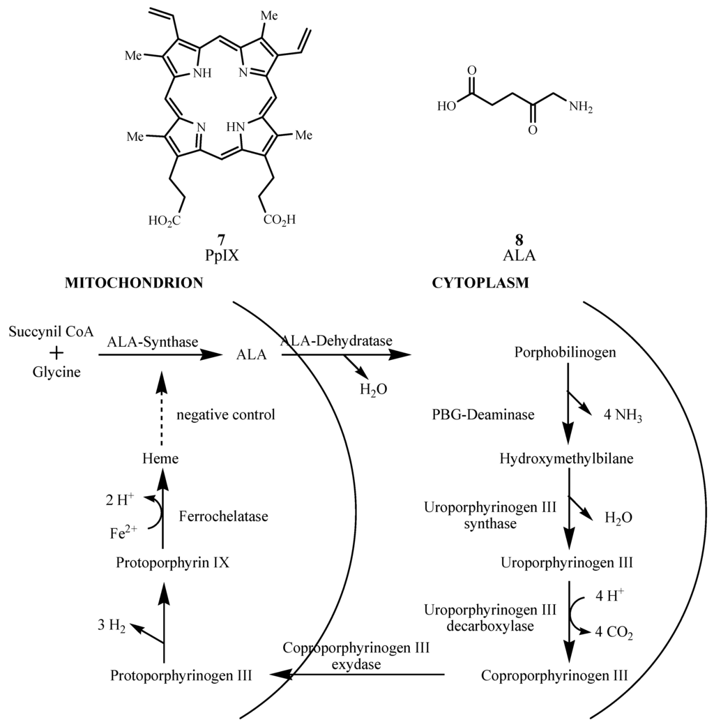
2.2. First Generation Photosensitizers

2.3. Second Generation Photosensitizers
2.3.1. Porphyrins



2.3.2. Chlorins


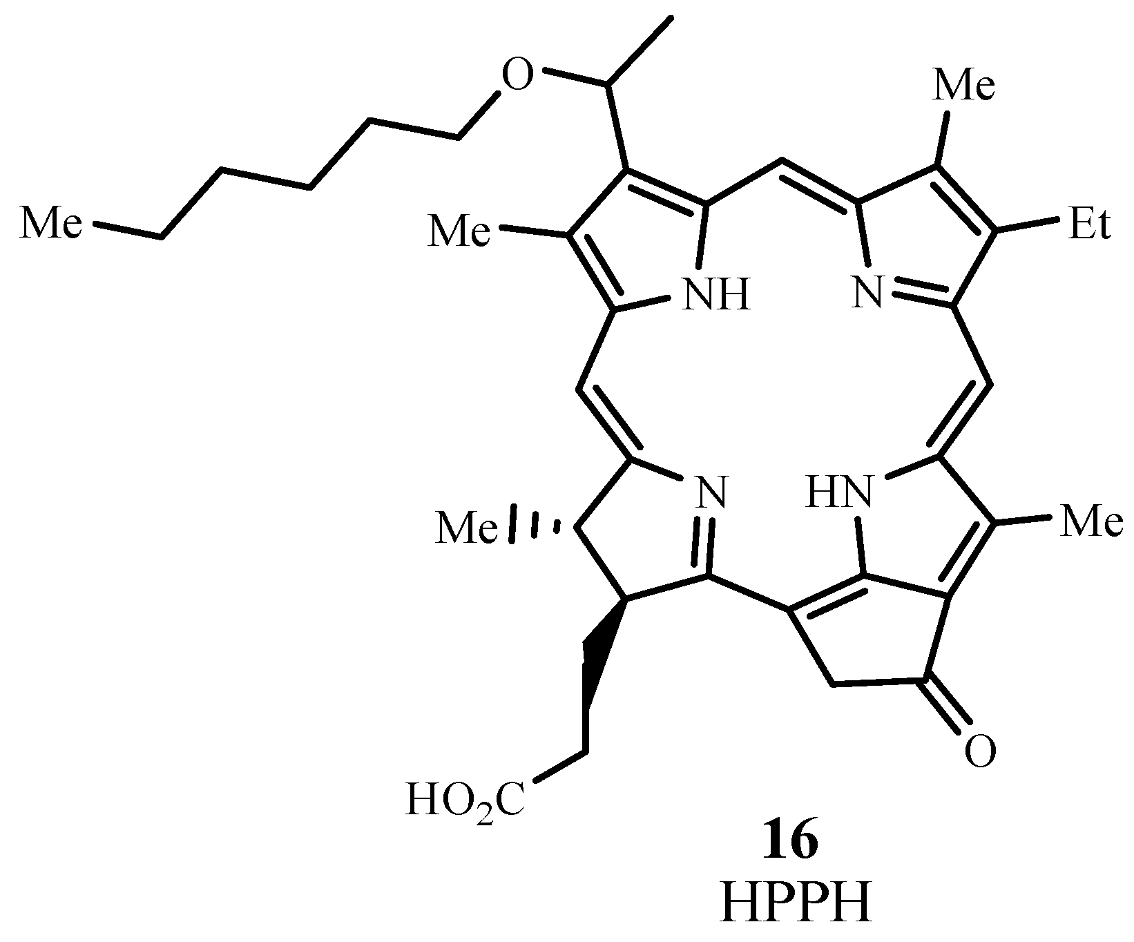
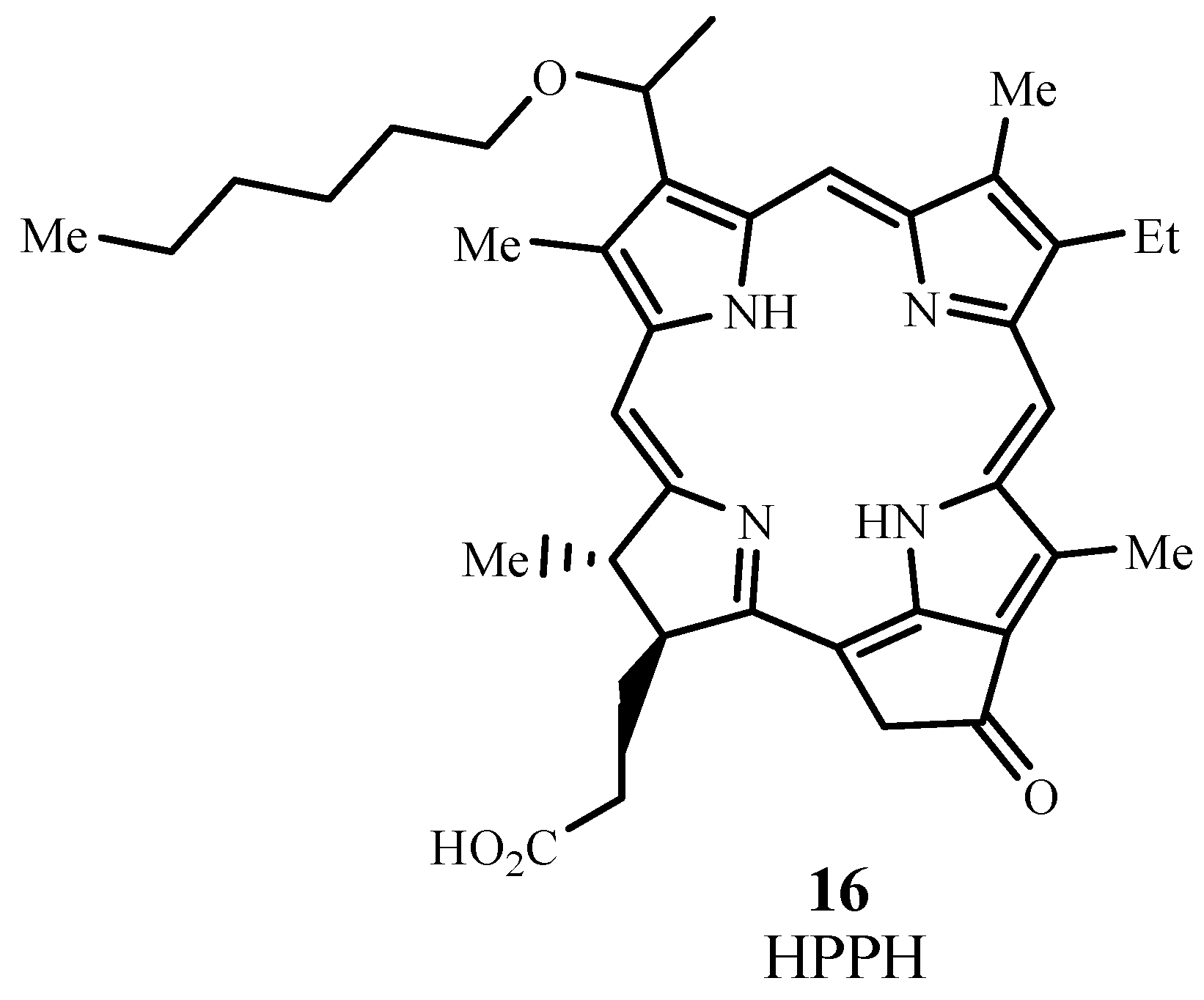
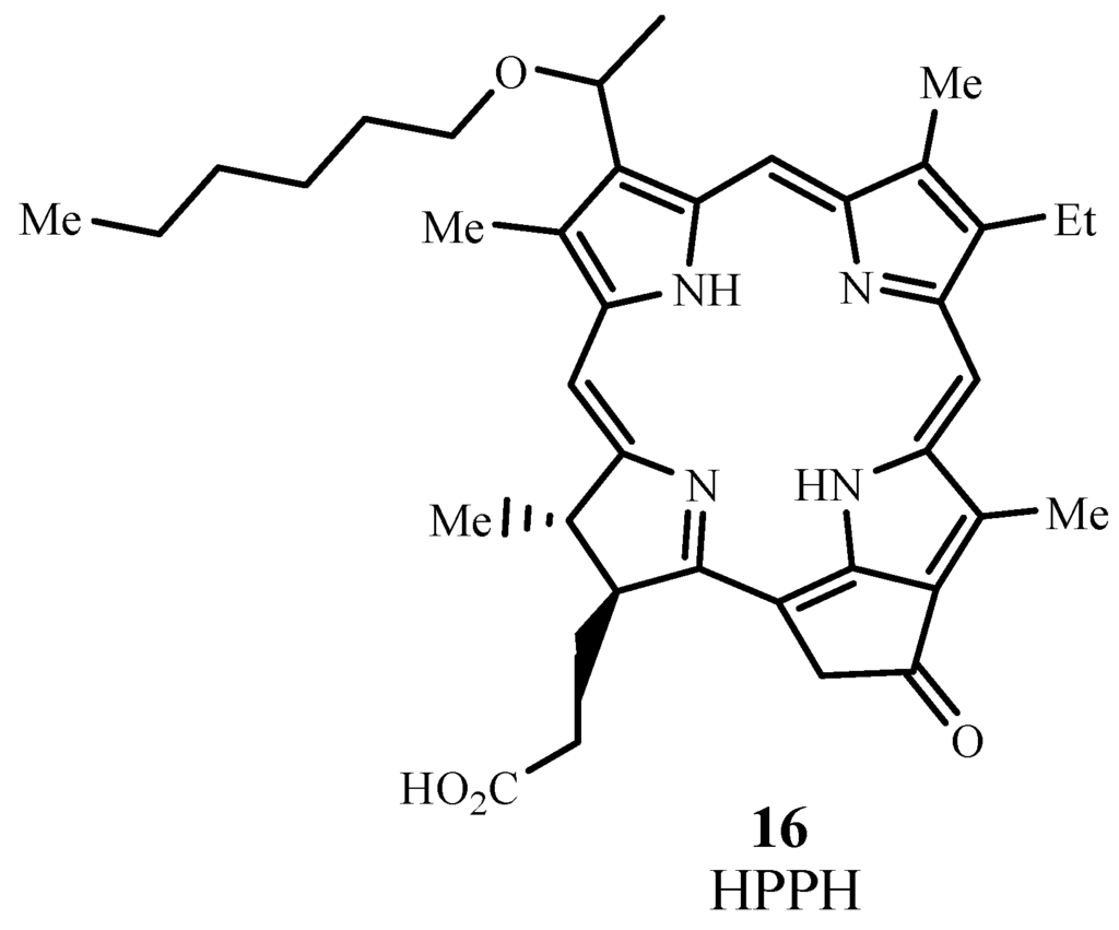
2.3.3. Pheophorbides

2.3.4. Bacteriopheophorbides

2.3.5. Texaphyrins

2.3.6. Phthalocyanines

| Compound | Trademark | λmax (nm) εmax (M−1 cm−1) | ΦΔ | Application |
|---|---|---|---|---|
| Porfimer sodium | Photofrin | 632 (3000) | 0.89 | Canada (1993)—bladder cancer; USA (1995)—esophogeal cancer; USA (1998)—lung cancer; USA (2003)—Barrett’s esophagus; Japan—cervical cancer; Europe, Canada, Japan, USA, UK—endobroncheal cancer |
| 5-Aminolevulinic acid (ALA) | Levulan | 632 (5000) | 0.56 | USA (1999)—actinic keratosis |
| Methyl aminolevulinate (MAL) | Metvixia | – | – | USA (2004)—actinic keratosis |
| Hexaminolevulinate (HAL) | Cysview | – | – | USA (2010)—bladder cancer diagnosis |
| Benzoporphyrin derivative monoacid ring A (BPD-MA) | Visudine | 689 (34,000) | 0.84 | USA (1999)—age-related macular degeneration |
| Meta-tetra(hydroxyphenyl)chlorin (m-THPC) | Foscan | 652 (35,000) | 0.87 | Europe-neck and head cancer |
| Tin ethyl etiopurpurin | Purlytin | 664 (30,000) | – | Clinical trials—breast adenocarcinoma, basal cell carcinoma, Kaposi's sarcoma, age-related macular degeneration |
| N-aspartyl chlorin e6 (NPe6) | Laserphyrin, Litx | 664 (40,000) | 0.77 | Japan (2003)-lung cancer |
| 2-(1-Hexyloxyethyl)-2-devinyl pyropheophorbide (HPPH) | Photochlor | 665 (47,000) | – | Clinical trials—esophogeal cancer, basal cell carcinoma, lung cancer, Barrett’s esophagus |
| Palladium bacteriopheophorbide (WST09) | Tookad | 763 (88,000) | 0.50 | Clinical trials—prostate cancer |
| WST11 | Stakel | – | – | Clinical trials—prostate cancer |
| Motexafin lutetium (Lu-Tex) | Lutrin, Optrin, Antrin | 732 (42,000) | – | Clinical trials—prostate cancer, age-related macular degeneration, breast cancer, cervical cancer, arterial disease |
| Aluminum phthalocyanine tetrasulfonate (AlPcS4) | Photosens | 676 (200,000) | 0.38 | Russia (2001)—stomach, skin, lips, oral cavity, tongue, breast cancer |
| Silicon phthalocyanine (Pc4) | – | 675 (200,000) | – | Clinical trials—actinic keratosis, Bowen’s disease, skin cancer, mycosis fungoides |
2.4. Non-Porphyrin Photosensitizers
2.4.1. Anthraquinones

2.4.2. Phenothiazines

2.4.3. Xanthenes

2.4.4. Cyanines

2.4.5. Curcuminoids

| Compound | λmax (nm) | εmax (M−1 cm−1) | Application |
|---|---|---|---|
