Sign in to use this feature.

Years

Between: -

Subjects

remove_circle_outline
remove_circle_outline
remove_circle_outline
remove_circle_outline
remove_circle_outline
remove_circle_outline
remove_circle_outline
remove_circle_outline
remove_circle_outline

Journals

Article Types

Countries / Regions

remove_circle_outline
remove_circle_outline
remove_circle_outline
remove_circle_outline
remove_circle_outline

Search Results (460)

Search Parameters:
Keywords = asphalt concrete pavement

Order results
Result details
Results per page
Select all
Export citation of selected articles as:
41 pages, 5074 KB  
Article
Advanced Characterization of Asphalt Concrete Mixtures Towards Implementation of MEPDG in the UAE
by Soughah Al-Samahi, Waleed Zeiada, Ghazi G. Al-Khateeb, Anas Cherkaoui and Helal Ezzat
Infrastructures 2026, 11(1), 33; https://doi.org/10.3390/infrastructures11010033 - 20 Jan 2026
Abstract
This study presents a comprehensive material characterization program to develop the database inputs required for implementing the Mechanistic–Empirical Pavement Design Guide (MEPDG) in the United Arab Emirates (UAE). Five asphalt concrete (AC) mixtures were evaluated, including two conventional penetration-grade binders (PEN 40/50 and [...] Read more.
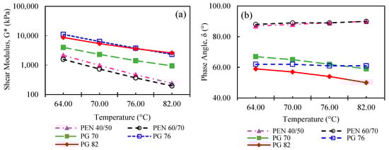
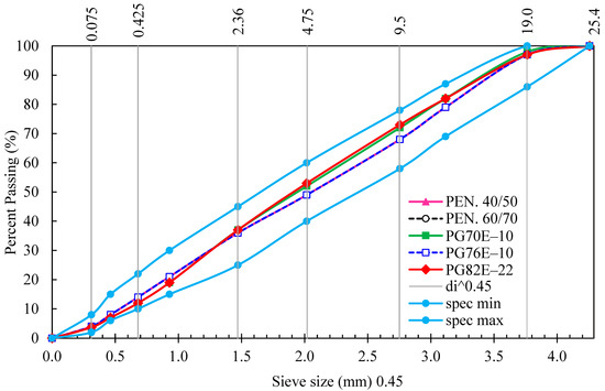
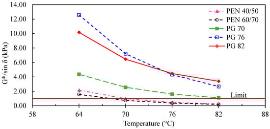
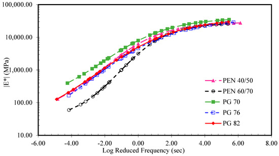
This study presents a comprehensive material characterization program to develop the database inputs required for implementing the Mechanistic–Empirical Pavement Design Guide (MEPDG) in the United Arab Emirates (UAE). Five asphalt concrete (AC) mixtures were evaluated, including two conventional penetration-grade binders (PEN 40/50 and PEN 60/70) and three SBS-modified binders (PG70E–0, PG76E–10, and PG82E–22). The experimental program followed AASHTOWare Pavement ME Design requirements and included asphalt binder testing (penetration, softening point, rotational viscosity, DSR, and BBR) and AC mixture testing (dynamic modulus, flow number, axial fatigue, and indirect tensile strength). The results showed that SBS-modified binders and mixtures, particularly PG70E–10 and PG82E–22, exhibited improved rheological behavior, reduced permanent deformation, and enhanced fatigue resistance, while PG76E–10 demonstrated intermediate performance, highlighting the influence of polymer formulation and mixture structure. Pavement ME simulations indicated that Level 1 material inputs preserved laboratory-observed performance trends, resulting in lower predicted rutting, fatigue cracking, and International Roughness Index (IRI). In contrast, Level 3 inputs masked material-specific behavior and, in some cases, altered mixture performance rankings. These findings emphasize the necessity of mixture-level testing and Level 1 inputs for reliable mechanistic–empirical pavement design under UAE climatic and traffic conditions. Full article
Show Figures

