Sign in to use this feature.

Years

Between: -

Subjects

remove_circle_outline
remove_circle_outline
remove_circle_outline
remove_circle_outline
remove_circle_outline
remove_circle_outline
remove_circle_outline
remove_circle_outline
remove_circle_outline

Journals

remove_circle_outline
remove_circle_outline
remove_circle_outline
remove_circle_outline
remove_circle_outline
remove_circle_outline

Article Types

Countries / Regions

remove_circle_outline
remove_circle_outline
remove_circle_outline
remove_circle_outline
remove_circle_outline
remove_circle_outline
remove_circle_outline
remove_circle_outline

Search Results (2,146)

Search Parameters:
Keywords = autophagy process

Order results
Result details
Results per page
Select all
Export citation of selected articles as:
17 pages, 912 KB  
Review
Decoding the Regulatory Mechanism of Astaxanthin on Autophagy: Insights for Anti-Inflammatory Intervention
by Li Feng, Ming Yu, Xiao Ma, Peixi Qin and Yi Zhang
Biomolecules 2026, 16(3), 477; https://doi.org/10.3390/biom16030477 - 23 Mar 2026
Viewed by 46
Abstract
Autophagy is a crucial process for cellular self-regulation and renewal. Upon exposure to stress, membrane structures—primarily derived from the endoplasmic reticulum and mitochondria, with contributions from the plasma membrane—drive autophagosome biogenesis. This process begins with the formation of a cup-shaped phagophore, which elongates [...] Read more.
Autophagy is a crucial process for cellular self-regulation and renewal. Upon exposure to stress, membrane structures—primarily derived from the endoplasmic reticulum and mitochondria, with contributions from the plasma membrane—drive autophagosome biogenesis. This process begins with the formation of a cup-shaped phagophore, which elongates to sequester cytoplasmic cargo, closes to form an autophagosome, and ultimately fuses with lysosomes to create an autolysosome where degradation and recycling occur. This regulated process plays a vital role in maintaining cellular homeostasis, the pathogenesis of various diseases, and modulation of inflammation. Astaxanthin (AST), a carotenoid produced by microalgae, various microorganisms and marine organisms, possesses a unique chemical structure that endows it with significant biological activities, including potent antioxidant and anti-inflammatory properties. Emerging evidence, primarily from preclinical studies, suggests that AST modulates autophagy by regulating signaling pathways such as Reactive Oxygen Species (ROS)/Mitogen-activated Protein Kinase (MAPK) and interacting with nuclear factor erythroid 2-related factor 2(Nrf2)-mediated antioxidant responses, thereby influencing inflammatory balance. This review systematically elucidates how AST acts as a key “molecular modulator” in animal or cellular models, dynamically regulating autophagy to restore cellular homeostasis and thereby influencing the course and outcome of inflammation. Furthermore, we explore the autophagy-mediated anti-inflammatory effects of AST across different organ systems and discuss its preliminary clinical translational potential and future challenges, aiming to provide a concise and forward-looking roadmap for this promising research field. Full article
(This article belongs to the Section Molecular Medicine)
Show Figures

Figure 1

27 pages, 1121 KB  
Review
An Update on the Role of Sirtuins in the Prevention of the Aging Process: A Narrative Review
by Francesco Lucà, Luca Fioravanti, Silvia Scevola, Aldo Arpino, Marco Saler and Giovanni Nicoletti
J. Gerontol. Geriatr. 2026, 74(1), 6; https://doi.org/10.3390/jgg74010006 - 19 Mar 2026
Viewed by 295
Abstract
In the context of research aimed at identifying the causes of the progressive decline in cellular and tissue functions characteristic of aging, in recent decades, increasing attention has been devoted to the sirtuin family. Sirtuins are named after the Sir2 protein of Saccharomyces [...] Read more.
In the context of research aimed at identifying the causes of the progressive decline in cellular and tissue functions characteristic of aging, in recent decades, increasing attention has been devoted to the sirtuin family. Sirtuins are named after the Sir2 protein of Saccharomyces cerevisiae, a product of the SIR gene family, known as “silent information regulator 2”. Sirtuins are NAD+-dependent protein deacetylases and deacylases characterized by a conserved catalytic domain of approximately 275 amino acids. The removal of acetyl groups from acetyl-lysine residues on proteins is critical in regulating a wide range of biological functions, including gene silencing, genome stability, longevity, metabolism, and cellular physiology. In humans, the sirtuin family comprises seven isoforms (SIRT1–SIRT7), each with specific substrate preferences and primarily, but not exclusively, localized in the nucleus (SIRT1, SIRT6, and SIRT7), cytoplasm (SIRT2), and mitochondria (SIRT3, SIRT4, and SIRT5). Sirtuins may regulate numerous cellular processes associated with survival and longevity, including transcription and DNA repair, inflammation, glucose and lipid metabolism, oxidative stress, mitochondrial function, apoptosis, autophagy, and stress resistance. Sirtuins’ dependence on NAD+ allows them to function as cellular energy sensors, linking metabolic demands to selective lysine deacylation in various subcellular organelles. The aim of this review is to provide an update on this family of molecules, describing their molecular structures, physiological functions, roles in aging processes, and potential to be modulated to serve as a strategy for promoting healthy aging. Full article
(This article belongs to the Section Translational Sciences)
Show Figures