| Hypericin | 590 | 44,000 | squamous cell carcinoma, basal cell carcinoma |
| Methylene blue | 666 | 82,000 | melanoma, basal cell carcinoma, Kaposi’s sarcoma, chronic periodontitis |
| Toluidine blue | 630 | 51,000 | chronic periodontitis |
| Rose bengal | 549 | 100,000 | breast carcinoma, melanoma |
| TH9402 | 514 | 100,000 | graft-versus-host disease |
| Merocyanine 540 | 556 | 110,000 | leukemia, lymphoma |
| Curcumin | 420 | 55,000 | oral disinfectant |
3. Conclusions
Acknowledgements
References
- Roelandts, R. The history of phototherapy: Something new under the sun? J. Am. Acad. Dermatol. 2002, 46, 926–930. [Google Scholar] [CrossRef] [PubMed]
- Bonnett, R. Photosensitizers of the porphyrin and phthalocyanine series for photodynamic therapy. Chem. Soc. Rev. 1995, 24, 19–33. [Google Scholar] [CrossRef]
- Gambichler, T.; Breuckmann, F.B.S.; Altmeyer, P.; Kreuter, A. Narrowband UVB phototherapy in skin conditions beyond psoriasis. J. Am. Acad. Dermatol. 2005, 52, 660–670. [Google Scholar] [CrossRef] [PubMed]
- Paus, S.; Schmidt-Hubsch, T.; Wullner, U.; Vogel, A.; Klockgether, T.; Abele, M. Bright light therapy in Parkinson’s disease: A pilot study. Mov. Disord. 2007, 22, 1495–1498. [Google Scholar] [CrossRef] [PubMed]
- Wainwright, M. Photodynamic therapy-from dyestuffs to high-tech clinical practice. Rev. Prog. Color. 2004, 34, 95–109. [Google Scholar] [CrossRef]
- Ledo, E.; Ledo, A. Phototherapy, photochemotherapy, and photodynamic therapy: Unapproved uses or indications. Clin. Dermatol. 2000, 18, 77–86. [Google Scholar] [CrossRef] [PubMed]
- Bamfield, P. Chromic Phenomena: Technological Applications of Colour Chemistry; The Royal Society of Chemistry: Cambridge, UK, 2001. [Google Scholar]
- MacDonald, I.J.; Dougherty, T.J. Basic principles of photodynamic therapy. J. Porphyr. Phthalocyanines 2001, 5, 105–129. [Google Scholar] [CrossRef]
- Zimcik, P.; Miletin, M. Photodynamic Therapy. In Dyes and Pigments: New Research; Lang, A.R., Ed.; Nova Science Publishers: New York, NY, USA, 2008. [Google Scholar]
- Dongen, G.A.M.S.V.; Visser, G.W.M.; Vrouenraets, M.B. Photosensitizer-antibody conjugates for detection and therapy of cancer. Adv. Drug Delivery Rev. 2004, 56, 31–52. [Google Scholar] [CrossRef]
- Moan, J.; Peng, Q. An Outline Of The History of PDT. In Photodynamic Therapy; Patrice, T., Ed.; Royal Society of Chemistry: Cambridge, UK, 2003. [Google Scholar]
- Moor, A.C.E.; Ortel, B.; Hasan, T. Mechanisms of Photodynamic Therapy. In Photodynamic Therapy; Patrice, T., Ed.; Royal Society of Chemistry: Cambridge, UK, 2003. [Google Scholar]