Figure 1

27 pages, 4837 KB  
Article
Influence of Aging on Hot Mix Asphalt with the Incorporation of Recycled Concrete Aggregates
by Hugo Alexander Rondón-Quintana, Juan Gabriel Bastidas-Martínez and Saieth Baudilio Chaves-Pabón
Materials 2026, 19(2), 298; https://doi.org/10.3390/ma19020298 - 12 Jan 2026
Viewed by 129
Abstract
The aging of asphalt mixture is one of the primary factors influencing the durability and performance of pavements. This study analyzed the influence of short-term (STOA) and long-term (LTOA) aging on hot mix asphalt (HMA) with the incorporation of recycled concrete aggregates (RCAs). [...] Read more.
The aging of asphalt mixture is one of the primary factors influencing the durability and performance of pavements. This study analyzed the influence of short-term (STOA) and long-term (LTOA) aging on hot mix asphalt (HMA) with the incorporation of recycled concrete aggregates (RCAs). The effect of aging on these types of mixtures has not been previously evaluated. HMAs were produced with 0%, 12%, and 21% RCAs (by mass), referred to as HMA Control, HMA RCA12, and HMA RCA21. These replacement percentages correspond to particles ranging between 19 and 12.5 mm (12%) and 19 and 9.5 mm (21%). The Marshall test was employed to determine the optimal asphalt content, followed by indirect tensile strength, resilient modulus, and permanent deformation resistance tests on samples subjected to STOA and LTOA. Overall, the results demonstrate that the incorporation of RCAs could improve the durability of asphalt mixtures by reducing their susceptibility to aging. Specifically, HMA RCA12 exhibited the best balance between stiffness, deformability, and resistance to aging, suggesting a favorable technical potential for its application in sustainable pavements, although additional testing is required to validate its long-term performance. Despite this, high RCA contents may reduce resistance to rutting and moisture damage. The results suggest that the optimal performance is achieved by balancing binder content and aggregate absorption to minimize susceptibility to aging. Full article
Show Figures

Graphical abstract

28 pages, 14185 KB  
Article
Finite Element Analysis of Tire–Pavement Interaction Effects on Noise Reduction in Porous Asphalt Pavements
by Miao Yu, Geyun Lv, Anqi Li, Jing Yang, Zhexi Zhang, Dongzhao Jin, Rong Zhang and Jiqing Li
Appl. Sci. 2026, 16(1), 523; https://doi.org/10.3390/app16010523 - 4 Jan 2026
Viewed by 211
Abstract
This study investigated the noise reduction performance of porous asphalt concrete (PAC) pavement under tire–pavement coupling conditions, addressing the limitations of field measurements and laboratory testing. First, tire excitation amplitude parameters were determined based on vibrational contact operational scenarios. Then, finite element simulations [...] Read more.
This study investigated the noise reduction performance of porous asphalt concrete (PAC) pavement under tire–pavement coupling conditions, addressing the limitations of field measurements and laboratory testing. First, tire excitation amplitude parameters were determined based on vibrational contact operational scenarios. Then, finite element simulations were conducted to systematically analyzing the tire–pavement coupling noise characteristics of PAC pavement. The results indicate that PAC pavement effectively reduces the air pumping noise due to its highly porous internal structure, leading to significant noise attenuation. Furthermore, the study examined the key factors influencing the tire–pavement coupling noise in PAC pavement. When maintaining constant vehicle parameters (300 kg load, 60 km/h speed), pavement thickness became the critical noise-control variable, achieving minimum vibration at 6 cm surface layer thickness. Additionally, tire tread depth (5–17 mm) and mold release angle (0–30°) had a more pronounced impact on the air pumping noise compared to groove width (20–60 mm). Increasing the mold release angle and reducing tread depth effectively mitigated the air pumping noise. However, the tire–pavement coupling noise in PAC pavement increased considerably with increasing vehicle speed and load. Particularly, as the speed increased from 30 km/h to 60 km/h, the growth of the air pumping noise was most pronounced, revealing an acoustic transition of tire–pavement coupling noise from vibration-dominated to air-pumping-dominated mechanisms. Full article
Show Figures

Figure 1

19 pages, 7234 KB  
Article
Temperature and Speed Corrections for TSD-Measured Deflection Slopes Using 3D Finite Element Simulations
by Nariman Kazemi, Mofreh Saleh and Chin-Long Lee
Infrastructures 2025, 10(12), 351; https://doi.org/10.3390/infrastructures10120351 - 16 Dec 2025
Viewed by 249
Abstract
Traffic Speed Deflectometer (TSD) measures deflection velocities, normalised by travel speed to obtain deflection slopes. Pavement temperature and travel speed can significantly affect deflection slopes. Therefore, correcting deflection slopes for temperature and speed effects is essential. This study employs three-dimensional (3D) finite element [...] Read more.
Traffic Speed Deflectometer (TSD) measures deflection velocities, normalised by travel speed to obtain deflection slopes. Pavement temperature and travel speed can significantly affect deflection slopes. Therefore, correcting deflection slopes for temperature and speed effects is essential. This study employs three-dimensional (3D) finite element simulations of a three-layer flexible pavement system subjected to moving load at travel speeds from 40 km/h to 80 km/h, while varying the Asphalt Concrete (AC) layers’ thickness from 100 mm to 300 mm and the temperature from 5 °C to 45 °C. The results showed that deflection slopes at 100 mm offset distance could be corrected for the effects of temperature and speed using a correction factor comprising the sum of a parabolic function of temperature and a linear function of speed. At 600 mm and 1500 mm offset distances, simpler correction factors could be established using the sum of linear functions of temperature and speed. The Mean Absolute Percentage Error (MAPE) for all predictions was below 3%, indicating high accuracy. Accurate regression-based equations were also proposed to incorporate AC thickness in predicting the correction factors. The results highlight the potential to correct deflection slopes to a reference temperature and speed by evaluating a range of pavement systems. Full article
Show Figures