Figure 1

28 pages, 1185 KB  
Review
Exercise-Induced Exerkines Modulate Autophagy: Implications for Interorgan Crosstalk in the Hallmarks of Ageing
by Qi Deng, Jielun Huang, Cenyi Wang and Jiling Liang
Int. J. Mol. Sci. 2026, 27(6), 2746; https://doi.org/10.3390/ijms27062746 - 18 Mar 2026
Viewed by 127
Abstract
Population aging and widespread sedentary lifestyles have increased the prevalence of chronic non-communicable diseases, many of which are linked to progressive disruptions of cellular homeostasis. Autophagy, a conserved cellular degradation and recycling pathway, plays a central role in maintaining metabolic flexibility, proteostasis, and [...] Read more.
Population aging and widespread sedentary lifestyles have increased the prevalence of chronic non-communicable diseases, many of which are linked to progressive disruptions of cellular homeostasis. Autophagy, a conserved cellular degradation and recycling pathway, plays a central role in maintaining metabolic flexibility, proteostasis, and organ function. However, aging and physical inactivity impair autophagic regulation, thereby contributing to the development of sarcopenia, cardiovascular diseases, metabolic disorders, and neurodegenerative diseases. Physical exercise is a non-pharmacological intervention that can restore autophagic activity and confer systemic health benefits in multiple preclinical and clinical contexts. Increasing evidence indicates that these benefits are mediated not only by local tissue adaptations but also by complex inter-organ communication. Central to this process are exercise-induced bioactive factors, collectively termed exerkines, including myokines, cardiokines, adipokines, hepatokines, osteokines, and circulating miRNAs. Rather than acting independently, exerkines form an integrated signaling network that fine-tunes autophagic flux across multiple tissues. Exerkine-mediated regulation of autophagy involves key pathways such as AMPK/mTOR, FoxO, SIRT1, ULK1, and TFEB, thereby coordinating energy metabolism, mitochondrial quality control, inflammation, and protein turnover in skeletal muscle, heart, liver, adipose tissue, bone, and the central nervous system. This review summarizes current evidence on representative exerkines and their roles in autophagy-dependent inter-organ crosstalk, highlighting the exercise–exerkine–autophagy axis as a promising target for preventing and managing chronic diseases. Full article
(This article belongs to the Section Molecular Biophysics)
Show Figures

Graphical abstract

14 pages, 778 KB  
Review
Role of Activating Transcription Factor 4 in Metabolic, Neurologic, and Ocular Diseases
by Minwoo Kwon, Anisha Kasi, Stefan Y. Kim, Arya Bairat, Aidan Kumar and Varun Kumar
Cells 2026, 15(6), 538; https://doi.org/10.3390/cells15060538 - 18 Mar 2026
Viewed by 272
Abstract
Cells respond to metabolic and environmental challenges through the integrated stress response (ISR), a cellular process that maintains homeostasis under diverse stressors. ATF4 is a key player in this ISR, as it is activated via the PERK–eIF2α–ATF4 pathway. ATF4 induction can elicit adaptive [...] Read more.
Cells respond to metabolic and environmental challenges through the integrated stress response (ISR), a cellular process that maintains homeostasis under diverse stressors. ATF4 is a key player in this ISR, as it is activated via the PERK–eIF2α–ATF4 pathway. ATF4 induction can elicit adaptive responses, including the regulation of genes involved in metabolism and autophagy, to maintain homeostasis. However, ATF4 activation can also induce apoptosis, leading to a wide spectrum of diseases, including metabolic, neurologic, and ocular pathologies. This duality reflects the highly context-dependent nature of ATF4 signaling. This review aims to synthesize the role of ATF4 in metabolic dysfunction, neurodegenerative diseases, and ocular pathology; the mechanisms underlying its protective versus pathologic effects; and future directions to refine ATF4’s potential as a clinical therapeutic target across different diseases. Full article
(This article belongs to the Section Cellular Pathology)
Show Figures

