Sign in to use this feature.

Years

Between: -

Subjects

remove_circle_outline
remove_circle_outline
remove_circle_outline
remove_circle_outline
remove_circle_outline
remove_circle_outline
remove_circle_outline
remove_circle_outline
remove_circle_outline

Journals

Article Types

Countries / Regions

Search Results (141)

Search Parameters:
Keywords = alkaline spring

Order results
Result details
Results per page
Select all
Export citation of selected articles as:
30 pages, 7930 KB  
Article
Photosynthetic Responses of Spring Wheat Seedlings to Neutral, Alkaline, and Combined Salt Stresses
by Yabo Dai, Jun Ye, Xuan Lei, Xiaobing Wang, Chenghao Zhang, Cundong Li, Zhanyuan Lu, Juan Li and Dejian Zhang
Int. J. Mol. Sci. 2026, 27(7), 3060; https://doi.org/10.3390/ijms27073060 - 27 Mar 2026
Viewed by 379
Abstract
Soil salinization poses a severe threat to global wheat production, yet the physiological mechanisms underlying photosynthetic responses to neutral, alkaline, and combined salt stress remain poorly understood. This study systematically evaluated the photosynthetic physiology and salt tolerance of six spring wheat genotypes under [...] Read more.
Soil salinization poses a severe threat to global wheat production, yet the physiological mechanisms underlying photosynthetic responses to neutral, alkaline, and combined salt stress remain poorly understood. This study systematically evaluated the photosynthetic physiology and salt tolerance of six spring wheat genotypes under three types of salt stress at varying concentrations. By integrating phenotypic data, gas exchange parameters, chlorophyll fluorescence indices, and biomass measurements, and applying structural equation modeling and multivariate analysis, key traits regulating biomass were identified. The results revealed significant interactions among salt stress type, genotype, and concentration on photosynthetic parameters. Structural equation modeling analysis revealed that under neutral salt stress, both gas exchange parameters and chlorophyll content had significant direct effects on seedling biomass, with standardized path coefficients of 0.421 and 0.400, respectively. Under alkaline and combined salt stresses, only chlorophyll content showed a significant direct effect on biomass, with standardized path coefficients of 0.873 and 0.790, respectively. Multiple regression analysis further identified key photosynthetic factors influencing growth under different stress types. Under neutral salt stress, phi (Ro) and E significantly affected biomass, whereas under alkaline and combined salt stresses, biomass was primarily co-regulated by phi (Ro) and phi (Eo). Based on a comprehensive evaluation of salt tolerance index, damage index, and biomass response, genotypes W06 and W02 exhibited the strongest overall salt tolerance. This study systematically elucidates the differential response mechanisms of photosynthesis in spring wheat under distinct salt stress types, providing an important theoretical basis and elite germplasm resources for breeding salt-tolerant wheat varieties. Full article
(This article belongs to the Topic New Trends in Crop Breeding and Sustainable Production)
Show Figures

Figure 1

25 pages, 3028 KB  
Article
Short-Time Variations in the Algal Community Structure of the Urban Danubian Backwater “Alte Donau” with Special Focus on the Green Alga Gloeotaenium loitlesbergerianum
by Lena Sax and Michael Schagerl
Phycology 2026, 6(1), 31; https://doi.org/10.3390/phycology6010031 - 9 Mar 2026
Viewed by 359
Abstract
Urban water bodies serve as biodiversity hot spots in a human-influenced landscape. We studied the backwater “Alte Donau” (Vienna, Austria), which has been the subject of ongoing management and restoration efforts. We aimed to capture short-term variations in the planktonic and benthic algal [...] Read more.
Urban water bodies serve as biodiversity hot spots in a human-influenced landscape. We studied the backwater “Alte Donau” (Vienna, Austria), which has been the subject of ongoing management and restoration efforts. We aimed to capture short-term variations in the planktonic and benthic algal community during a vegetation period with a specific focus on Gloeotaenium loitlesbergerianum with its primary distribution in tropical regions. In total, 196 algal taxa were identified, indicating a high and balanced species diversity. Although the waterbody is shallow and densely colonized by macrophytes, phytoplankton and microphytobenthos exhibited significant differences in composition, particularly in spring. Less pronounced differences during summer were probably caused by macrophyte harvesting combined with recreational activities. We found a clear seasonal pattern with spring characterized by blooms of Ochrophyta, followed by a shift towards green algae, Dinophyta, and Cyanobacteria during summer and autumn. We found high variability in spring samples, whereas summer and autumn samples showed increasing similarity. Temperature, silicate, and alkalinity were the primary environmental factors structuring algal community composition. G. loitlesbergerianum was detected during warmer months from May through October across a temperature range of 14 to 28 °C, with highest abundances >20 °C. Warmer water and altered nutrient regimes not only stress native populations but also promote the establishment of new species such as G. loitlesbergerianum, accelerating community shifts. Therefore, sustained monitoring, targeted macrophyte restoration, and effective nutrient management are crucial for preserving both water quality and biodiversity in such systems. Full article
Show Figures

