Influence of Aging on Hot Mix Asphalt with the Incorporation of Recycled Concrete Aggregates
Abstract
1. Introduction
1.1. Problem Statement and Background
1.2. Scope and Objective
2. Materials and Methods
2.1. Materials
2.2. HMA Design
2.3. Short-Term Aging (STOA) and Long-Term Aging (LTOA) Simulation
2.4. Test
2.4.1. Resilient Modulus (RM)
2.4.2. Permanent Deformation Resistance
2.4.3. IDT Test
2.5. ANOVA
3. Results
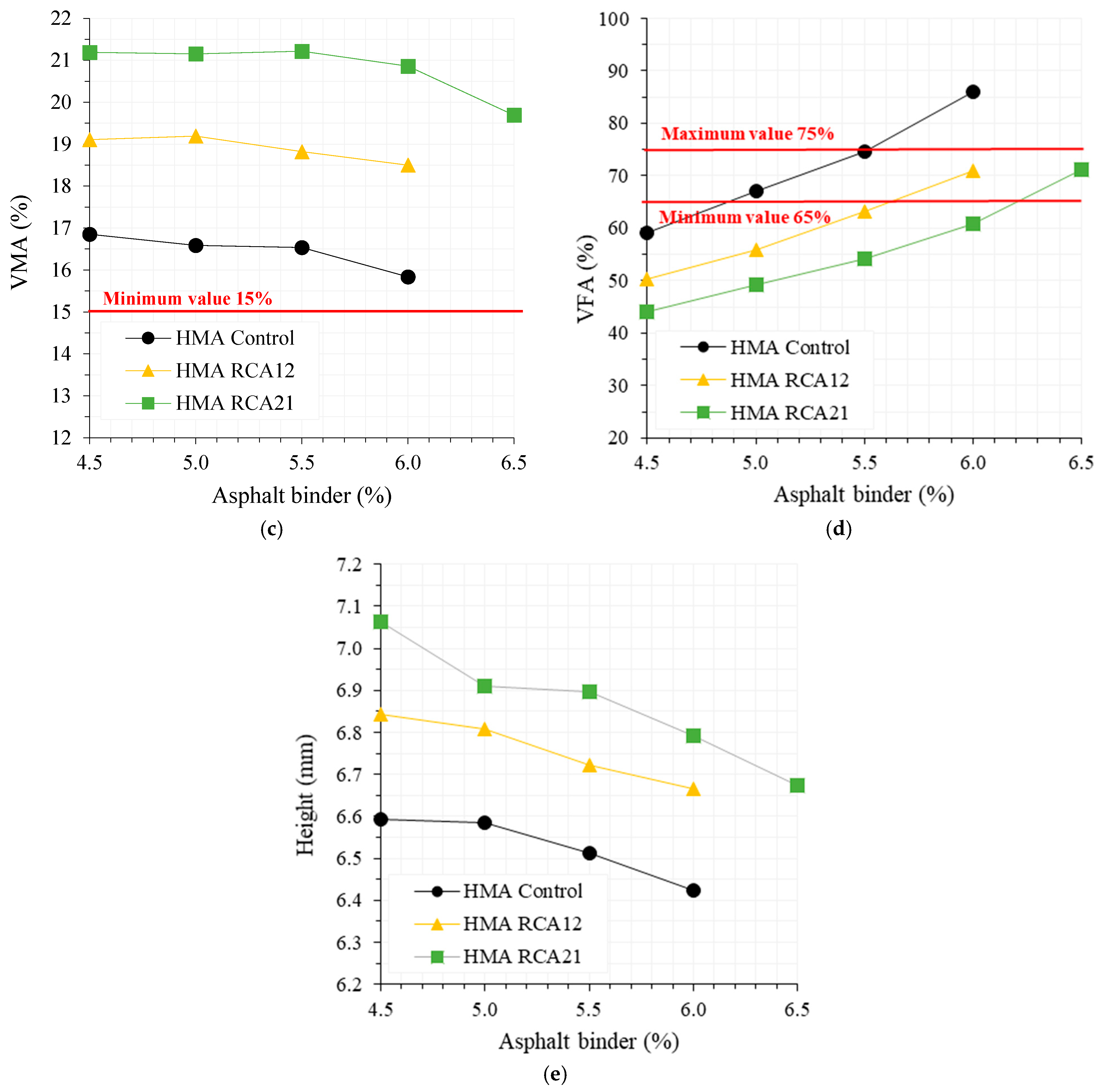
3.1. Marshall’s Test and Mixtures Design
3.2. Resilient Modulus
3.3. Resistance to Permanent Deformation
3.4. IDT Test and TSR
4. Summary and Discussion
5. Conclusions
- ▪
- The mixtures with RCAs show higher resistance under a monotonic load in the Marshall test (S, S/F ratio) compared with HMA Control. However, from a statistical standpoint, these increases in resistance are not significant. Furthermore, these mixes show lower susceptibility to aging (especially HMA RCA12).
- ▪
- As the mix most susceptible to aging in the RM tests, HMA Control exhibits the highest RM values under LTOA conditions. Under STOA conditions, the changes in RM for the three mixes are not statistically significant.
- ▪
- The least resistant mix to rutting is HMA RCA21. Therefore, its use is not recommended in high-temperature climates.
- ▪
- Despite being the mix most susceptible to aging in the IDT tests, HMA Control exhibits the highest ITS values and tends to be the most resistant to moisture damage. However, its higher stiffness and lower deformation capacity could translate into an inferior performance under low-temperature and fatigue conditions.
- ▪
- In all tests, the mix least susceptible to aging is HMA RCA12, and the most susceptible tends to be HMA Control. Thus, the incorporation of RCAs contributes from a technical perspective, as the reduction in aging susceptibility provides greater durability and a better performance for a pavement. However, additional tests should be conducted to validate the performance of HMA with RCAs.
- ▪
- There is a need to increase the binder content in HMA Control to improve its resistance to aging.
- ▪
- The results indicate the existence of an optimal balance between binder content and aggregate absorption, where the asphalt mixes exhibit the lowest susceptibility to aging.
