Sign in to use this feature.

Years

Between: -

Subjects

remove_circle_outline
remove_circle_outline
remove_circle_outline
remove_circle_outline
remove_circle_outline
remove_circle_outline
remove_circle_outline
remove_circle_outline
remove_circle_outline

Journals

Article Types

Countries / Regions

Search Results (135)

Search Parameters:
Keywords = apple breeding

Order results
Result details
Results per page
Select all
Export citation of selected articles as:
8 pages, 934 KB  
Proceeding Paper
Comparative Assessment of Fruit Quality Attributes and Bioactive Compounds of Apple (Malus domestica) Genotypes Grown in Gilgit-Baltistan
by Feroz Ahmed Tipu, Muhammad Tahir Akram, Muhammad Azam Khan, Umer Habib, Muhammad Ahsan Khatana, Rashad Qadri, Muhammad Mumtaz Khan, Hina Nawaz, Muhammad Nisar Jabbar and Muhammad Hashir Khan
Biol. Life Sci. Forum 2025, 51(1), 4; https://doi.org/10.3390/blsf2025051004 - 8 Dec 2025
Viewed by 157
Abstract
Apple (Malus domestica) is a deciduous perennial tree that belongs to the family “Rosaceae”. Due to the highly suitable agro-climatic conditions for apple cultivation, it is among the widely cultivated fruits in Gilgit-Baltistan (GB). This study aims to evaluate elite apple [...] Read more.
Apple (Malus domestica) is a deciduous perennial tree that belongs to the family “Rosaceae”. Due to the highly suitable agro-climatic conditions for apple cultivation, it is among the widely cultivated fruits in Gilgit-Baltistan (GB). This study aims to evaluate elite apple genotypes in GB based on morphological and biochemical traits. Five- to six-year-old plants were selected for this study. The research employed a completely randomized design (CRD) with three replications, and mean differences were analyzed using the LSD test. In this study, five genotypes were assessed based on morphological (fruit weight, fruit length, fruit width, and firmness) and biochemical attributes (TSS, TA, ascorbic acid, total phenolic content, and flavonoid content). The results revealed significant variation among apple cultivars in both phytochemical and fruit quality attributes. The cultivar ‘Red Delicious’ exhibited the highest fruit weight (146.18 g), total soluble solids (TSS) (15.4 °Brix), and flavonoid content (105.75 mg 100 g−1 FW). In contrast, ‘Red Full Star’ demonstrated superior firmness (7.19 kg cm−2), along with the highest total phenolic content (TPC) (4.00 mg GAE g−1 FW) and ascorbic acid content (26.45 mg 100 g−1 FW). Although the indigenous variety ‘Nus Khushu’ exhibited lower values in commercial traits, it holds substantial potential for conservation due to its unique local adaptation. The findings indicate that the “Red Delicious” and “Red Full Star” cultivars cultivated in GB are enriched with a variety of bioactive compounds that offer notable health benefits and may be utilized for future crop enhancement and breeding initiatives. Full article
Show Figures