Figure 1

15 pages, 486 KB  
Review
Exercise Reprograms the Spatial Function of Phosphoglycerate Dehydrogenase of a Pathogenic Nuclear Transcription Factor (PHGDH): A Narrative Review
by Dong Yang, Wen Guo and Liang Guo
Metabolites 2026, 16(3), 196; https://doi.org/10.3390/metabo16030196 - 16 Mar 2026
Viewed by 190
Abstract
Background: Alzheimer’s disease (AD) represents a significant therapeutic challenge, largely attributed to the complex interplay of genetic and non-genetic mechanisms. Among the latter, metabolic dysregulation has emerged as a critical factor influencing disease progression. This study proposes a paradigm shift in our understanding [...] Read more.
Background: Alzheimer’s disease (AD) represents a significant therapeutic challenge, largely attributed to the complex interplay of genetic and non-genetic mechanisms. Among the latter, metabolic dysregulation has emerged as a critical factor influencing disease progression. This study proposes a paradigm shift in our understanding of the role of phosphoglycerate dehydrogenase (PHGDH), a key metabolic enzyme, which, under pathological conditions associated with AD, transitions from a protective role to a pathogenic influence through alterations in its cellular localization and function. Methods: To elucidate the impact of exercise on PHGDH dynamics, a narrative review methodology was employed. We conducted comprehensive searches across bibliographic databases, including PubMed, Scopus, and Web of Science, focusing on peer-reviewed articles that detail the relationship between exercise, PHGDH activity, and AD-related neuroinflammation. The review was structured around specific inclusion criteria, which prioritized studies elucidating the mechanisms underlying PHGDH’s dual role in AD pathology and the influence of exercise on this process. Results: Our findings reveal that under AD-associated stress, PHGDH translocates to the nucleus, facilitating the activation of pro-inflammatory genes such as IKKα and HMGB1, while simultaneously suppressing autophagy and enhancing amyloid beta (Aβ) deposition. However, exercise induces the release of the myokine irisin, which inhibits PHGDH nuclear translocation through AMPK/PGC-1α signaling pathways. Additionally, peripheral effects of exercise are observed in hepatic Kupffer cells, where exercise attenuates PHGDH activity, leading to reduced systemic IL-1β release and neuroinflammation. Conclusions: This study underscores the potential of exercise as a precision intervention in AD management, highlighting its capacity to modulate PHGDH activity and mitigate neuroinflammatory processes. The therapeutic implications of these findings are profound, paving the way for novel diagnostic tools, such as PET probes for assessing PHGDH compartmentalization, and promoting a synergistic approach to “exercise–pharmacotherapy” in the treatment of Alzheimer’s disease. Future research should aim to further delineate the mechanisms by which exercise influences metabolic pathways in the context of neurodegeneration. Full article
(This article belongs to the Section Endocrinology and Clinical Metabolic Research)
Show Figures

