Sign in to use this feature.

Years

Between: -

Subjects

remove_circle_outline
remove_circle_outline
remove_circle_outline
remove_circle_outline
remove_circle_outline
remove_circle_outline
remove_circle_outline
remove_circle_outline
remove_circle_outline

Journals

remove_circle_outline
remove_circle_outline
remove_circle_outline
remove_circle_outline
remove_circle_outline
remove_circle_outline
remove_circle_outline
remove_circle_outline

Article Types

Countries / Regions

Search Results (287)

Search Parameters:
Keywords = arched sections

Order results
Result details
Results per page
Select all
Export citation of selected articles as:
15 pages, 1019 KB  
Systematic Review
Artificial Intelligence for Detecting Aortic Arch Calcification on Chest Radiographs: A Systematic Review
by Krzysztof Żerdziński, Julita Janiec, Maja Dreger, Piotr Dudek, Iga Paszkiewicz, Adam Mitręga, Michał Bielówka, Alicja Nawrat, Jakub Kufel and Marcin Rojek
Diagnostics 2026, 16(2), 243; https://doi.org/10.3390/diagnostics16020243 - 12 Jan 2026
Viewed by 184
Abstract
Background/Objectives: Aortic-arch calcification (AAC) is a robust predictor of cardiovascular events often overlooked on routine chest radiographs (CXR). This systematic review aimed to evaluate the diagnostic accuracy of artificial intelligence (AI) models for detecting AAC on CXR and assess their potential for [...] Read more.
Background/Objectives: Aortic-arch calcification (AAC) is a robust predictor of cardiovascular events often overlooked on routine chest radiographs (CXR). This systematic review aimed to evaluate the diagnostic accuracy of artificial intelligence (AI) models for detecting AAC on CXR and assess their potential for clinical implementation. Methods: The review followed PRISMA 2020 guidelines (PROSPERO: CRD420251208627). A search of Embase, PubMed, Scopus, and Web of Science was conducted (Jan 2020–Oct 2025) for studies evaluating AI models detecting AAC in adults. Bias was assessed using QUADAS-2. Due to methodological heterogeneity, a narrative synthesis was performed instead of a meta-analysis. Results: Out of 115 records, three retrospective studies (2022–2024) utilizing CNNs across ~2.7 million images were included. Models demonstrated high diagnostic discrimination (AUROC 0.81–0.99), though performance estimates were often attenuated in external cohorts. Pronounced sensitivity–specificity trade-offs occurred: one model achieved 95.9% recall, while another exhibited near-perfect specificity (0.99) despite markedly low sensitivity (0.22). Although the risk of bias was predominantly low, the overall GRADE certainty remained low due to methodological heterogeneity and the absence of cross-sectional imaging reference standards. Conclusions: Deep learning-based models reliably detect AAC on routine CXR, offering a scalable tool for opportunistic cardiovascular risk stratification. However, significant heterogeneity in model architectures and validation strategies currently limits broad comparability. Future research requires standardized annotation protocols and external validation to ensure clinical generalizability. Full article
(This article belongs to the Section Machine Learning and Artificial Intelligence in Diagnostics)
Show Figures

Graphical abstract

20 pages, 12987 KB  
Article
Seismic Responses in Shaking Table Tests of Spatial Crossing Tunnels
by Zhiqiang Lv, Jiacheng Li and Jiaxu Jin
Buildings 2026, 16(2), 312; https://doi.org/10.3390/buildings16020312 - 11 Jan 2026
Viewed by 148
Abstract
To study the complex dynamic response characteristics of spatial crossing tunnels under seismic loads, shaking table model tests were carried out for typical spatial parallel, orthogonal, and oblique crossing tunnels. The propagation and energy distribution characteristics of seismic waves were quantitatively analyzed according [...] Read more.
To study the complex dynamic response characteristics of spatial crossing tunnels under seismic loads, shaking table model tests were carried out for typical spatial parallel, orthogonal, and oblique crossing tunnels. The propagation and energy distribution characteristics of seismic waves were quantitatively analyzed according to the fundamental frequency, acceleration, and strain response of the system. The results show the following: the addition of a tunnel structure significantly reduces the natural frequency of the system. In spatial crossing tunnel engineering, the axial acceleration responses of the arch top and arch bottom of the tunnel both exhibit the characteristic of a linear distribution, presenting a ‘linear’ shape. For spatial parallel-type and spatial orthogonal-type tunnels, the peak acceleration at the same measurement point of the overcrossing tunnel under the same working condition is generally greater than that of the undercrossing tunnel. However, for the spatial oblique intersection-type structure, the result is just the opposite, that is, the peak acceleration of the overcrossing tunnel is generally less than that of the undercrossing tunnel. For spatial crossing tunnels, unlike the amplification effect of acceleration in a single tunnel, due to the reflection and refraction of seismic waves between the two tunnels, a ‘superposition effect’ of acceleration is generated in space, resulting in an abnormal increase in the acceleration response within the crossing section, which is prone to becoming a weak link in the seismic resistance of the tunnel structure. The strain response of both spatially parallel and orthogonal overcrossing tunnels is greater at the central section than that of undercrossing tunnels and less on both sides. The strain response of the spatial oblique intersection-type overcrossing tunnel is generally greater than that of the undercrossing tunnel. Full article
(This article belongs to the Special Issue Advanced Studies in Structure Materials—2nd Edition)
Show Figures