Figure 1

18 pages, 2471 KB  
Article
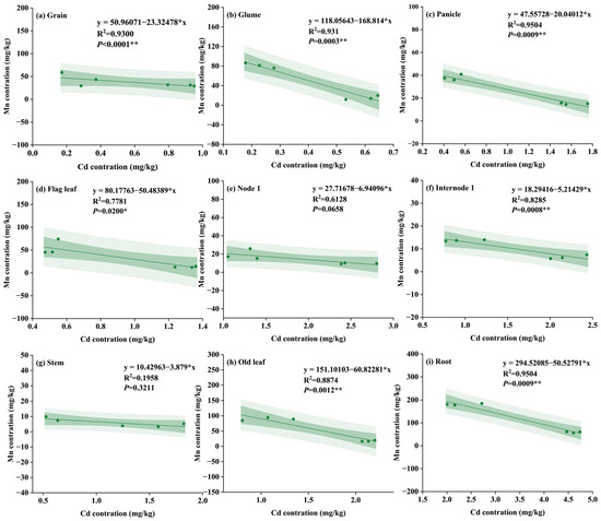
Combined Effects of Sulfhydryl-Grafted Palygorskite and Manganese Fertilizers in Reducing Cadmium Accumulation in Wheat
by Xingru Wang, Zhijun Liu, Xuefeng Liang, Xichao Sun, Yuebing Sun and Qingqing Huang
Plants 2026, 15(4), 621; https://doi.org/10.3390/plants15040621 - 15 Feb 2026
Cited by 1 | Viewed by 487
Abstract
Cadmium (Cd) contamination in alkaline soils poses a significant threat to wheat production and food safety. This study investigated the combined effects of sulfhydryl-grafted palygorskite (SGP) and manganese fertilizers (MnO and MnSO4) on Cd immobilization in soil and its subsequent accumulation [...] Read more.
Cadmium (Cd) contamination in alkaline soils poses a significant threat to wheat production and food safety. This study investigated the combined effects of sulfhydryl-grafted palygorskite (SGP) and manganese fertilizers (MnO and MnSO4) on Cd immobilization in soil and its subsequent accumulation in spring wheat via a pot experiment. The results demonstrated that the combined application of SGP and MnSO4 exhibited the highest efficiency, reducing grain Cd concentration by 62.5% compared to the control, which was superior to the single SGP treatment (39.5% reduction). Simultaneously, grain Mn content increased markedly. Soil microbial community analysis confirmed the environmental safety of this strategy, as it showed no substantial shifts in bacterial diversity or community structure. The combined mechanism was attributed to a dual action: SGP served as the primary external immobilization strategy by sequestering Cd in the soil and diminishing its bioavailability, whereas Mn fertilizers, especially MnSO4, functioned as a restrictive mechanism within the plant, competing with Cd for uptake and transport pathways and modifying its translocation, ultimately restricting its allocation to the grain. This study provides a novel, efficient, and environmentally friendly dual strategy of immobilization and antagonism for the safe production of wheat in Cd-contaminated alkaline soil. Full article
(This article belongs to the Special Issue Plant Ecotoxicology and Remediation Under Heavy Metal Stress)
Show Figures

