Characterization of Heat Tolerance in Two Apple Rootstocks Using Chlorophyll Fluorescence as a Screening Method
Abstract
1. Introduction
2. Materials and Methods
2.1. Experimental Setup and Growth Condition
2.2. Chlorophyll Fluorescence Measurement
2.3. Measurement of Photosynthetic Pigment Concentration
2.4. Lipid Peroxidation and Hydrogen Peroxide Measurements
2.5. Proline, Total Phenolic and Flavonoid Measurements
2.6. Statistical Analyses
3. Results
3.1. Chlorophyll Fluorescence Parameters
3.2. OJIP Transients
3.3. Photosynthetic Pigments Contents
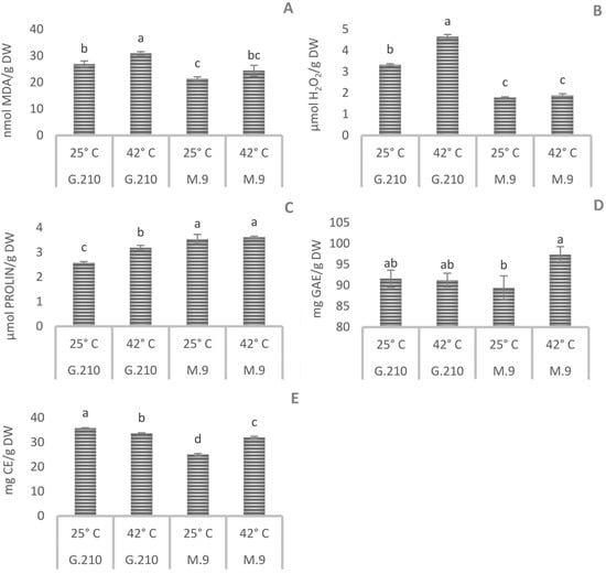
3.4. MDA, H2O2, Proline, Phenoicsl and Flavonoid Contents
4. Discussion
4.1. Influence of Heat Stress on OJIP Parameters
4.2. Influence of Heat Stress on OJIP Transient
4.3. Influence of Heat Stress on Pigments
4.4. Influence of Heat Stress on MDA, H2O2, Proline, Phenolic and Flavonoid Contents
5. Conclusions
Author Contributions
Funding
Data Availability Statement
Conflicts of Interest
References
- Wang, Q.; Wu, Y.; Wu, W.; Lyu, L.; Li, W. Research progress on the physiological, biochemical and molecular regulatory mechanisms of fruit tree responses to high-temperature stress. Hortic. Plant J. 2024, 11, 1–14. [Google Scholar] [CrossRef]
- Do, V.G.; Lee, Y.; Park, J.; Win, N.M.; Kwon, S.-I.; Yang, S.; Kim, S. Heat stress and water irrigation management effects on the fruit color and quality of ‘Hongro’ apples. Agriculture 2024, 14, 761. [Google Scholar] [CrossRef]
- Kang, K.J.; Seo, J.H.; Yoon, H.K.; Seo, J.S.; Choi, T.Y.; Chun, J.P. Effects of wind net shading and sprinkling on growing conditions and fruit quality in ‘Hongro’ and ‘Fuji’ apple fruits. J. Bio-Environ. Control 2019, 28, 126–133. [Google Scholar] [CrossRef]
- Schrader, L.; Sun, J.; Zhang, J.; Felicetti, D.; Tian, J. Heat and light-induced apple skin disorders: Causes and prevention. Acta Hortic. 2008, 772, 51–58. [Google Scholar] [CrossRef]
- Sugiura, T.; Ogawa, H.; Fukuda, N.; Moriguchi, T. Changes in the taste and textural attributes of apples in response to climate change. Sci. Rep. 2013, 3, 2418. [Google Scholar] [CrossRef]
- Hassan, M.R.; Arakawa, O.; Nissato, K.; Ito, D. Changes in the harvesting window and quality of apple fruit cultivated under long-term high temperature and CO2. Sci. Hortic. 2024, 338, 113611. [Google Scholar] [CrossRef]
- Ahammed, G.J.; Xu, W.; Liu, A.; Chen, S. Comt1 silencing aggravates heat stress-induced reduction in photosynthesis by decreasing chlorophyll content, photosystem II activity, and electron transport efficiency in tomato. Front. Plant Sci. 2018, 9, 998. [Google Scholar] [CrossRef]
- Wu, W.; Chen, L.; Liang, R.; Huang, S.; Li, X.; Huang, B.; Luo, H.; Zhang, M.; Wang, X.; Zhu, H. The role of light in regulating plant growth, development and sugar metabolism: A review. Front. Plant Sci. 2025, 15, 1507628. [Google Scholar] [CrossRef]
- Murata, N.; Takahashi, S.; Nishiyama, Y.; Allakhverdiev, S.I. Photoinhibition of photosystem II under environmental stress. Biochim. Biophys. Acta 2007, 1767, 414–421. [Google Scholar] [CrossRef]
- Doğru, A. Effects of heat stress on photosystem II activity and antioxidant enzymes in two maize cultivars. Planta 2021, 253, 85. [Google Scholar] [CrossRef]
