Sign in to use this feature.

Years

Between: -

Subjects

remove_circle_outline
remove_circle_outline
remove_circle_outline
remove_circle_outline
remove_circle_outline
remove_circle_outline

Journals

Article Types

Countries / Regions

remove_circle_outline
remove_circle_outline
remove_circle_outline
remove_circle_outline

Search Results (273)

Search Parameters:
Keywords = advanced endometrial cancer

Order results
Result details
Results per page
Select all
Export citation of selected articles as:
21 pages, 1711 KB  
Article
Molecular Landscape of Advanced Endometrial Cancer: Exploratory Analyses at Modena Cancer Center (MEMO)
by Marta Pirola, Eleonora Molinaro, Samantha Manfredini, Riccardo Cuoghi Costantini, Chiara Carlucci, Claudia Piombino, Stefania Pipitone, Maria Giuseppa Vitale, Roberto Sabbatini, Francesca Bacchelli, Laura Botticelli, Albino Eccher, Roberto D’Amico, Lucia Longo, Stefania Bettelli, Cinzia Baldessari and Massimo Dominici
Int. J. Mol. Sci. 2026, 27(2), 1096; https://doi.org/10.3390/ijms27021096 (registering DOI) - 22 Jan 2026
Abstract
Despite the introduction of novel therapeutic options, the prognosis of advanced endometrial cancer remains poor. In recent years, increasing attention has been directed toward the molecular characterization of endometrial cancer. However, data specifically focusing on advanced-stage disease are still limited. In our single-center, [...] Read more.
Despite the introduction of novel therapeutic options, the prognosis of advanced endometrial cancer remains poor. In recent years, increasing attention has been directed toward the molecular characterization of endometrial cancer. However, data specifically focusing on advanced-stage disease are still limited. In our single-center, retrospective, exploratory study with a limited sample size, we analyzed 32 patients with advanced or recurrent endometrial cancer treated at the Modena Cancer Center. Comprehensive molecular profiling was performed to assess DNA mutations, copy number variations, and RNA expression. We characterized the molecular landscape of this cohort, evaluated selected genomic alterations across predefined clinical subgroups, and explored their association with overall survival. Consistent with previous reports, a high prevalence of PTEN and PIK3CA mutations were observed. Patients experiencing relapse more than six months after diagnosis were more likely to harbor CTNNB1 mutations. KRAS mutations were more frequently detected in younger patients and in those with endometrioid histology, whereas PPP2R1A and TP53 mutations were enriched in tumors with non-endometrioid histology. Notably, CTNNB1 mutations were associated with a favorable prognostic impact, while KRAS mutations correlated with poorer overall survival. Our findings underscore the need for further investigation into the molecular landscape of advanced endometrial cancer, particularly in the context of therapeutic implications. Combinatorial treatment strategies targeting specific molecular alterations, such as KRAS, in combination with other targeted agents or therapeutic approaches, warrant further exploration. Full article
Show Figures