Graphical abstract

13 pages, 1404 KB  
Article
The Effect of Mechanical Loading on Mitophagy in Aged Myoblasts
by Evangelos Tolis, Eirini Chatzinikita, Athanasios Moustogiannis, Antonios Giannopoulos, Maria Maridaki, Michael Koutsilieris and Anastassios Philippou
Cells 2026, 15(6), 522; https://doi.org/10.3390/cells15060522 - 15 Mar 2026
Viewed by 385
Abstract
Background: During aging, skeletal muscle mass constantly diminishes and myogenic potential declines. At the cellular level, a decline in mitochondrial function is a hallmark of the aging process and the deficiency of the mitochondrial network contributes to a progressive reduction in muscle mass. [...] Read more.
Background: During aging, skeletal muscle mass constantly diminishes and myogenic potential declines. At the cellular level, a decline in mitochondrial function is a hallmark of the aging process and the deficiency of the mitochondrial network contributes to a progressive reduction in muscle mass. Autophagic clearance of mitochondria through the process of mitophagy is required to remove impaired or damaged mitochondria, while mitophagy is a key regulator of muscle maintenance. Dysfunctional degradation of mitochondria is increasingly associated with aging (mitophaging), while mechanical stimuli have been shown to ameliorate the aging-induced impaired muscle mass and function; however, less is known about the potential effects of mechanical loading on mitophaging. The aim of the present study was to investigate the effect of mechanical stretching on mitophagy in aged myoblasts, in vitro. Methods: Cell senescence was replicated using a multiple cell division model of C2C12 myoblasts. The control and aged cells were cultured on elastic membranes and underwent passive stretching using a mechanical loading protocol of 15% elongation for 12 h at a frequency of 1 Hz. Cell signaling and gene expression responses of mitophagy-associated and myogenic regulatory factors (MRFs) were assessed through immunoblotting and qRT-PCR of the cell lysates derived from stretched and non-stretched control and aged myoblasts. Results: Mitophagy factor AMP-activated protein kinase (AMPK), mitochondrial biogenesis stimulator peroxisome proliferator-activated receptor gamma coactivator 1-alpha (PGC-1a), and mitophagy/mitochondrial biogenesis factor Parkin were downregulated in control stretched myoblasts compared to non-stretched cells, while the specific mechanical loading protocol used also reduced the phosphorylation of unc-51-like autophagy-activating kinase 1 (p-ULK1) (p < 0.05), as well as the expression of myogenic factor 5 (Myf5) and myogenic factor 4 (myogenin) (p < 0.001). Interestingly, this mechanical loading resulted in increased PGC-1a and Parkin expression (p < 0.05) and induced the previously undetected BCL2 interacting protein 3-like (BNIP3L/NIX) and AMPK expression and p-ULK1 activation in the aged myoblasts. In addition, mechanical stretching differentially affected the expression of MRFs in aged cells, upregulating the early differentiation factor, Myf5 (p < 0.01), while downregulating the late differentiation factor myogenin (p < 0.001). Conclusions: These findings suggest the beneficial effects of mechanical loading on the impaired mitophagy and early differentiation in aged myoblasts, as indicated by the mitophagy initiation and the promotion of mitochondrial biogenesis in these cells. The mechanical loading-induced downregulation of mitophagy and myogenesis in the control myoblasts might indicate their loading-specific differential responses compared to the aged cells. Full article
(This article belongs to the Special Issue Cellular Mechanisms in Mitochondrial Function and Calcium Signaling)
Show Figures

Figure 1

25 pages, 1167 KB  
Review
Adipose Tissue Aging and Natural Interventions: Potential Roles of Polyphenols and Polysaccharides
by Zhao-Jie Chen, Zi-Yan Zhao, Yi-Yi Chen, Zhen-Chi Li and Yong-Xian Cheng
Nutrients 2026, 18(6), 927; https://doi.org/10.3390/nu18060927 - 15 Mar 2026
Viewed by 347
Abstract
Adipose tissue serves as a critical metabolic and endocrine organ, essential for maintaining systemic energy homeostasis and inter-organ communication. During the aging process, it undergoes significant structural remodeling and functional decline, characterized by dysregulated lipid metabolism, chronic low-grade inflammation, reduced insulin sensitivity, and [...] Read more.
Adipose tissue serves as a critical metabolic and endocrine organ, essential for maintaining systemic energy homeostasis and inter-organ communication. During the aging process, it undergoes significant structural remodeling and functional decline, characterized by dysregulated lipid metabolism, chronic low-grade inflammation, reduced insulin sensitivity, and adipokine imbalance. These alterations not only compromise the physiological integrity of adipose tissue but also contribute to the progression of various age-associated metabolic disorders, including type 2 diabetes, atherosclerosis, and nonalcoholic fatty liver disease. In recent years, natural products have emerged as a focal point in anti-aging research, owing to their broad accessibility, high biological safety, and capacity for multi-target regulation. Polyphenolic and polysaccharide, in particular, have demonstrated robust antioxidant, anti-inflammatory, autophagy-modulating, and mitochondrial-protective effects in cellular and animal models, indicating their promise in attenuating adipose tissue aging. Although the anti-aging effects of these natural compounds are well documented in the neural, hepatic, and cardiovascular systems, their specific mechanisms in adipose depots—especially differential regulatory patterns between white and brown adipose tissues, which may inform depot-specific therapies—and the development of targeted delivery approaches remain inadequately explored. This review, grounded in the three primary hallmarks of adipose tissue aging (oxidative stress, chronic inflammation, and dysregulated lipid metabolism), systematically elucidates the molecular mechanisms and recent advancements in the application of polyphenols and polysaccharides as natural modulators. This review establishes a cohesive theoretical foundation and delivers innovative perspectives to guide the advancement of natural product-based nutritional and therapeutic strategies for combating adipose tissue aging. Full article
(This article belongs to the Topic Healthy, Safe and Active Aging, 2nd Edition)
Show Figures