- Yamori, W.; Masumoto, C.; Fukayama, H.; Makino, A. Rubisco activase is a key regulator of non-steady-state photosynthesis at any leaf temperature and to a lesser extent, of steady-state photosynthesis at high temperature. Plant J. 2012, 71, 871–880. [Google Scholar] [CrossRef] [PubMed]
- Nash, D.; Miyao, M.; Murata, N. Heat inactivation of oxygen evolution in photosystem II particles and its acceleration by chloride depletion and exogenous manganese. Biochim. Biophys. Acta 1985, 807, 127–133. [Google Scholar] [CrossRef]
- Brestic, M.; Zivcak, M.; Kunderlikova, K.; Allakhverdiev, S.I. High temperature specifically affects the photoprotective responses of chlorophyll b-deficient wheat mutant lines. Photosynth. Res. 2016, 130, 251–266. [Google Scholar] [CrossRef]
- Ahammed, G.J.; Li, X.; Zhou, J.; Zhou, Y.H.; Yu, J.Q. Role of hormones in plant adaptation to heat stress. In Plant Hormones Under Challenging Environmental Factors; Ahammed, G.J., Yu, J.Q., Eds.; Springer: Dordrecht, The Netherlands, 2016; pp. 1–21. [Google Scholar]
- Tan, W.; Yin, Q.; Zhao, H.; Wang, M.; Sun, X.; Cao, H.; Wang, D.; Li, Q. Disruption of chlorophyll metabolism and photosynthetic efficiency in winter jujube (Ziziphus jujuba) induced by Apolygus lucorum infestation. Front. Plant Sci. 2025, 16, 1536534. [Google Scholar] [CrossRef]
- Zhou, R.; Kjær, K.H.; Rosenqvist, E.; Yu, X.; Wu, Z.; Ottosen, C. Physiological Response to Heat Stress During Seedling and Anthesis Stage in Tomato Genotypes Differing in Heat Tolerance. J. Agron. Crop. Sci. 2016, 203, 68–80. [Google Scholar] [CrossRef]
- Zhuang, J.; Wang, Y.; Chi, Y.; Zhou, L.; Chen, J.; Zhou, W.; Song, J.; Zhao, N.; Ding, J. Drought stress strengthens the link between chlorophyll fluorescence parameters and photosynthetic traits. PeerJ 2020, 8, e10046. [Google Scholar] [CrossRef]
- Najar, R.; Aydi, S.; Sassi-Aydi, S.; Zarai, A.; Abdelly, C. Effect of salt stress on photosynthesis and chlorophyll fluorescence in Medicago truncatula. Plant Biosyst. 2019, 153, 88–97. [Google Scholar] [CrossRef]
- Sharma, D.K.; Andersen, S.B.; Ottosen, C.O.; Rosenqvist, E. Phenotyping of wheat cultivars for heat tolerance using chlorophyll a fluorescence. Funct. Plant Biol. 2012, 39, 936–947. [Google Scholar] [CrossRef]
- Mazur, M.; Matoša Kočar, M.; Jambrović, A.; Sudarić, A.; Volenik, M.; Duvnjak, T.; Zdunić, Z. Crop-specific responses to cold stress and priming: Insights from chlorophyll fluorescence and spectral reflectance analysis in maize and soybean. Plants 2024, 13, 1204. [Google Scholar] [CrossRef]
- Caruso, M.; Continella, A.; Modica, G.; Pannitteri, C.; Russo, R.; Salonia, F.; Arlotta, C.; Gentile, A.; Russo, G. Rootstocks influence yield precocity, productivity, and pre-harvest fruit drop of Mandared pigmented mandarin. Agronomy 2020, 10, 1305. [Google Scholar] [CrossRef]
- Shahkoomahally, S.; Chang, Y.; Brecht, J.K.; Chaparro, J.X.; Sarkhosh, A. Influence of rootstocks on fruit physical and chemical properties of peach cv. UFSun. Food Sci. Nutr. 2021, 9, 401–413. [Google Scholar] [CrossRef] [PubMed]
- Thies, J.A.; Panthee, D.R. Editorial: Identification, development, and use of rootstocks to improve pest and disease resistance of vegetable crops. Front. Plant Sci. 2023, 14, 1320828. [Google Scholar] [CrossRef] [PubMed]