- Sternberg, E.D.; Dolphin, D.; Bruckner, C. Porphyrin-based photosensitizers for use in photodynamic therapy. Tetrahedron 1998, 54, 4151–4202. [Google Scholar] [CrossRef]
- Bellnier, D.A.; Greco, W.R.; Loewen, G.M.; Nava, H.; Oseroff, A.R.; Pandey, R.K.; Tsuchida, T.; Dougherty, T.J. Population pharmacokinetics of the photodynamic therapy agent 2-[1-hexyloxyethyl]-2-devinyl pyropheophorbide-a in cancer patients. Cancer Res. 2003, 63, 1806–1813. [Google Scholar] [PubMed]
- Evensen, J.F. The use of porphyrin and non-ionizing radiation for treatment of cancer. Acta Oncol. 1995, 34, 1103–1110. [Google Scholar] [CrossRef] [PubMed]
- Hatz, S.; Lambert, J.D.C.; Ogilby, P.R. Measuring the lifetime of singlet oxygen in a single cell: Addressing the issue of cell viability. Photochem. Photobiol. Sci. 2007, 6, 1106–1116. [Google Scholar] [CrossRef] [PubMed]
- Henderson, B.W.; Dougherty, T.J. How does photodynamic therapy work? Photochem. Photobiol. 1992, 55, 145–157. [Google Scholar] [CrossRef] [PubMed]
- Maiya, B.G. Photodynamic therapy (PDT). Resonance 2000, 5, 6–18. [Google Scholar] [CrossRef]
- Chowdhary, R.K.; Sharif, I.; Chansarkar, N.; Dolphin, D. Correlation of photosensitizer delivery to lipoproteins and efficacy in tumor and arthritis mouse models; comparison of lipid-based and Pluronic® P123 formulations. J. Pharm. Pharm. Sci. 2003, 6, 198–204. [Google Scholar] [PubMed]
- Jori, G.; Reddi, E. The role of lipoproteins in the delivery of tumor-targeting photosensitizers. Int. J. Biochem. 1993, 25, 1369–1375. [Google Scholar] [CrossRef] [PubMed]
- Stables, G.I.; Ash, D.V. Photodynamic therapy. Cancer Treat. Rev. 1995, 21, 311–323. [Google Scholar] [CrossRef] [PubMed]
- Korbelik, M. Low density lipoprotein receptor pathway in the delivery of Photofrin: How much is it relevant for selective accumulation of the photosensitizer in tumors? J. Photochem. Photobiol. B 1992, 12, 107–113. [Google Scholar] [CrossRef] [PubMed]
- Vicente, M.G.H. Porphyrin-based sensitizers in the detection and treatment of cancer: Recent progress. Curr. Med. Chem. Anti-Cancer Agents 2001, 1, 175–194. [Google Scholar] [CrossRef]
- Malik, Z.; Amit, I.; Rothmann, C. Subcellular localization of sulfonated tetraphenyl porphines in colon carcinoma cells by spectrally resolved imaging. Photochem. Photobiol. 1997, 65, 389–396. [Google Scholar] [CrossRef] [PubMed]
- Woodburn, K.W.; Vardaxis, N.J.; Hill, J.S.; Kaye, A.H.; Phillips, D.R. Subcellular localization of porphyrins using confocal laser scanning microscopy. Photochem. Photobiol. 1991, 54, 725–732. [Google Scholar] [CrossRef] [PubMed]