Figure 1

34 pages, 10626 KB  
Article
Mechanical Performance of Joints with Bearing Plates in Concrete-Filled Steel Tubular Arch-Supporting Column-Prestressed Steel Reinforced Concrete Beam Structures: Numerical Simulation and Design Methods
by Chongyang Li, Xianggang Su, Zhiliang Zuo, Lehua Huang and Yuezhou Zhou
Buildings 2026, 16(1), 216; https://doi.org/10.3390/buildings16010216 - 3 Jan 2026
Viewed by 198
Abstract
Research on the configuration and mechanical performance of arch-column-tie beam joints, which combine features of arch-tie beam joints and tubular joints, remains limited, particularly for long-span structures subjected to heavy loads at high building stories. This study focuses on a joint in an [...] Read more.
Research on the configuration and mechanical performance of arch-column-tie beam joints, which combine features of arch-tie beam joints and tubular joints, remains limited, particularly for long-span structures subjected to heavy loads at high building stories. This study focuses on a joint in an engineering structure comprising a circular arch beam, a square-section inclined column, and a tie beam, where both the arch and the inclined column are concrete-filled steel tube (CFST) members. A novel joint configuration was proposed, then a refined finite element model was established. The joint’s mechanical mechanism and failure mode under axial compression in the arch beam were investigated, considering two conditions: the presence of prestressed high-strength rods and the failure of the rods. Subsequently, a parametric study was conducted to investigate the influence of variations in the web thickness of the tie beam, the steel tube wall thickness of the arched beam, the steel tube wall thickness of the supporting inclined column, and the strength grades of steel and concrete on the bearing capacity behavior and failure modes. Numerical simulation results indicate that the joint remains elastic under the design load for both conditions, meeting the design requirements. The joint reaches its ultimate capacity when extensive yielding occurs in the tie beam along the junction region with the circular arch beam, as well as in the steel tube of the arch beam. At this stage, the steel plates and concrete within the joint zone remain elastic, ensuring reliable load transfer. The maximum computed load of the model with prestressed rods was 2.28 times the design load. The absence of prestressed rods could lead to a significant increase in the high-stress area within the web of the tie beam, decreasing the joint’s stiffness by 12.4% at yielding, but have a limited effect on its maximum bearing capacity. Gradually increasing the wall thickness of the arch beam’s steel tube shifts the failure mode from arch-beam-dominated yielding to tie-beam-dominated yielding along the junction region. Increasing the steel strength grade is more efficient in enhancing the bearing capacity than increasing the concrete strength grade. Finally, a design methodology for the joint zone was established based on three aspects: local stress transfer at the bottom of the arch beam, force equilibrium between the arch beam and the tie beam, and the biaxial compression state of the concrete in the joint zone. Furthermore, the construction process and mechanical analysis methods for various construction stages were proposed. Full article
(This article belongs to the Special Issue Advances in Steel and Composite Structures)
Show Figures