- Schwarz, D.; Rouphael, Y.; Colla, G.; Venema, J.H. Grafting as a tool to improve tolerance of vegetables to abiotic stresses: Thermal stress, water stress, and organic pollutants. Sci. Hortic. 2010, 127, 162–171. [Google Scholar] [CrossRef]
- Li, X.; Liu, Y.; Hu, W.; Yin, B.; Liang, B.; Li, Z.; Zhang, X.; Xu, J.; Zhou, S. Integrative physiological, metabolomic, and transcriptomic analysis reveals the drought responses of two apple rootstock cultivars. BMC Plant Biol. 2024, 24, 219. [Google Scholar] [CrossRef]
- Dogan, M.; Bolat, I.; Turan, M.; Kaya, O. Elucidating stress responses in Prunus rootstocks through comprehensive evaluation under drought, heat shock and combined stress conditions. Sci. Hortic. 2025, 339, 113882. [Google Scholar] [CrossRef]
- Zhou, Y.; Tian, X.; Yao, J.; Zhang, Z.; Wang, Y.; Zhang, X.; Li, W.; Wu, T.; Han, Z.; Xu, X.; et al. Morphological and photosynthetic responses differ among eight apple scion-rootstock combinations. Sci. Hortic. 2020, 261, 108981. [Google Scholar] [CrossRef]
- Weber, M.S. Optimizing the tree density in apple orchards on dwarf rootstocks. Acta Hortic. 2001, 557, 229–234. [Google Scholar] [CrossRef]
- Ikinci, A.; Bolat, I. Determination of phenological, pomological and yield characteristics of low chilling apple cultivars budded on M9 and MM 106 rootstocks. In Proceedings of the VIII International Scientific Agricultural Symposium “Agrosym 2016”, Jahorina, Bosnia and Herzegovina, 6–9 October 2016; Book of proceedings 2016. pp. 627–636. [Google Scholar]
- Robinson, T.L.; Fazio, G.; Aldwinckle, H.S.; Hoying, S.A.; Russo, N. Field performance of Geneva R apple rootstocks in the eastern USA. Sodininkyste ir daržininkyste 2006, 25, 181–191. [Google Scholar]
- Johnson, W.C.; Aldwinckle, H.S.; Cummins, J.N.; Forsline, P.L.; Holleran, H.T.; Norelli, J.L.; Robinson, T.L. The USDA-ARS/Cornell University apple rootstock breeding and evaluation program. Acta Hortic. 2001, 557, 35–40. [Google Scholar] [CrossRef]
- Denardi, F.; Kvitschal, M.V.; Basso, C.; Boneti, J.I.S.; Katsurayama, Y. Performance of new apple rootstocks for Gala variety in southern Brazil. Crop Breed. Appl. Biotechnol. 2016, 16, 147–152. [Google Scholar] [CrossRef]
- Norelli, J.L.; Holleran, H.T.; Johnson, W.C.; Robinson, T.L.; Aldwinckle, H.S. Resistance of Geneva and other apple rootstocks to Erwinia amylovora. Plant Dis. 2003, 87, 26–32. [Google Scholar] [CrossRef] [PubMed]
- Liu, X.; Zhang, M.; Hu, H.; Li, Z.; Xu, X.; Wang, Y.; Han, Z. Drought tolerance and impacts of four rootstock genotypes on the morphology, yield and fruit quality of Fuji scion apple under drought conditions. Hortic. Environ. Biotechnol. 2024, 65, 491–500. [Google Scholar]
- Valverdi, N.A.; Kalcsits, L. Apple rootstock genotype affects scion responses to water limitations under field conditions. Acta Physiol. Plant. 2021, 43, 97. [Google Scholar] [CrossRef]
- Strasser, R.J.; Srivastava, A.; Tsimilli-Michael, M. The fluorescence transient as a tool to characterize and screen photosynthetic samples. In Probing Photosynthesis: Mechanisms, Regulation, and Adaptation; Yunus, M., Pathre, U., Mohanty, P., Eds.; Taylor & Francis: London, UK, 2000; pp. 445–483. [Google Scholar]