Figure 1

24 pages, 1494 KB  
Review
Shear-Calibrated High-Intensity Interval Training to Promote Endothelial Autophagy and Delay Vascular Senescence: A Biomarker-Guided Approach
by Amelia Tero-Vescan, Ylenia Pastorello and Mark Slevin
Int. J. Mol. Sci. 2026, 27(6), 2653; https://doi.org/10.3390/ijms27062653 - 13 Mar 2026
Viewed by 222
Abstract
Vascular ageing is a complex process marked by progressive endothelial dysfunction, chronic low-grade inflammation (“inflammageing”), and reduced regenerative capacity, driven in part by an imbalance between protective endothelial autophagy and cellular senescence characterized by a proinflammatory senescence-associated secretory phenotype (SASP). Disruption of this [...] Read more.
Vascular ageing is a complex process marked by progressive endothelial dysfunction, chronic low-grade inflammation (“inflammageing”), and reduced regenerative capacity, driven in part by an imbalance between protective endothelial autophagy and cellular senescence characterized by a proinflammatory senescence-associated secretory phenotype (SASP). Disruption of this autophagy–senescence axis accelerates vascular inflammation, arterial stiffening, and atherogenesis. High-intensity interval training (HIIT), consisting of repeated bouts of near-maximal anaerobic effort with recovery periods, is widely used by both elite and recreational athletes and is increasingly recognized as an effective nonpharmacological strategy to enhance endothelial function, arterial elasticity, and mitochondrial biogenesis. However, excessively intense or poorly structured HIIT, particularly in the absence of adequate recovery or in individuals with underlying cardiometabolic or vascular vulnerability, may induce endothelial stress and promote maladaptive vascular remodelling, including calcification and plaque instability. These considerations underscore the need for refined individualized exercise prescription strategies that balance performance benefits with endothelial protection. Based on these observations, here, we introduce a novel conceptual framework, “shear dose–calibrated HIIT,” designed to understand and define an optimal shear dose capable of maximizing autophagic flux while minimizing SASP activation. Experimental and clinical evidence of HIIT-induced effects on flow-mediated dilation (FMD), pulse wave velocity (PWV), and redox biomarkers is presented, followed by the proposal of a biomarker panel for assessing autophagic flux and cellular senescence in peripheral samples (peripheral blood mononuclear cells (PBMCs), extracellular vehicles (EVs), and plasma). This integrative approach, which combines vascular mechanotransduction, redox biology, and autophagic signalling, provides a novel translational perspective on how individually calibrated HIIT can promote vascular longevity and reduce cardiometabolic risk associated with aging and metabolic syndrome. Full article
Show Figures

Figure 1

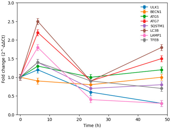
17 pages, 1912 KB  
Article
The Time-Dependent Effects of Temozolomide on Autophagy Gene Expression in Glioblastoma Cells
by İlker Kiraz, Veli Kaan Aydın, Özgür Kurt, Mehmet Erdal Coşkun, Gergana Lengerova, Martina Bozhkova, Steliyan Petrov and Aylin Köseler
Biomedicines 2026, 14(3), 656; https://doi.org/10.3390/biomedicines14030656 - 13 Mar 2026
Viewed by 292
Abstract
Background: Temozolomide (TMZ) resistance represents a major therapeutic challenge in glioblastoma treatment, where autophagy has emerged as a key adaptive survival mechanism. Although numerous studies have implicated autophagy in TMZ resistance, most have assessed this process at a single point, thereby overlooking [...] Read more.
Background: Temozolomide (TMZ) resistance represents a major therapeutic challenge in glioblastoma treatment, where autophagy has emerged as a key adaptive survival mechanism. Although numerous studies have implicated autophagy in TMZ resistance, most have assessed this process at a single point, thereby overlooking its dynamic and time-dependent nature. Methods: In this study, we systematically investigated the temporal regulation of autophagy-related gene expression in two human glioblastoma cell lines with distinct MGMT methylation status and TMZ sensitivities (T98G and U87) following TMZ treatment. Cells were exposed to TMZ and harvested at defined time points (0 h, 6 h, 24 h, and 48 h). The expression levels of genes representing distinct stages of the autophagy pathway, including initiation, nucleation, elongation, selective autophagy, lysosomal function, and transcriptional regulation, were analyzed using RT-qPCR. Relative gene expression was calculated using the 2−ΔΔCT method with GAPDH as the reference gene. Results: Our results reveal a time-dependent and phase-specific transcriptional reprogramming of the autophagy machinery in response to TMZ-induced stress. Early time points were characterized by modulation of autophagy initiation and nucleation genes, whereas intermediate and late phases showed prominent regulation of genes associated with autophagosome elongation, selective autophagy, autophagic flux, and transcriptional control. Conclusions: Collectively, these findings demonstrate that autophagy in TMZ-treated glioblastoma cells is not a static response but a dynamically regulated, multi-phase program. Specifically, in TMZ-resistant T98G cells, this process matures into a sustained adaptive program with robust late-phase lysosomal integration, while in TMZ-sensitive U87 cells, the early autophagic response is transient and fails to support long-term lysosomal coordination. This temporal perspective provides new insights into the role of autophagy in TMZ tolerance and underscores the importance of time-resolved analyses when targeting autophagy to overcome chemoresistance in glioblastoma. Full article
(This article belongs to the Section Cancer Biology and Oncology)
Show Figures