Figure 1

15 pages, 1447 KB  
Article
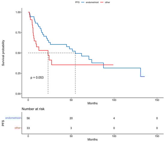
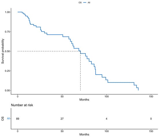
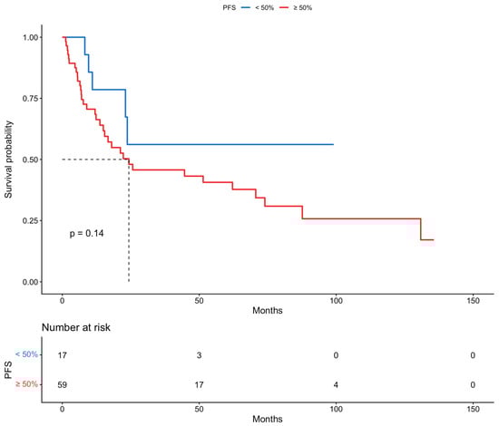
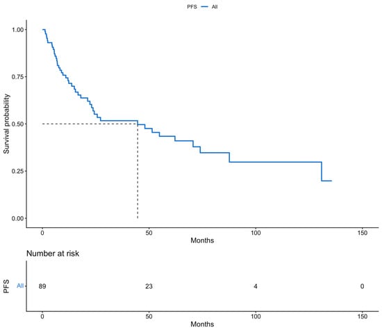
Prognostic Factors in the Treatment of Advanced Endometrial Cancer Patients: 12-Year Experience of an ESGO Certified Center
by Dimitrios Zouzoulas, Iliana Sofianou, Efthalia Markopoulou, Tilemachos Karalis, Kimon Chatzistamatiou, Vasilis Theodoulidis, Maria Topalidou, Eleni Timotheadou, Grigoris Grimbizis and Dimitrios Tsolakidis
Cancers 2026, 18(2), 343; https://doi.org/10.3390/cancers18020343 (registering DOI) - 22 Jan 2026
Abstract
(1) Background: Advance-stage endometrial cancer is a rare disease that encompasses a heterogeneous group of patients. Primary surgery is the treatment of choice, while neoadjuvant chemotherapy (NACT) seems to be an alternative option for inoperable frail patients. The aim of this study was [...] Read more.
(1) Background: Advance-stage endometrial cancer is a rare disease that encompasses a heterogeneous group of patients. Primary surgery is the treatment of choice, while neoadjuvant chemotherapy (NACT) seems to be an alternative option for inoperable frail patients. The aim of this study was to identify possible prognostic factors for advance-stage endometrial cancer patients. (2) Methods: We retrospectively analyzed the records of patients with endometrial cancer that underwent surgery in the 1st Department of Obstetrics–Gynecology from 2012 to 2023. Patients with advance-stage disease (FIGO stage III–IV) were included, while those with incidental microscopic lymph node metastases after staging lymphadenectomy were excluded. (3) Results: The population of this study consisted of 89 women. Patients were obese, with moderate comorbidities and a median age of 64 years old. The majority of them (75.3%) had FIGO stage IIIC disease, while one-fourth (24.7%) presented with peritoneal metastases (FIGO stage IV). Most patients had endometrioid, high-grade tumors, with substantial lymphovascular space invasion (LVSI) and deep myometrial invasion. Complete gross resection was achieved in 92.1% of the patients. NACT was administrated in 14.6% of the population. Deep myometrial invasion and non-endometrioid histology were recognized as independent prognostic factors for worse PFS, but no association was found for OS. Concerning survival rates, the median progression-free (PFS) and overall (OS) survival were 44 and 70 months, respectively. (4) Conclusions: Myometrial invasion and histological subtypes seem to affect the recurrence rate of advanced endometrial cancer patients. NACT could likely be an alternative for primarily inoperable and frail patients, but does not appear to alter survival rates. Full article
(This article belongs to the Special Issue Advancements in Surgical Approaches for Gynecological Cancers)
Show Figures

Figure 1

17 pages, 890 KB  
Systematic Review
Quality of Life Measures in Advanced Endometrial Cancer: A Systematic Review of Reporting Practices in Phase III Clinical Trials
by Justine Himpe, Marjolein Orije, Emiel A. De Jaeghere, Katrien Vandecasteele and Hannelore Denys
Cancers 2026, 18(2), 258; https://doi.org/10.3390/cancers18020258 - 14 Jan 2026
Viewed by 194
Abstract
Background: Advanced endometrial cancer is associated with poor survival. With the advent of molecular classification and novel systemic therapies—including immunotherapy and targeted agents—treatment regimens have become increasingly complex. While these approaches aim to improve survival, they also potentially introduce long-term toxicities and treatment [...] Read more.
Background: Advanced endometrial cancer is associated with poor survival. With the advent of molecular classification and novel systemic therapies—including immunotherapy and targeted agents—treatment regimens have become increasingly complex. While these approaches aim to improve survival, they also potentially introduce long-term toxicities and treatment burden, reinforcing the importance of incorporating health-related quality of life (HRQoL) and patient-reported outcomes (PROs) into clinical trials. Methods: A systematic review was conducted of phase III randomized controlled trials (RCTs) in advanced, recurrent, or metastatic endometrial cancer evaluating systemic treatment registered on ClinicalTrials.gov and published up to 30 November 2025. Extracted data included study characteristics, HRQoL instruments, reporting formats, adherence to CONSORT-PRO, and timing of HRQoL dissemination (relative to primary efficacy reports). Results: Eight phase III RCTs published between 2020 and 2024 were included. Although HRQoL was consistently designated as a secondary endpoint, reporting within pivotal efficacy publications was limited. Most reports presented mean changes from baseline using the EORTC QLQ-C30, QLQ-EN24, and EQ-5D-5L. None of the primary reports reported time-to-deterioration analyses or the proportions of patients improving/deteriorating. Adherence to CONSORT-PRO was low, with only a minority of items addressed. Dedicated QoL publications were delayed by up to 25 months after primary efficacy reports and typically appeared in journals with lower impact factors. Conclusions: Despite routine inclusion of HRQoL measures in trial protocols, reporting remains inconsistent, limited in scope, and often delayed. Strengthening adherence to established frameworks is essential to ensure that HRQoL endpoints are predefined, analytically robust, and disseminated alongside efficacy data—particularly in a rapidly evolving therapeutic landscape. Full article
(This article belongs to the Special Issue Survivorship and Quality of Life in Endometrial Cancer)
Show Figures