Figure 1

38 pages, 967 KB  
Review
Environmentally Sustainable and Climate-Adapted Bitumen–Composite Materials for Road Construction in Central Asia
by Gulbarshin K. Shambilova, Rinat M. Iskakov, Nurgul K. Shazhdekeyeva, Bayan U. Kuanbayeva, Mikhail S. Kuzin, Ivan Yu. Skvortsov and Igor S. Makarov
Infrastructures 2025, 10(12), 345; https://doi.org/10.3390/infrastructures10120345 - 12 Dec 2025
Viewed by 779
Abstract
This review examines scientific and engineering strategies for adapting bituminous and asphalt concrete materials to the highly diverse climates of Central Asia. The region’s sharp gradients—from arid lowlands to cold mountainous zones—expose pavements to thermal fatigue, photo-oxidative aging, freeze–thaw cycles, and wind abrasion. [...] Read more.
This review examines scientific and engineering strategies for adapting bituminous and asphalt concrete materials to the highly diverse climates of Central Asia. The region’s sharp gradients—from arid lowlands to cold mountainous zones—expose pavements to thermal fatigue, photo-oxidative aging, freeze–thaw cycles, and wind abrasion. Existing climatic classifications and principles for designing thermally and radiatively resilient pavements are summarized. Special emphasis is placed on linking binder morphology, rheology, and climate-induced transformations in composite bituminous systems. Advanced characterization methods—including dynamic shear rheometry (DSR), multiple stress creep recovery (MSCR), bending beam rheometry (BBR), and linear amplitude sweep (LAS), supported by FTIR, SEM, and AFM—enable quantitative correlations between phase composition, oxidative chemistry, and mechanical performance. The influence of polymeric, nanostructured, and biopolymeric modifiers on stability and durability is critically assessed. The review promotes region-specific material design and the use of integrated accelerated aging protocols (RTFOT, PAV, UV, freeze–thaw) that replicate local climatic stresses. A climatic rheological profile is proposed as a unified framework combining climate mapping with microstructural and rheological data to guide the development of sustainable and durable pavements for Central Asia. Key rheological indicators—complex modulus (G*), non-recoverable creep compliance (Jnr), and the BBR m-value—are incorporated into this profile. Full article
Show Figures

Figure 1

21 pages, 4931 KB  
Article
Collaborative Optimization Design of Fluidity-Mechanical Properties of Grouting Material and Micro-Mechanism for Semi-Flexible Pavement
by Ping Wu, Junjie Lin, Ping Li, Zucan Jin, Fuyang Guan, Chaofan Wang and Yiduo Zhang
Coatings 2025, 15(12), 1466; https://doi.org/10.3390/coatings15121466 - 10 Dec 2025
Viewed by 273
Abstract
Semi-Flexible Pavement (SFP) combines the flexibility of asphalt concrete and the rigidity of cement concrete to provide excellent high-temperature rutting resistance in the summer. However, its application is often limited by the fluidity and mechanical properties of cement-based grouting materials. This study systematically [...] Read more.
Semi-Flexible Pavement (SFP) combines the flexibility of asphalt concrete and the rigidity of cement concrete to provide excellent high-temperature rutting resistance in the summer. However, its application is often limited by the fluidity and mechanical properties of cement-based grouting materials. This study systematically optimized the mix ratios of three types of grouting materials (cement-based, mineral-modified, and polymer-enhanced) using response surface methodology combined with orthogonal tests. The effects of water–binder ratio (W/B), sand–binder ratio (S/B), mineral admixtures and polymer additives on the key properties of grouting materials were systematically studied. By using Scanning Electron Microscopy (SEM) and X-ray Diffraction (XRD), the evolution of the mixture microstructure and the mechanism of performance change were also analyzed. The test results show that the optimal mix ratio of the cement-based grouting material is W/B = 0.46 and S/B = 0.15; the optimal mix ratio of the mineral grouting material is to replace part of the cement with fly ash (9%), silica fume (6%) and microspheres (3%). Microscopic tests show that fly ash effectively inhibits bleeding; silica fume and fly ash promote the formation of calcium silicate hydrate (C-S-H) gel; microspheres optimize the rheology of the slurry; and the synergistic effect of silica fume and microspheres reduces the internal pores of the grouting material, achieving high fluidity, low bleeding rate and excellent mechanical properties of the grouting material. The polymer-reinforced grouting material is an enhanced slurry formed by adding high-performance water reducer (0.8%), rubber powder (2%) and coupling agent (0.9%) to the optimal mineral grouting material. The combined effect of rubber powder and coupling agent significantly improves the adhesive property between the grouting material and the asphalt interface, making it more suitable for the road performance of SFP in low-temperature environments. Full article
(This article belongs to the Special Issue Surface Treatments and Coatings for Asphalt and Concrete)
Show Figures