- Mihaljević, I.; Lepeduš, H.; Šimić, D.; Viljevac Vuletić, M.; Tomaš, V.; Vuković, D.; Dugalić, K.; Teklić, T.; Skendrović Babojelić, M.; Zdunić, Z. Photochemical efficiency of photosystem II in two apple cultivars affected by elevated temperature and excess light in vivo. S. Afr. J. Bot. 2020, 130, 316–326. [Google Scholar] [CrossRef]
- Lichtenthaler, H.K. Chlorophylls and carotenoids: Pigments of photosynthetic biomembranes. Methods Enzymol. 1987, 148, 350–382. [Google Scholar]
- Verma, S.; Dubey, R.S. Lead toxicity induces lipid peroxidation and alters the activities of antioxidant enzymes in growing rice plants. Plant Sci. 2003, 164, 645–655. [Google Scholar] [CrossRef]
- Velikova, V.; Yordanov, I.; Edreva, A. Oxidative stress and some antioxidant systems in acid rain-treated bean plants: Protective role of exogenous polyamines. Plant Sci. 2000, 151, 59–66. [Google Scholar] [CrossRef]
- Woodrow, P.; Ciarmiello, L.F.; Annunziata, M.G.; Pacifico, S.; Iannuzzi, F.; Mirto, A.; D’Amelia, L.; Dell’Aversana, E.; Piccolella, S.; Fuggi, A.; et al. Durum wheat seedling responses to simultaneous high light and salinity involve a fine reconfiguration of amino acids and carbohydrate metabolism. Physiol. Plant. 2017, 159, 290–312. [Google Scholar] [CrossRef]
- Singleton, V.L.; Rossi, J.A. Colorimetry of total phenolics with phosphomolybdic–phosphotungstic acid reagents. Am. J. Enol. Vitic. 1965, 16, 144–158. [Google Scholar] [CrossRef]
- Xu, B.; Chang, S.K.C. A comparative study on phenolic profiles and antioxidant activities of legumes as affected by extraction solvents. J. Food Sci. 2007, 72, S159–S166. [Google Scholar] [CrossRef]
- JASP. Computer Software, Version 0.18.1; JASP Team: Amsterdam, The Netherlands, 2023.
- Strasser, R.J.; Tsimilli-Michael, M.; Srivastava, A. Analysis of the chlorophyll a fluorescence transient. In Chlorophyll a Fluorescence; Papageorgiou, G.C., Govindjee, Eds.; Advances in Photosynthesis and Respiration; Springer: Dordrecht, The Netherlands, 2004; Volume 19, pp. 321–362. [Google Scholar]
- Ow, L.F.; Yeo, T.Y.; Sim, E.K. Identification of drought-tolerant plants for roadside greening—An evaluation of chlorophyll fluorescence as an indicator to screen for drought tolerance. Urban For. Urban Green. 2011, 10, 177–184. [Google Scholar] [CrossRef]
- Force, L.; Critchley, C.; Van Rensen, J.J.S. New fluorescence parameters for monitoring photosynthesis in plants. Photosynth. Res. 2003, 78, 17–33. [Google Scholar] [CrossRef] [PubMed]
- Sui, N. Photoinhibition of Suaeda salsa to chilling stress is related to energy dissipation and the water-water cycle. Photosynthetica 2015, 53, 207–212. [Google Scholar] [CrossRef]
- Aro, E.M.; Virgin, I.; Andersson, B. Photoinhibition of photosystem II: Inactivation, protein damage and turnover. Biochim. Biophys. Acta 1993, 1143, 113–134. [Google Scholar] [CrossRef]
- Krause, G.H.; Winter, K.; Krause, B.; Virgo, A. Light-stimulated heat tolerance in leaves of two neotropical tree species, Ficus insipida and Calophyllum longifolium. Funct. Plant Biol. 2015, 42, 42–51. [Google Scholar] [CrossRef]
- Faseela, P.; Sinisha, A.K.; Brestic, M.; Puthur, J.T. Chlorophyll a fluorescence parameter as indicators of a particular abiotic stress in rice. Photosynthetica 2020, 58, 293–300. [Google Scholar] [CrossRef]