Figure 1

31 pages, 3388 KB  
Review
Molecular Insights into Widespread Pseudouridine RNA Modifications: Implications for Women’s Health and Disease
by Qiwei Yang, Ayman Al-Hendy and Thomas G. Boyer
Biology 2026, 15(2), 142; https://doi.org/10.3390/biology15020142 - 14 Jan 2026
Viewed by 245
Abstract
Pseudouridine (Ψ), the most abundant RNA modification, plays essential roles in shaping RNA structure, stability, and translational output. Beyond cancer, Ψ is dynamically regulated across numerous physiological and pathological contexts—including immune activation, metabolic disorders, stress responses, and pregnancy-related conditions such as preeclampsia—where elevated [...] Read more.
Pseudouridine (Ψ), the most abundant RNA modification, plays essential roles in shaping RNA structure, stability, and translational output. Beyond cancer, Ψ is dynamically regulated across numerous physiological and pathological contexts—including immune activation, metabolic disorders, stress responses, and pregnancy-related conditions such as preeclampsia—where elevated Ψ levels reflect intensified RNA turnover and modification activity. These broad functional roles highlight pseudouridylation as a central regulator of cellular homeostasis. Emerging evidence demonstrates that Ψ dysregulation contributes directly to the development and progression of several women’s cancers, including breast, ovarian, endometrial, and cervical malignancies. Elevated Ψ levels in tissues, blood, and urine correlate with tumor burden, metastatic potential, and therapeutic responsiveness. Aberrant activity of Ψ synthases such as PUS1, PUS7, and the H/ACA ribonucleoprotein component dyskerin alters pseudouridylation patterns across multiple RNA substrates, including rRNA, tRNA, mRNA, lncRNAs, snoRNAs, and ncRNAs. These widespread modifications reshape ribosome function, modify transcript stability and translational efficiency, reprogram RNA–protein interactions, and activate oncogenic signaling programs. Advances in high-resolution, site-specific Ψ mapping technologies have further revealed mechanistic links between pseudouridylation and malignant transformation, highlighting how modification of distinct RNA classes contributes to altered cellular identity and tumor progression. Collectively, Ψ and its modifying enzymes represent promising biomarkers and therapeutic targets across women’s cancers, while also serving as sensitive indicators of diverse non-cancer physiological and disease states. Full article
(This article belongs to the Section Developmental and Reproductive Biology)
Show Figures

Figure 1

11 pages, 625 KB  
Systematic Review
Neoadjuvant Chemotherapy in Advanced Stage Endometrial Cancer: A Systematic Review and Meta-Analysis
by Maria Fanaki, Dimitrios Haidopoulos, Antonia Varthaliti, Dimitrios Efthimios Vlachos, Georgios Daskalakis, Nikolaos Thomakos and Vasilios Pergialiotis
Medicina 2026, 62(1), 130; https://doi.org/10.3390/medicina62010130 - 8 Jan 2026
Viewed by 172
Abstract
Background and Objectives: Endometrial cancer is the most common gynecological malignancy in developed countries and is becoming increasingly prevalent. Early diagnosis and treatment may lead to lower rates of morbidity and mortality. The aim of the present meta-analysis is to investigate whether [...] Read more.
Background and Objectives: Endometrial cancer is the most common gynecological malignancy in developed countries and is becoming increasingly prevalent. Early diagnosis and treatment may lead to lower rates of morbidity and mortality. The aim of the present meta-analysis is to investigate whether neoadjuvant chemotherapy (NACT) can enhance resectability, reduce tumor burden, and ultimately improve survival rates compared to primary surgery in patients with advanced endometrial cancer. Materials and Methods: All studies that examined the impact of NACT on survival outcomes of patients with advanced endometrial cancer were eligible for inclusion, including randomized and non-randomized interventional studies. Studies were identified by searching MEDLINE (1945–2024), Scopus (1941–2024), Google Scholar (2004–2024) and ClinicalTrials.gov (2000–2024). Data was selected and extracted by two reviewers based on the PRISMA guidelines. Results: Five retrospective studies with a cumulative total of 8658 patients were included. No statistically significant difference in overall survival was observed between patients who received NACT and those who underwent primary surgery (HR 0.91, 95% CI 0.79–1.04). NACT was associated with some perioperative advantages, though these did not translate into a survival benefit. Conclusions: The currently available evidence, which is limited to retrospective studies with significant heterogeneity, suggests that NACT does not confer a survival advantage over primary debulking surgery in advanced endometrial cancer. These findings should be considered hypothesis-generating, underscoring the need for prospective trials. NACT may still be a reasonable option for selected subgroups, such as frail patients, those with extensive peritoneal disease, or cases in which complete cytoreduction is unlikely with upfront surgery. Full article
(This article belongs to the Section Obstetrics and Gynecology)
Show Figures