Figure 1

25 pages, 15318 KB  
Article
Dual-Triggered Release Mechanisms in Calcium Alginate/Fe3O4 Capsules for Asphalt Self-Healing: Cyclic Load-Induced Sustained Release and Microwave-Activated On-Demand Delivery
by Pei Wan, Jiazhu Wang, Zirong Ma, Zhiming Lin, Peixin Zhong, Xiaobin Zou, Yilun Shen, Niecheng Lin, Hang Chen, Shaopeng Wu, Quantao Liu, Jianlin Feng, Lei Zhang and Xing Gong
Polymers 2025, 17(23), 3187; https://doi.org/10.3390/polym17233187 - 29 Nov 2025
Viewed by 420
Abstract
The calcium alginate/Fe3O4 capsules with multi-chamber structure can release interior rejuvenator under cyclic load and microwave irradiation; however, the rejuvenator release mechanism of capsules under two types of external activation is still unknown. Hence, this paper investigates the rejuvenator release [...] Read more.
The calcium alginate/Fe3O4 capsules with multi-chamber structure can release interior rejuvenator under cyclic load and microwave irradiation; however, the rejuvenator release mechanism of capsules under two types of external activation is still unknown. Hence, this paper investigates the rejuvenator release mechanism of capsules in asphalt concrete under cyclic load and microwave irradiation. This research covers the synthesis of calcium alginate/Fe3O4 capsules and the evaluation of fundamental characteristics. The asphalt concrete containing capsules are subjected to cyclic load and microwave irradiation, respectively. The rejuvenator discharge ratio of capsules after external activation is determined using FTIR spectrum analysis. Furthermore, the structure characteristics of the extracted capsules are monitored after cyclic load and microwave irradiation. The findings indicate that the capsules present a sustained release feature under cyclic load. The outer capsule surfaces forms microcracks (diffusion channel) and inner chamber walls generate micropores (release channel) under cyclic load pressure. The capsules release inner rejuvenator rapidly under the microwave irradiation. The nano-Fe3O4 particles generate irregular movement and form microwave action spots under the action of microwave irradiation, and the micropores (release and diffusion channel) occur on the outer surface of capsules and inner chamber wall. This paper reveals the mechanism of long-lasting slow release under cyclic load and active release under microwave irradiation of dual-responsive capsules, which may provide a theoretical basis for the all-season service of the capsule and the long-term intelligent maintenance of asphalt pavement. Full article
(This article belongs to the Section Smart and Functional Polymers)
Show Figures

Figure 1

18 pages, 1869 KB  
Article
Study on the Fatigue and Healing Characteristics of Steel Slag Asphalt Concrete
by Heng Yuan, Haofeng Zheng, Hao Huang and Liantong Mo
Materials 2025, 18(23), 5361; https://doi.org/10.3390/ma18235361 - 28 Nov 2025
Viewed by 276
Abstract
The fatigue healing mechanisms of steel slag asphalt concrete remain unclear and involve complex influencing factors. When used as an asphalt pavement material in actual road engineering projects, there is a risk of significant deviations in fatigue life predictions and insufficient stability in [...] Read more.
The fatigue healing mechanisms of steel slag asphalt concrete remain unclear and involve complex influencing factors. When used as an asphalt pavement material in actual road engineering projects, there is a risk of significant deviations in fatigue life predictions and insufficient stability in long-term service performance. In this study, traditional diabase asphalt concrete was used as a reference. Mix design was carried out for various steel slag asphalt mixtures, where steel slag coarse aggregates partially or entirely replaced diabase coarse aggregates. By using four-point bending fatigue testing, the fatigue life and stiffness modulus recovery capacity of steel slag asphalt concrete were analyzed after simulating low-temperature winter fatigue damage followed by healing at different temperatures (20 °C, 35 °C, 60 °C, and 75 °C). The test results indicated that the addition of steel slag coarse aggregates significantly affected the fatigue life and stiffness modulus of asphalt concrete. The use of coarser steel slag and autoclaved steel slag aggregates was beneficial for improving fatigue life. After experiencing low-temperature fatigue damage, increasing the healing temperature enhanced the modulus recovery effect but had a relatively low effect on life recovery. Overall, the stiffness modulus healing index of steel slag asphalt concrete exceeded 90%, while the fatigue life healing index ranged between 19% and 55%. After five fatigue healing cycles, the total fatigue life can be extended by 1.7 to 2.3 times. A life prediction model under multiple fatigue healing tests can be established using the stiffness modulus healing index and fatigue damage rate. Model predictions and measured results confirmed that the total fatigue healing life of asphalt concrete with the complete replacement of diabase coarse aggregates by steel slag coarse aggregates was greater than that of traditional diabase asphalt concrete. Full article
(This article belongs to the Special Issue Material Characterization, Design and Modeling of Asphalt Pavements)
Show Figures