- Esperon-Rodriguez, M.; Power, S.A.; Tjoelker, M.G.; Marchin, R.M.; Rymer, P. Contrasting heat tolerance of urban trees to extreme temperatures during heatwaves. Urban For. Urban Green. 2021, 66, 127387. [Google Scholar] [CrossRef]
- Feng, B.; Liu, P.; Li, G.; Dong, S.T.; Wang, F.H.; Kong, L.A.; Zhang, W. Effect of heat stress on the photosynthetic characteristics in flag leaves at the grain-filling stage of different heat-resistant winter wheat varieties. J. Agron. Crop Sci. 2014, 200, 134–155. [Google Scholar] [CrossRef]
- Chen, H.X.; Li, W.J.; An, S.Z.; Gao, H.Y. Characterization of PSII photochemistry and thermostability in salt-treated Rumex leaves. J. Plant Physiol. 2004, 161, 257–264. [Google Scholar] [CrossRef]
- Yan, K.; Chen, P.; Shao, H.; Shao, C.; Zhao, S.; Brestic, M. Dissection of photosynthetic electron transport process in sweet sorghum under heat stress. PLoS ONE 2013, 8, e62100. [Google Scholar] [CrossRef]
- Gautam, A.; Agrawal, D.; SaiPrasad, S.V.; Jajoo, A. A quick method to screen high and low yielding wheat cultivars exposed to high temperature. Physiol. Mol. Biol. Plants 2014, 20, 533–537. [Google Scholar] [CrossRef] [PubMed]
- Kalaji, H.M.; Schansker, G.; Brestic, M.; Bussotti, F.; Calatayud, A.; Ferroni, L.; Goltsev, V.; Guidi, L.; Jajoo, A.; Li, P.; et al. Frequently asked questions about chlorophyll fluorescence, the sequel. Photosynth. Res. 2017, 132, 13–66. [Google Scholar] [CrossRef] [PubMed]
- Manzoor, H.; Anjam, M.S.; Saeed, F.; Rasul, S.; Yousaf, S.; Kirn, A.; Qureshi, M.K.; Zafar, Z.U.; Ashraf, M.; Athar, H.-u.-R. Photosynthetic efficiency and antioxidant defense potential are key players in inducing drought tolerance in transgenic tobacco plants over-expressing AVP1. J. Plant Growth Regul. 2022, 41, 2653–2668. [Google Scholar] [CrossRef]
- Shanker, A.K.; Amirineni, S.; Bhanu, D.; Yadav, S.K.; Jyothilakshmi, N.; Vanaja, M.; Singh, J.; Sarkar, B.; Maheswari, M.; Singh, V.K. High-resolution dissection of photosystem II electron transport reveals differential response to water deficit and heat stress in isolation and combination in pearl millet [Pennisetum glaucum (L.) R. Br.]. Front. Plant Sci. 2022, 13, 892676. [Google Scholar] [CrossRef]
- Zushi, K.; Kajiwara, S.; Matsuzoe, N. Chlorophyll a fluorescence OJIP transient as a tool to characterize and evaluate response to heat and chilling stress in tomato leaf and fruit. Sci. Hortic. 2012, 148, 39–46. [Google Scholar] [CrossRef]
- Tao, M.; Bai, X.; Zhang, J.; Wei, Y.; He, Y. Time-series monitoring of transgenic maize seedlings phenotyping exhibiting glyphosate tolerance. Processes 2022, 10, 2206. [Google Scholar] [CrossRef]
- Panda, D. Diurnal variations in gas exchange and chlorophyll fluorescence in rice leaves: The cause for midday depression in CO₂ photosynthetic rate. J. Stress Physiol. Biochem. 2011, 7, 4. [Google Scholar]
- Van Heerden, P.D.R.; Swanepoel, J.W.; Krüger, G.H.J. Modulation of photosynthesis by drought in two desert scrub species exhibiting C3-mode CO2 assimilation. Environ. Exp. Bot. 2007, 61, 124–136. [Google Scholar] [CrossRef]
- Viljevac Vuletić, M.; Mihaljević, I.; Tomaš, V.; Horvat, D.; Zdunić, Z.; Vuković, D. Physiological response to short-term heat stress in the leaves of traditional and modern plum (Prunus domestica L.) cultivars. Horticulturae 2022, 8, 72. [Google Scholar] [CrossRef]