- Jori, G. Tumor photosensitizers: Approaches to enhance the selectivity and efficiency of photodynamic therapy. J. Photochem. Photobiol. B 1996, 36, 87–93. [Google Scholar] [CrossRef] [PubMed]
- Stapleton, M.; Rhodes, L.E. Photosensitizers for photodynamic therapy of cutaneous disease. J. Dermatol. Treat. 2003, 14, 107–112. [Google Scholar] [CrossRef]
- Labbe, R.F.; Nishida, G. A new method of hemin isolation. Biochim. Biophys. Acta 1957, 26, 437. [Google Scholar] [CrossRef] [PubMed]
- Kessel, D.; Thompson, P.; Musselman, B.; Chang, C.K. Probing the structure and stability of the tumor-localizing derivative of hematoporphyrin by reductive cleavage with LiAlH4. Cancer Res. 1987, 47, 4642–4645. [Google Scholar] [PubMed]
- Pushpan, S.K.; Venkatraman, S.; Anand, V.G.; Sankar, J.; Parmeswaran, D.; Ganesan, S.; Chandrashekar, T.K. Porphyrins in photodynamic therapy—A search for ideal photosensitizers. Curr. Med. Chem. Anti-Cancer Agents 2002, 2, 187–207. [Google Scholar] [CrossRef]
- Usuda, J.; Kato, H.; Okunaka, T.; Furukawa, K.; Tsutsi, H.; Yamada, K.; Suga, Y.; Honda, H.; Nagatsuka, Y.; Ohira, T.; Tsuboi, M.; Hirano, T. Photodynamic therapy (PDT) for lung cancers. J. Thorac. Oncol. 2006, 1, 489–493. [Google Scholar] [CrossRef] [PubMed]
- Hage, R.; Ferreira, J.; Bagnato, V.S.; Vollet-Filho, J.D.; Plapler, H. Pharmacokinetics of photogem using fluorescence spectroscopy in dimethylhydrazine-inducedmurine colorectal carcinoma. Int. J. Photoenergy 2012, 2012, 1–8. [Google Scholar] [CrossRef]
- Trindade, F.Z.; Pavarina, A.C.; Ribeiro, A.P.D.; Bagnato, V.S.; Vergani, C.E.; Souza Costa, C.A. Toxicity of photodynamic therapy with LED associated to Photogem®: An in vivo study. Lasers Mes Sci 2012, 27, 403–411. [Google Scholar] [CrossRef]
- Benes, J.; Pouckova, P.; Zeman, J.; Zadinova, M.; Sunka, P.; Lukes, P.; Kolarova, H. Effects of tandem shock waves combined with photosan and cytostatics on the growth of tumours. Folia Biol. 2011, 57, 255–260. [Google Scholar]
- Santoro, O.; Bandieramonte, G.; Melloni, E.; Marchesini, R.; Zunino, F.; Lepera, P.; de Palo, G. Photodynamic therapy by topical meso-tetraphenylporphinesulfonate tetrasodium salt administration in superficial basal cell carcinoma. Cancer Res. 1990, 50, 4501–4503. [Google Scholar] [PubMed]
- Dougherty, T.J. An update on photodynamic therapy. J. Clin. Laser Med. Surg. 2002, 20, 3–7. [Google Scholar] [CrossRef] [PubMed]
- Batlle, A.M.D.C. Porphyrins, porphyrias, cancer and photodynamic therapy—A model for carcinogenesis. J. Photochem. Photobiol. B 1993, 20, 5–22. [Google Scholar] [CrossRef] [PubMed]