Graphical abstract

15 pages, 1055 KB  
Article
Intraoperative Ex Vivo Shear-Wave Elastography of Sentinel Lymph Nodes in Endometrial Cancer and Other Gynaecological Malignancies
by Walid Shaalan, Mohamed Eldesouky, Theresa Mokry, Arved Bischoff, Peter Sinn, Nourhan Hassan, Riku Togawa, Dina Batarseh, Kathrin Haßdenteufel, Lara Meike Tretschock, Maryna Hlamazda, Christina Schmidt, Cecilie Torkildsen, Axel Gerhardt, Andre Hennigs, Lisa Katharina Nees, Oliver Zivanovic and Fabian Riedel
Cancers 2026, 18(2), 183; https://doi.org/10.3390/cancers18020183 - 6 Jan 2026
Viewed by 233
Abstract
Background: Accurate intraoperative assessment of sentinel lymph node (SLN) status is critical for staging and guiding surgical management in gynaecological malignancies. Frozen-section histopathology remains the gold standard, but it is time-consuming and resource-intensive. Shear-wave elastography (SWE) quantifies tissue stiffness in real time and [...] Read more.
Background: Accurate intraoperative assessment of sentinel lymph node (SLN) status is critical for staging and guiding surgical management in gynaecological malignancies. Frozen-section histopathology remains the gold standard, but it is time-consuming and resource-intensive. Shear-wave elastography (SWE) quantifies tissue stiffness in real time and may offer a rapid alternative. Methods: In this prospective single-centre study, 63 women (median age 62 years) undergoing primary surgery with sentinel lymph node biopsy (SLNB) for endometrial, cervical, vulvar, or early ovarian carcinoma were enrolled. A total of 172 SLNs were excised, submerged in coupling gel, and scanned ex vivo using a 9 MHz linear probe. Results: A total of 172 SLNs underwent SWE (mean 2.7 nodes/patient). Endometrial primaries accounted for 58% of nodes, mostly retrieved by robotic-assisted surgery (71.8%). Node dimensions were significantly larger in malignant lesions for sonographic (long-axis: 13.02 ± 3.31 mm vs. 10.80 ± 3.28 mm; p = 0.002) and pathological long-axis measurements (11.45 ± 2.83 mm vs. 9.75 ± 2.61 mm; p = 0.004). Mean SWE velocities were similar between groups (1.381 ± 0.307 vs. 1.343 ± 0.236 m/s; p = 0.541). Histopathology identified metastases in 18% of SLNs, comprising macrometastases (7%), micrometastases (5%), and isolated tumour cells (6%). Conclusions: Although ex vivo SWE is rapid, reproducible, and integrates seamlessly into the sterile field, stiffness measurements alone lack sufficient discriminatory power for SLN staging in gynaecological cancers. Future research should focus on three-dimensional SWE, advanced radiomic analyses, and machine-learning algorithms to improve the detection of low-volume metastatic disease. Full article
(This article belongs to the Special Issue Gynecologic Cancer: From Diagnosis to Treatment: 2nd Edition)
Show Figures

Figure 1

14 pages, 6455 KB  
Review
Molecular Classification of Endometrial Carcinomas: Review and Recent Updates
by Anita Kumari, Himani Kumar, Samuel E. Harvey, Deyin Xing and Zaibo Li
Cancers 2026, 18(1), 51; https://doi.org/10.3390/cancers18010051 - 24 Dec 2025
Viewed by 773
Abstract
Endometrial carcinoma (EC) continues to represent a major cause of gynecologic cancer–related mortality among women worldwide. Its multifactorial etiopathogenesis and underlying molecular heterogeneity have been the focus of extensive investigation. While traditional histological classification provides essential diagnostic insight, it is limited in predicting [...] Read more.
Endometrial carcinoma (EC) continues to represent a major cause of gynecologic cancer–related mortality among women worldwide. Its multifactorial etiopathogenesis and underlying molecular heterogeneity have been the focus of extensive investigation. While traditional histological classification provides essential diagnostic insight, it is limited in predicting prognosis and therapeutic response due to significant interobserver variability. Recent advances in molecular biology and cancer genomics have profoundly enhanced understanding of EC pathogenesis. The Cancer Genome Atlas (TCGA) project delineated four distinct molecular subtypes of EC, POLE ultra-mutated, microsatellite instability hypermutated (MSI-H), copy number low (CNL) and copy number high (CNH), each defined by unique genomic alterations, histopathologic features, and clinical behaviors. These molecular groups demonstrate significant prognostic and therapeutic implications, correlating with differential outcomes and treatment responses. This review summarizes current evidence on the genomic landscape of endometrial carcinoma and underscores the pivotal role of molecular classification in improving diagnostic accuracy, prognostic stratification, and personalized therapy. Ongoing research into molecular biomarkers holds promise for refining patient management and optimizing clinical outcomes. Full article
(This article belongs to the Special Issue The Genomic Landscape of Gynecological Cancers)
Show Figures