- Schansker, G.; Toth, S.Z.; Strasser, R.J. Methylviologen and dibromothymoquinone treatments of pea leaves reveal the role of photosystem I in the Chl a fluorescence rise OJIP. Biochim. Biophys. Acta 2005, 1706, 250–261. [Google Scholar] [CrossRef]
- Rastogi, A.; Kovar, M.; He, X.; Zivcak, M.; Kataria, S.; Kalaji, H.M.; Skalicky, M.; Ibrahimova, U.F.; Hussain, S.; Mbarki, S.; et al. Special issue in honour of Prof. Reto J. Strasser—JIP-test as a tool to identify salinity tolerance in sweet sorghum genotypes. Photosynthetica 2020, 58, 518–528. [Google Scholar] [CrossRef]
- Hornyák, M.; Płażek, A.; Kopeć, P.; Dziurka, M.; Pastuszak, J.; Szczerba, A.; Hura, T. Photosynthetic activity of common buckwheat (Fagopyrum esculentum Moench) exposed to thermal stress. Photosynthetica 2020, 58, 45–53. [Google Scholar] [CrossRef]
- Wen, X.G.; Qiu, N.W.; Lu, Q.T.; Lu, C.M. Enhanced thermotolerance of photosystem II in salt-adapted plants of the halophyte Artemisia anethifolia. Planta 2005, 220, 486–497. [Google Scholar] [CrossRef]
- Martinazzo, E.G.; Ramm, A.; Bacarin, M.A. The chlorophyll a fluorescence as an indicator of the temperature stress in the leaves of Prunus persica. Braz. J. Plant Physiol. 2012, 24, 237–246. [Google Scholar] [CrossRef]
- Li, P.M.; Cheng, L.L.; Gao, H.Y.; Jiang, C.D.; Peng, T. Heterogeneous behavior of PSII in soybean (Glycine max) leaves with identical PSII photochemistry efficiency under different high temperature treatments. J. Plant Physiol. 2009, 166, 1607–1615. [Google Scholar] [CrossRef]
- Chen, S.; Yang, J.; Zhang, M.; Strasser, R.J.; Qiang, S. Classification and characteristics of heat tolerance in Ageratina adenophora populations using fast chlorophyll a fluorescence rise O-J-I-P. Environ. Exp. Bot. 2016, 122, 126–140. [Google Scholar] [CrossRef]
- Ji, W.; Hong, E.; Chen, X.; Li, Z.; Lin, B.; Xia, X.; Li, T.; Song, X.; Jin, S.; Zhu, X. Photosynthetic and physiological responses of different peony cultivars to high temperature. Front. Plant Sci. 2022, 13, 969718. [Google Scholar] [CrossRef]
- Sangwan, S.; Ram, K.; Rani, P.; Munjal, R. Effect of terminal high temperature on chlorophyll content and normalized difference vegetation index in recombinant inbred lines of bread wheat. Int. J. Curr. Microbiol. Appl. Sci. 2018, 7, 1174–1183. [Google Scholar] [CrossRef]
- Ristic, Z.; Bukovnik, U.; Prasad, P.V.V. Correlation between heat stability of thylakoid membranes and loss of chlorophyll in winter wheat under heat stress. Crop Sci. 2007, 47, 2067–2073. [Google Scholar] [CrossRef]
- Gao, C.H.; Sun, M.; Anwar, S.; Feng, B.; Ren, A.X.; Lin, W.; Gao, Z.Q. Response of physiological characteristics and grain yield of winter wheat varieties to long-term heat stress at anthesis. Photosynthetica 2021, 59, 640–651. [Google Scholar] [CrossRef]
- Moloi, M.J.; Tóth, C.; Hafeez, A.; Tóth, B. Insights into the photosynthetic efficiency and chloroplast ultrastructure of heat-stressed edamame cultivars during the reproductive stages. Agronomy 2025, 15, 301. [Google Scholar] [CrossRef]
- Bhattarai, S.; Harvey, J.T.; Djidonou, D.; Leskovar, D.I. Exploring morpho-physiological variation for heat stress tolerance in tomato. Plants 2021, 10, 347. [Google Scholar] [CrossRef] [PubMed]