- ▪
- As widely reported in the literature, HMA mixes with RCAs require the incorporation of a higher asphalt binder content to ensure compliance with the quality requirements specified by Colombian standards.
- ▪
- In general, mixtures with RCAs exhibited a slight reduction in stiffness, as measured by the RM and in indirect tensile strength under dry and wet conditions compared with the control HMA. Marshall stability and permanent deformation resistance increased with the inclusion of RCAs. However, when subjected to long-term aging, mixtures with RCAs showed lower susceptibility, potentially improving durability.
Author Contributions
Funding
Data Availability Statement
Acknowledgments
Conflicts of Interest
References
- Xu, X.; Luo, Y.; Sreeram, A.; Wu, Q.; Chen, G.; Cheng, S.; Chen, Z.; Chen, X. Potential Use of Recycled Concrete Aggregate (RCA) for Sustainable Asphalt Pavements of the Future: A State-of-the-Art Review. J. Clean. Prod. 2022, 343, 130893. [Google Scholar] [CrossRef]
- Bastidas-Martínez, J.G.; Reyes-Lizcano, F.A.; Rondón-Quintana, H.A. Use of Recycled Concrete Aggregates in Asphalt Mixtures for Pavements: A Review. J. Traffic Transp. Eng. 2022, 9, 725–741. [Google Scholar] [CrossRef]
- Muniz de Farias, M.; Quiñonez-Sinisterra, F.; Rondón-Quintana, H.A. Behavior of a Hot-Mix Asphalt Made with Recycled Concrete Aggregate and Crumb Rubber. Can. J. Civ. Eng. 2019, 46, 544–551. [Google Scholar] [CrossRef]
- Bastidas-Martínez, J.G.; Rondón-Quintana, H.A.; Moreno-Anselmi, L.Á. Recycled Concrete Aggregate in Asphalt Mixtures: A Review. Recycling 2025, 10, 155. [Google Scholar] [CrossRef]
- Sejin-Garces, J.E.; Ahumada-Navarro, G.; Rondón-Quintana, H.A.; Reyes-Lizcano, F.A.; Bastidas-Martínez, J.G. Mechanical Strength of an Hot-Mix Asphalt Using Recycled Concrete Aggregate: Mass and Volume Proportioning. Road Mater. Pavement Des. 2024, 26, 536–558. [Google Scholar] [CrossRef]
- Zuluaga-Astudillo, D.A.; Rondón-Quintana, H.A.; Zafra-Mejía, C.A. Mechanical Performance of Gilsonite Modified Asphalt Mixture Containing Recycled Concrete Aggregate. Appl. Sci. 2021, 11, 4409. [Google Scholar] [CrossRef]
- Álvarez, D.A.; Aenlle, A.A.; Tenza-Abril, A.J.; Ivorra, S. Influence of Partial Coarse Fraction Substitution of Natural Aggregate by Recycled Concrete Aggregate in Hot Asphalt Mixtures. Sustainability 2020, 12, 250. [Google Scholar] [CrossRef]
- Galan, J.J.; Silva, L.M.; Pérez, I.; Pasandín, A.R. Mechanical Behavior of Hot-Mix Asphalt Made with Recycled Concrete Aggregates from Construction and Demolitionwaste: A Design of Experiments Approach. Sustainability 2019, 11, 3730. [Google Scholar] [CrossRef]
- Giri, J.P.; Panda, M.; Sahoo, U.C. Performance of Bituminous Mixes Containing Treated Recycled Concrete Aggregates and Modified by Waste Polyethylene. J. Mater. Civ. Eng. 2018, 30, 04018184. [Google Scholar] [CrossRef]
- Pérez, I.; Pasandín, A.R. Moisture Damage Resistance of Hot-Mix Asphalt Made with Recycled Concrete Aggregates and Crumb Rubber. J. Clean. Prod. 2017, 165, 405–414. [Google Scholar] [CrossRef]
- Motter, J.S.; Miranda, L.F.R.; Bernucci, L.B. Performance of Hot Mix Asphalt Concrete Produced with Coarse Recycled Concrete Aggregate. J. Mater. Civ. Eng. 2015, 27, 04015030. [Google Scholar] [CrossRef]
- Lee, C.H.; Du, J.C.; Shen, D.H. Evaluation of Pre-Coated Recycled Concrete Aggregate for Hot Mix Asphalt. Constr. Build. Mater. 2012, 28, 66–71. [Google Scholar] [CrossRef]
- Qasrawi, H.; Asi, I. Effect of Bitumen Grade on Hot Asphalt Mixes Properties Prepared Using Recycled Coarse Concrete Aggregate. Constr. Build. Mater. 2016, 121, 18–24. [Google Scholar] [CrossRef]
- Mikhailenko, P.; Rafiq Kakar, M.; Piao, Z.; Bueno, M.; Poulikakos, L. Incorporation of Recycled Concrete Aggregate (RCA) Fractions in Semi-Dense Asphalt (SDA) Pavements: Volumetrics, Durability and Mechanical Properties. Constr. Build. Mater. 2020, 264, 120166. [Google Scholar] [CrossRef]
- Gopalam, J.; Prakash Giri, J.; Panda, M. Effect of Filler on Bituminous Base Layer Containing Recycled Concrete Aggregates. Int. J. Transp. Sci. Technol. 2020, 9, 239–248. [Google Scholar] [CrossRef]
- Sanchez-Cotte, E.H.; Fuentes, L.; Martinez-Arguelles, G.; Rondón Quintana, H.A.; Walubita, L.F.; Cantero-Durango, J.M. Influence of Recycled Concrete Aggregates from Different Sources in Hot Mix Asphalt Design. Constr. Build. Mater. 2020, 259, 120427. [Google Scholar] [CrossRef]
- Radević, A.; Isailović, I.; Wistuba, M.P.; Zakić, D.; Orešković, M.; Mladenović, G. The Impact of Recycled Concrete Aggregate on the Stiffness, Fatigue, and Low-Temperature Performance of Asphalt Mixtures for Road Construction. Sustainability 2020, 12, 3949. [Google Scholar] [CrossRef]