Figure 1

43 pages, 3834 KB  
Review
Lynch Syndrome in Focus: A Multidisciplinary Review of Cancer Risk, Clinical Management, and Special Populations
by Seyma Eroglu, Ilhan Birsenogul, Alexandra P. Bowen, Joseph F. Doyle, Stephen E. Pupkin, Joaquin Villar, Christopher M. Tarney, Edwin Gandia, Danielle M. Pastor and Juvianee I. Estrada-Veras
Cancers 2025, 17(24), 3981; https://doi.org/10.3390/cancers17243981 - 13 Dec 2025
Viewed by 1434
Abstract
Lynch syndrome (LS), also known as hereditary nonpolyposis colorectal cancer (HNPCC), is a hereditary cancer syndrome significantly increasing the risk of colorectal cancer (CRC) and various extracolonic cancers, including endometrial, ovarian, and gastric cancers. LS results from germline pathogenic variants (GPVs) in DNA [...] Read more.
Lynch syndrome (LS), also known as hereditary nonpolyposis colorectal cancer (HNPCC), is a hereditary cancer syndrome significantly increasing the risk of colorectal cancer (CRC) and various extracolonic cancers, including endometrial, ovarian, and gastric cancers. LS results from germline pathogenic variants (GPVs) in DNA mismatch repair (MMR) genes, such as MLH1, MSH2, MSH6, and PMS2, leading to microsatellite instability (MSI). This review explores the multifaceted aspects of LS, covering clinical presentation, genetic underpinnings, and emerging therapeutic strategies. The discussion explores the importance of identifying at-risk individuals, facilitating personalized cancer surveillance and prevention strategies. Molecular insights into distinguishing between sporadic and LS-associated cancers are also examined, with a focus on somatic testing methods, including MSI and immunohistochemistry (IHC). The gynecological cancer risks, particularly those related to endometrial and ovarian malignancies, are addressed, underscoring the need for early detection and risk-reducing interventions. Recent advancements in the management of colorectal and other LS-related cancers are highlighted, with particular attention to the growing role of immunotherapy, including immune checkpoint inhibitors, and immunoprevention strategies. With ongoing advances in our understanding of LS, opportunities for earlier detection, more effective prevention, and innovative treatments continue to expand. This narrative review adopts a multidisciplinary approach to provide a comprehensive understanding of LS, from its genetic basis to current clinical and therapeutic practices, with the ultimate goal of improving patient outcomes and enhancing the quality of care. Full article
(This article belongs to the Special Issue Lynch Syndrome (HNPCC): Symptoms, Causes, and Outlooks)
Show Figures

Figure 1

21 pages, 1845 KB  
Review
The PELP1 Pathway and Its Importance in Cancer Treatment
by Khaled Mohamed Nassar, Panneerdoss Subbarayalu, Suryavathi Viswanadhapalli and Ratna K. Vadlamudi
Biomolecules 2025, 15(12), 1729; https://doi.org/10.3390/biom15121729 - 12 Dec 2025
Viewed by 398
Abstract
Proline-, glutamic acid-, and leucine-rich protein 1 (PELP1) is a proto-oncogene that serves as a nuclear and cytoplasmic scaffolding protein. PELP1 plays a critical role in nuclear receptor signaling, ribosome biogenesis, chromatin modifications, cell cycle progression, non-genomic signaling, and DNA damage response. PELP1 [...] Read more.
Proline-, glutamic acid-, and leucine-rich protein 1 (PELP1) is a proto-oncogene that serves as a nuclear and cytoplasmic scaffolding protein. PELP1 plays a critical role in nuclear receptor signaling, ribosome biogenesis, chromatin modifications, cell cycle progression, non-genomic signaling, and DNA damage response. PELP1 expression is upregulated in a variety of cancers, including breast, ovarian, endometrial, prostate, and liver cancers and serves as a prognostic factor for poor survival. PELP1’s structural motifs, unique scaffolding function, and oncogenic activity make it a potential target for a range of therapeutic approaches. This review summarizes the most recent advancements in PELP1 biology, with a particular focus on the emergent oncogenic functions of PELP1 and its inhibitors for the treatment of cancer. Full article
(This article belongs to the Special Issue DNA Damage Repair and Cancer Therapeutics)
Show Figures