Figure 1

22 pages, 2549 KB  
Article
The Influence of Synthetic Reinforcing Fibers on Selected Properties of Asphalt Mixtures for Surface and Binder Layers
by Peter Gallo, Amira Ben Ameur and Jan Valentin
Infrastructures 2025, 10(11), 303; https://doi.org/10.3390/infrastructures10110303 - 11 Nov 2025
Viewed by 376
Abstract
Increasing traffic volumes, heavier axle loads, and the growing frequency of premature pavement distress pose major challenges for modern road infrastructure. In many regions, asphalt pavements experience early rutting, cracking, and moisture-induced damage, underscoring the need for improved material performance and longer service [...] Read more.
Increasing traffic volumes, heavier axle loads, and the growing frequency of premature pavement distress pose major challenges for modern road infrastructure. In many regions, asphalt pavements experience early rutting, cracking, and moisture-induced damage, underscoring the need for improved material performance and longer service life. Reinforcing fibres are increasingly used to enhance asphalt mixture properties, with aramid fibres recognised for their superior mechanical and thermal stability. This study evaluates the effect of FlexForce (FF) fibres on the mechanical and fracture behaviour of two dense-graded asphalt concretes, AC 16 surf and AC 16 bin, produced with different binders and fibre dosages (0.02% and 0.04% by mixture weight). Laboratory tests, including indirect tensile strength ratio (ITSR), indirect tensile stiffness modulus (IT-CY), crack propagation resistance, and dynamic modulus measurements, were performed to assess moisture susceptibility, stiffness, and viscoelastic behaviour. The results showed that fibre addition had little effect on compactability and stiffness under standard conditions but improved temperature stability and stiffness at elevated temperatures, particularly when used with polymer-modified binders. Moisture resistance decreased slightly, while fracture performance improved moderately at intermediate temperatures. Overall, low fibre dosages (~0.02%) provided the most balanced performance, indicating that the mechanical benefits of aramid reinforcement depend strongly on binder rheology, temperature, and interfacial compatibility. These findings contribute to optimising fibre dosage and binder selection for aramid-reinforced asphalt layers in practice. Full article
Show Figures

Figure 1

17 pages, 1253 KB  
Article
Evaluation and Control of Variability in RAP Properties Through Refined Fractionation Processing Methods
by Yan Zhang, Jiyang Li and Yiren Sun
Materials 2025, 18(21), 4944; https://doi.org/10.3390/ma18214944 - 29 Oct 2025
Viewed by 489
Abstract
Variability in reclaimed asphalt pavement (RAP) properties, such as aggregate gradation, asphalt content, and moisture content, poses a significant challenge to producing consistent and reliable recycled asphalt mixtures. This study systematically evaluated processing techniques for mitigating variability through a comparative analysis of four [...] Read more.
Variability in reclaimed asphalt pavement (RAP) properties, such as aggregate gradation, asphalt content, and moisture content, poses a significant challenge to producing consistent and reliable recycled asphalt mixtures. This study systematically evaluated processing techniques for mitigating variability through a comparative analysis of four fractionation strategies, i.e., unfractionated, two-fraction, four-fraction, and six-fraction processing. Corresponding to the four approaches, four distinct reference RAP mixtures were fabricated by proportionally recombining the obtained RAP fractions towards a target gradation. The gray relational analysis (GRA) was employed to quantify geometric similarity between the gradation curve of reclaimed aggregates from each fraction and the target gradation curve, thereby facilitating efficient determination of blending proportions without resorting to complex optimization algorithms. Statistical variability indicators, including range, standard deviation, and coefficient of variation (COV), were used to assess the effectiveness of each fractionation and recombining method. The results demonstrated that refined fractionation processing significantly reduced variability, particularly in gradation properties. Compared with the COV values from the commonly used two-fraction processing, those from the refined four-fraction and six-fraction processing methods decreased by up to 51.5% and 73.5%, respectively. While increasing the number of fractions generally enhanced homogeneity, the four-fraction approach emerged as the most technically reliable and economically viable strategy, achieving a desirable balance between processing effort and variability control. Furthermore, the GRA proved to be a practical and efficient tool for blend proportioning, reducing reliance on complex numerical methods. These findings reveal the importance of refined fractionated RAP processing in enabling the production of high-RAP recycled mixtures with improved uniformity and performance. Full article
(This article belongs to the Special Issue Innovative Approaches in Asphalt Binder Modification and Performance)
Show Figures