Figure 1

16 pages, 3825 KB  
Article
Integrative Multi-Omics Reveals Quality Markers and Metabolic Pathways Across Genotype and Ripening Gradients in High-Altitude Malus
by Huiqin Shi, Ting Guo, Chenlong Wei, Jie Tian, Xiaoqing Hou and Yi Li
Foods 2025, 14(23), 4039; https://doi.org/10.3390/foods14234039 - 25 Nov 2025
Viewed by 279
Abstract
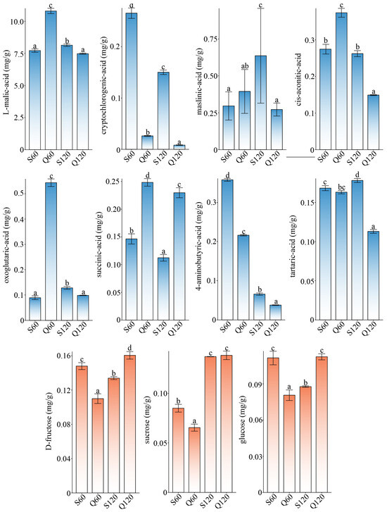
Apples from high-altitude orchards exhibit a distinctive sugar–acid balance, yet the varietal and maturity drivers remain unclear. A multi-omics survey was conducted to map sugars and acids and to resolve pathway control. Chromatography–mass spectrometry, RNA-seq, and principal component (PC) dimensionality reduction fitting analysis [...] Read more.
Apples from high-altitude orchards exhibit a distinctive sugar–acid balance, yet the varietal and maturity drivers remain unclear. A multi-omics survey was conducted to map sugars and acids and to resolve pathway control. Chromatography–mass spectrometry, RNA-seq, and principal component (PC) dimensionality reduction fitting analysis were integrated across Malus prunifolia and M. asiatica at 60 and 120 days after flowering (DAF). PC separated maturity on PC1 and species on PC2, and canonical correlation confirmed gene–metabolite couplings. Malate predominated but declined with ripening as sucrose rose; M. prunifolia at 60 DAF showed higher maltose/inositol, whereas M. asiatica at 120 DAF accumulated pentoses/xylitol. In M. prunifolia 60 vs. 120 DAF (Q60–Q120), enrichment targeted starch/sucrose plus pentose–glucuronate remodeling; in M. asiatica 60 vs. 120 DAF (S60–S120), fructose/mannose routes dominated with persistent wall-sugar signatures. Correlations linked succinate and pyruvate positively, and malate negatively, to hexoses, outlining an ALMT9/MDH-bridged acid–sugar switch. These maturation-anchored markers inform quality breeding and postharvest strategies. Full article
(This article belongs to the Section Plant Foods)
Show Figures

Figure 1

20 pages, 3653 KB  
Review
Insights into Asexual Propagation Techniques and Molecular Mechanisms Underlying Adventitious Root Formation in Apple Rootstocks
by Yanjing Gong, Muhammad Anees Arif, Xiaozhao Xu, Mingshan Lei, Jean Yves Uwamungu, Shuncai Wang and Hongming Wang
Horticulturae 2025, 11(11), 1366; https://doi.org/10.3390/horticulturae11111366 - 13 Nov 2025
Viewed by 573
Abstract
Apple represents one of the most economically significant fruit crops worldwide, and the performance of its scion is largely determined by the physiological and genetic characteristics of the rootstock. Despite their superior ecological adaptability and growth-controlling attributes, many dwarfing apple rootstocks exhibit inherently [...] Read more.
Apple represents one of the most economically significant fruit crops worldwide, and the performance of its scion is largely determined by the physiological and genetic characteristics of the rootstock. Despite their superior ecological adaptability and growth-controlling attributes, many dwarfing apple rootstocks exhibit inherently poor rooting competence, which poses a critical limitation to their large-scale clonal propagation and commercial utilization. Adventitious root (AR) formation is a pivotal yet highly intricate developmental process that governs the success of asexual propagation. It is orchestrated by a complex network of hormonal signaling, transcriptional regulation, metabolic reprogramming, and environmental cues. Over the past decade, remarkable advances have elucidated the physiological, biochemical, and molecular frameworks underpinning AR formation in apple rootstocks. This review provides an integrative synthesis of current progress in vegetative propagation techniques—including cutting, layering, and tissue culture—and systematically dissects the endogenous and exogenous factors influencing AR development. Particular emphasis is placed on the regulatory interplay among phytohormones, carbohydrate and nitrogen metabolism, phenolic compounds, transcription factors (such as WUSCHEL-RELATED HOMEOBOX (WOX), LATERAL ORGAN BOUNDARIES DOMAIN (LBD), and RESPONSE FACTOR (ARF families), and epigenetic modulators that collectively coordinate root induction and emergence. Furthermore, emerging insights into multi-omics integration and genotype-specific molecular regulation are discussed as strategic pathways toward enhancing propagation efficiency. Collectively, this review establishes a comprehensive theoretical framework for optimizing the asexual propagation of apple rootstocks and provides critical molecular guidance for breeding novel, easy-to-root genotypes that can drive the sustainable intensification of global apple production. Full article
(This article belongs to the Section Genetics, Genomics, Breeding, and Biotechnology (G2B2))
Show Figures