- Radević, A.; Đureković, A.; Zakić, D.; Mladenović, G. Effects of Recycled Concrete Aggregate on Stiffness and Rutting Resistance of Asphalt Concrete. Constr. Build. Mater. 2017, 136, 386–393. [Google Scholar] [CrossRef]
- Giri, J.P.; Panda, M.; Sahoo, U.C. Use of Waste Polyethylene for Modification of Bituminous Paving Mixes Containing Recycled Concrete Aggregates. Road Mater. Pavement Des. 2018, 21, 289–309. [Google Scholar] [CrossRef]
- Paranavithana, S.; Mohajerani, A. Effects of Recycled Concrete Aggregates on Properties of Asphalt Concrete. Resour. Conserv. Recycl. 2006, 48, 1–12. [Google Scholar] [CrossRef]
- Arabani, M.; Azarhoosh, A.R. The Effect of Recycled Concrete Aggregate and Steel Slag on the Dynamic Properties of Asphalt Mixtures. Constr. Build. Mater. 2012, 35, 1–7. [Google Scholar] [CrossRef]
- Nwakaire, C.M.; Yap, S.P.; Onn, C.C.; Yuen, C.W. Utilisation of Recycled Concrete Aggregates for Sustainable Highway Pavement Applications; a Review. Constr. Build. Mater. 2020, 235, 117444. [Google Scholar] [CrossRef]
- Nwakaire, C.M.; Yap, S.P.; Yuen, C.W.; Onn, C.C.; Koting, S.; Babalghaith, A.M. Laboratory Study on Recycled Concrete Aggregate Based Asphalt Mixtures for Sustainable Flexible Pavement Surfacing. J. Clean. Prod. 2020, 262, 121462. [Google Scholar] [CrossRef]
- Arabani, M.; Moghadas Nejad, F.; Azarhoosh, A.R. Laboratory Evaluation of Recycled Waste Concrete into Asphalt Mixtures. Int. J. Pavement Eng. 2013, 14, 531–539. [Google Scholar] [CrossRef]
- Vega A, D.L.; Santos, J.; Martinez-Arguelles, G. Life Cycle Assessment of Hot Mix Asphalt with Recycled Concrete Aggregates for Road Pavements Construction. Int. J. Pavement Eng. 2022, 23, 923–936. [Google Scholar] [CrossRef]
- Gul, W.A.; Guler, M. Rutting Susceptibility of Asphalt Concrete with Recycled Concrete Aggregate Using Revised Marshall Procedure. Constr. Build. Mater. 2014, 55, 341–349. [Google Scholar] [CrossRef]
- Pasandín, A.R.; Pérez, I. Laboratory Evaluation of Hot-Mix Asphalt Containing Construction and Demolition Waste. Constr. Build. Mater. 2013, 43, 497–505. [Google Scholar] [CrossRef]
- Huang, Q.; Qian, Z.; Hu, J.; Zheng, D.; Chen, L.; Zhang, M.; Yu, J. Investigation on the Properties of Aggregate-Mastic Interfacial Transition Zones (ITZs) in Asphalt Mixture Containing Recycled Concrete Aggregate. Constr. Build. Mater. 2021, 269, 121257. [Google Scholar] [CrossRef]
- Pasandín, A.R.; Pérez, I. Performance of Hot-Mix Asphalt Involving Recycled Concrete Aggregates. Int. J. Pavement Eng. 2018, 21, 1044–1056. [Google Scholar] [CrossRef]
- Saleh, N.F.; Keshavarzi, B.; Yousefi Rad, F.; Mocelin, D.; Elwardany, M.; Castorena, C.; Underwood, B.S.; Kim, Y.R. Effects of Aging on Asphalt Mixture and Pavement Performance. Constr. Build. Mater. 2020, 258, 120309. [Google Scholar] [CrossRef]
- Cháves-Pabón, S.B.; Rondón-Quintana, H.A.; Bastidas-Martínez, J.G. Aging of asphalt binders and asphalt mixtures. Summary part I: Effect on physical-chemical properties. Int. J. Civil. Eng. Technol. 2019, 10, 259–273. [Google Scholar]
- Lu, X.; Isacsson, U. Effect of Ageing on Bitumen Chemistry and Rheology. Constr. Build. Mater. 2002, 16, 15–22. [Google Scholar] [CrossRef]
- Zhang, H.; Chen, Z.; Xu, G.; Shi, C. Evaluation of Aging Behaviors of Asphalt Binders through Different Rheological Indices. Fuel 2018, 221, 78–88. [Google Scholar] [CrossRef]
- Zadshir, M.; Hosseinnezhad, S.; Ortega, R.; Chen, F.; Hochstein, D.; Xie, J.; Yin, H.; Parast, M.M.; Fini, E.H. Application of a Biomodifier as Fog Sealants to Delay Ultraviolet Aging of Bituminous Materials. J. Mater. Civ. Eng. 2018, 30, 04018310. [Google Scholar] [CrossRef]
- Tauste, R.; Moreno-Navarro, F.; Sol-Sánchez, M.; Rubio-Gámez, M.C. Understanding the Bitumen Ageing Phenomenon: A Review. Constr. Build. Mater. 2018, 192, 593–609. [Google Scholar] [CrossRef]
- Cao, W.; Wang, Y.; Wang, C. Fatigue Characterization of Bio-Modified Asphalt Binders under Various Laboratory Aging Conditions. Constr. Build. Mater. 2019, 208, 686–696. [Google Scholar] [CrossRef]
- Pasandín, A.R.; Pérez, I. Effect of Ageing Time on Properties of Hot-Mix Asphalt Containing Recycled Concrete Aggregates. Constr. Build. Mater. 2014, 52, 284–293. [Google Scholar] [CrossRef]
- Pasandín, A.R.; Pérez, I.; Oliveira, J.R.M.; Silva, H.M.R.D.; Pereira, P.A.A. Influence of Ageing on the Properties of Bitumen from Asphalt Mixtures with Recycled Concrete Aggregates. J. Clean. Prod. 2015, 101, 165–173. [Google Scholar] [CrossRef]