Figure 1

35 pages, 14833 KB  
Article
Fire Performance Study of Through Concrete-Filled Steel Tubular Arch Bridges
by Jiatao Yin, Xinyue Wang, Shichao Wang, Gang Zhang, Tong Guo and Feng Xu
Buildings 2026, 16(1), 173; https://doi.org/10.3390/buildings16010173 - 30 Dec 2025
Viewed by 206
Abstract
Advancing rapidly in modern bridge engineering technology, through concrete-filled steel tubular (CFST) arch bridges have achieved widespread application in transportation infrastructure development. Nevertheless, vehicle fires occurring in complicated operational settings may rapidly escalate into major disasters. Fires in oil tankers are particularly dangerous [...] Read more.
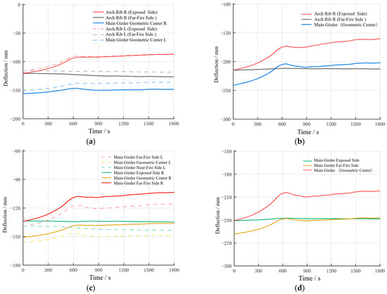
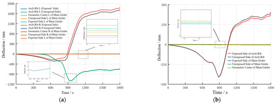
Advancing rapidly in modern bridge engineering technology, through concrete-filled steel tubular (CFST) arch bridges have achieved widespread application in transportation infrastructure development. Nevertheless, vehicle fires occurring in complicated operational settings may rapidly escalate into major disasters. Fires in oil tankers are particularly dangerous for the safety of bridges. This study examines the fire resistance of through concrete-filled steel tubular (CFST) arch bridges exposed to tanker truck fires. The study formulates a detailed model utilizing Fire Dynamics Simulator (FDS) to simulate fire scenarios, elucidating the spatial temperature distribution characteristics within arch bridge structures. A three-dimensional finite element model established in ABAQUS (Abaqus 2024, Dassault Systèmes Simulia Corp, Providence, RI, USA) is employed to simulate structural responses by analyzing the mechanical behavior of key components under different fire conditions. Practical fire resistance design recommendations for extreme tanker truck fire scenarios are ultimately proposed. Numerical results demonstrate that structural components near the fire source (such as transverse bracings, hangers, and fire-exposed arch surfaces) experience significantly higher temperatures than other regions. Notable temperature gradients developing along hangers and arch ribs in fire-affected zones are observed, while substantial cross-sectional temperature gradients occurring in these components under tanker truck fires reveal their damage evolution mechanisms. The fire exposure scenario at the quarter-point of the midspan is identified as the most critical fire exposure scenario for through CFST arch bridges under tanker truck fires. Under this extreme scenario, the deflection on the fire-exposed side of the global structure exhibits a significant three-stage distribution characteristic: an initial ascending phase around 0–800 s, followed by a sharp descending phase during 800–1100 s, and then a stabilization trend. A fire resistance limit criterion based on component failure (tf3 = 853.43 s) is established, and a global fire resistance limit assessment methodology for through CFST arch bridges under extreme tanker truck scenarios is proposed. Full article
(This article belongs to the Section Building Structures)
Show Figures

Figure 1

10 pages, 819 KB  
Article
Comparison of Digital and Traditional Methods for Occlusal Contact Assessment: An Experimental Cross-Sectional Study
by Luca Levrini, Alessandro Deppieri, Andrea Ugas, Piero Antonio Zecca, Salvatore Bocchieri, Stefano Saran, Nicola Giannotta, Alessandro Manelli, Paolo Broido and Andrea Carganico
Appl. Sci. 2026, 16(1), 132; https://doi.org/10.3390/app16010132 - 22 Dec 2025
Viewed by 628
Abstract
This cross-sectional experimental study compared a digital intraoral-scanner-based method with a traditional wax-registration method for the quantitative assessment of static occlusal contacts. Twenty adults with natural dentition were evaluated using an intraoral scan analyzed through a Java-based software (PixCount.java, version 1.0, version 1.0, [...] Read more.
This cross-sectional experimental study compared a digital intraoral-scanner-based method with a traditional wax-registration method for the quantitative assessment of static occlusal contacts. Twenty adults with natural dentition were evaluated using an intraoral scan analyzed through a Java-based software (PixCount.java, version 1.0, version 1.0, University of Insubria, Varese, Italy) and wax registration analyzed with Z_TMJ software (Z_TMJ, version 1.0, University of Insubria, Varese, Italy). The primary outcome was the percentage distribution of static occlusal contacts between hemi-arches. A paired t-test and the intraclass correlation coefficient (ICC) were used to evaluate differences and agreement. Mean contact distribution was 49.75 ± 3.44% for the digital method and 48.02 ± 5.31% for the wax method. No statistically significant difference was observed (p > 0.05), and agreement analysis showed moderate concordance (ICC ≈ 0.43). Digital analysis provided superior visualization and workflow efficiency, whereas wax registration remained a practical, low-cost option. These findings indicate that both methods provide clinically meaningful information, with the digital approach offering additional practical advantages. The observed consistency between the two techniques supports the expanding role of digital tools in routine occlusal assessment. Full article
(This article belongs to the Special Issue Innovative Materials and Technologies in Orthodontics)
Show Figures