Figure 1

12 pages, 1296 KB  
Article
Mechanical Resistance of New Apple Genotypes for Automated Harvesting
by Martin Císler, František Horejš, Jakub Lev, Petr Novák, Milan Kroulík and Lubor Zelený
Plants 2025, 14(22), 3455; https://doi.org/10.3390/plants14223455 - 12 Nov 2025
Viewed by 394
Abstract
Mechanical damage to apples that occurs without visible skin rupture represents a significant issue during handling and harvesting. The aim of this study was to evaluate the potential for detecting initial internal tissue failure using parameters derived from the deformation curve obtained during [...] Read more.
Mechanical damage to apples that occurs without visible skin rupture represents a significant issue during handling and harvesting. The aim of this study was to evaluate the potential for detecting initial internal tissue failure using parameters derived from the deformation curve obtained during a quasi-static penetration test. Particular attention was given to the parameter Pa, defined as the pressure at the yield point, which indicates the onset of structural failure in the tissue. The occurrence of Pa was monitored across five apple genotypes, and the results demonstrated the parameter’s sensitivity to latent internal damage. The parameter Pc, characterising resistance in the later phase of penetration, also showed a strong correlation with fruit bulk density. Significant differences in all mechanical characteristics were observed between the genotypes. The results highlight the potential of these parameters for assessing varietal suitability for mechanised harvesting and sorting. The proposed methodology is readily applicable in the selection of new genotypes within breeding programmes as well as in post-harvest situations. Full article
Show Figures

Figure 1

14 pages, 2185 KB  
Article
Identification and Expression Patterns of Four Key Nitrogen Assimilation Enzyme Gene Families in Malus domestica
by Tong Li, Longxin Luo, Zhi Li, Ziquan Feng, Qi Zhang, Shuo Ma, Xinyi Li, Huaina Gao, Minmin Zhou, Shang Wu, Yali Zhang, Han Jiang and Yuanyuan Li
Nitrogen 2025, 6(4), 99; https://doi.org/10.3390/nitrogen6040099 - 5 Nov 2025
Viewed by 374
Abstract
Nitrogen assimilation is vital for apple growth, yield, and quality, with nitrate reductase (NIA), nitrite reductase (NIR), glutamine synthetase (GS), and glutamate synthase (GOGAT) serving as key regulatory enzymes. This study systematically identified these four gene families in apple (Malus domestica) [...] Read more.
Nitrogen assimilation is vital for apple growth, yield, and quality, with nitrate reductase (NIA), nitrite reductase (NIR), glutamine synthetase (GS), and glutamate synthase (GOGAT) serving as key regulatory enzymes. This study systematically identified these four gene families in apple (Malus domestica) through genome-wide analysis and examined their expression patterns under nitrate treatment. In total, 13 genes were identified, 2 MdNIAs, 1 MdNIR, 7 MdGSs, and 3 MdGOGATs, with gene lengths ranging from 2577 to 27736 base pairs (bp); MdGLT1A had the longest coding sequence (6627 bp). The encoded proteins contained 355–2208 amino acids, with predicted isoelectric points (pIs) between 5.55 and 6.63. Subcellular localization analysis predicted distinct compartmentalization: MdNIA1A in peroxisomes; MdGS1 in the cytosol; MdNIR1, MdGS2, and MdGLU1 in chloroplasts; and MdGLT1 in mitochondria/chloroplasts. Functional site prediction revealed multiple phosphorylation and glycosylation sites, with ATP/GTP-binding motifs present only in certain MdGOGAT proteins. Protein interaction analysis suggested close associations among these genes and possible interactions with NRT2.1/2.2. Chromosomal mapping showed their distribution across eight chromosomes, while promoter analysis identified diverse cis-acting regulatory elements (e.g., ABRE and G-box). Under nitrate treatment (0–12 h), these genes exhibited distinct expression dynamics: MdNIA1A and B were rapidly induced (0–6 h) and maintained high expression; MdNIR1 peaked at 6 h and then declined; MdGS1.1B was activated after 6 h; and MdGS2A, MdGLU1, and MdGLT1A/B peaked at 6 h before decreasing. Therefore, these results elucidate the structural and functional divergence of nitrogen assimilation genes in apple and provide a basis for understanding nitrogen utilization mechanisms and developing nitrogen-efficient breeding strategies. Full article
Show Figures