Graphical abstract

23 pages, 2424 KB  
Article
High-Time-Resolution Aerosol Chemistry and Machine-Learning Sensitivity Reveal a Highland Triad Mechanism Driving PM2.5 in Xining (Qinghai–Tibet Plateau)
by Zihong Liang, Xiaofeng Hu, Anan Qi, Guojuan Qu, Weijun Song and Chunyan Sun
Atmosphere 2026, 17(2), 200; https://doi.org/10.3390/atmos17020200 - 13 Feb 2026
Viewed by 642
Abstract
Fine particulate matter (PM2.5) formation mechanisms in fragile highland ecosystems remain inadequately constrained, particularly regarding thermodynamic non-linearities (aerosol pH, liquid water content) and their interaction with geochemical modulation. Here, we present comprehensive year-long online measurements from Xining, Qinghai-Tibet Plateau, integrating hourly [...] Read more.
Fine particulate matter (PM2.5) formation mechanisms in fragile highland ecosystems remain inadequately constrained, particularly regarding thermodynamic non-linearities (aerosol pH, liquid water content) and their interaction with geochemical modulation. Here, we present comprehensive year-long online measurements from Xining, Qinghai-Tibet Plateau, integrating hourly measurements of water-soluble ions, inorganic elements, and gaseous precursors with ISORROPIA-II thermodynamic modeling and ensemble machine learning. Median pH was 4.38 but exhibited two distinct pH regimes (14.8% pH < 3.0, 11.5% pH > 7.2), with acute acidification enhancing toxic metal solubility (Fe, Pb by 3-5×), and it posed distinct ecological risks. Our analysis reveals a distinct “highland mechanism triad” governing PM2.5 dynamics: (1) winter meteorological confinement amplifying dust-catalyzed sulfate formation (SOR = 0.68); (2) spring alkaline dust buffering (pH > 7.2) that titrates NH3 and suppresses nitrate formation (NOR < 0.10); and (3) summer photochemical oxidation constrained by chronic NH3 limitation within an oxidant-excess regime. Random Forest achieved optimal prediction for the chemically active inorganic fraction (RMSE = 6.63 μg/m3, R2 = 0.91) by learning regime-specific non-linearities, with local sensitivity analysis identifying Ca2+, SO42−, and Al as chemically sensitive drivers (S > 0.35) while revealing NH3’s seasonally variable influence (rank 15 in winter, significant in summer; S > 0.28), subsequently complemented by global SHAP analysis, which further revealed NO3 as the most robust predictor (ranking 1st–2nd) and captured NH3’s non-linear threshold effects (). Positive Matrix Factorization apportioned secondary aerosols (30.11%) within a unique alkaline–dust matrix. These findings demonstrate that highland PM2.5 inorganic chemistry operates through fundamentally different pathways than lowland photochemical haze, with acid-induced toxic metal activation providing a new target for ecological protection in this fragile ecosystem. Seasonally adaptive mitigation is required: concurrent SO2-NH3 control in winter, dust suppression infrastructure in spring, and agricultural NH3 capture in summer. This integrated framework provides a transferable methodology for air-quality management in alkaline dust-dominated, NH3-limited highland ecosystems (>2000 m). Full article
Show Figures

Figure 1

23 pages, 7455 KB  
Article
Source Apportionment and Health Risk Assessment of Heavy Metals in Groundwater in the Core Area of Central-South Hunan: A Combined APCS-MLR/PMF and Monte Carlo Approach
by Shuya Li, Huan Shuai, Hong Yu, Yongqian Liu, Yingli Jing, Yizhi Kong, Yaqian Liu and Di Wu
Sustainability 2026, 18(3), 1225; https://doi.org/10.3390/su18031225 - 26 Jan 2026
Viewed by 422
Abstract
Groundwater, a critical resource for regional water security and public health, faces escalating threats from heavy metal contamination—a pressing environmental challenge worldwide. This study focuses on the central-south Hunan region of China, a mineral-rich, densely populated area characterized predominantly by non-point-source pollution, aiming [...] Read more.
Groundwater, a critical resource for regional water security and public health, faces escalating threats from heavy metal contamination—a pressing environmental challenge worldwide. This study focuses on the central-south Hunan region of China, a mineral-rich, densely populated area characterized predominantly by non-point-source pollution, aiming to systematically unravel the spatial patterns, source contributions, and associated health risks of heavy metals in local groundwater. Based on 717 spring and well water samples collected in 2024, we determined pH and seven heavy metals (As, Cd, Pb, Zn, Fe, Mn, and Tl). By integrating hydrogeological zoning, lithology, topography, and river networks, the study area was divided into 11 assessment units, clearly revealing the spatial heterogeneity of heavy metals. The results demonstrate that exceedances of Cd, Pb, and Zn were sporadic and point-source-influenced, whereas As, Fe, Mn, and Tl showed regional exceedance patterns (e.g., Mn exceeded the standard in 9.76% of samples), identifying them as priority control elements. The spatial distribution of heavy metals was governed the synergistic effects of lithology, water–rock interactions, and hydrological structure, showing a distinct “acidic in the northeast, alkaline in the southwest” pH gradient. Combined application of the APCS-MLR and PMF models resolved five principal pollution sources: an acid-reducing-environment-driven release source (contributing 76.1% of Fe and 58.3% of Pb); a geogenic–anthropogenic composite source (contributing 81.0% of Tl and 62.4% of Cd); a human-perturbation-triggered natural Mn release source (contributing 94.8% of Mn); an agricultural-activity-related input source (contributing 60.1% of Zn); and a primary geological source (contributing 89.9% of As). Monte Carlo simulation-based health risk assessment indicated that the average hazard index (HI) and total carcinogenic risk (TCR) for all heavy metals were below acceptable thresholds, suggesting generally manageable risk. However, As was the dominant contributor to both non-carcinogenic and carcinogenic risks, with its carcinogenic risk exceeding the threshold in up to 3.84% of the simulated adult exposures under extreme scenarios. Sensitivity analysis identified exposure duration (ED) as the most influential parameter governing risk outcomes. In conclusion, we recommend implementing spatially differentiated management strategies: prioritizing As control in red-bed and granite–metamorphic zones; enhancing Tl monitoring in the northern and northeastern granite-rich areas, particularly downstream of the Mishui River; and regulating land use in brick-factory-dense riparian zones to mitigate disturbance-induced Mn release—for instance, through the enforcement of setback requirements and targeted groundwater monitoring programs. This study provides a scientific foundation for the sustainable management and safety assurance of groundwater resources in regions with similar geological and anthropogenic settings. Full article
Show Figures