Figure 1

18 pages, 4883 KB  
Article
Study on Construction Mechanical Characteristics and Offset Optimization of Double Side Drift Method for Large-Span Tunnels in Argillaceous Soft Rock
by Wei He, Tengyu Wang, Yangyu Zhang and Feng Wang
Buildings 2026, 16(1), 23; https://doi.org/10.3390/buildings16010023 - 20 Dec 2025
Viewed by 276
Abstract
This study focuses on a large-span highway tunnel in argillaceous soft rock. Numerical simulations were conducted to investigate the mechanical characteristics of the tunnel, constructed using the Double Side Drift Method (DSDM), and the effects of the offset distance between drift faces. Subsequently, [...] Read more.
This study focuses on a large-span highway tunnel in argillaceous soft rock. Numerical simulations were conducted to investigate the mechanical characteristics of the tunnel, constructed using the Double Side Drift Method (DSDM), and the effects of the offset distance between drift faces. Subsequently, field monitoring was performed to analyze the deformation patterns of the primary support at typical cross-sections. The results indicate the following: (1) During DSDM construction in argillaceous soft rock, the crown settlement of the left drift is the largest, while that of the central drift is the smallest. The left and right drifts converge inward, whereas the central drift expands outward, resulting in overall inward convergence of the tunnel section, with the left drift exhibiting a larger convergence. The crown settlement and horizontal convergence induced by excavation of the upper benches of each drift are greater than those caused by the lower benches. (2) The stresses in the primary support increase rapidly after excavation of each segment and then tend to stabilize. The maximum tensile stress occurs at the left haunch, reaching 0.41 MPa, while the maximum compressive stress occurs at the left arch waist, reaching 14.56 MPa. After the tunnel excavation is completed and the section is enclosed, the stress on the left side is significantly higher than that on the right, indicating an eccentric stress state. The plastic zones in the surrounding rock exhibit a butterfly-shaped distribution, mainly concentrated at the haunches and arch springings on both sides. (3) As the offset distance decreases, the deformation of the primary support reduces, whereas the stress and the area of the surrounding rock plastic zones increase. When the offset distance is less than 15 m, both the stress in the primary support and the plastic zone area increase sharply, suggesting that the drift face offset distance should not be less than 15 m. (4) Field monitoring shows that the maximum cumulative crown settlement of the primary support reaches 30.2 mm, and the cumulative horizontal convergence of the section is 35.6 mm, both of which are below the reserved deformation allowance. Full article
Show Figures

Figure 1

18 pages, 7001 KB  
Article
Numerical Study of Symmetry in Tunneling-Induced Soil Arch
by Haoran Meng, Yao Li, Houxian Chen, Xuchao Du, Xingli Chen, Haoyu Zhang and Francisco López-Almansa
Symmetry 2025, 17(12), 2167; https://doi.org/10.3390/sym17122167 - 16 Dec 2025
Viewed by 264
Abstract
This paper addresses the issue of stress redistribution in surrounding soil during the construction of shallow-buried, large-section loess tunnels. Using the Luochuan Tunnel as a case study, we employ the FLAC 3D numerical simulation method to investigate the effects of advanced pipe roof [...] Read more.
This paper addresses the issue of stress redistribution in surrounding soil during the construction of shallow-buried, large-section loess tunnels. Using the Luochuan Tunnel as a case study, we employ the FLAC 3D numerical simulation method to investigate the effects of advanced pipe roof support on the stability of the surrounding soil. The results demonstrate that advanced pipe umbrella reduces the stress release amplitude at the vault by 50% compared to the unsupported condition, due to a “pre-support-load bearing mechanism”, while promoting orderly stress recovery. The “longitudinal beam effect” and “transverse arch effect” of soils effectively suppress the plastic zone area of the surrounding soil from 413.3 m2 (unsupported) to 95.0 m2, achieving a reduction exceeding 77%. Furthermore, the pipe umbrella support facilitates the formation of a more efficient “active soil arch”, which exhibits distinct symmetrical characteristics. The arch’s stress distribution and spatial structure both follow symmetrical patterns, significantly enhancing the self-stabilizing capacity of the surrounding soil. As a result, the height of the stress release zone at the tunnel excavation face and the surrounding soil stability areas is reduced by 45.9% and 63.3%, respectively, compared to the unsupported condition. This study also establishes a Pasternak elastic foundation beam model that accounts for the spatiotemporal effects of support, elucidating the mechanism of pipe umbrella support and providing a theoretical foundation for the design and construction risk control of shallow large-section loess tunnels. Full article
(This article belongs to the Special Issue Asymmetry and Symmetry in Infrastructure)
Show Figures