Figure 1

13 pages, 1157 KB  
Article
Evaluation of Total Eosinophil Counts, Serum Allergen-Specific IgE and Related Cytokines in Dogs with Atopic Dermatitis
by Min-Joo Chae, Min-Hee Kang and Hee-Myung Park
Animals 2025, 15(21), 3219; https://doi.org/10.3390/ani15213219 - 5 Nov 2025
Viewed by 636
Abstract
Canine atopic dermatitis (AD) is a chronic allergic skin disease in which various immunological markers have been investigated. While peripheral eosinophil counts, serum allergen-specific immunoglobulin E (IgE), and cytokines have each been evaluated in allergic disorders, their simultaneous assessment in dogs with AD [...] Read more.
Canine atopic dermatitis (AD) is a chronic allergic skin disease in which various immunological markers have been investigated. While peripheral eosinophil counts, serum allergen-specific immunoglobulin E (IgE), and cytokines have each been evaluated in allergic disorders, their simultaneous assessment in dogs with AD has rarely been reported in Korea. This study aimed to evaluate the diagnostic and clinical utility of these parameters in affected dogs. A total of 93 dogs were included between August 2019 and February 2020, comprising 65 dogs diagnosed with AD and 28 healthy controls. Clinical information, peripheral blood eosinophil counts and ratios, serum allergen-specific IgE using a multiple allergen panel (60 allergens), and cytokines related to T helper 2 (Th2) and T regulatory (Treg) cells (IL-4, IL-13, IL-31, TGF-β1) were analyzed. The mean age of AD dogs was 6.34 ± 3.99 years, with a predominance of small breeds and males. Eosinophil counts and ratios showed no significant difference between groups. In contrast, allergen-specific IgE levels were significantly elevated for several allergens, including Dermatophagoides pteronyssinus, Acarus siro, Tyrophagus putrescentiae, alder/birch, hazel, oak, cladosporium, and selected dietary antigens (pea, soybean, pumpkin, apple) (p < 0.05). Sensitization rates were also higher for Acarus siro, Tyrophagus putrescentiae, oak, and sheep sorrel (p < 0.05). Th2-related cytokines tended to increase and TGF-β1 tended to decrease in AD dogs, though without statistical significance. These findings indicate that peripheral eosinophil counts have limited diagnostic value, whereas allergen-specific IgE testing provides clinically useful information for the diagnosis and management of canine AD. Further research stratifying disease stages and assessing local tissue cytokine expression is warranted. Full article
(This article belongs to the Section Veterinary Clinical Studies)
Show Figures

Figure 1

19 pages, 4057 KB  
Article
Towards Introgression Between Watermelon (Citrullus lanatus) and Its Wild Relative, Bitter Apple (C. colocynthis)
by Lana W. Al-Qadumii, Monther T. Sadder, Bayan Alkharabsheh, Samih Y. Salem, Mohammad S. Salem and Karam Bani-Yaseen
Horticulturae 2025, 11(11), 1304; https://doi.org/10.3390/horticulturae11111304 - 31 Oct 2025
Viewed by 796
Abstract
The genetic diversity of cultivated crops is limited, largely as a result of domestication bottlenecks and the selective pressures imposed during modern breeding. An introgression cross was initiated by mating bitter apple (Citrullus colocynthis), as a wild founder parent, with ‘Charleston [...] Read more.
The genetic diversity of cultivated crops is limited, largely as a result of domestication bottlenecks and the selective pressures imposed during modern breeding. An introgression cross was initiated by mating bitter apple (Citrullus colocynthis), as a wild founder parent, with ‘Charleston Grey’ watermelon (Citrullus lanatus) commercial cultivar, focused on identifying and utilizing trait-enhancing alleles from crop wild relative (CWR). Successful crosses resulted in diverse families, including F1 hybrids, F2 population, and backcross (BC) progenies. The study revealed substantial variation among the founder parents and their derived progeny in plant growth and major agronomic fruit traits, highlighting the value of this genetic diversity for breeding programs and demonstrating the potential of Citrullus introgression lines to enhance desired traits in cultivated watermelon. Morphological analysis demonstrated that F1 progeny resembled the maternal parent for the majority of investigated fruit traits. A considerable proportion of the introgression progeny in the F2 generation outperformed both parents in total soluble solids and lycopene content, suggesting that crop wild relatives hold strong breeding value through beneficial allelic recombination. BC1 siblings were closer to the wild watermelon, which is presumably maternally controlled through plastome and mitogenome in crosses between cultivated watermelon and wild bitter apple, which is expected to be retained in successive backcrosses. The study uncovers novel alleles of CWR that preserve extensive genetic variation that is essential for enhancing resilience traits in current breeding lines. These introgression-derived resources provide a critical platform for advancing genetic studies and enhancing crop resilience. Full article
(This article belongs to the Special Issue Germplasm Resources and Genetics Improvement of Watermelon and Melon)
Show Figures