- Johnson, V.M.; Biswas, S.; Roose, J.L.; Pakrasi, H.B.; Liu, H. Psb27, a photosystem II assembly protein, enables quenching of excess light energy during its participation in the PSII lifecycle. Photosynth. Res. 2022, 152, 297–304. [Google Scholar] [CrossRef] [PubMed]
- Camejo, D.; Torres, W. High temperature effect on tomato (Lycopersicon esculentum) pigment and protein content and cellular viability. Cultiv. Trop. 2001, 22, 13–17. [Google Scholar]
- Loggini, B.; Scartazza, A.; Brugnoli, E.; Navari-Izzo, F. Antioxidative defense system, pigment composition, and photosynthetic efficiency in two wheat cultivars subjected to drought. Plant Physiol. 1999, 119, 1091–1100. [Google Scholar] [CrossRef]
- Stefanov, M.; Yotsova, E.; Gesheva, E.; Dimitrova, V.; Markovska, Y.; Doncheva, S.; Apostolova, E.L. Role of flavonoids and proline in the protection of photosynthetic apparatus in Paulownia under salt stress. S. Afr. J. Bot. 2021, 139, 246–253. [Google Scholar] [CrossRef]
- Zulfiqar, F.; Ashraf, M. Proline alleviates abiotic stress induced oxidative stress in plants. J. Plant Growth Regul. 2023, 42, 4629–4651. [Google Scholar] [CrossRef]





| Parameters | Definitions |
|---|---|
| F0 | Initial fluorescence intensity, when all PSII RCs are open |
| Fm | Maximal fluorescence intensity, when all PSII RCs are closed |
| VJ = (FJ − F0)/(Fm − F0) | Relative variable fluorescence intensity at the J step |
| VI = (FI − F0)/(Fm − F0) | Relative variable fluorescence intensity at the I step |
| AREA | The area above chlorophyll fluorescence curve between F0 and Fm (total complementary area between fluorescence induction curve) |
| Sm = (Area)/(FM − F0) | Normalized total complementary area above the OJIP transient (reflecting multiple turnover QA reduction events) |
| M0 = 4(F300μs – F0)/(Fm − F0) | Approximated initial slope of the fluorescence transient |
| TR0/ABS = φP0 FV/Fm = [1 − (F0/Fm)] | Maximum quantum yield of primary photochemistry |
| ET0/ABS = φE0 = [1 − (F0/Fm)] × (1 − VJ) | Quantum yield for electron transport |
| ET0/TR0 = ψE0 = 1 − VJ | Probability that trapped exciton moves an electron into the electron transport chain beyond QA− |
| RE0/ET0 = δ0 = (1 − VI)(1 − VJ) | Efficiency with which an electron from PQH2 is transferred to final PSI acceptors |
| RE0/ABS = φR0 = φP0 × ψE0 × δR0 | Quantum yield for reduction of end electron acceptors at the PSI acceptor side |
| ABS/RC = M0 (1/VJ) × (1/φP0) | Absorption flux (of antenna Chls) per RC |
| TR0/RC = M0 (1/VJ) | Trapped energy flux per RC |
| ET0/RC = M0 (1/VJ) × ψ0 | Electron transport flux per RC |
| DI0/RC = ABS/RC − TR0/RC | Dissipated energy flux per RC |
| RE0/RC = M0 (1/VJ)ψE0δR0 | Electron flux reducing end electron acceptors at the PSI acceptor side, per RC |
| RC/CS0 = φP0 (VJ/M0) F0 | Density of RCs (QA reducing PSII reaction centers) |
| PIABS = (RC/ABS)(TR0/DI0)[ET0/(TR0 − ET0)] | Performance index on absorption basis |
| Parameter | Rootstock | Control Treatment | Heat Stress Treatment |
|---|---|---|---|
| F0 | M.9 | 376.73 ± 4.24 c | 425.86. ± 15.90 b |
| G.210 | 360.60 ± 5.63 c | 472.93 ± 15.76 a | |
| Fm | M.9 | 2175.86 ± 29.75 a | 1723.46 ± 60.98 b |
| G.210 | 2120.46 ± 24.90 a | 1804.33 ± 35.54 b | |
| VJ | M.9 | 0.42 ± 0.01 d | 0.54 ± 0.02 b |