Figure 1

18 pages, 3886 KB  
Article
Assessing the Wind-Bearing Capacities of Plastic Greenhouse Frames Used in Southern China and the Performance of Reinforcement Measures
by Ming Li, Haohao Ma, Hengbin Luo and Tao Zhang
Buildings 2025, 15(24), 4457; https://doi.org/10.3390/buildings15244457 - 10 Dec 2025
Viewed by 239
Abstract
To meet the growing requirements of agricultural mechanization, a newly designed 9.5 m span frame has been introduced to replace the traditional 8.0 m span frame, which is constrained by limited internal space. However, as the structural dimensions increase, the failure mechanisms of [...] Read more.
To meet the growing requirements of agricultural mechanization, a newly designed 9.5 m span frame has been introduced to replace the traditional 8.0 m span frame, which is constrained by limited internal space. However, as the structural dimensions increase, the failure mechanisms of arch frames under wind loads remain insufficiently understood. In particular, the influences of crop loads, initial geometric imperfections, pipe cross-sectional properties, and cable reinforcement on these failure mechanisms have not yet been systematically investigated. This study aims to reveal the mechanical mechanisms governing the wind-bearing capacity of standard 8.0 m span and newly designed 9.5 m span frames through comparative analysis, and to further investigate how crop loads, initial geometric imperfections, pipe cross-sectional properties, and cable reinforcement modify these mechanisms. The load combinations considered included the following: (1) permanent load + wind load and (2) permanent load + crop load + wind load. The crop load was applied to the frames via a 5-point hanging system. Simulation results indicate that the 9.5 m span frame exhibits a lower allowable wind speed (va) than the 8.0 m span frame due to strength failure. Further analysis reveals that the failure is governed by decreased stiffness resulting from the dimensional expansion. Notably, crop loads and initial geometric imperfections were found to amplify second-order bending moments, thereby further decreasing va. Moreover, a positive linear correlation is observed between the section modulus of pipes and va. However, replacing the circular pipe with rectangular, oval, or elliptical pipes of a similar cross-sectional area does not increase the va of the 9.5 m span frame. Conversely, reinforcing the 9.5 m span frame with cables provides strong lateral constraints and effectively suppresses the amplification of bending moments arising from crop loads and initial geometric imperfections. Thus, limiting lateral displacement through reinforcement measures can markedly increase the wind-bearing capacity of frames. The reinforced 9.5 m span frame proves to be a viable replacement for the 8.0 m span frame, meeting the modern demands of facility agriculture in Southern China. Full article
(This article belongs to the Section Building Structures)
Show Figures

Figure 1

25 pages, 9706 KB  
Article
The Eulerian–Lagrangian Model for Simulating the Moisture Content Effect on the Characteristics of MSW Combustion in a 50 T/D Grate Incinerator
by Jiacheng Dai, Yingnan Du, Yuanbo Xie, Dongkuan Zhang, Li Liu, Yang Gui and Guozhao Ji
Processes 2025, 13(12), 3928; https://doi.org/10.3390/pr13123928 - 4 Dec 2025
Viewed by 348
Abstract
Municipal solid waste (MSW) composition and properties play a critical role in determining the efficiency and environmental impact of waste incineration processes. However, the effects of moisture variation in MSW on combustion performance in full-scale grate systems remain insufficiently understood. To reveal how [...] Read more.
Municipal solid waste (MSW) composition and properties play a critical role in determining the efficiency and environmental impact of waste incineration processes. However, the effects of moisture variation in MSW on combustion performance in full-scale grate systems remain insufficiently understood. To reveal how the moisture variation in municipal solid waste (MSW) properties affects the combustion process in full-scale grate systems, a 50 t/d mechanical grate incinerator was modeled. The influence of MSW inlet moisture content (42.85%, 35.71%, and 28.57%) was investigated. When the moisture content is 35.71%, the horizontal and vertical temperature gradient of the incinerator was least pronounced, and the high-temperature zone in the incinerator would not be locally concentrated. The moderate ignition position could reduce the corrosion of the front and rear arches of the grate incinerator. In the combustion process of three moisture contents, the complete evaporation positions were located at X = 4.23 m in the combustion section, X = 3.15 m in the drying section and X = 2.63 m in the drying section, the corresponding ignition points were X = 6 m, X = 4.47 m, and X = 3.74 m in the combustion section, respectively. After the moisture content was reduced to 35.71% and 28.57%, the drying process was advanced by 25.5% and 37.8%, respectively; the ignition points were advanced by 25.5% and 37.7%, respectively. It is recommended that the moisture content of MSW be maintained within the range of 33.8% to 41.6% under practical operating conditions. With the decrease in the moisture content of the MSW, the O2 content at the incinerator outlet decreased; the CO2 content increased. The findings offer quantitative guidance on feed pre-treatment for MSW incineration plants. Full article
Show Figures