Figure 1

26 pages, 2439 KB  
Review
The Biologically Active Compounds in Fruits of Cultivated Varieties and Wild Species of Apples
by Alexander A. Shishparenok, Anastasiya N. Shishparenok, Heather A. Harr, Valentina A. Gulidova, Eugene A. Rogozhin and Alexander M. Markin
Molecules 2025, 30(19), 3978; https://doi.org/10.3390/molecules30193978 - 4 Oct 2025
Viewed by 1377
Abstract
Insufficient fruit intake is a major contributor to the development of non-communicable diseases, as the global average of daily fruit consumption remains far below the recommended levels. Apples are among the most widely consumed fruits worldwide, making them an ideal target for nutritional [...] Read more.
Insufficient fruit intake is a major contributor to the development of non-communicable diseases, as the global average of daily fruit consumption remains far below the recommended levels. Apples are among the most widely consumed fruits worldwide, making them an ideal target for nutritional enhancement. Enhancing the content of health-promoting compounds within apples offers a practical way to increase bioactive intake without requiring major dietary changes. This review evaluates which of the 41 biologically active compounds considered in this article can reach physiologically relevant intake levels at the current average daily consumption of cultivated and wild apples. Comparative analysis shows that wild apples consistently contain higher concentrations of phenolic compounds and organic acids than cultivated varieties, in some cases by more than tenfold. At the average daily fruit intake of 121.8 g, wild species provide effective doses of epicatechins, anthocyanins, chlorogenic acid, and malic acid. In contrast, cultivated apples reach this level only for chlorogenic acid. Notably, less than 50 g of wild apple is sufficient to supply physiologically relevant amounts of several polyphenols. These findings highlight the potential of wild apple species as donors of bioactive compounds and provide a framework for breeding future apple cultivars that combine consumer appeal with enhanced health benefits. Full article
(This article belongs to the Special Issue Nutritional Properties and Sensory Analysis of Food)
Show Figures

Figure 1

22 pages, 1481 KB  
Review
Research Advances in the Synthesis and Regulation of Apple Anthocyanins
by Haidong Bu, Guangjun Gu, Yinghui Hu, Yue Yang, Ling Yang, Hui Yuan and Wenquan Yu
Biology 2025, 14(10), 1322; https://doi.org/10.3390/biology14101322 - 25 Sep 2025
Viewed by 1527
Abstract
Anthocyanins are key pigments responsible for apple fruit coloration, influencing not only its appearance and marketability but also contributing significantly to its nutritional and health benefits. In their natural state, anthocyanins are chemically unstable. However, glycosylation modifies them into anthocyanin derivatives known as [...] Read more.
Anthocyanins are key pigments responsible for apple fruit coloration, influencing not only its appearance and marketability but also contributing significantly to its nutritional and health benefits. In their natural state, anthocyanins are chemically unstable. However, glycosylation modifies them into anthocyanin derivatives known as anthocyanin glycosides, which exhibit markedly enhanced stability and improved water solubility. As a result, most naturally occurring anthocyanins exist in the form of anthocyanin glycosides. The biosynthesis of anthocyanins involves a series of structural genes within the phenylpropanoid and flavonoid pathways (including PAL, C4H, 4CL, CHS, CHI, F3H, DFR, ANS/LDOX, and UFGT). The MYB–bHLH–WD40 transcriptional complex serves as the core regulatory mechanism controlling anthocyanin synthesis, with additional transcription factors also playing important roles. This review systematically summarizes recent advances in the structural characteristics, biosynthetic pathways, molecular regulatory mechanisms, and environmental factors affecting anthocyanin accumulation in apples. These insights are important both for consumer health and for breeding apple cultivars with enhanced anthocyanin content. Full article
(This article belongs to the Special Issue Feature Papers on Developmental and Reproductive Biology)
Show Figures