- Bastidas-Martínez, J.G.; Rondón-Quintana, H.; Zafra-Mejía, C.A. Study of Hot Mix Asphalt Containing Recycled Concrete Aggregates That Were Mechanically Treated with a Los Angeles Machine. Int. J. Civil. Eng. Technol. 2019, 10, 226–243. [Google Scholar]
- Bastidas-Martínez, J.G.; Rondón-Quintana, H.A.; Contreras-zartha, L.; Forero-castaño, S.; Rojas-rozo, L. Evaluación de Una Mezcla de Concreto Asfáltico Con Incorporación de Agregados Reciclados de Concreto Evaluation of Hot Mix Asphalt with Incorporation of Recycled Concrete Aggregates. Rev. Ing. UIS 2021, 20, 75–84. [Google Scholar] [CrossRef]
- Bastidas-Martínez, J.G.; Cárdenas-Triviño, C.A.; Casallas-Huertas, L.V.; Díaz-Cadena, D.A.; Rondón-Quintana, H.A. Mechanical Performance of Asphalt Mixtures Modified with Rubber Granules and Recycled Concrete Aggregates. Rev. Fac. Ing. Univ. Antioq. 2025, 118, e50366. [Google Scholar] [CrossRef]
- INVIAS. Especificaciones Generales Para Construcción de Carreteras; Instituto Nacional de Vías (INVIAS): Bogotá, Colombia, 2022. [Google Scholar]
- ASTM C131-06; Standard Test Method for Resistance to Degradation of Small-Size Coarse Aggregate by Abrasion and Impact in the Los Angeles Machine. American Society for Testing and Materials (ASTM): Conshohocken, PA, USA, 2010.
- ASTM D7428-15; Standard Test Method for Resistance of Fine Aggregate to Degradation by Abrasion in the Micro-Deval Apparatus. American Society for Testing and Materials (ASTM): Conshohocken, PA, USA, 2023.
- DNER 096-98; Agregado Graúdo—Avaliação da Resistência Mecânica pelo Método dos 10% de Finos. Departamento Nacional De Estradas De Rodagem (DNER): Rio de Janeiro, Brazil, 1998.
- ASTM D4791-19; Standard Test Method for Flat Particles, Elongated Particles, or Flat and Elongated Particles in Coarse Aggregate. American Society for Testing and Materials (ASTM): Conshohocken, PA, USA, 2023.
- ASTM D5821-13; Standard Test Method for Determining the Percentage of Fractured Particles in Coarse Aggregate. American Society for Testing and Materials (ASTM): Conshohocken, PA, USA, 2017.
- ASTM C127-24; Standard Test Method for Relative Density (Specific Gravity) and Absorption of Coarse Aggregate. American Society for Testing and Materials (ASTM): Conshohocken, PA, USA, 2025.
- Bastidas-Martínez, J.G.; Camapum de Carvalho, J.; Lucena Cristhiane, L.; Muniz de Farias, M.; Rondón-Quintana, H.A. Effects of Iron Ore Tailing on Performance of Hot-Mix Asphalt. J. Mater. Civ. Eng. 2022, 34, 04021405. [Google Scholar] [CrossRef]
- Rondón-Quintana, H.A.; Ruge-Cárdenas, J.C.; Muniz de Farias, M. Behavior of Hot-Mix Asphalt Containing Blast Furnace Slag as Aggregate: Evaluation by Mass and Volume Substitution. J. Mater. Civ. Eng. 2019, 31, 04018364. [Google Scholar] [CrossRef]
- Dulaimi, A.; Shanbara, H.K.; Jafer, H.; Sadique, M. An Evaluation of the Performance of Hot Mix Asphalt Containing Calcium Carbide Residue as a Filler. Constr. Build. Mater. 2020, 261, 119918. [Google Scholar] [CrossRef]
- ASTM D5M-20; Standard Test Method for Penetration of Bituminous Materials. American Society for Testing and Materials (ASTM): Conshohocken, PA, USA, 2020.
- ASTM D3461-18; Standard Test Method for Softening Point of Asphalt and Pitch (Mettler Cup-and-Ball Method). American Society for Testing and Materials (ASTM): Conshohocken, PA, USA, 2025.
- NLT 181-99; Índice de penetración de los betunes asfálticos. Normas Laboratórios de Carreteras (NLT): Madrid, Spain, 1999.
- ASTM D4402-06; Standard Test Method for Viscosity Determination of Asphalt at Elevated Temperatures Using a Rotational Viscometer. American Society for Testing and Materials (ASTM): Conshohocken, PA, USA, 2012.
- ASTM D113-17; Standard Test Method for Ductility of Asphalt Materials. American Society for Testing and Materials (ASTM): Conshohocken, PA, USA, 2023.
- ASTM D6927-15; Standard Test Method for Marshall Stability and Flow of Asphalt Mixtures. American Society for Testing and Materials (ASTM): Conshohocken, PA, USA, 2022.
- AASHTO R30-24; Standard Practice for Laboratory Conditioning of Asphalt Mixtures. American Association of State Highway and Transportation Officials (AASHTO): Washington, DC, USA, 2024.
- Cháves-Pabón, S.B.; Rondón-Quintana, H.A.; Bastidas-Martínez, J.G. Aging of asphalt binders and asphalt mixtures. Summary part ii: Aging simulation and aging reduction techniques. Int. J. Civil. Eng. Technol. 2019, 10, 274–287. [Google Scholar]
- Rondón-Quintana, H.A.; Zafra-Mejía, C.A.; Urazán-Bonells, C.F. Aging Resistance Evaluation of an Asphalt Mixture Modified with Zinc Oxide. Infrastructures 2024, 9, 81. [Google Scholar] [CrossRef]
- UNE-EN 12697-26; Mezclas bituminosas Métodos de ensayo Parte 26: Rigidez. Norma Española (UNE): Madrid, Spain, 2019.