Figure 1

32 pages, 7738 KB  
Article
Effects of Magnetite Powder on Microwave Heating Properties and Pavement Performance of Asphalt Mixture
by Haoran Zhu, Yajun Zhang, Feng Hu, Mingming Yu and Wenfeng Wang
Materials 2025, 18(21), 4920; https://doi.org/10.3390/ma18214920 - 28 Oct 2025
Viewed by 563
Abstract
Microwave heating is a method with a uniform heating effect and environmental friendliness in in-place hot recycling, but the microwave absorption capacity of traditional asphalt mixtures is still insufficient. As an excellent microwave-absorbing material, magnetite powder has the characteristics of high temperature resistance, [...] Read more.
Microwave heating is a method with a uniform heating effect and environmental friendliness in in-place hot recycling, but the microwave absorption capacity of traditional asphalt mixtures is still insufficient. As an excellent microwave-absorbing material, magnetite powder has the characteristics of high temperature resistance, corrosion resistance, and good thermodynamic stability. This study selects it as the microwave-absorbing material, prepares AC (Asphalt Concrete) type and SMA (Stone Mastic Asphalt) type microwave asphalt mixtures by adjusting its content, and investigates its influence on the microwave-heating characteristics and pavement performance of the mixtures. Simulations of the microwave-heating process of AC-type mixtures using COMSOL software (COMSOL Multiphysics 6.2) show that magnetite powder achieves optimal performance in terms of heating effect and economic efficiency when its content is 0.5%. Subsequently, laboratory tests are conducted to study the wave absorption and temperature rise performance of AC and SMA microwave asphalt mixtures; combined with economic factors, the optimal contents of magnetite powder for the two types of mixtures are determined to be 0.5% and 1%, respectively, and at the same time, these results are explained based on multiple physical theories. Furthermore, pavement performance is investigated through laboratory tests, including high-temperature rutting tests, low-temperature bending tests, immersed Marshall tests, and freeze–thaw cycle durability tests, and the results indicate that the high-temperature performance, low-temperature performance, and water stability of the microwave asphalt mixtures all meet the specification requirements for pavement performance. Subsequently, after 15 freeze–thaw cycles, the splitting tensile strength retention rate and stiffness modulus of the two types of mixtures show minimal differences from those of ordinary mixtures, and there is no durability degradation caused by the incorporation of magnetite powder. Finally, outdoor environment verification is carried out, and the results show that under complex conditions such as environmental factors, the wave absorption and temperature rise rates of AC and SMA mixtures at optimal contents are 52.2% and 14.6% higher than those of ordinary AC and SMA asphalt mixtures, respectively. In addition, these microwave asphalt mixtures have the advantages of both sustainability and reduced carbon emissions. By combining simulation methods and experimental verification, this study finally prepared two types of microwave asphalt mixtures with excellent performance, not only improving the microwave absorption and heating performance of asphalt mixtures, but also reducing environmental pollution and energy consumption, which conforms to the development of green transportation. Full article
Show Figures