Figure 1

30 pages, 3695 KB  
Article
Microbial Diversity of the Baikal Rift Zone Freshwater Alkaline Hot Springs and the Ecology of Polyextremophilic Dissimilatory Iron-Reducing Bacteria
by Anastasia I. Maltseva, Alexander G. Elcheninov, Alexandra A. Klyukina, Alexandra V. Gololobova, Elena V. Lavrentyeva, Tuyana G. Banzaraktsaeva, Vyacheslav B. Dambaev, Darima D. Barkhutova, Daria G. Zavarzina and Evgenii N. Frolov
Biology 2025, 14(12), 1716; https://doi.org/10.3390/biology14121716 - 1 Dec 2025
Cited by 1 | Viewed by 1178
Abstract
Polyextremophilic microbial communities of Baikal Rift Zone hot springs have been studied fragmentarily, and these studies have typically focused on either phototrophic microbial mats or on the whole microbial community from one or a few sites. In our work, we conducted the first [...] Read more.
Polyextremophilic microbial communities of Baikal Rift Zone hot springs have been studied fragmentarily, and these studies have typically focused on either phototrophic microbial mats or on the whole microbial community from one or a few sites. In our work, we conducted the first large-scale screening of microbial communities from seven hot spring groups in the Baikal Rift Zone, using metabarcoding of the V3-V4 regions of the 16S rRNA gene. Analysis of alpha and beta diversity, as well as co-occurrence network analysis, revealed that the microbial diversity of the studied springs is highly dependent on temperature values. This approach allowed classifying microbial communities into four distinct groups, characterized by significantly different taxa representing the key functional roles of primary producers, heterotrophic consumers, and terminal destructors of organic matter. Sulfate-reducing bacteria constituted a major metabolic group driving the final stage of organic matter mineralization. Moreover, the presence of alkalithermophilic dissimilatory iron reducers, whose existence was debatable, was proved in the studied samples by cultural methods. The phylotypes that gained an advantage on selective media with synthesized ferrihydrite and hydrogen or acetate added as an electron donor belonged to the genus Parvivirga of the order Anaerosomatales and several unknown representatives of the phylum Bacillota. Full article
Show Figures

Figure 1

16 pages, 2228 KB  
Article
Groundwater of Parque Rural del Nublo—UNESCO Biosphere Reserve and World Heritage Site “El Molinillo” Spring—Gran Canaria—Canary Islands—Spain
by Eduardo Navarro
Water 2025, 17(23), 3373; https://doi.org/10.3390/w17233373 - 26 Nov 2025
Viewed by 1181
Abstract
This study discusses the unique features of the rural park Parque Rural del Nublo (Gran Canaria) that resulted in the designation of this site as UNESCO’s Biosphere Reserve. Due to its indigenous flora and fauna, its mild climate and its farming lands, this [...] Read more.
This study discusses the unique features of the rural park Parque Rural del Nublo (Gran Canaria) that resulted in the designation of this site as UNESCO’s Biosphere Reserve. Due to its indigenous flora and fauna, its mild climate and its farming lands, this park is considered as an outdoor “sustainable research laboratory”. This paper describes the main features (source, denomination, classification, municipality, year of declaration and hydro-chemical facies) of some of the many groundwater springs found in the park. The quality of the drinking water obtained from the spring “El Molinillo”, located in the basin of the municipality of Tejeda, is analysed by assessing its organoleptic, physico-chemical, chemical and bacteriological properties. Considering that it is described as “natural mineral water”, based on the taxonomy for mineral–medicinal waters, the water from “El Molinillo” is classified as hypothermal, alkaline and very soft water, with a low conductivity, a very weak mineralisation and a significant silica content. The water especially contains the following ions: bicarbonate, chloride, magnesium and calcium. The paper describes several pharmacological effects and therapeutic indications attributed to this water, analysing the impact of its silica content on human and plant health. The paper concludes that the park should be permanently protected as a World Heritage Site, and the water obtained from “El Molinillo” is classified as “drinking water”, “natural mineral water” and “mineral–medicinal water”. Full article
(This article belongs to the Special Issue Groundwater for Health and Well-Being)
Show Figures