Figure 1

10 pages, 816 KB  
Article
Insights from the Pre-Molecular Era in Advanced Endometrial Cancer: Benchmarking Prognostic Indicators in High-Risk Tumours
by Jacopo Conforti, Sabina Ioana Nistor, Negin Sadeghi, Andreas Zouridis, Ammara Kashif, Ahmed Darwish, Sarah Louise Smyth, Alisha Sattar, Susan Addley, Christina Pappa, Stephen Damato, Mostafa Abdalla, Sean Kehoe, Andrea Giannini, Federico Ferrari and Hooman Soleymani Majd
J. Clin. Med. 2025, 14(24), 8726; https://doi.org/10.3390/jcm14248726 - 9 Dec 2025
Viewed by 341
Abstract
Background/Objectives: Although the binarism between type I and II endometrial cancer was dismissed and substituted with molecular classification, histopathological features remain of paramount importance. Hence, analysing survival outcomes according to histological type, our aim is to clarify whether the morphological features of [...] Read more.
Background/Objectives: Although the binarism between type I and II endometrial cancer was dismissed and substituted with molecular classification, histopathological features remain of paramount importance. Hence, analysing survival outcomes according to histological type, our aim is to clarify whether the morphological features of the tumour retain prognostic relevance in the context of advanced disease. Methods: This is a retrospective analysis led within the Thames Valley Cancer Alliance Network. Results: We include 148 FIGO 2009 stage III–IV patients affected by endometrioid endometrial cancer (EEC) G1, G2, and G3, carcinosarcoma (CS), serous carcinoma (SC), and clear cell carcinoma (CCC) of the uterus. Five year overall survival (OS) is distinct among the histological groups (p-value < 0.001), being 73.3% for G2 endometrioid, 49.2% for G3 endometrioid, 8.3% for CS, and 28.4% for SC. The divergence was marked also for 5 year progression-free survival (PFS) (p-value < 0.001) as follows: for G2 endometrioid, was 76.4%; for G3 endometrioid, 52.7%; and for carcinosarcoma, 5.9%. PFS after 18 months for serous carcinoma was 5.7%. The multivariate analysis found G3 endometrioid (HR 2.91, 95% CI 1.20–7.11, p-value 0.018), carcinosarcoma (HR 12.15, 95% CI 5.07–29.11, p-value < 0.001), and serous carcinoma (HR 4.84, 95% CI 2.16–10.83, p-value < 0.001) as independent predictors of poor survival, as well as cervical invasion (HR 1.83, 95% CI 1.10–3.05, p-value 0.020) as the only histopathological feature confirmed. Regarding progression-free only carcinosarcoma (HR 14.91, 95% CI 5.28–41.11) and serous carcinoma (HR 17.68, 95% CI 6.41–48.75) were associated with an increased risk of recurrence. Conclusions: Our findings testify that, beyond the disease stage, histological subtype remains a major determinant of survival outcome. Cervical involvement is associated with a more aggressive disease, possibly correlated to death beyond relapse. Prospective trials involving advanced stage endometrial cancer, stratified by histological subtype and integrated with the molecular classification, are required. Full article
(This article belongs to the Special Issue Risk Prediction for Gynecological Cancer)
Show Figures

Figure 1

16 pages, 10626 KB  
Article
Data-Independent Acquisition (DIA)-Based Proteomics for the Identification of Biomarkers in Tissue Washings of Endometrial Cancer
by Lorenzo Monasta, Valeria Capaci, Feras Kharrat, Milena Ciampechini, Nour Balasan, Andrea Conti, Valentina Golino, Pietro Campiglia, Michelangelo Aloisio, Danilo Licastro, Giovanni Di Lorenzo, Federico Romano, Giuseppe Ricci and Blendi Ura
Int. J. Mol. Sci. 2025, 26(23), 11498; https://doi.org/10.3390/ijms262311498 - 27 Nov 2025
Viewed by 688
Abstract
Endometrial cancers (ECs) are mainly adenocarcinomas arising from the uterine endometrium. In this work, we employed data-independent acquisition (DIA) mass spectrometry (MS)-based label-free quantification (LFQ-MS) proteomics to analyze the proteome of tissue washings collected from 25 control (CTRL) subjects, 25 patients with low-grade [...] Read more.
Endometrial cancers (ECs) are mainly adenocarcinomas arising from the uterine endometrium. In this work, we employed data-independent acquisition (DIA) mass spectrometry (MS)-based label-free quantification (LFQ-MS) proteomics to analyze the proteome of tissue washings collected from 25 control (CTRL) subjects, 25 patients with low-grade type 1 endometrial cancer (EC), and 24 patients with high-grade type 1 EC. Following quantification and statistical analysis, we identified 42 proteins able to discriminate CTRL from EC patients, and 151 proteins differentiating high-grade EC cases from low-grade EC cases. Notably, PRRC2A and SYDE2 effectively distinguished both EC patients from controls and advanced EC cases from low-grade EC cases. Validation by Western blot analysis in an independent cohort comprising 19 CTRL patients, 19 patients with low-grade EC, and 19 patients with high-grade EC confirmed the upregulation of PRRC2A and SYDE2. These proteins are implicated in the translocation of SLC2A4, the regulation of MECP2, and extracellular matrix (ECM) proteoglycan pathways, all of which are associated with tumor growth. Our results demonstrate that DIA-based proteomic analysis of tissue washings enables the identification of potential biomarkers for endometrial cancer (EC). Moreover, this study highlights tissue washings as a promising biological fluid for biomarker discovery in EC. Full article
(This article belongs to the Special Issue Molecular Biomarkers in Cancers: Advances and Challenges, 2nd Edition)
Show Figures