- UNE-EN 12697-25; Mezclas bituminosas Métodos de ensayo Parte 25: Ensayo de Compresión Cíclico. Norma Española (UNE): Madrid, Spain, 2019.
- ASTM D6931-17; Standard Test Method for Indirect Tensile (IDT) Strength of Asphalt Mixtures. American Society for Testing and Materials (ASTM): Conshohocken, PA, USA, 2025.

















| Test | Method | RCAs | NAs | Requirement |
|---|---|---|---|---|
| Abrasion in Los Angeles machine | [43] | 24.94 | 18.7 | <25% |
| Abrasion in Micro-Deval | [44] | 17.6 | 8.2 | <20% |
| 10% of fines (dry resistance) | [45] | 143.5 | 227.5 | >100 kN |
| Flattening Index (%) | [46] | 29.1 | 18.7 | --- |
| Elongation Index (%) | [46] | 22.9 | 14.6 | --- |
| Fractured particles, 1 side (%) | [47] | 92.1 | 95.2 | >85% |
| Specific Gravity of coarse aggregate | [48] | 2.46 | 2.61 | --- |
| Bulk Specific Gravity | [48] | 2.15 | 2.54 | --- |
| Coarse aggregate absorption (%) | [48] | 6.82 | 1.85 | --- |
| Material | C | O | Al | Si | Ca | Fe | Others | Total |
|---|---|---|---|---|---|---|---|---|
| NA | 16.27 | 37.31 | 2.51 | 18.06 | 12.39 | 9.20 | 4.26 | 100 |
| RCA | 10.42 | 53.90 | 2.48 | 7.15 | 23.40 | 3.74 | --- | 100 |
| Test | Method | Result | Requirement |
|---|---|---|---|
| Neat asphalt | |||
| Penetration (0.1 mm) | [52] | 65 | 60–70 |
| Softening point (°C) | [53] | 49.6 | 48–54 |
| Penetration Index | [54] | −0.67 | −1.2–0.6 |
| Viscosity at 60 °C (P) | [55] | 2539 | >1500 |
| Ductility (cm) | [56] | 100+ | >100 |
| Rolling Thin Film Oven Test—RTFOT | |||
| Loss of mass (%) | 0.567 | <0.8 | |
| Penetration of the residue in reference to the original (%) | [52] | 52.9 | >50 |
| Increase softening point (°C) | [53] | 6.8 | <9.0 |
| Size (mm) | 19.0 | 12.5 | 9.5 | 4.75 | 2.0 | 0.425 | 0.18 | 0.075 | Bottom |
| Passing (%) | 100.0 | 87.5 | 79.0 | 57.0 | 37.0 | 19.5 | 12.5 | 6.0 | 0.0 |
| Retained (%) | 0.0 | 12.5 | 8.5 | 22.0 | 20.0 | 17.5 | 7.0 | 6.5 | 6.0 |
| Analysis | 4.5% Asphalt Binder | 5.0% Asphalt Binder | 5.5% Asphalt Binder | 6.0% Asphalt Binder | ||||||||
|---|---|---|---|---|---|---|---|---|---|---|---|---|
| FT | p-Value | Sig | FT | p-Value | Sig | FT | p-Value | Sig | FT | p-Value | Sig | |
| Gmb | ||||||||||||
| HMA Control vs. HMA RCA12 | 412.17 | 3.48 × 10−5 | Yes | 359.80 | 4.55 × 10−5 | Yes | 373.53 | 4.22 × 10−5 | Yes | 1447.35 | 2.85 × 10−6 | Yes |
| HMA Control vs. HMA RCA21 | 2570.57 | 9.06 × 10−7 | Yes | 1772.56 | 1.90 × 10−6 | Yes | 865.45 | 7.95 × 10−6 | Yes | 934.56 | 6.82 × 10−6 | Yes |
| HMA RCA12 vs. HMA RCA21 | 230.71 | 1.10 × 10−4 | Yes | 142.74 | 2.81 × 10−4 | Yes | 223.92 | 1.16 × 10−4 | Yes | 198.75 | 1.47 × 10−4 | Yes |
| Avs | ||||||||||||
| HMA Control vs. HMA RCA12 | 271.10 | 7.97 × 10−5 | Yes | 249.98 | 9.35 × 10−5 | Yes | 250.67 | 9.30 × 10−5 | Yes | 1024.95 | 5.67 × 10−6 | Yes |
| HMA Control vs. HMA RCA21 | 1777.67 | 1.89 × 10−6 | Yes | 1251.48 | 3.81 × 10−6 | Yes | 620.00 | 1.54 × 10−5 | Yes | 681.55 | 1.28 × 10−5 | Yes |
| HMA RCA12 vs. HMA RCA21 | 170.17 | 1.99 × 10−4 | Yes | 103.89 | 5.22 × 10−4 | Yes | 171.93 | 1.95 × 10−4 | Yes | 152.11 | 2.48 × 10−4 | Yes |
| VMAs | ||||||||||||
| HMA Control vs. HMA RCA12 | 256.29 | 8.90 × 10−5 | Yes | 236.90 | 1.04 × 10−4 | Yes | 234.65 | 1.06 × 10−4 | Yes | 963.57 | 6.42 × 10−6 | Yes |
| HMA Control vs. HMA RCA21 | 1693.43 | 2.08 × 10−6 | Yes | 1189.32 | 4.22 × 10−6 | Yes | 587.48 | 1.72 × 10−5 | Yes | 644.72 | 1.43 × 10−5 | Yes |
| HMA RCA12 vs. HMA RCA21 | 163.61 | 2.15 × 10−4 | Yes | 99.21 | 5.71 × 10−4 | Yes | 164.91 | 2.12 × 10−4 | Yes | 145.22 | 2.72 × 10−4 | Yes |