Figure 1

22 pages, 1803 KB  
Review
From Systemic Stress to Ovarian Failure: Heat Stress-Induced Infertility in Pigs as a Model for Reproductive Dysfunction
by Ramanathan Kasimanickam, Joao C. P. Ferreira and John P. Kastelic
Curr. Issues Mol. Biol. 2026, 48(3), 304; https://doi.org/10.3390/cimb48030304 - 12 Mar 2026
Viewed by 224
Abstract
Heat stress (HS) occurs when animals are unable to effectively dissipate excess body heat, leading to increased core temperature and physiological imbalance. In mammals, HS negatively affects female reproduction. Infertility associated with HS is well documented in swine and is increasingly recognized in [...] Read more.
Heat stress (HS) occurs when animals are unable to effectively dissipate excess body heat, leading to increased core temperature and physiological imbalance. In mammals, HS negatively affects female reproduction. Infertility associated with HS is well documented in swine and is increasingly recognized in other mammals, including humans. HS disrupts several systemic processes that are essential for normal reproductive function, including endocrine regulation, nutrient metabolism, immune activity, and intestinal barrier integrity. Reduced feed intake and changes in metabolic hormones such as insulin and prolactin can impair ovarian function. Increased intestinal permeability during HS may allow bacterial endotoxins to enter the bloodstream, triggering inflammation that further compromises reproductive physiology. At the ovarian level, HS alters key cellular pathways involved in cell survival and metabolism, including Janus Kinase/Signal Transducer and Activator of Transcription (JAK–STAT), Phosphoinositide 3-Kinase/Protein Kinase B (PI3K/AKT), oxidative stress responses, autophagy, apoptosis, and heat shock protein expression. These changes disrupt follicular development, hormone production, oocyte quality, and corpus luteum function, resulting in reduced conception rates and increased embryonic loss. This review summarizes current knowledge of systemic and ovarian mechanisms by which HS impairs female reproduction in pigs and identifies areas requiring further investigation to improve fertility under increasing environmental temperatures. Full article
(This article belongs to the Collection Feature Papers in Current Issues in Molecular Biology)
Show Figures

Figure 1

20 pages, 1680 KB  
Review
From Metabolism to Longevity: Molecular Mechanisms Underlying Metformin’s Anticancer and Anti-Aging Effects
by Slavica Vujovic, Svetlana Perovic, Milorad Vlaovic, Andjelka Scepanovic and Stasa Scepanovic
Curr. Issues Mol. Biol. 2026, 48(3), 286; https://doi.org/10.3390/cimb48030286 - 7 Mar 2026
Viewed by 352
Abstract
Metformin has stood as the primary clinical tool for type 2 diabetes for decades, yet its potential reach into oncology and gerontology is only now being critically dissected. This review evaluates how metformin might actually pull the levers of cancer progression and biological [...] Read more.
Metformin has stood as the primary clinical tool for type 2 diabetes for decades, yet its potential reach into oncology and gerontology is only now being critically dissected. This review evaluates how metformin might actually pull the levers of cancer progression and biological aging. Evidence from across various models suggests that the drug works by recalibrating cellular energy homeostasis—specifically by triggering AMPK and dampening the mTOR pathway. This signaling shift ripples through downstream processes like autophagy and oxidative stress regulation, theoretically slowing tumor growth and pushing back against cellular senescence. However, our look at the literature from PubMed, Scopus, and Web of Science shows a messy reality where preclinical success often stalls during clinical translation. Even though observational data point toward lower cancer rates in diabetic cohorts, these “wins” are frequently skewed by clinical confounders and inconsistent data. This makes the leap from metabolic control to a broad-spectrum anti-aging or anticancer therapy a point of serious contention. We argue that only large-scale, randomized trials can truly verify if metformin is safe and effective for non-diabetic populations. In the end, untangling these molecular routes is the only way to see if metformin belongs in future oncological or healthy aging strategies. That being said, at least mechanistically, metformin definitely offers potential that warrants such large-scale research. Full article
(This article belongs to the Special Issue Latest Review Papers in Molecular Biology 2026)
Show Figures