Figure 1

22 pages, 1137 KB  
Systematic Review
A New Direction in Endometrial Cancer Therapy—PD-1 and PD-L1 Immune Checkpoint Inhibitors—Where Will It Take Us?
by Natalia Mielnicka, Martyna Dutka, Krzysztof Kułak, Anna Kułak and Rafał Tarkowski
J. Clin. Med. 2025, 14(23), 8366; https://doi.org/10.3390/jcm14238366 - 25 Nov 2025
Viewed by 1190
Abstract
Background: Endometrial cancer (EC) remains a significant therapeutic challenge due to its rising incidence and a five-year survival rate of only 16% in cases of metastases or advanced disease when using classical therapy methods. For this reason, more effective methods of treatment [...] Read more.
Background: Endometrial cancer (EC) remains a significant therapeutic challenge due to its rising incidence and a five-year survival rate of only 16% in cases of metastases or advanced disease when using classical therapy methods. For this reason, more effective methods of treatment are still sought, which currently focus on immunotherapy with the use of PD-1 and PD-L1 inhibitors (ICI), which is the subject of our article. Methods: Articles published in the databases: Pubmed, Web of Science, and ClinicalTrials.gov in the years 2019–2024 were analyzed. Results: ICIs can be used in monotherapy as well as in combination therapy, but it is the latter option that significantly prolongs the median PFS, especially the combination of ICI with PARP inhibitors. Among the available ICIs, pembrolizumab stands out with a large advantage in clinical trials, which is characterized by the lowest mortality resulting from therapy and a small number of grade 3 adverse events. Other inhibitors such as atezolizumab, dostarlimab, durvalumab, nivolumab and avelumab also demonstrate high clinical efficacy, as they prolong median PFS compared to the control group, but more studies are needed in much larger study groups to assess their safety and efficacy in different age groups. Conclusions: Future studies should focus on the efficacy of ICIs in younger groups of patients with EC, as well as on drugs from this group that are used less frequently in clinical trials than pembrolizumab, which would allow for a thorough comparison of the efficacy of drugs with each other and the selection of the drug individually to the patient’s needs. Full article
(This article belongs to the Section Oncology)
Show Figures

Figure 1

12 pages, 354 KB  
Article
Association Between MMR Status and Prognostic Pathological Factors in Endometrioid Endometrial Cancer—A Single-Center Retrospective Study
by Cezary Miedziarek, Hubert Bochyński, Katarzyna Bociańska, Michał Potograbski, Piotr Tyburski, Mikołaj Piotr Zaborowski and Ewa Nowak-Markwitz
Cancers 2025, 17(22), 3605; https://doi.org/10.3390/cancers17223605 - 8 Nov 2025
Viewed by 956
Abstract
Background/Objectives: Prognostic assessment in endometrial cancer (EC) is based on clinical and pathological features such as histological type, FIGO stage, tumor grade, LVSI, P53 status, and hormone receptor expression. Recent molecular research has distinguished four EC subtypes, with MMR status (pMMR vs. [...] Read more.
Background/Objectives: Prognostic assessment in endometrial cancer (EC) is based on clinical and pathological features such as histological type, FIGO stage, tumor grade, LVSI, P53 status, and hormone receptor expression. Recent molecular research has distinguished four EC subtypes, with MMR status (pMMR vs. dMMR) providing clinically relevant stratification due to its predictive value for immunotherapy. The present study aims to compare dMMR and pMMR tumors in terms of the prevalence of adverse histopathological prognostic factors. Methods: This retrospective study included 179 patients with endometrioid endometrial carcinoma (EEC) treated at the authors’ institution (1 January 2023–31 August 2025). Patients were classified by MMR status (pMMR vs. dMMR) based on immunohistochemistry, and clinicopathological variables, including FIGO stage, myometrial invasion depth, tumor grade, LVSI, ER/PR expression, and P53 status, were analyzed. Normality was assessed using the Shapiro–Wilk test. Categorical variables were tested with chi-square or Fisher’s exact tests, reporting odds ratios with 95% CI, while continuous variables were compared using the Mann–Whitney test and presented as median (IQR) with the Hodges–Lehmann difference and 95% CI. Multivariable logistic regression with Wald tests was performed. Results: dMMR tumors accounted for 29.05% of all cases. Patients in the dMMR group were significantly more likely to present with FIGO stage III/IV disease (p = 0.036) and to exhibit LVSI (p = 0.008). No differences were observed between the groups with respect to tumor grade, estrogen receptor positivity, progesterone receptor positivity, or the prevalence of deep myometrial invasion. The most frequent pattern of protein loss in the dMMR population was concurrent loss of MLH1 and PMS2. Conclusions: In the studied population, dMMR tumors more frequently exhibited adverse prognostic features of EC, such as advanced stage of disease and lymphovascular space invasion. This suggests the potential for effective immunotherapy in this patient group. Full article
(This article belongs to the Section Cancer Pathophysiology)
Show Figures