- Morton, C.A.; Brown, S.B.; Collins, S.; Ibbotson, S.; Jenkinson, H.; Kurwa, H.; Langmack, K.; McKenna, K.; Moseley, H.; Pearse, A.D.; Stringer, M.; Taylor, D.K.; Wong, G.; Rhodes, L.E. Guidelines for topical photodynamic therapy: Report of a workshop of the British Photodermatology Group. Br. J. Dermatol. 2002, 146, 552–567. [Google Scholar] [CrossRef] [PubMed]
- Peng, Q.; Berg, K.; Moan, J.; Kongshaug, M.; Nesland, J.M. 5-Aminolevulinic acid-based photodynamic therapy: Principles and experimental research. Photochem. Photobiol. 1997, 65, 235–251. [Google Scholar] [CrossRef] [PubMed]
- U.S. Food and Drug Administration; Center for Drug Evaluation and Research. Metvixia NDA 21-415 approval letter. 25 May 2004; Retrieved 5 January 5 2013. Available online: http://www.accessdata.fda.gov/drugsatfda_docs/nda/2004/021415s000_Metvixia_Aprov.pdf (accessed on 28 February 2013). [Google Scholar]
- Gilchrest, B.A. Photodynamic Therapy and Selected Off-label Uses. In Proceedings of the Winter Clinical Dermatology Conference; Tuleya, S., Ed.; HMP Communications. LLC: Kohala Coast, HI, USA, 2010; pp. 10–12. [Google Scholar]
- PhotoCure. A Double Blinded, Prospective, Randomized, Vehicle Controlled Multi-center Study of Photodynamic Therapy With Visonac® Cream in Patients with Acne Vulgaris. In ClinicalTrials.gov [Internet]. Bethesda (MD): National Library of Medicine (US). Available online: http://clinicaltrials.gov/show/NCT01347879 NLM Identifier: NCT01347879 (accessed on 6 January 2013).
- U.S. Food and Drug Administration; Center for Drug Evaluation and Research. Cysview NDA 22555 approval letter. 31 March 2010; Retrieved 5 January 2013. Available online: http://www.accessdata.fda.gov/drugsatfda_docs/appletter/2010/022555s000ltr.pdf (accessed on 28 February 2013). [Google Scholar]
- Furre, I.E.; Shahzidi, S.; Luksiene, Z.; Moller, M.T.N.; Borgen, E.; Morgan, J.; Tkacz-Stachowska, K.; Nesland, J.M.; Peng, Q. Targeting PBR by hexaminolevulinate-mediated photodynamic therapy induces apoptosis through translocation of apoptosis-inducing factor in human leukemia cells. Cancer Res. 2005, 65, 11051–11060. [Google Scholar] [CrossRef] [PubMed]
- PhotoCure. Dose-finding Study of Hexaminolevulinate (HAL) Photodynamic Therapy (PDT) to Treat Cervical Neoplasia. In ClinicalTrials.gov [Internet]. Bethesda (MD): National Library of Medicine (US). Available online: http://clinicaltrials.gov/show/NCT01256424 NLM Identifier: NCT01256424 (accessed on 5 January 2012).