| G.210 | 0.48 ± 0.01 c | 0.65 ± 0.03 a | |
| VI | M.9 | 0.78 ± 0.01 c | 0.80 ± 0.01 b |
| G.210 | 0.81 ± 0.00 b | 0.84 ± 0.01 a | |
| AREA | M.9 | 42,690.33 ± 1089.01 a | 22,157.33 ± 1449.52 c |
| G.210 | 36,765.67 ± 780.95 b | 15,755.33 ± 1021.33 d | |
| Sm | M.9 | 23.84 ± 0.77 a | 17.19 ± 0.71 c |
| G.210 | 20.89 ± 0.39 b | 11.76 ± 0.57 d | |
| M0 | M.9 | 0.64 ± 0.03 c | 0.99 ± 0.08 b |
| G.210 | 0.77 ± 0.02 c | 1.59 ± 0.09 a | |
| Fv/Fm | M.9 | 0.83 ± 0.00 a | 0.74 ± 0.02 b |
| G.210 | 0.83 ± 0.00 a | 0.75 ± 0.01 b | |
| ET0/ABS | M.9 | 1.43 ± 0.02 b | 1.64 ± 0.07 b |
| G.210 | 1.61 ± 0.03 b | 2.36 ± 0.18 a | |
| ET0/TR0 | M.9 | 0.58 ± 0.01 a | 0.46 ± 0.02 c |
| G.210 | 0.52 ± 0.01 b | 0.34 ± 0.03 d | |
| RE0/ET0 | M.9 | 0.13 ± 0.01 a | 0.08 ± 0.01 b |
| G.210 | 0.10 ± 0.00 b | 0.05 ± 0.01 c | |
| RE0/ABS | M.9 | 3.93 ± 0.16 b | 3.97 ± 0.10 b |
| G.210 | 4.32 ± 0.12 b | 5.18 ± 0.35 a | |
| ABS/RC | M.9 | 1.84 ± 0.05 c | 2.46 ± 0.15 b |
| G.210 | 1.93 ± 0.03 c | 3.28 ± 0.08 a | |
| TR0/RC | M.9 | 1.52 ± 0.04 c | 1.84 ± 0.09 b |
| G.210 | 1.60 ± 0.03 c | 2.41 ± 0.05 a | |
| ET0/RC | M.9 | 0.87 ± 0.02 a | 0.83 ± 0.05 a |
| G.210 | 0.82 ± 0.02 a | 0.89 ± 0.07 a | |
| DI0/RC | M.9 | 0.31 ± 0.01 c | 0.61 ± 0.09 b |
| G.210 | 0.33 ± 0.01 c | 0.87 ± 0.05 a | |
| RE0/RC | M.9 | 0.11 ± 0.00 a | 0.07 ± 0.01 b |
| G.210 | 0.08 ± 0.00 b | 0.04 ± 0.01 c | |
| RC/CS0 | M.9 | 207.13 ± 7.12 a | 176.10 ± 6.80 b |
| G.210 | 187.14 ± 4.10 b | 144.82 ± 5.24 c | |
| PIABS | M.9 | 3.65 ± 0.17 a | 1.12 ± 0.12 c |
| G.210 | 2.74 ± 0.10 b | 0.56 ± 0.12 d |
Disclaimer/Publisher’s Note: The statements, opinions and data contained in all publications are solely those of the individual author(s) and contributor(s) and not of MDPI and/or the editor(s). MDPI and/or the editor(s) disclaim responsibility for any injury to people or property resulting from any ideas, methods, instructions or products referred to in the content. |
© 2025 by the authors. Licensee MDPI, Basel, Switzerland. This article is an open access article distributed under the terms and conditions of the Creative Commons Attribution (CC BY) license (https://creativecommons.org/licenses/by/4.0/).
Share and Cite
Mihaljević, I.; Viljevac Vuletić, M.; Tomaš, V.; Vuković, D.; Zdunić, Z. Characterization of Heat Tolerance in Two Apple Rootstocks Using Chlorophyll Fluorescence as a Screening Method. Agronomy 2025, 15, 1442. https://doi.org/10.3390/agronomy15061442
Mihaljević I, Viljevac Vuletić M, Tomaš V, Vuković D, Zdunić Z. Characterization of Heat Tolerance in Two Apple Rootstocks Using Chlorophyll Fluorescence as a Screening Method. Agronomy. 2025; 15(6):1442. https://doi.org/10.3390/agronomy15061442
Chicago/Turabian StyleMihaljević, Ines, Marija Viljevac Vuletić, Vesna Tomaš, Dominik Vuković, and Zvonimir Zdunić. 2025. "Characterization of Heat Tolerance in Two Apple Rootstocks Using Chlorophyll Fluorescence as a Screening Method" Agronomy 15, no. 6: 1442. https://doi.org/10.3390/agronomy15061442
APA StyleMihaljević, I., Viljevac Vuletić, M., Tomaš, V., Vuković, D., & Zdunić, Z. (2025). Characterization of Heat Tolerance in Two Apple Rootstocks Using Chlorophyll Fluorescence as a Screening Method. Agronomy, 15(6), 1442. https://doi.org/10.3390/agronomy15061442