Figure 1

17 pages, 1796 KB  
Review
Autophagy: From Molecular Mechanisms to Disease Regulation and Therapeutic Strategies
by Huijie Yang, Xinyu Li, Kaidie Wang, Yujiao Zou, Quanjuan Shi, Ya Yang, Qingyun Zhao and Wei Zou
Curr. Issues Mol. Biol. 2026, 48(3), 285; https://doi.org/10.3390/cimb48030285 - 7 Mar 2026
Viewed by 371
Abstract
Autophagy is increasingly recognized as a context-dependent regulatory process that links cellular quality control with systemic metabolic and neurological homeostasis. However, how distinct autophagy pathways contribute to disease progression, and how they are dynamically modulated by host–microbiota interactions, remain incompletely understood. In this [...] Read more.
Autophagy is increasingly recognized as a context-dependent regulatory process that links cellular quality control with systemic metabolic and neurological homeostasis. However, how distinct autophagy pathways contribute to disease progression, and how they are dynamically modulated by host–microbiota interactions, remain incompletely understood. In this review, we synthesize recent advances in the molecular regulation of macroautophagy, microautophagy, and chaperone-mediated autophagy (CMA), with a particular emphasis on selective autophagy and its disease-specific functions. We examine emerging evidence implicating autophagy as a bidirectional modulator in neurodegenerative and metabolic disorders, highlighting conditions under which autophagy exerts protective versus maladaptive effects. Importantly, we integrate recent findings on the microbiota–gut–brain axis to illustrate how microbial signals reshape autophagic responses and influence disease susceptibility and progression. Finally, we summarize current progress and limitations in autophagy-targeted therapeutic strategies, including nanomedicine-based delivery systems, and propose conceptual frameworks to guide the development of precise, context-aware autophagy interventions. This review provides an updated and integrative perspective that bridges molecular mechanisms, host–microbiota crosstalk, and translational opportunities in autophagy-related diseases. Full article
(This article belongs to the Section Molecular Medicine)
Show Figures

Figure 1

28 pages, 2718 KB  
Review
Mechanistic Modulation of Autophagy by Bioactive Natural Products: Implications for Human Aging and Longevity
by Maroua Jalouli, Abdel Halim Harrath, Mohammed Al-Zharani and Md Ataur Rahman
Nutrients 2026, 18(5), 863; https://doi.org/10.3390/nu18050863 - 7 Mar 2026
Viewed by 734
Abstract
Autophagy is an evolutionarily preserved intracellular degradation process pivotal in maintaining proteostasis, mitochondrial homeostasis, and metabolic equilibrium, all of which are dysregulated with aging. Aberrant autophagy has been recognized as a hallmark of human aging and age-related diseases, including neurodegeneration, metabolic dysfunction, cardiovascular [...] Read more.
Autophagy is an evolutionarily preserved intracellular degradation process pivotal in maintaining proteostasis, mitochondrial homeostasis, and metabolic equilibrium, all of which are dysregulated with aging. Aberrant autophagy has been recognized as a hallmark of human aging and age-related diseases, including neurodegeneration, metabolic dysfunction, cardiovascular diseases, and cancer. Bioactive natural compounds derived from plants, foods, and marine organisms have emerged as potent modulators of autophagy, offering a promising strategy to counteract aging and promote healthy lifespan. Mechanistically, these compounds regulate autophagy by modulating key signaling pathways, such as AMPK, PI3K/AKT/mTOR, SIRT1, and FOXO, while also alleviating oxidative stress, inflammation, and mitochondrial dysfunction. Natural compounds like polyphenols, flavonoids, alkaloids, terpenoids, and carotenoids exhibit dual roles by restoring age-related suppressed autophagic flux and inhibiting excessive autophagy-induced cell death. In this review, we provide a comprehensive overview of the molecular mechanisms through which bioactive natural compounds modulate autophagy and impact human aging and longevity. We discuss both experimental and clinical evidence supporting their geroprotective effects, limitations regarding bioavailability and dose-dependent effects, and prospects for the utilization of autophagy-targeting natural products in aging intervention strategies. Full article
Show Figures