Figure 1

23 pages, 291 KB  
Article
Biochemical and Volatile Compound Variation in Apple (Malus domestica) Cultivars According to Fruit Size: Implications for Quality and Breeding
by Jan Juhart, Franci Štampar, Mariana Cecilia Grohar and Aljaz Medic
Appl. Sci. 2025, 15(18), 10003; https://doi.org/10.3390/app151810003 - 12 Sep 2025
Viewed by 893
Abstract
Apple fruit size affects market value, yet its impact on biochemical and sensory traits is poorly understood. This study provides the first comprehensive metabolic profiling of peel and flesh across five cultivars, including red-fleshed ‘Baya Marisa’ and four white-fleshed cultivars (‘Opal’, ‘Red Boskoop’, [...] Read more.
Apple fruit size affects market value, yet its impact on biochemical and sensory traits is poorly understood. This study provides the first comprehensive metabolic profiling of peel and flesh across five cultivars, including red-fleshed ‘Baya Marisa’ and four white-fleshed cultivars (‘Opal’, ‘Red Boskoop’, ‘Crown Prince Rudolf’, and ‘Topaz’), in two size groups: large (>70 mm, Class I) and small (55–70 mm, Class II). Sugars and organic acids varied by cultivar but not consistently by size. White-fleshed small apples had higher flesh phenolics, suggesting a dilution effect, while ‘Baya Marisa’ showed no size-related phenolic differences, indicating potential genetic influence. VOCs were mainly aldehydes, with cultivar-specific differences outweighing size effects. Fruit maturity and controlled-atmosphere storage likely limited ester production. These findings demonstrate that fruit size influences certain biochemical traits in a cultivar-dependent manner. This study’s novelty lies in combining tissue-specific metabolite profiling with size comparisons across multiple cultivars, providing practical insights for breeders, nutritionists, and the fruit industry. This work supports size-specific quality assessment and valorization of smaller apples for fresh consumption and processing, challenging conventional market classifications based solely on size. Full article
(This article belongs to the Section Food Science and Technology)
21 pages, 8731 KB  
Article
Individual Segmentation of Intertwined Apple Trees in a Row via Prompt Engineering
by Herearii Metuarea, François Laurens, Walter Guerra, Lidia Lozano, Andrea Patocchi, Shauny Van Hoye, Helin Dutagaci, Jeremy Labrosse, Pejman Rasti and David Rousseau
Sensors 2025, 25(15), 4721; https://doi.org/10.3390/s25154721 - 31 Jul 2025
Cited by 1 | Viewed by 1134
Abstract
Computer vision is of wide interest to perform the phenotyping of horticultural crops such as apple trees at high throughput. In orchards specially constructed for variety testing or breeding programs, computer vision tools should be able to extract phenotypical information form each tree [...] Read more.
Computer vision is of wide interest to perform the phenotyping of horticultural crops such as apple trees at high throughput. In orchards specially constructed for variety testing or breeding programs, computer vision tools should be able to extract phenotypical information form each tree separately. We focus on segmenting individual apple trees as the main task in this context. Segmenting individual apple trees in dense orchard rows is challenging because of the complexity of outdoor illumination and intertwined branches. Traditional methods rely on supervised learning, which requires a large amount of annotated data. In this study, we explore an alternative approach using prompt engineering with the Segment Anything Model and its variants in a zero-shot setting. Specifically, we first detect the trunk and then position a prompt (five points in a diamond shape) located above the detected trunk to feed to the Segment Anything Model. We evaluate our method on the apple REFPOP, a new large-scale European apple tree dataset and on another publicly available dataset. On these datasets, our trunk detector, which utilizes a trained YOLOv11 model, achieves a good detection rate of 97% based on the prompt located above the detected trunk, achieving a Dice score of 70% without training on the REFPOP dataset and 84% without training on the publicly available dataset.We demonstrate that our method equals or even outperforms purely supervised segmentation approaches or non-prompted foundation models. These results underscore the potential of foundational models guided by well-designed prompts as scalable and annotation-efficient solutions for plant segmentation in complex agricultural environments. Full article
Show Figures