| VFAs | ||||||||||||
| HMA Control vs. HMA RCA12 | 341.10 | 5.06 × 10−5 | Yes | 312.57 | 6.01 × 10−5 | Yes | 242.22 | 9.95 × 10−5 | Yes | 953.90 | 6.55 × 10−6 | Yes |
| HMA Control vs. HMA RCA21 | 2239.46 | 1.19 × 10−6 | Yes | 1543.50 | 2.51 × 10−6 | Yes | 669.69 | 1.32 × 10−5 | Yes | 1009.67 | 5.85 × 10−6 | Yes |
| HMA RCA12 vs. HMA RCA21 | 162.36 | 2.19 × 10−4 | Yes | 99.97 | 5.62 × 10−4 | Yes | 189.29 | 1.62 × 10−4 | Yes | 190.24 | 1.60 × 10−4 | Yes |
| Height | ||||||||||||
| HMA Control vs. HMA RCA12 | 41.24 | 3.02 × 10−3 | Yes | 124.71 | 3.66 × 10−4 | Yes | 21.06 | 1.01 × 10−2 | Yes | 168.05 | 2.04 × 10−4 | Yes |
| HMA Control vs. HMA RCA21 | 135.41 | 3.12 × 10−4 | Yes | 65.36 | 1.27 × 10−3 | Yes | 61.71 | 1.42 × 10−3 | Yes | 44.26 | 2.65 × 10−3 | Yes |
| HMA RCA12 vs. HMA RCA21 | 22.10 | 9.30 × 10−3 | Yes | 6.48 | 6.36 × 10−2 | No | 44.25 | 2.65 × 10−3 | Yes | 5.83 | 7.33 × 10−2 | No |
| Analysis | 4.5% Asphalt Binder | 5.0% Asphalt Binder | 5.5% Asphalt Binder | 6.0% Asphalt Binder | ||||||||
|---|---|---|---|---|---|---|---|---|---|---|---|---|
| FT | p-Value | Sig | FT | p-Value | Sig | FT | p-Value | Sig | FT | p-Value | Sig | |
| S | ||||||||||||
| HMA Control vs. HMA RCA12 | 2.99 | 1.59 × 10−1 | No | 4.14 | 1.12 × 10−1 | No | 4.19 | 1.10 × 10−1 | No | 0.20 | 6.79 × 10−1 | No |
| HMA Control vs. HMA RCA21 | 2.65 | 1.79 × 10−1 | No | 6.80 | 5.96 × 10−2 | No | 18.79 | 1.23 × 10−2 | Yes | 0.04 | 8.55 × 10−1 | No |
| HMA RCA12 vs. HMA RCA21 | 0.13 | 7.36 × 10−1 | No | 0.30 | 6.14 × 10−1 | No | 4.58 | 9.90 × 10−2 | No | 0.04 | 8.54 × 10−1 | No |
| S/F | ||||||||||||
| HMA Control vs. HMA RCA12 | 2.39 | 1.97 × 10−1 | No | 2.07 | 2.24 × 10−1 | No | 9.03 | 3.97 × 10−2 | Yes | 10.70 | 3.08 × 10−2 | Yes |
| HMA Control vs. HMA RCA21 | 8.03 | 4.72 × 10−2 | Yes | 12.25 | 2.49 × 10−2 | Yes | 41.95 | 2.93 × 10−3 | Yes | 0.07 | 8.05 × 10−1 | No |
| HMA RCA12 vs. HMA RCA21 | 2.45 | 1.92 × 10−1 | No | 6.61 | 6.20 × 10−2 | No | 50.37 | 2.08 × 10−3 | Yes | 4.77 | 9.43 × 10−2 | No |
| Parameter | HMA Control | HMA RCA12 | HMA RCA21 | Requirement |
|---|---|---|---|---|
| OAC (%) | 5.5 | 6.0 | 6.5 | - |
| S (kN) | 16.71 | 17.87 | 18.86 | Minimum 9 kN |
| F (mm) | 3.51 | 3.60 | 3.81 | Between 2.0 and 3.5 |
| S/F (kN/mm) | 4.76 | 4.96 | 4.95 | Between 3.0 and 6.0 |
| Av (%) | 4.21 | 5.40 | 5.70 | Between 4.0 and 6.0 |
| VMA (%) | 16.54 | 18.50 | 19.69 | Minimum 15 |
| VFA (%) | 74.55 | 70.83 | 71.11 | Between 65 and 75 |
| Analysis | STOA | ||||||||
|---|---|---|---|---|---|---|---|---|---|
| 2.5 Hz | 5.0 Hz | 10 Hz | |||||||
| FT | p-Value | Sig | FT | p-Value | Sig | FT | p-Value | Sig | |
| Temperature 10 °C | |||||||||
| HMA Control vs. HMA RCA12 | 1.2 | 3.43 × 10−1 | No | 2 | 2.30 × 10−1 | No | 3 | 1.58 × 10−1 | No |
| HMA Control vs. HMA RCA21 | 0.6 | 4.65 × 10−1 | No | 1.1 | 3.46 × 10−1 | No | 1.6 | 2.75 × 10−1 | No |
| HMA RCA12 vs. HMA RCA21 | 0.1 | 8.30 × 10−1 | No | 0.1 | 7.39 × 10−1 | No | 0.7 | 4.63 × 10−1 | No |
| Temperature 20 °C | |||||||||
| HMA Control vs. HMA RCA12 | 0.03 | 8.68 × 10−1 | No | 0.1 | 0.77 × 10−1 | No | 0.27 | 6.29 × 10−1 | No |
| HMA Control vs. HMA RCA21 | 0.74 | 4.39 × 10−1 | No | 0.93 | 0.39 × 10−1 | No | 1.27 | 3.23 × 10−1 | No |
| HMA RCA12 vs. HMA RCA21 | 0.37 | 5.75 × 10−1 | No | 0.23 | 0.65 × 10−1 | No | 0.09 | 7.79 × 10−1 | No |
| Temperature 30 °C | |||||||||
| HMA Control vs. HMA RCA12 | 3.41 | 1.38 × 10−1 | No | 2.97 | 0.16 × 10−1 | No | 2.25 | 2.08 × 10−1 | No |