Figure 1

19 pages, 3037 KB  
Article
Simulation Method Improvement of Confined Concrete Box Steel Arch Supports in Soft Rock Tunnels
by Xiangxiang Wang, Shuling Huang, Xiuli Ding, Yuting Zhang, Dengxue Liu and Gang Han
Symmetry 2025, 17(12), 2076; https://doi.org/10.3390/sym17122076 - 4 Dec 2025
Viewed by 261
Abstract
The confined concrete box steel arch support—composed of box steel and core concrete with a geometrically symmetric double-chamber cross-section—is an innovative solution for effective deformation control in soft rock tunnels. To address the longstanding challenge of balancing accuracy and efficiency in numerical simulations [...] Read more.
The confined concrete box steel arch support—composed of box steel and core concrete with a geometrically symmetric double-chamber cross-section—is an innovative solution for effective deformation control in soft rock tunnels. To address the longstanding challenge of balancing accuracy and efficiency in numerical simulations of such supports, this study proposes an improved simulation method. Specifically, a compression-bending yield criterion for the steel–concrete composite structure was derived based on the plane section assumption and full-section plasticity criterion. This criterion was then embedded into a pile element via Fish programming to develop an improved pile element, enabling accurate simulation of the bending moment–axial force coupling effect. Verification results demonstrate that the derived yield criterion precisely captures the axial force–bending moment coupling behavior of the confined concrete box section. Numerical simulation data exhibit excellent consistency with the theoretical m-n curve, with the maximum deviation in yield axial force and bending moment not exceeding 10%. Compared with the solid element model, the improved pile element model shows differences of less than 6%, 13%, and 21% in key indicators of surrounding rock stress, deformation, and plastic zone, respectively—meeting engineering accuracy requirements. Notably, the mesh count of the improved model is only 5.5% of that of the solid element model, achieving over a 40-fold increase in computational efficiency. Furthermore, this study identifies section type and section size as the dominant parameters governing surrounding rock stability, providing valuable insights for the design and numerical simulation optimization of soft-rock tunnel support systems. Full article
Show Figures

Figure 1

31 pages, 5199 KB  
Article
Numerical Simulation Study on Fire Resistance Performance of Prefabricated Shear Walls Connected by Sleeve Grouting
by Yanan Wang, Weitong Deng, Hongchen Wang and Xuehua Li
Buildings 2025, 15(23), 4225; https://doi.org/10.3390/buildings15234225 - 22 Nov 2025
Viewed by 343
Abstract
As a critical element within the prefabricated structural system, the prefabricated shear wall connected by sleeve grouting is renowned for its superior mechanical performance and high construction efficiency. It is widely applied in mid- and high-rise buildings. However, under fire conditions, not only [...] Read more.
As a critical element within the prefabricated structural system, the prefabricated shear wall connected by sleeve grouting is renowned for its superior mechanical performance and high construction efficiency. It is widely applied in mid- and high-rise buildings. However, under fire conditions, not only do the material properties degrade, but the structural connections may also fail, significantly compromising the structural stability and safety. Therefore, this study delves into the fire resistance performance of such prefabricated shear walls. The research primarily focuses on analyzing fire resistance characteristics, including deformation patterns, lateral and axial deformations, fire resistance limits, and other performance metrics, for both prefabricated and cast-in-place shear walls subjected to three hours of single-sided fire exposure. Additionally, a parametric analysis is performed. The results reveal that, after three hours of single-sided fire exposure, the temperature distribution patterns at the mid-width and mid-height sections of the prefabricated shear wall generally resemble those of the cast-in-place wall, displaying arch-shaped and strip-shaped distributions, respectively. However, due to the presence of sleeves, higher temperatures are observed near the sleeve areas in the prefabricated wall, along with a more extensive high-temperature zone. Throughout the three-hour fire exposure, both types of shear walls demonstrated satisfactory structural stability and thermal insulation performance, meeting the requirements for a first-level fire resistance rating (3 h). Nevertheless, greater axial and lateral deformations were noted in the prefabricated shear wall. Key factors influencing the fire resistance performance of the sleeve-connected prefabricated shear wall include the axial compression ratio, longitudinal reinforcement diameter, protective layer thickness, and height-to-thickness ratio. Specifically, axial deformation is found to be directly proportional to the axial compression ratio and height-to-thickness ratio, while inversely proportional to the longitudinal reinforcement diameter and protective layer thickness. Lateral deformation is directly proportional to the axial compression ratio and longitudinal reinforcement diameter, and exhibits a trend of initially increasing and then decreasing with an increase in protective layer thickness, and initially decreasing and then increasing with an increase in the height-to-thickness ratio. Full article
(This article belongs to the Special Issue Foundation Treatment and Building Structural Performance Enhancement)
Show Figures