Figure 1

23 pages, 1491 KB  
Article
Determination of Soil Thermal Properties Across Seasons in Alkaline–Nonalkaline Soils of Igdır, Türkiye
by Resat Mikail, Erhan Erdel, Amrakh I. Mamedov, Elman Hazar and Fariz Mikailsoy
Land 2025, 14(11), 2266; https://doi.org/10.3390/land14112266 - 17 Nov 2025
Viewed by 792
Abstract
Climate, which has important effects on pedogenesis, affects soils and its structure and mass transport through temperature and precipitation. Soil salinity or alkalinity, which is caused by the effects of climate, parent material, topography, and anthropogenic factors, is one of the important problems [...] Read more.
Climate, which has important effects on pedogenesis, affects soils and its structure and mass transport through temperature and precipitation. Soil salinity or alkalinity, which is caused by the effects of climate, parent material, topography, and anthropogenic factors, is one of the important problems of arid and semi-arid regions and has negative effects on soil quality, requiring specific attention due to limited research. In this study, thermal properties were calculated using various classical and improved models in winter, spring, summer, and fall for alkaline and non-alkaline soil. For this purpose, temperature sensors were placed at depths of 0, 0.05, 0.10, 0.15, 0.20, and 0.40 m in non-alkaline and alkaline lands, and temperature data were collected from the sensors for 365 days. This study showed that (i) the thermal properties of both soils vary depending on the seasons of the year, and (ii) the thermal properties (thermal conductivity, thermal conductivity coefficient, thermal conductivity, attenuation depth, thermal conductivity coefficient, speed and length of the heat wave) were lower in the alkaline soil. These results could be used for consideration of climate change mitigation in similar semi-arid zones. Full article
(This article belongs to the Special Issue Salinity Monitoring and Modelling at Different Scales: 2nd Edition)
Show Figures

Figure 1

15 pages, 5474 KB  
Article
The Correlation Between High-Fluoride Hot Springs and Microbial Community Structure and Diversity
by Haolin Gong, Qi Wang, Li Yang and Jiajia Liao
Diversity 2025, 17(11), 784; https://doi.org/10.3390/d17110784 - 8 Nov 2025
Viewed by 698
Abstract
High-fluoride hot springs serve as a natural laboratory for investigating microbial adaptation and variations in community structure under extreme environments. This study utilized water chemistry analysis and 16S rRNA gene sequencing to investigate the correlation between high-fluoride hot springs and microbial community structure [...] Read more.
High-fluoride hot springs serve as a natural laboratory for investigating microbial adaptation and variations in community structure under extreme environments. This study utilized water chemistry analysis and 16S rRNA gene sequencing to investigate the correlation between high-fluoride hot springs and microbial community structure and diversity. The results show that the five hot springs exhibited an average F content of 15.04 mg/L, with weakly alkaline pH, high total dissolved solids, and Na+ as the dominant cation. The hydrochemical type was classified as HCO3⋅SO4-Na, consistent with the chemical characteristics of high-fluorine water. Microbial abundance and diversity were significantly reduced in the hot springs as compared to the surface water and groundwater samples. The dominant phyla in the study area included Pseudomonadota, Cyanobacteriota, Bacteroidota, and Actinomycetota. The genus-level composition varied significantly across samples, with no dominant genus observed universally. The specific genera present in different samples exhibit unique functional attributes, such as Tepidimonas, Rhodobacter, Hyphomonas, Parvibaculum, Polynucleobacter and Limnohabitans. Cluster analysis confirmed that dissimilarity coefficients highlight the significant influence of microbial abundance on inter-sample differences among hot springs. Redundancy analysis of the top 11 phyla by abundance in water samples revealed that the presence of F exerts inhibitory effects on microbial growth. Full article
(This article belongs to the Section Microbial Diversity and Culture Collections)
Show Figures