- Oslo University Hospital. Treatment of Female Genital Erosive Lichen Planus(GELP) with Hexaminolevulinate PDT. In ClinicalTrials.gov [Internet]. Bethesda (MD): National Library of Medicine (US). Available online: http://clinicaltrials.gov/show/NCT01282515 NLM Identifier: NCT01282515 (accessed on 6 January 2012).
- Fingar, V.H.; Kik, P.K.; Haydon, P.S.; Cerrito, P.B.; Tseng, M.; Abang, E.; Wieman, T.J. Analysis of actue vascular damage after photodynamic therapy using benzoporphyrin derivative (BPD). Br. J. Cancer 1999, 79, 1702–1708. [Google Scholar] [CrossRef] [PubMed]
- Rousset, N.; Bourre, L.; Thibaud, S. Sensitizers in Photodynamic Therapy. In Photodynamic Therapy; Patrice, T., Ed.; Royal Society of Chemistry: Cambridge, UK, 2003. [Google Scholar]
- Lui, H.; Hobbs, L.; Tope, W.D.; Lee, P.K.; Elmets, C.; Provost, N.; Chan, A.; Neyndorff, H.; Su, X.Y.; Jain, H.; Hamzavi, I.; McLean, D.; Bissonnette, R. Photodynamic therapy of multiple nonmelanoma skin cancers with verteporfin and red light-emitting diodes. Arch. Dermatol. 2004, 140, 26–32. [Google Scholar] [CrossRef] [PubMed]
- Triesscheijn, M.; Ruevekamp, M.; Aalders, M.; Baas, P.; Stewart, F.A. Outcome of mTHPC mediated photodynamic therapy is primarily determined by the vascular response. Photochem. Photobiol. 2005, 81, 1161–1167. [Google Scholar] [CrossRef] [PubMed]
- Dolmans, D.; Fukumura, D.; Jain, R.K. Photodynamic therapy for cancer. Nat. Rev. Cancer 2003, 5, 380–387. [Google Scholar] [CrossRef]
- O’Connor, A.E.; Gallagher, W.M.; Byrne, A.T. Porphyrin and nonporphyrin photosensitizers in oncology: Preclinical and clinical advances in photodynamic therapy. Photochem. Photobiol. 2009, 85, 1053–1074. [Google Scholar] [CrossRef] [PubMed]
- Kobayashi, W.; Liu, Q.; Nakagawa, H.; Sakaki, H.; Teh, B.; Matsumiya, T.; Yoshida, H.; Imaizumi, T.; Satoh, K.; Kimura, H. Photodynamic therapy with mono-L-aspartyl chlorin e6 can cause necrosis of squamous cell carcinoma of tongue: Experimental study on an animal model of nude mouse. Oral Oncol. 2006, 42, 46–50. [Google Scholar] [CrossRef] [PubMed]
- Lobel, J.; MacDonald, I.J.; Ciesielski, M.J.; Barone, T.; Potter, W.R.; Pollina, J.; Plunkett, R.J.; Fenstermaker, R.A.; Dougherty, T.J. 2-[1-Hexyloxyethyl]-2-Devinyl Pyropheophorbide-a (HPPH) in a nude rat glioma model: Implications for photodynamic therapy. Lasers Surg. Med. 2001, 29, 397–405. [Google Scholar] [CrossRef] [PubMed]
- Roswell Park Cancer Institute. Photodynamic Therapy using HPPH in Treating Patients with Obstructive Esophageal Tumors. In ClinicalTrials.gov [Internet]. Bethesda (MD): National Library of Medicine (US). Available online: http://clinicaltrials.gov/show/NCT00060268 NLM Identifier: NCT00060268 (accessed on 5 January 2013).
- Roswell Park Cancer Institute. Photodynamic Therapy in Treating Patients with Basal Cell Skin Cancer. In ClinicalTrials.gov [Internet]. Bethesda (MD): National Library of Medicine (US). Available online: http://clinicaltrials.gov/show/NCT00017485 NLM Identifier: NCT00017485 (accessed on 5 January 2013).
- Roswell Park Cancer Institute. Photodynamic Therapy using HPPH in Treating Patients with Advanced Non-Small Cell Lung Cancer That Blocks the Air Passages. In ClinicalTrials.gov [Internet]. Bethesda (MD): National Library of Medicine (US). Available online: http://clinicaltrials.gov/show/NCT00528775 NLM Identifier: NCT00528775 (accessed on 5 January 2013).
- Roswell Park Cancer Institute. Photodynamic Therapy in Treating Patients with Precancerous Esophageal Conditions or Early Stage Esophageal Cancer. In ClinicalTrials.gov [Internet]. Bethesda (MD): National Library of Medicine (US). Available online: http://clinicaltrials.gov/show/NCT00281736 NLM Identifier: NCT00281736 (accessed on 5 January 2013).
- Roswell Park Cancer Institute. A Trial of Photodynamic Therapy with HPPH for Treatment of Dysplasia, Carcinoma in Situ and T1 Carcinoma of the Oral Cavity and/or Oropharynx. In ClinicalTrials.gov [Internet]. Bethesda (MD): National Library of Medicine (US). Available online: http://clinicaltrials.gov/show/NCT01140178 NLM Identifier: NCT01140178 (accessed on 5 January 2013).
- Roswell Park Cancer Institute. Photodynamic Therapy using HPPH in Treating Patients with Recurrent Dysplasia, Carcinoma in Situ, or Stage I Oral Cavity Cancer. In ClinicalTrials.gov [Internet]. Bethesda (MD): National Library of Medicine (US). Available online: http://clinicaltrials.gov/show/NCT00670397 NLM Identifier: NCT00670397 (accessed on 5 January 2013).
- Roswell Park Cancer Institute. Study of Photodynamic Therapy (PDT) using HPPH in Barrett's Esophagus. In ClinicalTrials.gov [Internet]. Bethesda (MD): National Library of Medicine (US):. Available online: http://clinicaltrials.gov/show/NCT01236443 NLM Identifier: NCT01236443 (accessed on 6 January 2013).