| HMA Control vs. HMA RCA21 | 1.78 | 2.53 × 10−1 | No | 1.57 | 0.28 × 10−1 | No | 1.92 | 2.38 × 10−1 | No |
| HMA RCA12 vs. HMA RCA21 | 22 | 9.35 × 10−3 | Yes | 18.1 | 0.013 × 10−1 | Yes | 17.8 | 1.35 × 10−2 | Yes |
| Temperature 40 °C | |||||||||
| HMA Control vs. HMA RCA12 | 0.95 | 3.85 × 10−1 | No | 0.67 | 0.46 × 10−1 | No | 0.37 | 5.76 × 10−1 | No |
| HMA Control vs. HMA RCA21 | 0.04 | 8.57 × 10−1 | No | 0.02 | 0.89 × 10−1 | No | 0.01 | 9.24 × 10−1 | No |
| HMA RCA12 vs. HMA RCA21 | 0.55 | 5.01 × 10−1 | No | 0.36 | 0.58 × 10−1 | No | 0.19 | 6.88 × 10−1 | No |
| LTOA | |||||||||
| Temperature 10 °C | |||||||||
| HMA Control vs. HMA RCA12 | 85.5 | 7.60 × 10−4 | Yes | 117 | 4.17 × 10−4 | Yes | 210 | 1.32 × 10−4 | Yes |
| HMA Control vs. HMA RCA21 | 38.4 | 3.45 × 10−3 | Yes | 53.6 | 1.85 × 10−3 | Yes | 130 | 3.36 × 10−4 | Yes |
| HMA RCA12 vs. HMA RCA21 | 1.44 | 2.96 × 10−1 | No | 1.19 | 3.36 × 10−1 | No | 0.08 | 7.87 × 10−1 | No |
| Temperature 20 °C | |||||||||
| HMA Control vs. HMA RCA12 | 10.9 | 2.98 × 10−2 | Yes | 11.3 | 2.83 × 10−2 | Yes | 16.3 | 1.56 × 10−2 | Yes |
| HMA Control vs. HMA RCA21 | 6.36 | 6.52 × 10−2 | No | 5.97 | 7.09 × 10−2 | No | 7.95 | 4.78 × 10−2 | Yes |
| HMA RCA12 vs. HMA RCA21 | 0.65 | 4.65 × 10−1 | No | 0.52 | 5.11 × 10−1 | No | 0.36 | 5.81 × 10−1 | No |
| Temperature 30 °C | |||||||||
| HMA Control vs. HMA RCA12 | 123 | 3.79 × 10−4 | Yes | 952 | 6.57 × 10−6 | Yes | 61.2 | 1.44 × 10−3 | Yes |
| HMA Control vs. HMA RCA21 | 577 | 1.78 × 10−5 | Yes | 1127 | 4.69 × 10−6 | Yes | 346 | 4.91 × 10−5 | Yes |
| HMA RCA12 vs. HMA RCA21 | 186 | 1.68 × 10−4 | Yes | 317 | 5.84 × 10−5 | Yes | 106 | 5.03 × 10−4 | Yes |
| Temperature 40 °C | |||||||||
| HMA Control vs. HMA RCA12 | 29.1 | 5.73 × 10−3 | Yes | 32.8 | 4.60 × 10−3 | Yes | 27.7 | 6.24 × 10−3 | Yes |
| HMA Control vs. HMA RCA21 | 43.8 | 2.70 × 10−3 | Yes | 44.4 | 2.64 × 10−3 | Yes | 35.2 | 4.05 × 10−3 | Yes |
| HMA RCA12 vs. HMA RCA21 | 0.03 | 8.74 × 10−1 | No | 0.08 | 7.91 × 10−1 | No | 0.37 | 5.75 × 10−1 | No |
| Mixture | STOA | LTOA | Aging Ratio |
|---|---|---|---|
| HMA Control | 4.47 | 2.26 | 0.51 |
| HMA RCA12 | 2.39 | 3.44 | 1.44 |
| HMA RCA21 | 4.05 | 3.81 | 0.94 |
| Analysis | STOA | LTOA | ||||
|---|---|---|---|---|---|---|
| FT | p-Value | Sig | FT | p-Value | Sig | |
| HMA control vs. HMA RCA12 | 11.1 | 2.90 × 10−2 | Yes | 19.6 | 1.14 × 10−2 | Yes |
| HMA control vs. HMA RCA21 | 23.4 | 8.44 × 10−3 | Yes | 64.2 | 1.31 × 10−3 | Yes |
| HMA RCA12 vs. HMA RCA21 | 56.2 | 1.69 × 10−3 | Yes | 200.8 | 1.44 × 10−4 | Yes |
| Analysis | STOA | LTOA | ||||
|---|---|---|---|---|---|---|
| FT | p-Value | Sig | FT | p-Value | Sig | |
| Dry | ||||||
| HMA Control vs. HMA RCA12 | 5.7 | 7.60 × 10−2 | No | 7.8 | 4.93 × 10−2 | Yes |
| HMA Control vs. HMA RCA21 | 2.5 | 1.89 × 10−1 | No | 0.0004 | 9.84 × 10−1 | No |
| HMA RCA12 vs. HMA RCA21 | 0.1 | 7.49 × 10−1 | No | 23.7 | 8.24 × 10−3 | Yes |
| Wet | ||||||
| HMA Control vs. HMA RCA12 | 1.5 | 2.87 × 10−1 | No | 27.1 | 6.48 × 10−3 | Yes |
| HMA Control vs. HMA RCA21 | 3.6 | 1.30 × 10−1 | No | 2.7 | 1.73 × 10−1 | No |
| HMA RCA12 vs. HMA RCA21 | 0.02 | 8.95 × 10−1 | No | 1.9 | 2.38 × 10−1 | No |
| Type Mixture | Marshall’s Test | RM | Maximum Displacement | dv | ||||||||||||||||||||
|---|---|---|---|---|---|---|---|---|---|---|---|---|---|---|---|---|---|---|---|---|---|---|---|---|
| S | S/F | 10 °C | 20 °C | 30 °C | 40 °C | |||||||||||||||||||