Graphical abstract

18 pages, 4058 KB  
Article
Preparation and Comprehensive Performance Evaluation of Hydrophobic Anti-Icing Coating Materials for Highway Pavements
by Xin Xu, Yingci Zhao, Qi Wang, Mingzhi Sun and Yuchun Li
Materials 2025, 18(20), 4778; https://doi.org/10.3390/ma18204778 - 19 Oct 2025
Viewed by 565
Abstract
In winter, some roads face the problems of severe rain accumulation and ice formation, which pose major risks to traffic safety and result in substantial economic losses. With the development of hydrophobic materials, hydrophobic coatings have gradually gained attention as a novel anti-icing [...] Read more.
In winter, some roads face the problems of severe rain accumulation and ice formation, which pose major risks to traffic safety and result in substantial economic losses. With the development of hydrophobic materials, hydrophobic coatings have gradually gained attention as a novel anti-icing technology. In this study, utilizing vinyl triethoxysilane (VTES) as the monomer and benzoyl peroxide (BPO) as the initiator, a hydrophobic anti-icing coating for highway pavements was prepared through the free radical polymerization method. Through designing the icing rate test and ice–pavement interface adhesion strength test, combining the contact angle test technology, wet wheel abrasion test, and pendulum friction coefficient test, the anti-icing performance, durability, and skid resistance performance of the hydrophobic anti-icing coating under the three types of mixtures of asphalt concrete (AC-13), Portland cement concrete (PCC), and porous asphalt concrete (PAC-13) were evaluated. The results indicate that when the surface layer of the pavement was sprayed with anti-icing coating, the water was dispersed in a semi-spherical shape and easily rolled off the road surface. Compared to uncoated substrates, the anti-icing coating reduced the icing rate on the surface by approximately 25%. Comparing with the uncoated pavements mixtures, for AC-13, PCC, and PAC-13 pavements, the ice–pavement interface adhesion strength after the application of hydrophobic anti-icing coating reduced by 30%, 79% and 34%, respectively. Both cement pavements and asphalt pavements, after the application of hydrophobic anti-icing coating, expressed hydrophobic properties (contact angle of 131.3° and 107.6°, respectively). After wet wheel abrasion tests, the skid resistance performance of pavement surfaces coated with the hydrophobic anti-icing coating met the specification requirements. This study has great significance for the promotion and application of hydrophobic anti-icing technology on highway pavements. Full article
(This article belongs to the Special Issue Eco-Friendly Intelligent Infrastructures Materials)
Show Figures

Figure 1

18 pages, 1941 KB  
Article
Deep Learning Model Ensemble Applied to Modulus Back-Calculation of Old Cement Concrete Rubblized Overlay Asphalt Pavement
by Qiang Li and Pai Peng
Appl. Sci. 2025, 15(20), 11115; https://doi.org/10.3390/app152011115 - 16 Oct 2025
Viewed by 650
Abstract
Accurately determining the modulus of each structural layer remains a key challenge in asphalt pavement design, construction quality control, and bearing capacity assessment. This study introduces an ensemble model combining a genetic algorithm-optimized backpropagation neural network (GA-BP) and a convolutional neural network (CNN) [...] Read more.
Accurately determining the modulus of each structural layer remains a key challenge in asphalt pavement design, construction quality control, and bearing capacity assessment. This study introduces an ensemble model combining a genetic algorithm-optimized backpropagation neural network (GA-BP) and a convolutional neural network (CNN) to back-calculate the dynamic modulus of asphalt pavement layers over rubblized old cement concrete structures. Using a dynamic deflection basin database created by our research team, we built a dataset of 1,552,000 pavement structure samples with Falling Weight Deflectometer (FWD) data. Based on this dataset, we developed regression models, including a backpropagation (BP) neural network, GA-BP, and CNN, to perform the back-calculation of dynamic modulus values. Performance testing revealed that the CNN model outperformed both the GA-BP and BP models in terms of accuracy and stability, as indicated by evaluation metrics (R2, MAE, RMSE, MAPE), with the following ranking: CNN > GA-BP > BP. Nonetheless, the maximum relative error across all three models remained notable. To address this, an ensemble model combining GA-BP and CNN was created, significantly enhancing the accuracy and stability of the back-calculation results. The proposed ensemble model was tested on-site with FWD data to estimate the dynamic modulus of asphalt pavement layers. The results demonstrated strong agreement with actual pavement performance and high consistency with numerical outcomes from three-dimensional (3D) dynamic finite element method simulations. These findings suggest that the GA-BP and CNN ensemble approach offers a reliable method for back-calculating the dynamic modulus of asphalt pavement layers over rubblized old cement concrete structures. Full article
Show Figures