Figure 1

12 pages, 735 KB  
Article
Clinical Utility of Pan-Immune Inflammation Value (PIV) in Predicting Prognosis of Endometrial Cancer
by Nurhan Onal Kalkan, Zuhat Urakcı, Berrak Mermit Erçek, Erkan Bilen, Hayati Arvas and Mehmet Hadi Akkuş
J. Clin. Med. 2025, 14(21), 7885; https://doi.org/10.3390/jcm14217885 - 6 Nov 2025
Viewed by 865
Abstract
Background: Endometrial cancer (EC) is the most common gynecological malignancy in developed countries. While early-stage disease has favorable outcomes, advanced or recurrent EC remains associated with poor prognosis. Novel prognostic markers are needed to refine risk stratification. Systemic inflammation-based indices such as [...] Read more.
Background: Endometrial cancer (EC) is the most common gynecological malignancy in developed countries. While early-stage disease has favorable outcomes, advanced or recurrent EC remains associated with poor prognosis. Novel prognostic markers are needed to refine risk stratification. Systemic inflammation-based indices such as Pan-Immune Inflammation Value (PIV), Systemic Inflammation Response Index (SIRI), and Systemic Immune Inflammation Index (SII) have shown prognostic potential in solid tumors. Methods: We retrospectively evaluated 78 patients with endometrioid EC who had undergone hysterectomy with adnexectomy and lymphadenectomy. Demographic, clinicopathological, and laboratory data were extracted from electronic medical records. PIV, SII, and SIRI were calculated from the preoperative complete blood counts. Survival was assessed using Kaplan–Meier analysis, while prognostic factors were determined using univariate and multivariate Cox regression analyses. Results: The median age was 59 years, and 64.1% of the patients presented with early-stage disease. A high PIV (≥802) was significantly associated with a shorter overall survival (64 vs. 111 months, p < 0.001). PIV demonstrated the highest discriminatory accuracy (AUC = 0.776), followed by the SII (0.747) and SIRI (0.718). Univariate analysis identified that age, grade, LVSI, PNI, stage, distant metastasis, and high PIV, SII, SIRI, and NLR were predictors of poor survival. Multivariate analysis confirmed grade, distant metastasis and SIRI ≥ 1.5 as independent prognostic factors. Conclusions: Inflammation-based indices, particularly PIV and SIRI, correlated with survival outcomes in patients with EC. The SIRI retained an independent prognostic value, whereas PIV showed a strong discriminatory capacity. Incorporating these indices into established risk models may improve prognostic precision and support individualized management. Full article
(This article belongs to the Special Issue Risk Prediction for Gynecological Cancer)
Show Figures

Figure 1

15 pages, 1241 KB  
Article
Instability in the Penta-C and Penta-D Loci in Microsatellite-Unstable Endometrial Cancer
by Ahmet Yilmaz, Wendy L. Frankel, Weiqiang Zhao, Adrian A. Suarez, Wei Chen, Joshua F. Coleman, Joseph P. McElroy, Rachel Pearlman, Paul J. Goodfellow and Heather Hampel
Int. J. Environ. Res. Public Health 2025, 22(11), 1674; https://doi.org/10.3390/ijerph22111674 - 4 Nov 2025
Viewed by 574
Abstract
Endometrial cancer (EC) is the most common gynecologic cancer. Early detection is one of the most important predictors of survival. The cancer is curable if detected early but the five-year survival rate in advanced cases can be as low as 22%. Microsatellite instability [...] Read more.
Endometrial cancer (EC) is the most common gynecologic cancer. Early detection is one of the most important predictors of survival. The cancer is curable if detected early but the five-year survival rate in advanced cases can be as low as 22%. Microsatellite instability (MSI) testing is used to screen populations for Lynch Syndrome (LS), the most common cause of inherited EC, and to classify EC into distinct groups with unique histological, prognostic, and molecular features. Accurate sample identification is crucial for successful MSI testing because instability is assessed by comparing amplification patterns in markers in the normal and tumor samples that must be taken from the same individual. Penta-C and Penta-D pentanucleotide markers are used widely for sample identification in not only MSI testing but also parentage verification, forensic science, and population genetics studies. The objective of this study was to test 324 pairs of tumor and matched normal DNAs from EC patients for instability in these markers using the Promega MSI Analysis SystemTM considered the “gold standard” in MSI testing. Both markers were unstable, and therefore not reliable for MSI testing, in 8.2% of the EC patients with MSI. Instability in both mono- and pentanucleotide markers suggest that the tumors with MSI likely suffer from a “generalized” form of instability also affecting other short tandem repeats. Results from many studies using these markers for various purposes may not be accurate if samples with MSI are involved. Full article
(This article belongs to the Section Global Health)
Show Figures

Figure 1

Back to TopTop