- Brun, P.H.; DeGroot, J.L.; Dickson, E.F.G.; Farahani, M.; Pottier, R.H. Determination of the in vivo pharmacokinetics of palladium-bacteriopheophorbide (WST09) in EMT6 tumor-bearing Balb/c mice using graphite furnace atomic absorption spectroscopy. Photochem. Photobiol. Sci. 2004, 3, 1006–1010. [Google Scholar] [CrossRef] [PubMed]
- STEBA France. Study of Photodynamic Therapy in Patients with Prostate Cancer Following Radiation Therapy. In ClinicalTrials.gov [Internet]. Bethesda (MD): National Library of Medicine (US). Available online: http://clinicaltrials.gov/show/NCT00308919 NLM Identifier: NCT00308919 (accessed on 5 January 2013).
- Chevalier, S.; Anidjar, M.; Scarlata, E.; Hamel, L.; Scherz, A.; Ficheux, H.; Borenstein, N.; Fiette, L.; Elhilali, M. Preclinical study of the novel vascular occluding agent, WST11, for photodynamic therapy of the canine prostate. J. Urol. 2011, 196, 302–309. [Google Scholar] [CrossRef]
- Steba Biotech, S.A. Safety and Tolerability Study using WST11 in Patients with Localized Prostate Cancer. In ClinicalTrials.gov [Internet]. Bethesda (MD): National Library of Medicine (US). Available online: http://clinicaltrials.gov/show/NCT00946881 NLM Identifier: NCT00946881 (accessed on 6 January 2013).
- Steba Biotech, S.A. Study of WST11 in Patients with Localized Prostate Cancer. In ClinicalTrials.gov [Internet]. Bethesda (MD): National Library of Medicine (US). Available online: http://clinicaltrials.gov/show/NCT00707356 NLM Identifier: NCT00707356 (accessed on 6 January 2013).
- Patel, H.; Mick, R.; Finlay, J.C.; Zhu, T.C.; Rickter, E.; Cengel, K.A.; Malkowicz, S.B.; Hahn, S.M.; Busch, T.M. Motexafin lutetium-photodynamic therapy of prostate cancer: Short- and long-term effects of prostate-specific antigen. Clin. Cancer Res. 2008, 14, 4869–4876. [Google Scholar] [CrossRef] [PubMed]
- University of Pittsburgh. Photodynamic Therapy using Lutetium Texaphyrin in Treating Patients with Cervical Intraepithelial Neoplasia. In ClinicalTrials.gov [Internet]. Bethesda (MD): National Library of Medicine (US). Available online: http://clinicaltrials.gov/show/NCT00005808 NLM Identifier: NCT00005808 (accessed on 5 January 2013).
- Josefsen, L.B.; Boyle, R.W. Photodynamic therapy and the development of metal-based photosensitizers. Met. Based Drugs 2008, 2008, 1–24. [Google Scholar] [CrossRef]
- Mody, T.D.; Sessler, J.L. Texaphyrins: A new approach to drug development. J. Porphyr. Phthalocyanines 2001, 5, 134–142. [Google Scholar] [CrossRef]
- Ali, H.; Lier, J.E.V. Metal complex as photo- and radiosensitizers. Chem. Rev. 1999, 99, 2379–2450. [Google Scholar] [CrossRef] [PubMed]
- Case Comprehensive Cancer Center. Photodynamic Therapy using Silicon Phthalocyanine 4 in Treating Patients with Actinic Keratosis, Bowen’s Disease, Skin Cancer, or Stage I or Stage II Mycosis Fungoides. In ClinicalTrials.gov [Internet]. Bethesda (MD): National Library of Medicine (US). Available online: http://clinicaltrials.gov/show/NCT00103246 NLM Identifier: NCT00103246 (accessed on 6 January 2013).
- Kinsella, T.J.; Baron, E.D.; Colussi, V.C.; Cooper, K.D.; Hoppel, C.L.; Ingalls, S.T.; Kenney, M.E.; Li, X.; Oleinick, N.L.; Stevens, S.R.; et al. Preliminary clinical and pharmacologic investigation of photodynamic therapy with the silicon phthalocyanine photosensitizer Pc 4 for primary or metastatic cutaneous cancers. Front. Oncol. 2011, 1, 1–6. [Google Scholar] [PubMed]
- Fernandez, J.M.; Bilgin, M.D.; Grossweiner, L.I. Singlet oxygen generation by photodynamic agents. J. Photochem. Photobiol. B 1997, 37, 131–140. [Google Scholar] [CrossRef]
- Vakrat-Haglili, Y.; Weiner, L.; Brumfeld, V.; Brandis, A.; Salomon, Y.; Mcllroy, B.; Wilson, B.C.; Pawlak, A.; Rozanowska, M.; Sarna, T.; Scherz, A. The microenvironment effect on the generation of reactive oxygen species by pd-bacteriopheophorbide. J. Am. Chem. Soc. 2005, 127, 6487–6497. [Google Scholar] [CrossRef] [PubMed]
- Plaetzer, K.; Krammer, B.; Berlanda, J.; Berr, F.; Kiesslich, T. Photophysics and photochemistry of photodynamic therapy: Fundamental aspects. Lasers Med. Sci. 2009, 24, 259–268. [Google Scholar] [CrossRef] [PubMed]
- Sanovic, R.; Krammer, B.; Grumboeck, S.; Verwanger, T. Time-resolved gene expression profiling of human squamous cell carcinoma cells during the apoptosis process induced by photodynamic treatment with hypericin. Int. J. Oncol. 2009, 35, 921–939. [Google Scholar] [PubMed]
- Kacerovska, D.; Pizinger, K.; Majer, F.; Smid, F. Photodynamic therapy of nonmelanoma skin cancer with topical hypericum perforatum extract-a pilot study. Photochem. Photobiol. 2008, 84, 779–785. [Google Scholar] [CrossRef] [PubMed]
- Chen, Y.; Zheng, W.; Li, Y.; Zhong, J.; Ji, J.; Shen, P. Apoptosis induced by methylene-blue-mediated photodynamic therapy in melanolmas and the involvement of mitochondrial dysfunction revealed by proteomics. Cancer Sci. 2008, 99, 2019–2027. [Google Scholar] [PubMed]
- Lu, Y.; Jiao, R.; Chen, X.; Zhong, J.; Ji, J.; Shen, P. Methylene blue-mediated photodynamic therapy induces mitochondria-dependent apoptosis in HeLa cell. J. Cell. Biochem. 2008, 105, 1451–1460. [Google Scholar] [CrossRef] [PubMed]
- Escola Bahiana de Medicina e Saude Publica. Photodynamic Therapy Associated with Full-mouth Ultrasonic Debridement in the Treatment of Severe Chronic Periodontitis. In ClinicalTrials.gov [Internet]. Bethesda (MD): National Library of Medicine (US). Available online: http://clinicaltrials.gov/show/NCT01535690 NLM Identifier: NCT01535690 (accessed on 3 January 2013).