Figure 1

12 pages, 1362 KB  
Article
Thermostable Collagenase Derived from Streptomyces scabies Demonstrates Selective Antibacterial Activity Against Infections in Diabetic Foot Ulcers
by Manal Al-Kattan, Afra Baghdadi and Afnan Sahloli
Appl. Microbiol. 2025, 5(4), 122; https://doi.org/10.3390/applmicrobiol5040122 - 31 Oct 2025
Cited by 1 | Viewed by 1163
Abstract
Diabetic foot ulcers (DFUs) and other chronic wounds are major global health challenges, often complicated by infections and delayed healing due to excessive collagen accumulation. Microbial collagenases offer an enzymatic alternative to surgical debridement by selectively degrading collagen and potentially limiting microbial colonization. [...] Read more.
Diabetic foot ulcers (DFUs) and other chronic wounds are major global health challenges, often complicated by infections and delayed healing due to excessive collagen accumulation. Microbial collagenases offer an enzymatic alternative to surgical debridement by selectively degrading collagen and potentially limiting microbial colonization. In this study, an isolated and characterized thermostable collagenase from Streptomyces scabies from rhizospheric soil in Al-Lith thermal springs, Saudi Arabia, is investigated. Identification was confirmed via 16S rRNA sequencing, and enzyme production was optimized on gelatin agar. Partial purification was achieved through ammonium sulfate precipitation and dialysis, and molecular weight (~25 kDa) was determined by Sodium dodecyl sulfate–polyacrylamide gel electrophoresis. Activity was assessed under varying temperatures, pH, substrates, and metal ions, while antibacterial potential was tested against Staphylococcus aureus, Klebsiella pneumoniae, and Pseudomonas aeruginosa. The collagenase exhibited optimal activity at 80 °C and pH 9, stability under thermophilic and alkaline conditions, activation by Fe2+, and notable antibacterial effects at higher concentrations. These results demonstrate that S. scabies collagenase exhibits selective antibacterial activity in vitro, suggesting its potential as an enzymatic tool for further evaluation in diabetic foot debridement and infection control. Full article
Show Figures

Graphical abstract

47 pages, 20134 KB  
Article
The Arkansas Alkaline Province, Southeastern USA: A Synthesis of New and Existing Chemical and Petrologic Data and Petrogenetic Considerations
by Nelson Eby, Norman Charnley, Gino Tiella and Louis Burkhardt
Minerals 2025, 15(11), 1133; https://doi.org/10.3390/min15111133 - 29 Oct 2025
Viewed by 1364
Abstract
The Arkansas alkaline province (AAP), southeastern US, consists of seven intrusions or intrusive complexes that lie along a NE–SW trend that falls on the extension of the Mississippi Valley graben. There are three distinct magmatic events: (1) emplacement of lamproites at ~104 Ma, [...] Read more.
The Arkansas alkaline province (AAP), southeastern US, consists of seven intrusions or intrusive complexes that lie along a NE–SW trend that falls on the extension of the Mississippi Valley graben. There are three distinct magmatic events: (1) emplacement of lamproites at ~104 Ma, (2) emplacement of lamprophyres, phonolites, carbonatites, ijolites, and a variety of nepheline syenites between 100 and 98 Ma, and (3) emplacement of a large nepheline syenite body at ~88 Ma. Unpublished and published mineralogical, elemental, and isotope data are used to develop an integrated model for the AAP magmatic activity. The lamproites were derived from ancient enriched subcontinental lithosphere. The carbonatite–lamprophyre–phonolite–ijolite–nepheline syenite association comprises several intrusive complexes (Magnet Cove, Potash Sulphur Springs, V-intrusive) and the Benton lamprophyre–felsic dike swarm. Magmatic evolution is controlled by fractional crystallization of pyroxene and nepheline. The carbonatites may be the result of liquid immiscibility between carbonate and lamprophyric liquids. The large nepheline syenite body (Granite Mountain and Saline County) evolved through fractional crystallization of feldspar and nepheline. Event 2 and 3 magmas were derived from an OIB-like asthenospheric source. The most likely model for the origin of the AAP is the reactivation of a zone of crustal weakness by far field stresses. Full article
(This article belongs to the Section Mineral Geochemistry and Geochronology)
Show Figures