Figure 1

15 pages, 10576 KB  
Article
Mapping the Distribution of Viruses in Wild Apple Populations in the Southeast Region of Kazakhstan
by Nazym Kerimbek, Marina Khusnitdinova, Aisha Taskuzhina, Anastasiya Kapytina, Alexandr Pozharskiy, Abay Sagitov and Dilyara Gritsenko
Forests 2025, 16(7), 1119; https://doi.org/10.3390/f16071119 - 6 Jul 2025
Viewed by 918
Abstract
Kazakhstan is recognized as one of the primary centers of origin of the wild apple Malus sieversii, concentrated mainly in the mountains like Trans-Ile and Zhongar Alatau, as well as parts of the Tarbagatay, Talas Alatau, and Karatau ranges. As the wild [...] Read more.
Kazakhstan is recognized as one of the primary centers of origin of the wild apple Malus sieversii, concentrated mainly in the mountains like Trans-Ile and Zhongar Alatau, as well as parts of the Tarbagatay, Talas Alatau, and Karatau ranges. As the wild progenitor of Malus domestica, M. sieversii harbors a critical genetic diversity essential for apple breeding and conservation efforts. However, its natural populations are increasingly threatened by latent viral infection, which weakens trees, reduces reproduction, and hinders regeneration. In this study, the spread of apple chlorotic leaf spot virus (ACLSV) and apple stem pitting virus (ASPV) was documented in four wild apple populations, with detection rates of 50.2% and 42.2%, respectively. Mixed infections were observed in 28.8% of sampled trees. Apple stem grooving virus (ASGV) was detected exclusively in cultivated orchards, whereas apple mosaic virus (ApMV) and apple necrotic mosaic virus (ApNMV) were not found in either wild forests or cultivated orchards. Using Geographic Information System (GIS) technology, we developed the first spatial distribution maps of these viruses in wild apple forests in the Tian Shan region, revealing site-specific variation and infection rates. These results underscore the importance of monitoring viral infections in wild M. sieversii populations to preserve genetically valuable, virus-free germplasm critical for apple breeding, crop improvement, and sustainable orchard management. Full article
(This article belongs to the Special Issue Forest Pathogens: Detection, Diagnosis, and Control)
Show Figures

Figure 1

27 pages, 5775 KB  
Article
Genome-Wide Analysis of the FNSII Gene Family and the Role of CitFNSII-1 in Flavonoid Synthesis in Citrus
by Xinya Liu, Beibei Chen, Ling Luo, Qi Zhong, Chee How Teo and Shengjia Huang
Plants 2025, 14(13), 1936; https://doi.org/10.3390/plants14131936 - 24 Jun 2025
Viewed by 1836
Abstract
Flavonoid synthases (FNSs) are key enzymes catalyzing the conversion of flavanones to flavonoids, yet their functions in citrus remain functionally uncharacterized. In this study, we identified three FNSII genes in the citrus genome. Phylogenetic analysis revealed that citrus FNSII genes share the closest [...] Read more.
Flavonoid synthases (FNSs) are key enzymes catalyzing the conversion of flavanones to flavonoids, yet their functions in citrus remain functionally uncharacterized. In this study, we identified three FNSII genes in the citrus genome. Phylogenetic analysis revealed that citrus FNSII genes share the closest evolutionary distance with apple FNSII genes. Chromosomal localization demonstrated that the three FNSII genes are distributed across two out of nine chromosomes. Gene structure analysis indicated that the majority of motifs within these three FNSII genes are highly conserved. We cloned a gene called CitFNSII-1 from citrus. Transient overexpression of CitFNSII-1 in citrus leaves significantly increased flavonoid content, while simultaneous virus-induced silencing of CitFNSII-1 led to synchronously and significantly reduced gene expression levels and flavonoid content in citrus seedlings. Through the Agrobacterium rhizogenes-mediated genetic transformation system, overexpression of CitFNSII-1 was found to markedly enhance flavonoid accumulation in hairy roots, whereas knockout of CitFNSII-1 resulted in a significant decrease in flavonoid content in hairy roots. Further experiments verified an interaction between CitFNSII-1 and the Chalcone isomerase-1 (CHI-1) protein. The results demonstrated that the flavonoid accumulation patterns of CHI-1 and CitFNSII-1 are highly similar. In conclusion, this study advances the understanding of the flavonoid biosynthesis pathway in citrus and provides a theoretical foundation for molecular breeding strategies in citrus. Full article
(This article belongs to the Special Issue Innovative Techniques for Citrus Cultivation)
Show Figures