- Tehran University of Medical Sciences. Adjunctive Photodynamic Therapy in the Treatment of Chronic Periodontitis. In ClinicalTrials.gov [Internet]. Bethesda (MD): National Library of Medicine (US). Available online: http://clinicaltrials.gov/show/NCT01330082 NLM Identifier: NCT01330082 (accessed on 5 January 2013).
- Jebaramya, J.; Ilanchelian, M.; Prabahar, S. Spectral studies of toluidine blue O in the presence of sodium dodecyl sulfate. Dig. J. Nanomater. Biostruct. 2009, 4, 789–797. [Google Scholar]
- Tanaka, M.; Kinoshita, M.; Yoshihara, Y.; Shinomiya, N.; Seki, S.; Nemoto, K.; Hirayama, T.; Dai, T.; Huang, L.; Hamblin, M.; Morimoto, Y. Optimal photosensitizers for photodynamic therapy of infections should kill bacteria but spare neutrophils. Photochem. Photobiol. 2012, 88, 227–232. [Google Scholar] [CrossRef] [PubMed]
- Mousavi, S.H.; Tavakkol-Afshari, J.; Brook, A.; Jafari-Anarkooli, I. Direct toxicity of rose bengal in MCF-7 cell line: Roloe of apoptosis. Food Chem. Toxicol. 2009, 47, 855–859. [Google Scholar] [CrossRef] [PubMed]
- Guimond, M.; Balassy, A.; Barrette, M.; Brochu, S.; Perreault, C.; Roy, D.C. P-glycoprotein targeting: A unique strategy to selectively eliminate immunoreactive T cells. Blood 2002, 100, 375–382. [Google Scholar] [CrossRef] [PubMed]
- Broady, R.; Yu, J.; Levings, M.K. Pro-tolerogenic effects of photodynamic therapy with TH9402 on dendritic cells. J. Clin. Apheresis 2008, 23, 82–91. [Google Scholar] [CrossRef] [PubMed]
- Tsujino, I.; Miyagi, K.; Sampson, R.W.; Sieber, F. Potentiation of the antitumor effect of merocyanine 540-mediated photodynamic therapy by amifostine and amphotericin B. Photochem. Photobiol. 2006, 82, 458–465. [Google Scholar] [CrossRef] [PubMed]
- Delaey, E.; van Laar, F.; de Vos, D.; Kamuhabwa, A.; Jacobs, P.; de Witte, P. A comparative study of the photosensitizing characteristics of some cyanine dyes. J. Photochem. Photobiol. B 2000, 55, 27–36. [Google Scholar] [PubMed]
- Dovigo, L.N.; Pavarina, A.C.; Ribeiro, A.P.D.; Brunetti, I.L.; Costa, C.A.D. S.; Jacomassi, D.P.; Bagnato, V.S.; Kurachi, C. Investigation of the photodynamic effects of curcumin agains Candida albicans. Photochem. Photobiol. 2011, 87, 895–903. [Google Scholar] [CrossRef] [PubMed]
- Waranyoupalin, R.; Wongnawa, S.; Wongnawa, M.; Pakawatchai, C.; Panichayupakaranant, P.; Sherdshoopongse, P. Studies on complex formation between curcumin and Hg(II) ion by spectrophotometric method: A new approach to overcome peak overlap. Cent. Eur. J. Chem. 2009, 7, 388–394. [Google Scholar] [CrossRef]
- Araujo, N.C.; Fontana, C.R.; Gerbi, M.E.M.; Bagnato, V.S. Overall-mouth disinfection by photodynamic therapy using curcumin. Photomed. Laser Surg. 2012, 30, 96–101. [Google Scholar] [CrossRef] [PubMed]
© 2013 by the authors; licensee MDPI, Basel, Switzerland. This article is an open access article distributed under the terms and conditions of the Creative Commons Attribution license (http://creativecommons.org/licenses/by/3.0/).
Share and Cite
Ormond, A.B.; Freeman, H.S. Dye Sensitizers for Photodynamic Therapy. Materials 2013, 6, 817-840. https://doi.org/10.3390/ma6030817
Ormond AB, Freeman HS. Dye Sensitizers for Photodynamic Therapy. Materials. 2013; 6(3):817-840. https://doi.org/10.3390/ma6030817
Chicago/Turabian StyleOrmond, Alexandra B., and Harold S. Freeman. 2013. "Dye Sensitizers for Photodynamic Therapy" Materials 6, no. 3: 817-840. https://doi.org/10.3390/ma6030817
APA StyleOrmond, A. B., & Freeman, H. S. (2013). Dye Sensitizers for Photodynamic Therapy. Materials, 6(3), 817-840. https://doi.org/10.3390/ma6030817