Figure 1

19 pages, 2821 KB  
Article
What Are the Effects of Cattle Grazing on Conservation and Forage Value Across Grazing Pressure Gradients in Alkali Grasslands?
by Szilárd Szentes, Ferenc Pajor, Károly Penksza, Eszter Saláta-Falusi, Dániel Balogh, János Balogh, Leonárd Sári, Petra Balogh, Dániel Bori, Edina Kárpáti, Ágnes Freiler-Nagy, Szilvia Orosz, Péter Penksza, Péter Szőke, Orsolya Pintér, István Szatmári and Zsombor Wagenhoffer
Diversity 2025, 17(11), 741; https://doi.org/10.3390/d17110741 - 22 Oct 2025
Viewed by 1124
Abstract
Studying the effects of grazing pressure on species composition, beta diversity and yields is important for conservation purposes as well as for grassland management. The case study area in Hortobágy, which is one of the largest continuous grassland areas in Europe, has been [...] Read more.
Studying the effects of grazing pressure on species composition, beta diversity and yields is important for conservation purposes as well as for grassland management. The case study area in Hortobágy, which is one of the largest continuous grassland areas in Europe, has been managed for centuries by grazing of Hungarian grey cattle. The effect of grazing pressure was investigated in terms of distance from the livestock enclosure (50 m, 250 m, 500 m, 1000 m, and 1700 m) and in an ungrazed control area on dry and mesic alkaline grasslands in spring and autumn of 2024. In both types of grasslands at each distance, species composition and mean plant height were recorded in six 4 × 4 m plots. Overall, in both seasons the control areas were the poorest in terms of species richness. Among the grazed areas in both grassland types the ones at 1700 m distance had the lowest number of species. The species richness of mesic grassland decreased linearly with distance. The dry grassland showed a polynomial trend and was more species-rich at all distances than the mesic grassland. Green yield was the highest in the dry grassland at 250 m in spring and at 50 m in autumn, while in the mesic grassland it was highest at 1700 m in spring and between 500 and 1700 m in autumn. Forage quality in dry grassland was lowest at 50 m and highest between 500 and 1000 m. In mesic grassland, this parameter was equalized at all distances. The highest Simpson diversity was found at a distance of 500–1000 m from the livestock enclosure in both types. It is advisable to evaluate separately the spring and autumn characteristics of the alkaline grasslands, as there may be significant differences between them. Overall, it can be concluded that alkaline dry grasslands are particularly suitable for grazing because of their species composition and their good tolerance to grazing. Alkaline mesic grasslands are poorer in species and more sensitive to grazing; consequently, mowing or mixed utilization should be considered. Full article
(This article belongs to the Special Issue Ecology and Restoration of Grassland—2nd Edition)
Show Figures

Figure 1

32 pages, 6657 KB  
Article
Mechanisms of Ocean Acidification in Massachusetts Bay: Insights from Modeling and Observations
by Lu Wang, Changsheng Chen, Joseph Salisbury, Siqi Li, Robert C. Beardsley and Jackie Motyka
Remote Sens. 2025, 17(15), 2651; https://doi.org/10.3390/rs17152651 - 31 Jul 2025
Viewed by 1311
Abstract
Massachusetts Bay in the northeastern United States is highly vulnerable to ocean acidification (OA) due to reduced buffering capacity from significant freshwater inputs. We hypothesize that acidification varies across temporal and spatial scales, with short-term variability driven by seasonal biological respiration, precipitation–evaporation balance, [...] Read more.
Massachusetts Bay in the northeastern United States is highly vulnerable to ocean acidification (OA) due to reduced buffering capacity from significant freshwater inputs. We hypothesize that acidification varies across temporal and spatial scales, with short-term variability driven by seasonal biological respiration, precipitation–evaporation balance, and river discharge, and long-term changes linked to global warming and river flux shifts. These patterns arise from complex nonlinear interactions between physical and biogeochemical processes. To investigate OA variability, we applied the Northeast Biogeochemistry and Ecosystem Model (NeBEM), a fully coupled three-dimensional physical–biogeochemical system, to Massachusetts Bay and Boston Harbor. Numerical simulation was performed for 2016. Assimilating satellite-derived sea surface temperature and sea surface height improved NeBEM’s ability to reproduce observed seasonal and spatial variability in stratification, mixing, and circulation. The model accurately simulated seasonal changes in nutrients, chlorophyll-a, dissolved oxygen, and pH. The model results suggest that nearshore areas were consistently more susceptible to OA, especially during winter and spring. Mechanistic analysis revealed contrasting processes between shallow inner and deeper outer bay waters. In the inner bay, partial pressure of pCO2 (pCO2) and aragonite saturation (Ωa) were influenced by sea temperature, dissolved inorganic carbon (DIC), and total alkalinity (TA). TA variability was driven by nitrification and denitrification, while DIC was shaped by advection and net community production (NCP). In the outer bay, pCO2 was controlled by temperature and DIC, and Ωa was primarily determined by DIC variability. TA changes were linked to NCP and nitrification–denitrification, with DIC also influenced by air–sea gas exchange. Full article
Show Figures