Figure 1

36 pages, 1778 KB  
Review
Hypertension-Induced Renal Injury: From Pathophysiology to Therapeutic Perspectives
by Ning Zhou, Su-Ye Zhong, Pan Gao, Fang-Fang He and Chun Zhang
Biomedicines 2026, 14(3), 595; https://doi.org/10.3390/biomedicines14030595 - 6 Mar 2026
Viewed by 371
Abstract
Hypertension-induced renal injury is a major cause of chronic kidney disease and end-stage renal disease. Increasing evidence indicates that disease progression is not driven solely by hemodynamic stress but results from the interplay of multiple molecular mechanisms. In this review, we propose a [...] Read more.
Hypertension-induced renal injury is a major cause of chronic kidney disease and end-stage renal disease. Increasing evidence indicates that disease progression is not driven solely by hemodynamic stress but results from the interplay of multiple molecular mechanisms. In this review, we propose a stage-structured and network-based framework to systematically integrate current mechanistic insights into hypertension-induced renal injury. Early events, mainly including endothelial dysfunction and renal hypoxia, establish a permissive microenvironment for disease progression. These insults activate amplifying pathways such as the renin–angiotensin–aldosterone system (RAAS) overactivation, oxidative stress, immune and inflammatory responses, and sympathetic nervous system hyperactivity, which interact through cross-talk and positive feedback loops. Ultimately, these signals converge on fibrotic programs characterized by epithelial–mesenchymal transition (EMT), fibroblast activation, and extracellular matrix deposition, leading to irreversible structural remodeling and functional decline. Furthermore, epigenetics, the gut–kidney axis, autophagy dysfunction and renal aging also contribute to this process. We highlight two critical and underappreciated aspects: the existence of a permissive ‘early-window’ dominated by endothelial dysfunction and hypoxia, which sets the stage for later amplification; and the hierarchical interplay between amplifying mechanisms where cross talk creates self-reinforcing loops that may explain therapeutic resistance. In addition, this review highlights emerging biomarkers for early diagnosis and disease monitoring, and discusses therapeutic advances that extend beyond blood pressure control to disease-modifying interventions that confer renoprotective effects. By integrating molecular mechanisms with diagnostic and therapeutic perspectives, this review provides a comprehensive framework for early detection and precision intervention in hypertension-induced renal injury. Full article
(This article belongs to the Special Issue Mechanisms and Novel Therapeutic Approaches for Nephrology)
Show Figures

Figure 1

16 pages, 951 KB  
Review
TBK1 Mutations in Amyotrophic Lateral Sclerosis and Frontotemporal Dementia: Mechanistic Insights into Impaired Autophagy and Proteostatic Failure
by Francesca Manganelli, Camilla Perfetto, Olga Carletta and Valeria Gerbino
Cells 2026, 15(5), 477; https://doi.org/10.3390/cells15050477 - 6 Mar 2026
Viewed by 558
Abstract
Mutations in the TANK-binding kinase 1 (TBK1) gene represent a significant genetic link across the Amyotrophic Lateral Sclerosis (ALS) and Frontotemporal Dementia (FTD) spectrum. As a multifunctional serine/threonine kinase, TBK1 serves as a central orchestrator of the autophagy–lysosome pathway, regulating critical stages from [...] Read more.
Mutations in the TANK-binding kinase 1 (TBK1) gene represent a significant genetic link across the Amyotrophic Lateral Sclerosis (ALS) and Frontotemporal Dementia (FTD) spectrum. As a multifunctional serine/threonine kinase, TBK1 serves as a central orchestrator of the autophagy–lysosome pathway, regulating critical stages from initial cargo recognition and autophagosome biogenesis to vesicle maturation and lysosomal fusion. This review examines the mechanisms by which TBK1 coordinates these diverse autophagic functions. We then focus on how ALS/FTD-associated mutations—ranging from truncating variants causing haploinsufficiency to domain-specific missense mutations—disrupt these essential processes. Full article
Show Figures

Figure 1

Back to TopTop