Figure 1

17 pages, 1134 KB  
Article
Characterization of Heat Tolerance in Two Apple Rootstocks Using Chlorophyll Fluorescence as a Screening Method
by Ines Mihaljević, Marija Viljevac Vuletić, Vesna Tomaš, Dominik Vuković and Zvonimir Zdunić
Agronomy 2025, 15(6), 1442; https://doi.org/10.3390/agronomy15061442 - 13 Jun 2025
Viewed by 1128
Abstract
High temperature has an adverse effect on apple production worldwide. Photosynthesis is a process especially vulnerable to heat stress, which can reduce photosynthetic efficiency, plant growth, development, and ultimately yield. Although the effects of heat stress on apples have been partially examined, the [...] Read more.
High temperature has an adverse effect on apple production worldwide. Photosynthesis is a process especially vulnerable to heat stress, which can reduce photosynthetic efficiency, plant growth, development, and ultimately yield. Although the effects of heat stress on apples have been partially examined, the photochemical reactions and heat tolerance of specific rootstocks have still not been sufficiently investigated. Identification of rootstocks with better photosynthetic performance and adaptation to heat stress enables the selection of rootstocks, which could contribute to stable yields and good fruit quality even at elevated temperatures. In this study, chlorophyll a fluorescence (ChlF) induction kinetics was used to investigate the heat tolerance between two apple rootstocks (M.9 and G.210). In addition, we employed lipid peroxidation measurements, hydrogen peroxide quantification, proline content, and total phenolic and flavonoid assessments. Analysis of chlorophyll fluorescence parameters and OJIP curves (different steps of the polyphasic fluorescence transient; O–J–I–P phases) revealed significant differences in their responses, with higher values of the PIABS parameter indicating better PS II stability and overall photosynthetic efficiency in M.9 rootstock. The higher contents of chlorophyll, carotenoids, proline, and significant increase in the accumulation of phenolics, and flavonoids in this rootstock also contributed to its better adaptation to heat stress. Oxidative stress was more pronounced in G.210 through higher H2O2 and MDA levels, which could point to its lower capacity to adjust to heat stress conditions. This research can provide a scientific basis for further breeding programs and growing plans due to climate change and the occurrence of extremely high temperatures. Full article
Show Figures

Figure 1

19 pages, 7673 KB  
Article
Overexpression of MdNRT2.4 Improved Low-Nitrogen Tolerance in Transgenic Tobacco Lines
by Junrong Li, Ke Liu, Chunqiong Shang, Qiandong Hou, Xiangmei Nie, Qinglong Dong, Dong Huang and Qian Wang
Horticulturae 2025, 11(6), 662; https://doi.org/10.3390/horticulturae11060662 - 10 Jun 2025
Viewed by 924
Abstract
Apple (Malus domestica Borkh.) is an economically important fruit. The use of nitrate by plants plays a crucial role in their growth and development, and its absorption and dispersal are controlled by nitrate transport proteins (NRTs). In this study, we investigated the [...] Read more.
Apple (Malus domestica Borkh.) is an economically important fruit. The use of nitrate by plants plays a crucial role in their growth and development, and its absorption and dispersal are controlled by nitrate transport proteins (NRTs). In this study, we investigated the potential function of MdNRT2.4 under low-nitrogen (N) stress by overexpressing it in tobacco. Compared with plants treated with a normal nitrogen level (5 mM), the MdNRT2.4 overexpression lines under low-N stress (0.25 mM) exhibited significantly greater plant height and width, as well as larger leaves and a higher leaf density, than wild-type plants, suggesting that the overexpression of MdNRT2.4 enhances the low-N tolerance of tobacco. Enhanced antioxidant enzyme activities in the MdNRT2.4 overexpression plant lines promoted the scavenging of reactive oxygen species, which reduced damage to their cell membranes. GUS staining of pMdNRT2.4::GUS-transformed Arabidopsis thaliana lines showed that MdNRT2.4 was expressed in the roots, vascular bundles, seeds in fruit pods, and young anther sites, suggesting that MdNRT2.4 mediates the transport of nitrate to these tissues, indicating that MdNRT2.4 might promote nitrate utilization in apple and improve its tolerance to low-N stress. Experiments using yeast one-hybrid and dual-luciferase assays revealed that MdbHLH3 binds to the MdNRT2.4 promoter and activates its expression. MdbHLH3 belongs to the basic helix–loop–helix (bHLH) transcription factor (TF). It is speculated that MdbHLH3 may interact with the promoter of MdNRT2.4 to regulate N metabolism in plants and enhance their low-N tolerance. This study establishes a theoretical framework for investigating the regulatory mechanisms of low-N responsive molecules in apple, while simultaneously providing valuable genetic resources for molecular breeding programs targeting low-N tolerance. Full article
(This article belongs to the Section Biotic and Abiotic Stress)
Show Figures

Figure 1

Back to TopTop