Figure 1

17 pages, 2222 KB  
Article
Hydrogeochemical Characteristics and Evolutionary Mechanisms of the Nanping Geothermal Field, Southeastern Hainan Island, China
by Xiaolin Wang, Xiaoxue Yan, Wei Zhang, Bo Ma, Changzhu Liu, Yongpeng Yang, Ruoxi Yuan, Jie Chen and Wencun Su
Sustainability 2025, 17(13), 6189; https://doi.org/10.3390/su17136189 - 5 Jul 2025
Viewed by 1128
Abstract
The southeastern Hainan Island boasts abundant hydrothermal resources, most of which are exposed as thermal springs. Analyzing the hydrochemical characteristics, hydrochemical evolutionary mechanisms, and material transition of these resources is significant for their exploitation and utilization. This study investigated the Nanping geothermal field [...] Read more.
The southeastern Hainan Island boasts abundant hydrothermal resources, most of which are exposed as thermal springs. Analyzing the hydrochemical characteristics, hydrochemical evolutionary mechanisms, and material transition of these resources is significant for their exploitation and utilization. This study investigated the Nanping geothermal field in southeastern Hainan Island, using five groups of geothermal water samples collected in 2022, as well as seven groups of geothermal water samples, one group of shallow groundwater samples, and one group of surface water samples taken in 2023. Specifically, this study examined water–rock interactions in the geothermal field using the Gibbs model, ion ratios, chloro-alkaline indices (CAIs), and the sodium adsorption ratio (SAR). Moreover, the mineral transfer process in groundwater was analyzed using inverse hydrogeochemical simulation. The results indicate that in the study area the geothermal water temperatures range from 64 °C to 80 °C, pH values from 8.32 to 8.64, and TDS concentrations from 431 mg/L to 623 mg/L. The primary hydrochemical types of geothermal water in the study area include Cl-Na and Cl·HCO3-Na, suggesting low-temperature, slightly alkaline geothermal water. The hydrochemical components of geothermal water in the study area are primarily affected by water–rock interactions. Besides the dissolution of silicate minerals and halite, cation exchange reactions contribute greatly to the formation of Na+ and K+ in geothermal water. Geothermal water receives recharge from the atmospheric precipitation of the Diaoluo Shan area in the northwest of the study area, with the recharge elevation ranging from 967 to 1115 m. The inverse hydrogeochemical simulation results reveal that during the water–rock interactions, silicate minerals, clay minerals, gypsum, and halite dissolve, while quartz and carbonate minerals precipitate. Additionally, these processes are accompanied by cation exchange reactions dominated by the replacement of Na+ in surrounding rocks by Ca2+ in geothermal water. This study can provide a geological basis for the exploitation, utilization, and management of the Nanping geothermal field. Full article
Show Figures

Figure 1

22 pages, 4324 KB  
Article
Effect of Grassland Vegetation Units on Soil Biochemical Properties and the Abundance of Selected Microorganisms in the Obra River Valley
by Justyna Mencel, Anna Wojciechowska and Agnieszka Mocek-Płóciniak
Agronomy 2025, 15(7), 1573; https://doi.org/10.3390/agronomy15071573 - 27 Jun 2025
Viewed by 936
Abstract
The study examined seasonal variability in soil enzymatic activity and microbial abundance across five grassland vegetation units: Molinietum caeruleae, Alopecuretum pratensis, Arrhenatheretum elatioris, LolioCynosuretum, and com. Poa pratensisFestuca rubra. Soils under Molinietum caeruleae showed [...] Read more.
The study examined seasonal variability in soil enzymatic activity and microbial abundance across five grassland vegetation units: Molinietum caeruleae, Alopecuretum pratensis, Arrhenatheretum elatioris, LolioCynosuretum, and com. Poa pratensisFestuca rubra. Soils under Molinietum caeruleae showed higher fungal abundance and greater plant diversity, while LolioCynosuretum was notable for elevated Azotobacter spp. populations. Actinobacteria preferred soils with more organic matter, whereas Azotobacter spp. favored higher pH. A negative correlation was observed between the Shannon diversity index (H′) and heterotrophic bacterial abundance in Arrhenatheretum elatioris and with fungal abundance in com. Poa pratensisFestuca rubra. Acid and alkaline phosphatase and catalase activities were also negatively correlated with H′. Redundancy analysis showed these enzymes were related to total nitrogen content, and enzyme activity decreased with rising soil pH. In autumn 2022, high fungal abundance coincided with a reduction in other microorganisms. Seasonal trends were evident: catalase and urease activities peaked in autumn 2023, while other enzymes were more active in spring 2022. The results emphasize the significance of seasonal shifts in shaping microbial and enzymatic soil processes, which are vital for nutrient cycling, carbon sequestration, and climate regulation. Further research is essential to guide sustainable grassland soil management. Full article
Show Figures

Figure 1

Back to TopTop