| STOA | LTOA | Aging Ratio | STOA | LTOA | Aging Ratio | STOA | LTOA | Aging Ratio | STOA | LTOA | Aging Ratio | STOA | LTOA | Aging Ratio | STOA | LTOA | Aging Ratio | STOA | LTOA | Aging Ratio | STOA | LTOA | Aging Ratio | |
| HMA Control | 3 | 3 | 1 | 3 | 1 | 1 | 1 | 1 | 1 | 1 | 1 | 1 | 2 | 1 | 1 | 2 | 1 | 1 | 2 | 1 | 1 | 3 | 1 | 1 |
| HMA RCA12 | 2 | 2 | 2 | 1 | 3 | 3 | 2 | 3 | 3 | 2 | 3 | 3 | 1 | 3 | 3 | 1 | 2 | 3 | 1 | 2 | 3 | 1 | 2 | 3 |
| HMA RCA21 | 1 | 1 | 3 | 2 | 2 | 2 | 3 | 2 | 2 | 3 | 2 | 2 | 3 | 2 | 2 | 3 | 3 | 2 | 3 | 3 | 2 | 2 | 3 | 2 |
| Type Mixture | IDT | TSR | |||||||
|---|---|---|---|---|---|---|---|---|---|
| ITS Dry | ITS Wet | ||||||||
| STOA | LTOA | Aging Ratio | STOA | LTOA | Aging Ratio | STOA | LTOA | Aging Ratio | |
| HMA Control | 1 | 1 | 2 | 1 | 1 | 1 | 3 | 1 | 1 |
| HMA RCA12 | 3 | 3 | 3 | 2 | 3 | 3 | 1 | 2 | 3 |
| HMA RCA21 | 2 | 2 | 1 | 3 | 2 | 2 | 2 | 3 | 2 |
| Type Mixture | Marshall Test | RM | Maximum Displacement | IDT | |||||||||||||
|---|---|---|---|---|---|---|---|---|---|---|---|---|---|---|---|---|---|
| 10 °C | 20 °C | 30 °C | 40 °C | ITS Dry | ITS Wet | ||||||||||||
| S | S/F | 2.5 Hz | 5 Hz | 10 Hz | 2.5 Hz | 5 Hz | 10 Hz | 2.5 Hz | 5 Hz | 10 Hz | 2.5 Hz | 5 Hz | 10 Hz | ||||
| STOA | |||||||||||||||||
| HMA Control | 3.2 | 4.6 | 9.5 | 8.6 | 9.6 | 8.5 | 7.8 | 7.0 | 9.9 | 9.8 | 9.3 | 8.0 | 8.4 | 8.4 | 4.2 | 6.6 | 4.4 |
| HMA RCA12 | 5.5 | 6.5 | 2.7 | 3.4 | 3.9 | 8.6 | 8.5 | 8.2 | 5.7 | 5.8 | 5.9 | 15.5 | 14.4 | 12.7 | 6.8 | 4.1 | 13.1 |
| HMA RCA21 | 2.7 | 2.7 | 6.4 | 5.6 | 4.6 | 1.6 | 0.5 | 0.3 | 6.9 | 7.1 | 6.3 | 28.4 | 26.6 | 25.5 | 1.7 | 7.8 | 6.2 |
| LTOA | |||||||||||||||||
| HMA Control | 4.3 | 5.8 | 2.6 | 2.1 | 1.5 | 4.2 | 4.3 | 3.5 | 2.5 | 2.0 | 1.8 | 7.4 | 7.4 | 8.3 | 18.2 | 5.8 | 2.7 |
| HMA RCA12 | 4.6 | 7.5 | 1.9 | 1.6 | 1.1 | 6.3 | 5.8 | 4.9 | 0.8 | 0.9 | 1.7 | 7.1 | 5.7 | 4.8 | 0.7 | 3.1 | 5.7 |
| HMA RCA21 | 3.6 | 2.1 | 3.4 | 2.9 | 1.9 | 5.7 | 6.0 | 6.0 | 3.7 | 2.9 | 2.0 | 1.5 | 1.5 | 1.4 | 2.6 | 2.6 | 9.4 |
Disclaimer/Publisher’s Note: The statements, opinions and data contained in all publications are solely those of the individual author(s) and contributor(s) and not of MDPI and/or the editor(s). MDPI and/or the editor(s) disclaim responsibility for any injury to people or property resulting from any ideas, methods, instructions or products referred to in the content. |
© 2026 by the authors. Licensee MDPI, Basel, Switzerland. This article is an open access article distributed under the terms and conditions of the Creative Commons Attribution (CC BY) license.
Share and Cite
Rondón-Quintana, H.A.; Bastidas-Martínez, J.G.; Chaves-Pabón, S.B. Influence of Aging on Hot Mix Asphalt with the Incorporation of Recycled Concrete Aggregates. Materials 2026, 19, 298. https://doi.org/10.3390/ma19020298
Rondón-Quintana HA, Bastidas-Martínez JG, Chaves-Pabón SB. Influence of Aging on Hot Mix Asphalt with the Incorporation of Recycled Concrete Aggregates. Materials. 2026; 19(2):298. https://doi.org/10.3390/ma19020298
Chicago/Turabian StyleRondón-Quintana, Hugo Alexander, Juan Gabriel Bastidas-Martínez, and Saieth Baudilio Chaves-Pabón. 2026. "Influence of Aging on Hot Mix Asphalt with the Incorporation of Recycled Concrete Aggregates" Materials 19, no. 2: 298. https://doi.org/10.3390/ma19020298
APA StyleRondón-Quintana, H. A., Bastidas-Martínez, J. G., & Chaves-Pabón, S. B. (2026). Influence of Aging on Hot Mix Asphalt with the Incorporation of Recycled Concrete Aggregates. Materials, 19(2), 298. https://doi.org/10.3390/ma19020298