Figure 1

21 pages, 6381 KB  
Article
Study and Application of a Pilot-Tunnel-First Method for Rapid Excavation of Large-Span Soft Rock Tunnels
by Qiang Fu, Hong Yang, Jiawang Zhan, Jianlin Zhou, Hainan Gao, Xiaoding Xu and Yue Shi
Appl. Sci. 2025, 15(22), 12194; https://doi.org/10.3390/app152212194 - 17 Nov 2025
Viewed by 535
Abstract
The rapid development of transportation infrastructure in challenging geological regions necessitates innovative tunneling methods that balance efficiency, safety, and cost. This study addresses the critical construction bottleneck of large-span soft rock tunnels under high ground stress, where conventional methods often lead to unacceptable [...] Read more.
The rapid development of transportation infrastructure in challenging geological regions necessitates innovative tunneling methods that balance efficiency, safety, and cost. This study addresses the critical construction bottleneck of large-span soft rock tunnels under high ground stress, where conventional methods often lead to unacceptable delays. Focusing on a 24.53 m span railway tunnel in southwest China, we present the significant engineering application of a “pilot-tunnel-first” method as a strategic solution to stringent schedule pressures. The core innovation lies not only in the adoption of a large 13.2 m wide pilot tunnel but also in a synergistically enhanced support system, featuring elongated bolts (6 m and 12 m) and strengthened steel arches. Numerical simulations and field validation confirmed that this optimized approach achieves a stability comparable to the traditional double-side drift method while dramatically accelerating progress. The successful implementation shortened the construction period by 1.96 months for a key 123 m section, with a manageable cost increase of approximately Chinese Yuan (CNY) 782,000, thereby ensuring the timely opening of the entire tunnel. The primary significance of this research is to provide a proven and practical technical strategy for overcoming similar soft rock tunneling challenges where project timelines are paramount, offering a substantial value for the design and construction of modern infrastructure under complex constraints. Full article
Show Figures

Figure 1

13 pages, 4528 KB  
Article
How Does Foot Arch Type Affect Gait Biomechanics in Patients with Plantar Fasciitis?
by Seongok Chae, Hyun Soo Kang, Hojik Lee, Yoo-Jin Jun, SeungMyung Choi, Young-Phil Yune and Hyung-Soon Park
Biomechanics 2025, 5(4), 92; https://doi.org/10.3390/biomechanics5040092 - 5 Nov 2025
Viewed by 2270
Abstract
Plantar fasciitis (PFS) is a leading cause of heel pain, yet its clinical course varies widely. Although plantar fascia thickness (PFT) is often used as a pain marker, its prognostic value remains unclear. Objective: This study investigates whether foot arch morphology underlies [...] Read more.
Plantar fasciitis (PFS) is a leading cause of heel pain, yet its clinical course varies widely. Although plantar fascia thickness (PFT) is often used as a pain marker, its prognostic value remains unclear. Objective: This study investigates whether foot arch morphology underlies distinct biomechanical profiles in PFS patients, potentially explaining the variability in its presentation. Methods: The cross-sectional study included 30 patients with PFS and 10 healthy controls. PFS patients were classified by arch type (pes rectus, pes planus, pes cavus) using the Arch Height Index (AHI). Baseline comparisons between healthy controls and PFS subgroups assessed PFT, Foot Function Index (FFI), joint stiffness ratio, and gait parameters. Results: PFT differed across groups but was not significantly associated with FFI scores (p = 0.233). The pes cavus group exhibited a lower metatarsophalangeal (MTP) stiffness ratio compared with healthy (p < 0.05). Pes planus and pes rectus groups showed excessive pronation, and the pes cavus group showed limited ankle dorsiflexion, indicating distinct gait mechanisms (p < 0.05). Conclusions: Foot arch morphology influences gait biomechanics, stiffness, and PFT in individuals with PFS. Incorporating individual arch types into clinical decision-making may facilitate more personalized interventions and improve treatment outcomes. Full article
(This article belongs to the Section Gait and Posture Biomechanics)
Show Figures