Figure 1

16 pages, 3312 KB  
Article
Titanium Dioxide for Improved Performance of Reclaimed Asphalt Pavement Aggregates in Concrete
by Mohammad S. Al Ja’fari, Marwh M. Al-Adaileh, Ahmad K. Al-Adayleh, Mazen J. Al-Kheetan, Yazeed S. Jweihan, Amjad H. Albayati, Musab Rabi, Saad S. Alrwashdeh, Yazeed A. Al-Noaimat and Seyed Hamidreza Ghaffar
Sustainability 2025, 17(20), 9034; https://doi.org/10.3390/su17209034 - 12 Oct 2025
Cited by 1 | Viewed by 820
Abstract
This work presents an innovative approach to enhancing the performance of concrete with reclaimed asphalt pavement (RAP) aggregates using titanium dioxide (TiO2) nanoparticles. Traditional limestone coarse aggregates were partially replaced with 30% and 50% RAP aggregates; a subset of mixtures containing [...] Read more.
This work presents an innovative approach to enhancing the performance of concrete with reclaimed asphalt pavement (RAP) aggregates using titanium dioxide (TiO2) nanoparticles. Traditional limestone coarse aggregates were partially replaced with 30% and 50% RAP aggregates; a subset of mixtures containing RAP aggregates was treated with TiO2 nanoparticles. The rheological, mechanical, and long-term properties of concrete, along with changes in its chemical composition following the addition of RAP and TiO2, were evaluated. Results revealed that using 30% and 50% RAP in concrete mixtures reduced their compressive strength by 18% and 27%, respectively. However, using TiO2 in those mixtures enhanced their compressive strength by 8.7% and 6.3%. Moreover, concrete with 50% RAP exhibited an 85% increase in water absorption (the highest among all mixtures) compared to the control. TiO2 treatment was most beneficial in the 30% RAP mixture, reducing its water absorption by 32.5% compared to its untreated counterpart. Additionally, the 30% RAP mixture treated with TiO2 showed the highest resistance to sulfates among modified mixtures, as its compressive strength decreased by 10.4% compared to a decrease of 23% in the strength of the untreated 30% RAP mixture. Statistical analysis using single-factor ANOVA showed that integrating RAP aggregates with or without the presence of TiO2 particles would significantly affect the concrete properties in terms of their population means. The t-test analysis, on the other hand, proved sufficient evidence that the mean values of the 30% RAP mixture treated with TiO2 would not differ significantly from the control in terms of its slump and water absorption properties. The chemical structure analysis revealed an increase in the Si-O-Si and Si-O functional groups when using TiO2 in RAP mixtures, suggesting improved hydration activity and accelerated C-S-H formation in the treated RAP mixtures. Moreover, distinct C-H peaks were witnessed in concrete with untreated RAP aggregates, resulting from the aged asphalt coating on the RAP, which weakened the bond between the RAP and the cementitious matrix. Full article
Show Figures

Figure 1

27 pages, 5815 KB  
Article
A Study on the Mechanical Properties of an Asphalt Mixture Skeleton Meso-Structure Based on Computed Tomography Images and the Discrete Element Method
by Hehao Liang, Liwan Shi, Yuechan Wang, Peixian Li and Jiajian Huang
Appl. Sci. 2025, 15(19), 10799; https://doi.org/10.3390/app151910799 - 8 Oct 2025
Cited by 1 | Viewed by 897
Abstract
Current understanding of the load-transfer mechanism in the skeletal contact state of asphalt mixtures and its influence on macroscopic mechanical properties remains insufficient. This knowledge gap leads to difficulties in accurately predicting the performance of designed mixtures, thereby restricting the service life of [...] Read more.
Current understanding of the load-transfer mechanism in the skeletal contact state of asphalt mixtures and its influence on macroscopic mechanical properties remains insufficient. This knowledge gap leads to difficulties in accurately predicting the performance of designed mixtures, thereby restricting the service life of asphalt pavements and the sustainable development of road engineering. This study investigated the skeletal contact characteristics, coarse aggregate movement, and crack propagation of three asphalt mixture types—Stone Mastic Asphalt (SMA), Asphalt Concrete (AC), and Open-Graded Friction Course (OGFC)—under loading. The methodology incorporated Computed Tomography (CT) technology, a Voronoi diagram-based skeletal contact evaluation method, and discrete element numerical simulation. The research aimed to elucidate the influence mechanisms of different skeletal structures on macroscopic performance and to validate the efficacy of the skeletal contact evaluation method. The findings revealed that under splitting load, the tensile stress contact force chains within the asphalt mixture’s skeleton were predominantly distributed along both sides of the specimen’s central axis. For all three gradations, compressive stress contact force chains (points) accounted for over 65% of the total, indicating that the asphalt mixture skeleton primarily bore and transmitted compressive stresses. The interlocking structure formed by coarse aggregates significantly enhanced the stability of the asphalt mixture skeleton, reduced its displacement under load, and improved the mixture’s resistance to cracking. In the three gradations, shear stress-induced cracks outnumbered those caused by tensile stress, with shear stress cracks accounting for over 55% of the total cracks. This suggests that under splitting load, cracks resulting from shear failure were more prevalent than those from tensile failure. SMA-20 demonstrated the best crack resistance, followed by AC-20, while OGFC-20 performed the poorest. These conclusions are consistent with the results of the Voronoi diagram-based skeletal contact evaluation, confirming the correlation between the contact conditions of the asphalt mixture skeleton and its mechanical performance. Specifically, inadequate skeletal contact leads to a significant deterioration in mechanical properties. The research results elucidate the influence of skeletal contact characteristics with different gradations on both mesoscopic features and macroscopic mechanical behavior, providing a crucial basis for optimizing asphalt mixture design. Full article
Show Figures

Figure 1

Back to TopTop