Figure 1

27 pages, 7548 KB  
Article
The Spatiotemporal Distribution Characteristics and Sensitivity Analysis of Stress in the Galleries of a Super-High Arch Dam During Construction
by Zhiqiang Xie, Min Yuan, Hang Xu, Jiaxu Peng and Qin Chen
Buildings 2025, 15(21), 3967; https://doi.org/10.3390/buildings15213967 - 3 Nov 2025
Viewed by 498
Abstract
In recent years, construction has started on several high arch dams in the southwestern region of China, and the problem of concrete crack prevention has become prominent. During the construction period of the foundation gallery of high arch dams, the stress is high [...] Read more.
In recent years, construction has started on several high arch dams in the southwestern region of China, and the problem of concrete crack prevention has become prominent. During the construction period of the foundation gallery of high arch dams, the stress is high and there are many influencing factors, making it more prone to cracking, and there is relatively little systematic research on this issue. This article focuses on the cracks in the 733 m gallery of the 7th section of a super-high arch dam. Using self-developed 3D finite element software, the stress spatiotemporal distribution and influencing factors during the construction period were analyzed. Research has shown that a decrease of 4 °C in the average annual temperature inside the gallery results in an increase of approximately 0.25 MPa in surface stress on the arch and bottom plates. When poured to an elevation of 870 m, the circumferential stress caused by the self-weight on the arch of the gallery is 2.3 MPa, but it decreases to 0.9 MPa at a distance of 0.3 m from the surface of the arch. The stress at both ends of the bottom plate before and after the arch sealing is always greater than that in the middle, with a maximum stress of about 2.4 MPa. The selection of material parameters has a significant impact on the evaluation of crack resistance. When calculating the mechanical parameters of fully graded concrete, the crack resistance safety of the arch crown and bottom plate is significantly reduced. It is recommended to focus on strengthening the water cooling and “winter period” insulation measures for the arch crown and bottom plate during gallery construction and to use fully graded test parameters in simulation analysis to improve calculation accuracy and structural safety. The research results can provide reference for similar projects. Full article
Show Figures

Figure 1

29 pages, 2503 KB  
Article
Ventricular Topology in Congenital Heart Defects Associated with Heterotaxy: Can We Find Patterns Reflecting the Syndrome-Specific Tendency for Visceral Symmetry?
by Takhfif Othman, Abdulsalam Mohammad Adnan Alsaiad, Abdulraouf M. Z. Jijeh, Jörg Männer and Talat Mesud Yelbuz
J. Cardiovasc. Dev. Dis. 2025, 12(11), 430; https://doi.org/10.3390/jcdd12110430 - 31 Oct 2025
Viewed by 634
Abstract
Heterotaxy syndrome is characterized by a tendency for bilaterally symmetric arrangement (isomerism) of inner organs. It is frequently associated with complex congenital heart defects (CHDs). In “heterotaxic” hearts, the tendency for isomerism is confined to the atria. The ventricular segment always shows asymmetric [...] Read more.
Heterotaxy syndrome is characterized by a tendency for bilaterally symmetric arrangement (isomerism) of inner organs. It is frequently associated with complex congenital heart defects (CHDs). In “heterotaxic” hearts, the tendency for isomerism is confined to the atria. The ventricular segment always shows asymmetric arrangements (D-hand or L-hand topology). This study aimed to determine the statistical distribution of ventricular topology among patients with CHDs associated with heterotaxy and to identify possible associations between ventricular topology and cardiovascular disorders and survival. It is a retrospective cross-sectional study on 192 patients treated at a single center between 2000 and 2023. Our cohort had 115 patients of left atrial isomerism (LAI) and 77 of right atrial isomerism (RAI). The whole cohort (n = 192) showed a bias towards ventricular D-hand topology (67%), which was statistically significant in LAI (74%). In contrast, RAI showed an almost equal distribution (57% D-hand, 43% L-hand). No significant associations were found between ventricular topology and major CHDs or mortality. Significant associations were observed between ventricular topology and cardiac apex position, direction of p-wave axis, and aortic arch sidedness. We conclude that, in the setting of heterotaxy, especially RAI, ventricular topology and aortic arch sidedness both behave as binary anatomical variables showing a tendency for randomized occurrence. This tendency for statistically symmetric distribution is interpreted as reflecting the syndrome-specific tendency for bilateral symmetry. Full article
Show Figures

Figure 1

Back to TopTop